Winter Inputs Buffer Streamflow Sensitivity to Snowpack Losses in the Salt River Watershed in the Lower Colorado River Basin
Abstract
1. Introduction
2. Materials and Methods
2.1. Site Description
2.2. Data Sets
2.3. Snow-Rain Model
- (1)
- Snowmelt (as a depth of liquid water) for days with decline in SWE;
- (2)
- Rain depths for days with rain but no SWE present;
- (3)
- Rain-on-snow depth for days with both rain and snowmelt inputs.
2.4. Seasonal Analyses
2.5. Sub-Annual Seasonal Responses
3. Results
3.1. Snow-Rain Model
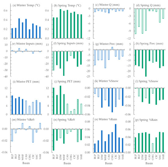
3.2. Seasonal Analyses
3.3. Sub-Annual Seasonal Responses
4. Discussion
5. Conclusions
Supplementary Materials
Author Contributions
Funding
Data Availability Statement
Acknowledgments
Conflicts of Interest
References
- Barnett, T.P.; Adam, J.C.; Lettenmaier, D.P. Potential impacts of a warming climate on water availability in snow-dominated regions. Nature 2005, 438, 303–309. [Google Scholar] [CrossRef]
- Li, D.; Wrzesien, M.L.; Durand, M.; Adam, J.; Lettenmaier, D.P. How much runoff originates as snow in the western United States, and how will that change in the future? Western U.S. Snowmelt-Derived Runoff. Geophys. Res. Lett. 2017, 44, 6163–6172. [Google Scholar] [CrossRef]
- Hammond, J.C.; Saavedra, F.A.; Kampf, S.K. Global snow zone maps and trends in snow persistence 2001–2016. Int. J. Clim. 2018, 38, 4369–4383. [Google Scholar] [CrossRef]
- Kim, Y.; Kimball, J.S.; Robinson, D.A.; Derksen, C. New satellite climate data records indicate strong coupling between recent frozen season changes and snow cover over high northern latitudes. Environ. Res. Lett. 2015, 10, 084004. [Google Scholar] [CrossRef]
- Mote, P.W.; Li, S.; Lettenmaier, D.P.; Xiao, M.; Engel, R. Dramatic declines in snowpack in the western US. Npj Clim. Atmos. Sci. 2018, 1, 2. [Google Scholar] [CrossRef]
- Xu, W.; Ma, L.; Ma, M.; Zhang, H.; Yuan, W. Spatial–Temporal Variability of Snow Cover and Depth in the Qinghai–Tibetan Plateau. J. Clim. 2017, 30, 1521–1533. [Google Scholar] [CrossRef]
- McCabe, G.J.; Wolock, D.M. Warming may create substantial water supply shortages in the Colorado River basin. Geophys. Res. Lett. 2007, 34, 5. [Google Scholar] [CrossRef]
- McCabe, G.J.; Wolock, D.M.; Pederson, G.T.; Woodhouse, C.A.; McAfee, S. Evidence that Recent Warming Is Reducing Upper Colorado River Flows. Earth Interact. 2017, 21, 1–14. [Google Scholar] [CrossRef]
- Udall, B.; Overpeck, J. The twenty-first century Colorado River hot drought and implications for the future. Water Resour. Res. 2017, 53, 2404–2418. [Google Scholar] [CrossRef]
- Woodhouse, C.A.; Pederson, G.T.; Morino, K.; McAfee, S.A.; McCabe, G.J. Increasing influence of air temperature on upper Colorado River streamflow. Geophys. Res. Lett. 2016, 432, 174–2181. [Google Scholar] [CrossRef]
- Chavarria, S.B.; Gutzler, D.S. Observed Changes in Climate and Streamflow in the Upper Rio Grande Basin. JAWRA J. Am. Water Resour. Assoc. 2018, 54, 644–659. [Google Scholar] [CrossRef]
- McCabe, G.J.; Wolock, D.M.; Valentin, M. Warming is Driving Decreases in Snow Fractions While Runoff Efficiency Remains Mostly Unchanged in Snow-Covered Areas of the Western United States. J. Hydrometeorol. 2018, 19, 803–814. [Google Scholar] [CrossRef]
- Nayak, A.; Marks, D.; Chandler, D.G.; Seyfried, M. Long-term snow, climate, and streamflow trends at the Reynolds Creek Experimental Watershed, Owyhee Mountains, Idaho, United States. Water Resour. Res. 2010, 46, W06519. [Google Scholar] [CrossRef]
- Robles, M.D.; Turner, D.S.; Haney, J.A. A century of changing flows: Forest management changed flow magnitudes and warming advanced the timing of flow in a southwestern US river. PLoS ONE 2017, 12, e0187875. [Google Scholar] [CrossRef] [PubMed]
- Christensen, N.S.; Lettenmaier, D.P. A multimodal ensemble approach to assessment of climate change impacts on the hydrology and water resources of the Colorado River Basin. Hydrol. Earth Syst. Sci. 2007, 11, 1417–1434. [Google Scholar] [CrossRef]
- Molotch, N.P.; Brooks, P.D.; Burns, S.P.; Litvak, M.; Monson, R.K.; McConnell, J.R.; Musselman, K. Ecohydrological controls on snowmelt partitioning in mixed-conifer sub-alpine forests. Ecohydrol. 2009, 2, 129–142. [Google Scholar] [CrossRef]
- Knowles, N.; Dettinger, M.D.; Cayan, D.R. Trends in snowfall versus rainfall in the Western United States. J. Clim. 2006, 19, 4545–4559. [Google Scholar] [CrossRef]
- Stewart, I.T.; Cayan, D.R.; Dettinger, M.D. Changes toward earlier streamflow timing across Western North America. J. Clim. 2005, 18, 1136–1155. [Google Scholar] [CrossRef]
- Jeton, A.E.; Dettinger, M.D.; Smith, J.L. Potential Effects of Climate Change on Streamflow, Eastern and Western Slopes of the Sierra Nevada, California and Nevada. U.S. Geological Survey Water Resources Investigations Report 95-4260; 1996. Available online: https://pubs.usgs.gov/wri/1995/4260/report.pdf (accessed on 21 December 2020).
- Hammond, J.C.; Kampf, S.K. Subannual Streamflow Responses to Rainfall and Snowmelt Inputs in Snow-Dominated Watersheds of the Western United States. Water Resour. Res. 2020, 56. [Google Scholar] [CrossRef]
- Dettinger, M.D.; Ralph, F.M.; Das, T.; Neiman, P.J.; Cayan, D.R. Atmospheric Rivers, Floods and the Water Resources of California. Water 2011, 3, 445–478. [Google Scholar] [CrossRef]
- Demaria, E.M.C.; Dominguez, F.; Hu, H.; von Glinski, G.; Robles, M.; Skindlov, J.; Walter, J. Observed Hydrologic Impacts of Landfalling Atmospheric Rivers in the Salt and Verde River Basins of Arizona, United States. Water Resour. Res. 2017, 53, 10025–10042. [Google Scholar] [CrossRef]
- Neiman, P.J.; Ralph, F.M.; Moore, B.J.; Hughes, M.; Mahoney, K.M.; Cordeira, J.M.; Dettinger, M.D. The landfall and inland penetration of a flood-producing atmospheric river in Arizona. Part I: Observed synoptic-scale, orographic, and hydrometeorological characteristics. J. Hydrometeorol. 2013, 14, 460–484. [Google Scholar] [CrossRef]
- Gershunov, A.; Shulgina, T.; Ralph, F.M.; Lavers, D.A.; Rutz, J.J. Assessing the climate-scale variability of atmospheric rivers affecting western North America: Atmospheric River Climate-Scale Behavior. Geophys. Res. Lett. 2017, 44, 7900–7908. [Google Scholar] [CrossRef]
- Payne, A.E.; Demory, M.-E.; Leung, L.R.; Ramos, A.M.; Shields, C.A.; Rutz, J.J.; Siler, N.; Villarini, G.; Hall, A.; Ralph, F.M. Responses and impacts of atmospheric rivers to climate change. Nat. Rev. Earth Environ. 2020, 1, 143–157. [Google Scholar] [CrossRef]
- Stitzer, L.; Burtell, R.; Andrewes, P.; Birks, C.; Mott Lacroix, K.; Stuart, J. Arizona Water Atlas; Arizona Department of Water Resources: Phoenix, AZ, USA, 2009; p. 204.
- Fassnacht, S.R. Upper versus lower Colorado River sub-basin streamflow: Characteristics, runoff estimation and model simulation. Hydrol. Process. 2006, 20, 2187–2205. [Google Scholar] [CrossRef]
- Murphy, K.W.; Ellis, A.W. An assessment of the stationarity of climate and stream flow in watersheds of the Colorado River Basin. J. Hydrol. 2014, 509, 454–473. [Google Scholar] [CrossRef]
- Trujillo, E.; Molotch, N.P. Snowpack regimes of the Western United States. Water Resour. Res. 2014, 50, 5611–5623. [Google Scholar] [CrossRef]
- Hawkins, G.A.; Vivoni, E.R.; Robles-Morua, A.; Mascaro, G.; Rivera, E.; Dominguez, F. A climate change projection for summer hydrologic conditions in a semiarid watershed of central Arizona. J. Arid Environ. 2015, 118, 9–20. [Google Scholar] [CrossRef]
- Pool, D.R.; Blasch, K.W.; Callegary, J.B.; Leake, S.A.; Graser, L.F. Regional Groundwater-Flow Model of the Redwall-Muav, Coconino, and Alluvial Basin Aquifer Systems of Northern and Central Arizona; U.S. Geological Survey: Reston, VA, USA, 2011; p. 116.
- Falcone, J.A. GAGES-II: Geospatial Attributes of Gages for Evaluating Streamflow; U.S. Geological Survey: Reston, VA, USA, 2011.
- Hammond, J.C.; Saavedra, S.; Kampf, S.K. MODIS MOD10A2 Derived Snow Persistence and No Data Index for the Western; U.S. HydroShare: Cambridge, MA, USA, 2017. [CrossRef]
- Livneh, B.; Rosenberg, E.A.; Lin, C.; Nijssen, B.; Mishra, V.; Andreadis, K.M.; Maurer, E.P.; Lettenmaier, D.P. A long-term hydrologically based dataset of land surface fluxes and states for the conterminous United States: Update and extensions. J. Clim. 2013, 26, 9384–9392. [Google Scholar] [CrossRef]
- Abatzoglou, J.T. Development of gridded surface meteorological data for ecological applications and modelling. Int. J. Climatol. 2013, 33, 121–131. [Google Scholar] [CrossRef]
- Jennings, K.S.; Winchell, T.S.; Livneh, B.; Molotch, N.P. Spatial variation of the rain–snow temperature threshold across the Northern Hemisphere. Nat. Commun. 2018, 9, 1–9. [Google Scholar] [CrossRef] [PubMed]
- Ma, C.; Fassnacht, S.R.; Kampf, S.K. How Temperature Sensor Change Affects Warming Trends and Modeling: An Evaluation Across the State of Colorado. Water Resour. Res. 2019, 55, 9748–9764. [Google Scholar] [CrossRef]
- Abatzoglou, J.T.; Dobrowski, S.Z.; Parks, S.A.; Hegewisch, K.C. TerraClimate, a high-resolution global dataset of monthly climate and climatic water balance from 1958–2015. Sci. Data 2018, 5, 170191. [Google Scholar] [CrossRef] [PubMed]
- Kampf, S.K.; Lefsky, M.A. Transition of dominant peak flow source from snowmelt to rainfall along the Colorado Front Range: Historical patterns, trends, and lessons from the 2013 Colorado Front Range floods. Water Resour. Res. 2016, 52, 407–422. [Google Scholar] [CrossRef]
- Kampf, S.K.; Richer, E.E. Estimating source regions for snowmelt runoff in a Rocky Mountain basin: Tests of a data-based conceptual modeling approach. Hydrol. Process. 2014, 28, 2237–2250. [Google Scholar] [CrossRef]
- Moriasi, D.N.; Arnold, J.G.; Van Liew, M.W.; Bingner, R.L.; Harmel, R.D.; Veith, T.L. Model Evaluation Guidelines for Systematic Quantification of Accuracy in Watershed Simulations. Trans. ASABE 2007, 50, 885–900. [Google Scholar] [CrossRef]
- Kendall, M.G. Rank Correlation Methods, 5th ed.; Oxford University Press: Oxford, UK, 1990. [Google Scholar]
- Mann, H.B. Nonparametric Tests against Trend. Econometrica 1945, 13, 245–259. [Google Scholar] [CrossRef]
- Helsel, D.R.; Frans, L.M. Regional Kendall Test for trend. Environ. Sci. Technol. 2006, 40, 4066–4073. [Google Scholar] [CrossRef]
- Sen, P.K. Estimates of the regression coefficient based on Kendall’s Tau. J. Am. Stat. Assoc. 1968, 63, 1379–1389. [Google Scholar] [CrossRef]
- Broxton, P.; Zeng, X.; Dawson, N. Daily 4 km Gridded SWE and Snow Depth from Assimilated In-Situ and Modeled Data over the Conterminous US, Version 1; NASA National Snow and Ice Data Center Distributed Active Archive Center: Boulder, CO, USA, 2019. [CrossRef]
- Zeng, X.; Broxton, P.; Dawson, N. Snowpack Change from 1982 to 2016 over Conterminous United States. Geophys. Res. Lett. 2018, 45, 12–940. [Google Scholar] [CrossRef]
- Cho, E.; Jacobs, J.M.; Vuyovich, C.M. The Value of Long-Term (40 years) Airborne Gamma Radiation SWE Record for Evaluating Three Observation-Based Gridded SWE Data Sets by Seasonal Snow and Land Cover Classifications. Water Resour. Res. 2020, 56, e2019WR025813. [Google Scholar] [CrossRef] [PubMed]
- Lyne, V.; Hollick, M. Stochastic time-variable rainfall-runoff modelling. In Institute of Engineers Australia National Conference; Institute of Engineers Australia: Barton, Australia, 1979; Volume 1979. [Google Scholar]
- Nathan, R.J.; McMahon, T.A. Evaluation of automated techniques for base flow and recession analyses. Water Resour. Res. 1990, 26, 1465–1473. [Google Scholar] [CrossRef]
- Mann, H.B.; Whitney, D.R. On a Test of Whether one of Two Random Variables is Stochastically Larger than the Other. Ann. Math. Stat. 1947, 18, 50–60. [Google Scholar] [CrossRef]
- Wang, G.; Power, S.B.; McGree, S. Unambiguous warming in the western tropical Pacific primarily caused by anthropogenic forcing: Warming in the tropical pacific. Int. J. Climatol. 2016, 36, 933–944. [Google Scholar] [CrossRef]
- Hagos, S.M.; Leung, L.R.; Yoon, J.-H.; Lu, J.; Gao, Y. A projection of changes in landfalling atmospheric river frequency and extreme precipitation over western North America from the Large Ensemble CESM simulations. Geophys. Res. Lett. 2016, 43, 1357–1363. [Google Scholar] [CrossRef]
- Musselman, K.N.; Lehner, F.; Ikeda, K.; Clark, M.P.; Prein, A.F.; Liu, C.; Barlage, M.; Rasmussen, R. Projected increases and shifts in rain-on-snow flood risk over western North America. Nat. Clim. Chang. 2018, 8, 808–812. [Google Scholar] [CrossRef]
- Singh, I.; Dominguez, F.; Demaria, E.; Walter, J. Extreme Landfalling Atmospheric River Events in Arizona: Possible Future Changes. J. Geophys. Res. Atmos. 2018, 123, 7076–7097. [Google Scholar] [CrossRef]
- Hammond, J.C.; Harpold, A.A.; Weiss, S.; Kampf, S.K. Partitioning snowmelt and rainfall in the critical zone: Effects of climate type and soil properties. Hydrol. Earth Syst. Sci. 2019, 23, 3553–3570. [Google Scholar] [CrossRef]
- Gonzalez, P.; Garfin, G.M.; Breshears, D.; Brooks, K.; Brown, H.E.; Elias, E.; Gunasekara, A.; Huntly, N.; Maldonado, J.K.; Mantua, N.J.; et al. Chapter 25: Southwest. Impacts, Risks, and Adaptation in the United States: The Fourth National Climate Assessment, Volume II; U.S. Global Change Research Program: Washington, DC, USA, 2018; p. 84.










| Code | Name | USGS Gauge | Data Record | Area (km2) | Mean Elev (m) | MAT (°C) | MAP (mm) | MAQ (mm) | RR (MAQ/MAP) | Snow Persistence |
|---|---|---|---|---|---|---|---|---|---|---|
| White Mountains Subregion | ||||||||||
| BLP | Black River Point of Pines | 9489500 | 1954–2011 | 1439 | 2456 | 6.69 | 637 | 138 | 0.22 | 34 |
| BLF | Black River Fort Apache | 9490500 | 1958–2011 | 3165 | 2201 | 8.74 | 549 | 110 | 0.20 | 32 |
| EFW | East Fork White River | 9492400 | 1958–2011 | 185 | 2494 | 10.0 | 597 | 157 | 0.26 | 38 |
| WHF | White River Fort Apache | 9494000 | 1958–2011 | 1629 | 2207 | 8.5 | 651 | 108 | 0.17 | 27 |
| Mogollon Rim Subregion | ||||||||||
| CAS | Carrizo Creek | 9496500 | 1953–1960, 1968–1974, 1978–2011 | 1142 | 1928 | 10.7 | 484 | 35 | 0.07 | 14 |
| CHG | Cherry Creek | 9497980 | 1966–1978, 1980–2011 | 517 | 1689 | 11.6 | 603 | 54 | 0.09 | 9 |
| CIC | Cibecue Creek | 9497800 | 1960–2009, 2011 | 748 | 1746 | 11.7 | 439 | 54 | 0.12 | 10 |
| Salt River Basin | ||||||||||
| SAC | Salt River at Chrysotile | 9497500 | 1926–2011 | 7327 | 2058 | 9.75 | 602 | 86 | 0.14 | 8 |
| SAR | Salt River at Roosevelt | 9498500 | 1916–2011 | 11097 | 1884 | 10.9 | 583 | 75 | 0.13 | 6 |
| Station Number | Station | Elevation (m.a.s.l.) | Water Years of Record |
|---|---|---|---|
| 310 | Baldy | 2781 | 1997–2016 |
| 416 | Coronado Trail | 2560 | 1996–2016 |
| 486 | Frisco Divide | 2438 | 1993–2016 |
| 511 | Hannagan Meadows | 2749 | 1993–2016 |
| 705 | Promontory | 2417 | 1993–2016 |
| 866 | Wildcat | 2393 | 1993–2015 |
| 877 | Workman Creek | 2103 | 1993–2016 |
| 902 | Beaver Head | 2435 | 1996–2015 |
| (a) Model Parameters | ||||||
| Low Snow | Moderate Snow | High Snow | ||||
| α (mm °C−1) | 5.5 | 5.5 | 5.5 | |||
| RHt (%) | 60 | 60 | 60 | |||
| Ts1 (°C) | 5.5 | 6.8 | 6.8 | |||
| Ts2 (°C) | 2.0 | 2.5 | 3.0 | |||
| (b) Model Calibration | ||||||
| Low Snow | Moderate Snow | High Snow | ||||
| Station | NSE | PBIAS | NSE | PBIAS | NSE | PBIAS |
| 310 | 0.77 | 9 | 0.78 | −1 | 0.74 | −30 |
| 416 | −0.14 | 92 | 0.32 | 65 | 0.70 | 21 |
| 486 | 0.85 | 6 | 0.79 | −8 | 0.57 | −43 |
| 511 | 0.89 | −5 | 0.84 | −14 | 0.74 | −35 |
| 705 | 0.66 | 36 | 0.63 | −42 | 0.45 | −58 |
| 866 | 0.53 | 53 | 0.61 | 37 | 0.76 | 2 |
| 877 | 0.53 | −7 | 0.47 | −30 | 0.32 | −61 |
| 902 | 0.80 | 9 | 0.81 | −2 | 0.69 | −29 |
| Average | 0.62 | −29 | 0.66 | 1 | 0.61 | 24 |
| Station | Low Snow | Moderate Snow | High Snow | VIC | ||||
|---|---|---|---|---|---|---|---|---|
| NSE | PBIAS | NSE | PBIAS | NSE | PBIAS | NSE | PBIAS | |
| 310 | 0.53 | 10 | 0.40 | 23 | 0.41 | 26 | 0.70 | −24 |
| 416 | 0.61 | 21 | 0.36 | 47 | 0.28 | 58 | 0.76 | −43 |
| 486 | −3.78 | 158 | −6.36 | 226 | −6.61 | 236 | 0.12 | −30 |
| 511 | 0.81 | −31 | 0.82 | −14 | 0.82 | −8 | 0.64 | −56 |
| 705 | 0.45 | −59 | 0.62 | −45 | 0.64 | −41 | 0.58 | −55 |
| 866 | 0.58 | −22 | 0.54 | 9 | 0.47 | 20 | 0.50 | −61 |
| 877 | 0.17 | −81 | 0.19 | −64 | 0.20 | −64 | -0.11 | −98 |
| 902 | 0.53 | −5 | 0.23 | 33 | 0.26 | 39 | 0.49 | −63 |
| Regional | 0.54 | −24 | 0.53 | −3 | 0.53 | 2 | 0.57 | −55 |
Publisher’s Note: MDPI stays neutral with regard to jurisdictional claims in published maps and institutional affiliations. |
© 2020 by the authors. Licensee MDPI, Basel, Switzerland. This article is an open access article distributed under the terms and conditions of the Creative Commons Attribution (CC BY) license (http://creativecommons.org/licenses/by/4.0/).
Share and Cite
Robles, M.D.; Hammond, J.C.; Kampf, S.K.; Biederman, J.A.; Demaria, E.M.C. Winter Inputs Buffer Streamflow Sensitivity to Snowpack Losses in the Salt River Watershed in the Lower Colorado River Basin. Water 2021, 13, 3. https://doi.org/10.3390/w13010003
Robles MD, Hammond JC, Kampf SK, Biederman JA, Demaria EMC. Winter Inputs Buffer Streamflow Sensitivity to Snowpack Losses in the Salt River Watershed in the Lower Colorado River Basin. Water. 2021; 13(1):3. https://doi.org/10.3390/w13010003
Chicago/Turabian StyleRobles, Marcos D., John C. Hammond, Stephanie K. Kampf, Joel A. Biederman, and Eleonora M. C. Demaria. 2021. "Winter Inputs Buffer Streamflow Sensitivity to Snowpack Losses in the Salt River Watershed in the Lower Colorado River Basin" Water 13, no. 1: 3. https://doi.org/10.3390/w13010003
APA StyleRobles, M. D., Hammond, J. C., Kampf, S. K., Biederman, J. A., & Demaria, E. M. C. (2021). Winter Inputs Buffer Streamflow Sensitivity to Snowpack Losses in the Salt River Watershed in the Lower Colorado River Basin. Water, 13(1), 3. https://doi.org/10.3390/w13010003

