Storm Driven Seasonal Variation in the Thermal Response of the Streambed Water of a Low-Gradient Stream
Abstract
1. Introduction
2. Materials and Methods
2.1. Study Locality
2.2. Data Collection
2.3. Data Reduction
2.4. Temperature Comparisons
3. Results
4. Discussion
5. Conclusions
Author Contributions
Funding
Acknowledgments
Conflicts of Interest
References
- Constantz, J.; Cox, M.H.; Su, G.W. Comparison of heat and bromide as ground water tracers near streams. Ground Water 2003, 41, 647–656. [Google Scholar] [CrossRef] [PubMed]
 - Irvine, D.J.; Briggs, M.A.; Lautz, L.K.; Gordon, R.P.; McKenzie, J.M.; Cartwright, I. Using Diurnal Temperature Signals to Infer Vertical Groundwater-Surface Water Exchange. Groundwater 2017, 55, 10–26. [Google Scholar] [CrossRef] [PubMed]
 - Swanson, T.E.; Cardenas, M.B. Diel heat transport within the hyporheic zone of a pool–riffle–pool sequence of a losing stream and evaluation of models for fluid flux estimation using heat. Limnol. Oceanogr. 2010, 55, 1741–1754. [Google Scholar] [CrossRef]
 - Irvine, D.J.; Briggs, M.; Cartwright, I.; Lautz, L. Improved vertical streambed flux estimation using multiple diurnal temperature methods in series. Groundwater 2016, 55, 73–80. [Google Scholar] [CrossRef]
 - Briggs, M.A.; Lautz, L.K.; McKenzie, J.M.; Gordon, R.P.; Hare, D.K. Using high-resolution distributed temperature sensing to quantify spatial and temporal variability in vertical hyporheic flux. Water Resour. Res. 2012, 48, W02527. [Google Scholar] [CrossRef]
 - Swanson, T.E.; Cardenas, M.B. Ex-Stream: A MATLAB program for calculating fluid flux through sediment–water interfaces based on steady and transient temperature profiles. Comput. Geosci. 2011, 37, 1664–1669. [Google Scholar] [CrossRef]
 - Birkel, C.; Soulsby, C.; Irvine, D.J.; Malcolm, I.; Lautz, L.K.; Tetzlaff, D. Heat-based hyporheic flux calculations in heterogeneous salmon spawning gravels. Aquat. Sci. 2016, 78, 203–213. [Google Scholar] [CrossRef]
 - Bhaskar, A.S.; Harvey, J.W.; Henry, E.J. Resolving hyporheic and groundwater components of streambed water flux using heat as a tracer. Water Resour. Res. 2012, 48. [Google Scholar] [CrossRef]
 - Bouyoucos, G. Effects of temperature on some of the most important physical process in soils. Mich. Coll. Agric. Tech. Bull. 1915, 24, 1–63. [Google Scholar]
 - Lapham, W.W. Use of Temperature Profiles Beneath Streams to Determine Rates of Vertical Ground-Water Flow and Vertical Hydraulic Conductivity; 0886-9308; United States Geological Survey: Reston, VA, USA, 1989; p. 35.
 - Lee, D.R. Method for locating sediment anomalies in lakebeds that can be caused by groundwater flow. J. Hydrol. 1985, 79, 187–193. [Google Scholar] [CrossRef]
 - Silliman, S.E.; Booth, D.F. Analysis of time-series measurements of sediment temperature for identification of gaining vs. losing portions of Juday Creek, Indiana. J. Hydrol. 1993, 146, 131–148. [Google Scholar] [CrossRef]
 - Suzuki, S. Percolation measurements based on heat flow through soil with special reference to paddy fields. J. Geophys. Res. 1960, 65, 2883–2885. [Google Scholar] [CrossRef]
 - Hester, E.T.; Guth, C.R.; Scott, D.T.; Jones, C.N. Vertical surface water-groundwater exchange processes within a headwater floodplain induced by experimental floods. Hydrol. Process. 2016, 30, 3770–3787. [Google Scholar] [CrossRef]
 - Naranjo, R.C.; Pohll, G.; Niswonger, R.G.; Stone, M.; McKay, A. Using heat as a tracer to estimate spatially distributed mean residence times in the hyporheic zone of a riffle-pool sequence. Water Resour. Res. 2013, 49, 3697–3711. [Google Scholar] [CrossRef]
 - Gordon, R.P.; Lautz, L.K.; Briggs, M.A.; McKenzie, J.M. Automated calculation of vertical pore-water flux from field temperature time series using the VFLUX method and computer program. J. Hydrol. 2012, 420–421, 142–158. [Google Scholar] [CrossRef]
 - Keery, J.; Binley, A.; Crook, N.; Smith, J.W.N. Temporal and spatial variability of groundwater-surface water fluxes: Development and application of an analytical method using temperature time series. J. Hydrol. 2007, 336, 1–16. [Google Scholar] [CrossRef]
 - Hatch, C.E.; Fisher, A.T.; Revenaugh, J.S.; Constantz, J.; Ruehl, C. Quantifying surface water-groundwater interactions using time series analysis of streambed thermal records: Method development. Water Resour. Res. 2006, 42. [Google Scholar] [CrossRef]
 - Anderson, M.P. Heat as a Ground Water Tracer. Ground Water 2005, 43, 951–968. [Google Scholar] [CrossRef]
 - Constantz, J.; Stonestrom, D.A. Heat as a Tool for Studying the Movement of Ground Water Near Streams; Stonestrom, D.A., Constantz, J., Eds.; U.S. Geological Survey: Denver, CO, USA, 2003; p. 96.
 - Luce, C.H.; Tonina, D.; Gariglio, F.; Applebee, R. Solutions for the diurnally forced advection-diffusion equation to estimate bulk fluid velocity and diffusivity in streambeds from temperature time series. Water Resour. Res. 2013, 49, 488–506. [Google Scholar] [CrossRef]
 - McCallum, A.M.; Andersen, M.S.; Rau, G.C.; Acworth, R.I. A 1-D analytical method for estimating surface water–groundwater interactions and effective thermal diffusivity using temperature time series. Water Resour. Res. 2012, 48. [Google Scholar] [CrossRef]
 - Boulton, A.J.; Findlay, S.; Marmonier, P. The functional significance of the hyporheic zone in streams and rivers (review). Annu. Rev. Ecol. Syst. 1998, 29, 59–81. [Google Scholar] [CrossRef]
 - Conant, B., Jr. Delineating and quantifying ground water discharge zones using streambed temperatures. Ground Water 2004, 42, 243–257. [Google Scholar] [CrossRef] [PubMed]
 - Hayashi, M.; Rosenberry, D.O. Effects of ground water exchange on the hydrology and ecology of surface water. Ground Water 2002, 40, 309–316. [Google Scholar] [CrossRef] [PubMed]
 - Evans, E.C.; McGregor, G.R.; Petts, G.E. River energy budgets with special reference to river bed processes. Hydrol. Process. 1998, 12, 575–595. [Google Scholar] [CrossRef]
 - Hannah, D.M.; Malcolm, I.A.; Soulsby, C.; Youngson, A.F. Heat exchanges and temperatures within a salmon spawning stream in the Cairngorms, Scotland: Seasonal and sub-seasonal dynamics. River Res. Appl. 2004, 20, 635–652. [Google Scholar] [CrossRef]
 - Brown, L.E.; Hannah, D.M.; Milner, A.M. Spatial and temporal water column and streambed temperature dynamics within an alpine catchment: Implications for benthic communities. Hydrol. Process. 2005, 19, 1585–1610. [Google Scholar] [CrossRef]
 - Malcolm, I.A.; Soulsby, C.; Youngson, A.F.; Hannah, D.M.; McLaren, I.S.; Thorne, A. Hydrological influences on hyporheic water quality: Implications for salmon egg survival. Hydrol. Process. 2004, 18, 1543–1560. [Google Scholar] [CrossRef]
 - Hester, E.T.; Doyle, M.W. Human Impacts to River Temperature and Their Effects on Biological Processes: A Quantitative Synthesis1. JAWRA J. Am. Water Resour. Assoc. 2011, 47, 571–587. [Google Scholar] [CrossRef]
 - Brunke, M.; Gosner, T. The ecological significance of exchange processes between rivers and groundwater (special review). Freshw. Biol. 1997, 37, 1–33. [Google Scholar] [CrossRef]
 - Dole-Olivier, M.-J.; Marmonier, P. Patch distribution of interstitial communities prevailing factors. Freshw. Biol. 1992, 27, 177–191. [Google Scholar] [CrossRef]
 - Dole-Olivier, M.-J.; Marmonier, P.; Beffy, J.-L. Response of invertebrates to lotic disturbance: Is the hyporheic zone a patchy refugium? Freshw. Biol. 1997, 37, 257–276. [Google Scholar] [CrossRef]
 - Grimm, N.B.; Valett, H.M.; Stanley, E.H.; Fischer, S.G. Contribution of the Hyporheic Zone to Stability of an Arid-Land Stream. Int. Ver. Fuer Theor. Und. Angew. Limnol. 1991, 24, 1595–1599. [Google Scholar] [CrossRef]
 - Stanford, J.A.; Ward, J.V. An ecosystem perspective of alluvial rivers: Connectivity and the hyporheic corridor. J. N. Am. Benthol. Soc. 1993, 12, 48–60. [Google Scholar] [CrossRef]
 - Hynes, H.B.N. Groundwater and stream ecology. Hydrobiologia 1983, 100, 93–99. [Google Scholar] [CrossRef]
 - Shepherd, B.G. Predicted Impacts of Altered Water Temperature Regime on Glendale Creek Pink Fry; Department of Fisheries and Oceans: Vancover, Canada, 1984.
 - Hynes, H.B.N.; Williams, D.D.; Williams, N.E. Distribution of the benthos within the substratum of a Welsh mountain stream. Oikos 1976, 27, 307–310. [Google Scholar] [CrossRef]
 - Poole, W.C.; Stewart, K.W. The vertical distribution of macrobenthos within the substratum of the Brazos river, Texas. Hydrobiologia 1976, 50, 151–160. [Google Scholar] [CrossRef]
 - Grimm, N.B.; Fisher, S.G. Exchange between interstitial and surface water: Implications for stream metabolism and nutrient cycling. Hydrobiologia 1984, 111, 219–228. [Google Scholar] [CrossRef]
 - Valett, H.M.; Fisher, S.G.; Stanley, E.H. Physical and Chemical Characteristics of the Hyporheic Zone of a Sonoran Desert Stream. J. N. Am. Benthol. Soc. 1990, 9, 201–215. [Google Scholar] [CrossRef]
 - Kishi, D.; Murakami, M.; Nakano, S.; Maekawa, K. Water temperature determines strength of top-down control in a stream food web. Freshw. Biol. 2005, 50, 1315–1322. [Google Scholar] [CrossRef]
 - Lee, R.M.; Rinne, J.N. Critical Thermal Maxima of Five Trout Species in the Southwestern United States. Trans. Am. Fish. Soc. 1980, 109, 632–635. [Google Scholar] [CrossRef]
 - Huntsman, A.G. Death of Salmon and Trout with High Temperature. J. Fish. Res. Board Can. 1942, 5, 485–501. [Google Scholar] [CrossRef]
 - Dogwiler, T.J.; Wicks, C.M. Thermal variations in the hyporheic zone of a karst stream. Speleogenesis Evol. Karst Aquifers 2005, 3, 11. [Google Scholar] [CrossRef]
 - Brown, L.E.; Hannah, D.M. Alpine Stream Temperature Response to Storm Events. J. Hydrometerol. 2007, 8, 952–967. [Google Scholar] [CrossRef]
 - Ackerman, J.R.; Peterson, E.W.; Van der Hoven, S.; Perry, W. Quantifying nutrient removal from groundwater seepage out of constructed wetlands receiving treated wastewater effluent. Environ. Earth Sci. 2015, 74, 1633–1645. [Google Scholar] [CrossRef]
 - Bastola, H.; Peterson, E.W. Heat tracing to examine seasonal groundwater flow beneath a low-gradient stream. Hydrogeol. J. 2016, 24, 181–194. [Google Scholar] [CrossRef]
 - Ludwikowski, J.J.; Peterson, E.W. Transport and fate of chloride from road salt within a mixed urban and agricultural watershed in Illinois (USA): Assessing the influence of chloride application rates. Hydrogeol. J. 2018, 26, 1123–1135. [Google Scholar] [CrossRef]
 - Peterson, E.W.; Benning, C. Factors influencing nitrate within a low-gradient agricultural stream. Environ. Earth Sci. 2013, 68, 1233–1245. [Google Scholar] [CrossRef]
 - Peterson, E.W.; Hayden, K.M. Transport and Fate of Nitrate in the Streambed of a Low-Gradient Stream. Hydrology 2018, 5, 55. [Google Scholar] [CrossRef]
 - Peterson, E.W.; Sickbert, T.B. Stream water bypass through a meander neck, laterally extending the hyporheic zone. Hydrogeol. J. 2006, 14, 1443–1451. [Google Scholar] [CrossRef]
 - Van der Hoven, S.J.; Fromm, N.J.; Peterson, E.W. Quantifying nitrogen cycling beneath a meander of a low gradient, N-impacted, agricultural stream using tracers and numerical modelling. Hydrol. Process. 2008, 22, 1206–1215. [Google Scholar] [CrossRef]
 - Ludwikowski, J.; Malone, D.H.; Peterson, E.W. Surficial Geologic Map, Bloomington East Quadrangle, McLean County, Illinois. Illinois State Geological Survey, Ed. Illinois State Geological Survey. 2016. Available online: http://isgs.illinois.edu/maps/isgs-quads/surficial-geology/student-map/bloomington-east (accessed on 15 February 2020).
 - Beach, V.; Peterson, E.W. Variation of hyporheic temperature profiles in a low gradient third-order agricultural stream—A statistical approach. Open J. Mod. Hydrol. 2013, 3, 55–66. [Google Scholar] [CrossRef]
 - White, D.S.; Elzinga, C.H.; Hendricks, S.P. Temperature patterns within the hyporheic zone of a northern Michigan river. J. N. Am. Benthol. Soc. 1987, 6, 85–91. [Google Scholar] [CrossRef]
 - Constantz, J.; Thomas, C.L. The use of streambed temperature profiles to estimate the depth, duration, and rate of percolation beneath arroyos. Water Resour. Res. 1996, 32, 3597–3602. [Google Scholar] [CrossRef]
 - Harris, F.C.; Peterson, E.W. 1-D Vertical Flux Dynamics in a Low-Gradient Stream: An Assessment of Stage as a Control of Vertical Hyporheic Exchange. Water 2020, 12, 16. [Google Scholar] [CrossRef]
 - Evans, E.C.; Petts, G.E. Hyporheic temperature patterns within riffles / Comportement des températures hyporhéiques dans des rapides. Hydrol. Sci. J. 1997, 42, 199–213. [Google Scholar] [CrossRef]
 - Caissie, D. The thermal regime of rivers: A review. Freshw. Biol. 2006, 51, 1389–1406. [Google Scholar] [CrossRef]
 - Gu, R.; McCutcheon, S.; Chen, C.-J. Development of Weather-Dependent Flow Requirements for River Temperature Control. Environ. Manag. 1999, 24, 529–540. [Google Scholar] [CrossRef]
 - Hockey, J.B.; Owens, I.F.; Tapper, N.J. Empirical and theoretical models to isolate the effect of discharge on summer water temperautre in the Hurunui River. J. Hydrol. N. Z. 1982, 21, 1–12. [Google Scholar]
 - Neumann, D.W.; Rajagopalan, B.; Zagona, E.A. Regression Model for Daily Maximum Stream Temperature. J. Environ. Eng. 2003, 129, 667–674. [Google Scholar] [CrossRef]
 - Sullivan, K.; Adams, T.N. The Physics of Stream Heating: 2) An Analysis of Temperature Patterns in Stream Enviornments Based on Physical Principles and Field Data. In Weyerhaeuser Company Technical Report 044-5002/89/2; Weyerhauser Company: Tacoma Washington, USA, 1991. [Google Scholar]
 - Nightingale, H.I. Ground-Water Recharge Rates from Thermometry a. Ground Water 1975, 13, 340–344. [Google Scholar] [CrossRef]
 - Stallman, R.W. Steady One-Dimensional Fluid Flow in a Semi-Infinite Porous Medium with Sinusoidal Surface Temperature. J. Geophys. Res. 1965, 70, 2821–2827. [Google Scholar] [CrossRef]
 - Wierenga, P.J.; Hagan, R.M.; Nielsen, D.R. Soil Temperature Profiles During Infiltration and Redistribution of Cool and Warm Irrigation Water. Water Resour. Res. 1970, 6, 230–238. [Google Scholar] [CrossRef]
 - Vervier, P.; Gibert, J.; Marmonier, P.; Dole-Olivier, M.-J. A perspective on the permeability of the surface freshwater-groundwater ecotone. J. N. Am. Benthol. Soc. 1992, 11, 93–102. [Google Scholar] [CrossRef]
 - Hunt, R.J.; Strand, M.; Walker, J.F. Measuring groundwater-surface water interaction and its effect on wetland stream benthic productivity, Trout Lake watershed, northern Wisconsin, USA. J. Hydrol. 2006, 320, 370–384. [Google Scholar] [CrossRef]
 - Chabela, L.P.; Peterson, E.W. Relationship between peak stage, storm duration, and bank storage along a meandering stream. Water 2019, 11, 16. [Google Scholar] [CrossRef]
 - Lee, J.-Y.; Lim, H.; Yoon, H.; Park, Y. Stream Water and Groundwater Interaction Revealed by Temperature Monitoring in Agricultural Areas. Water 2013, 5, 1677–1698. [Google Scholar] [CrossRef]
 - Constantz, J. Interaction between stream temperature, streamflow, and groundwater exchanges in alpine streams. Water Resour. Res. 1998, 34, 1609–1615. [Google Scholar] [CrossRef]
 - Baskaran, S.; Brodie, R.S.; Ransley, T.; Baker, P. Time-series measurements of stream and sediment temperature for understanding river-groundwater interactions: Border Rivers and Lower Richmond catchments, Australia. Aust. J. Earth Sci. 2009, 56, 21–30. [Google Scholar] [CrossRef]
 - Peterson, E.W.; Sickbert, T.B.; Moore, S.L. High frequency stream bed mobility of a low-gradient agricultural stream with implications on the hyporheic zone. Hydrol. Process. 2008, 22, 4239–4248. [Google Scholar] [CrossRef]
 - Caissie, D.; Kurylyk, B.L.; St-Hilaire, A.; El-Jabi, N.; MacQuarrie, K.T.B. Streambed temperature dynamics and corresponding heat fluxes in small streams experiencing seasonal ice cover. J. Hydrol. 2014, 519, 1441–1452. [Google Scholar] [CrossRef]
 





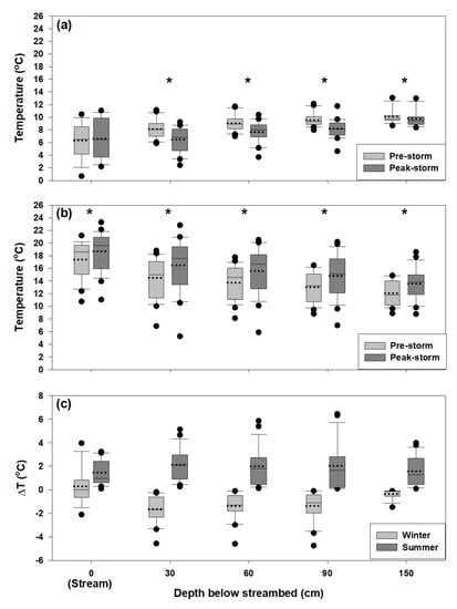
| Location | Sample Size  | Pre-Storm Temperature (°C)  | Peak-Storm Temperature (°C)  | Paired t-Test: Pre- vs. Peak-Storm T  | ΔT (°C)  | Paired t-Test: ΔT 30 cm vs. Other Depths  | |||
|---|---|---|---|---|---|---|---|---|---|
| (n) | Mean | Standard Deviation | Mean | Standard Deviation | p Value | Mean | Standard Deviation | p Value | |
| Stream | 15 | 6.32 | 2.71 | 6.61 | 3.03 | 0.39 | 0.29 | 1.11 | <0.05 | 
| 30 cm | 15 | 8.11 | 1.46 | 6.46 | 1.7 | <0.05 | −1.65 | 1.11 | |
| 60 cm | 15 | 9.05 | 1.26 | 7.67 | 1.24 | <0.05 | −1.38 | 1.11 | 0.25 | 
| 90 cm | 14 | 9.55 | 1.09 | 8.18 | 1.17 | <0.05 | −1.37 | 1.20 | 0.26 | 
| 150 cm | 14 | 10.11 | 1.18 | 9.76 | 1.32 | 0.23 | −0.35 | 0.40 | <0.05 | 
| Location | Sample Size  | Pre-Storm Temperature (°C)  | Peak-Storm Temperature (°C)  | Paired t-Test: Pre- vs. Peak-Storm T  | ΔT (°C)  | Paired t-Test: ΔT 30 cm vs. Other Depths  | |||
|---|---|---|---|---|---|---|---|---|---|
| (n) | Mean | Standard Deviation | Mean | Standard Deviation | p Value | Mean | Standard Deviation | p Value | |
| Stream | 25 | 17.39 | 2.94 | 18.68 | 3.01 | 0.07 | 1.47 | 1.06 | <0.05 | 
| 30 cm | 25 | 14.50 | 3.19 | 16.49 | 4.09 | <0.05 | 2.14 | 1.36 | |
| 60 cm | 25 | 13.73 | 2.72 | 15.58 | 3.63 | <0.05 | 2.01 | 1.56 | 0.38 | 
| 90 cm | 25 | 13.01 | 2.39 | 14.80 | 3.41 | <0.05 | 2.04 | 1.94 | 0.42 | 
| 150 cm | 23 | 12.07 | 1.93 | 13.57 | 2.50 | <0.05 | 1.58 | 1.24 | 0.07 | 
© 2020 by the authors. Licensee MDPI, Basel, Switzerland. This article is an open access article distributed under the terms and conditions of the Creative Commons Attribution (CC BY) license (http://creativecommons.org/licenses/by/4.0/).
Share and Cite
Oware, E.K.; Peterson, E.W. Storm Driven Seasonal Variation in the Thermal Response of the Streambed Water of a Low-Gradient Stream. Water 2020, 12, 2498. https://doi.org/10.3390/w12092498
Oware EK, Peterson EW. Storm Driven Seasonal Variation in the Thermal Response of the Streambed Water of a Low-Gradient Stream. Water. 2020; 12(9):2498. https://doi.org/10.3390/w12092498
Chicago/Turabian StyleOware, Erasmus K., and Eric W. Peterson. 2020. "Storm Driven Seasonal Variation in the Thermal Response of the Streambed Water of a Low-Gradient Stream" Water 12, no. 9: 2498. https://doi.org/10.3390/w12092498
APA StyleOware, E. K., & Peterson, E. W. (2020). Storm Driven Seasonal Variation in the Thermal Response of the Streambed Water of a Low-Gradient Stream. Water, 12(9), 2498. https://doi.org/10.3390/w12092498
        
