Minimal Building Flood Fragility and Loss Function Portfolio for Resilience Analysis at the Community Level
Abstract
1. Introduction
2. Methodology
2.1. Components’ Fragility and Loss Analysis
2.2. Building Fragility and Loss Analysis
2.3. Building Archetypes
- F1: One-Story Single-Family Residential Building
- F2: One-Story Multi-Family Residential Building
- F3: Two-Story Single-Family Residential Building
- F4: Two-Story Multi-Family Residential Building
- F5: Small Grocery Store/Gas Station with a Convenience Store
- F6: Multi-Unit Retail Building (Strip Mall)
- F7: Small Multi-Unit Commercial Building
- F8: Super Retail Center
- F9: Industrial Building
- F10: One-Story School
- F11: Two-Story School
- F12: Hospital/Clinic
- F13: Community Center (Place of Worship)
- F14: Office Building
- F15: Warehouse (Small/Large Box)
3. Results
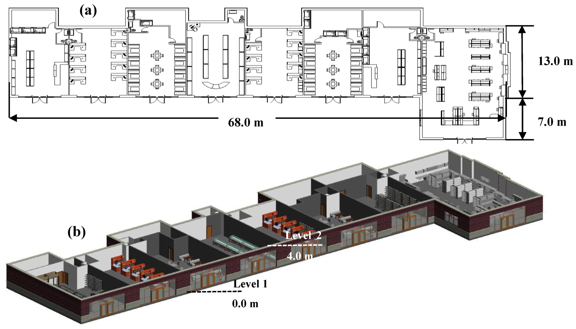
3.1. Specific Results to F10: One-Story School Building Archetype
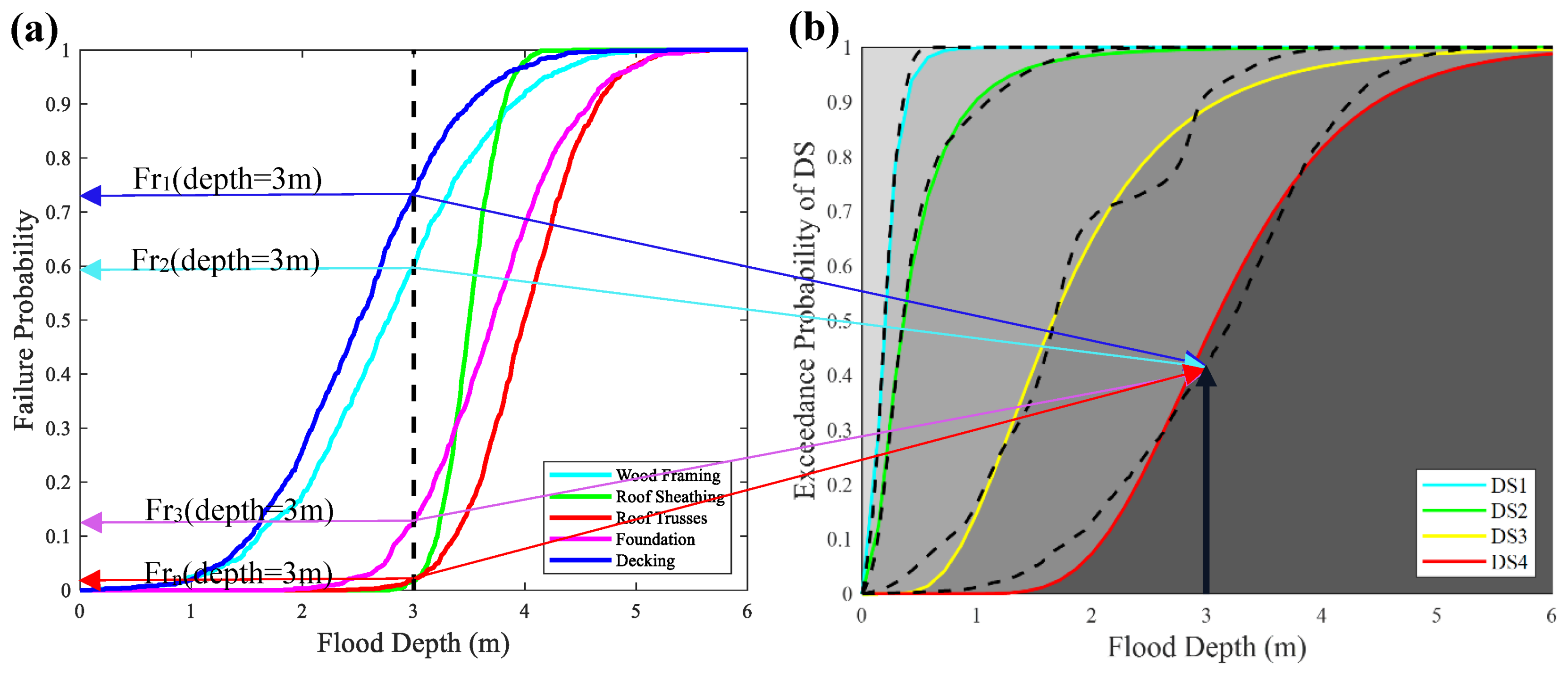
3.1.1. Components’ Fragility and Loss Results
3.1.2. 2-D Building Fragility and Loss Results
3.1.3. 3-D Building Fragility and Loss Results
3.2. General Results for the Whole 15 Building Archetypes
4. Summary and Conclusions
Supplementary Materials
Author Contributions
Funding
Acknowledgments
Conflicts of Interest
Appendix A
- F1: One-Story Single-Family Residential Building

- F2: One-Story Multi-Family Residential Building

- F3: Two-Story Single-Family Residential Building

- F4: Two-Story Multi-Family Residential Building

- F5: Small Grocery Store/Gas Station with a Convenience Store

- F6: Multi-Unit Retail Building (Strip Mall)

- F7: Small Multi-Unit Commercial Building

- F8: Super Retail Center

- F9: Industrial Building

- F11: Two-Story School

- F12: Hospital/Clinic

- F13: Community Center (Church)

- F14: Office Building

- F15: Warehouse (Small/Large Box)

Appendix B
- F1: One-Story Single-Family Residential Building

- F2: One-Story Multi-Family Residential Building

- F3: Two-Story Single-Family Residential Building

- F4: Two-Story Multi-Family Residential Building

- F5: Small Grocery Store/Gas Station with a Convenience Store

- F6: Multi-Unit Retail Building (Strip Mall)

- F7: Small Multi-Unit Commercial Building

- F8: Super Retail Center

- F9: Industrial Building

- F10: One-Story School

- F11: Two-Story School

- F12: Hospital

- F13: Community Center (Place of Worship)

- F14: Office Building

- F15: Warehouse (Small/Large Box)

References
- Jonkman, S.; Kok, M.; Vrijling, J.K. Flood Risk Assessment in the Netherlands: A Case Study for Dike Ring South Holland. Risk Anal. 2008, 28, 1357–1374. [Google Scholar] [CrossRef] [PubMed]
- Veldhuis, M.-C.T.; Clemens, F.H.L.R. Flood risk modelling based on tangible and intangible urban flood damage quantification. Water Sci. Technol. 2010, 62, 189–195. [Google Scholar] [CrossRef]
- Morita, M. Quantification of increased flood risk due to global climate change for urban river management planning. Water Sci. Technol. 2011, 63, 2967–2974. [Google Scholar] [CrossRef] [PubMed]
- Kandilioti, G.; Makropoulos, C. Preliminary flood risk assessment: The case of Athens. Nat. Hazards 2011, 61, 441–468. [Google Scholar] [CrossRef]
- Wyncoll, D.; Gouldby, B. Integrating a multivariate extreme value method within a system flood risk analysis model. J. Flood Risk Manag. 2013, 8, 145–160. [Google Scholar] [CrossRef]
- Pistrika, A.; Tsakiris, G. Flood risk assessment: A methodological framework. Water Resources Management: New Approaches and Technologies. In Proceedings of the European Water Resources Association, Chania, Greece, 14–16 June 2007. [Google Scholar]
- Hemmati, M.; Ellingwood, B.R.; Mahmoud, H.N. The Role of Urban Growth in Resilience of Communities Under Flood Risk. Earth’s Future 2020, 8, 1382. [Google Scholar] [CrossRef]
- Nofal, O.M.; Van De Lindt, J.W. Understanding flood risk in the context of community resilience modeling for the built environment: Research needs and trends. Sustain. Resilient Infrastruct. 2020, 5, 1–17. [Google Scholar] [CrossRef]
- Budiyono, Y.; Aerts, J.; Brinkman, J.; Marfai, M.A.; Ward, P. Flood risk assessment for delta mega-cities: A case study of Jakarta. Nat. Hazards 2014, 75, 389–413. [Google Scholar] [CrossRef]
- Deniz, D.; Arneson, E.E.; Liel, A.B.; Dashti, S.; Javernick-Will, A. Flood loss models for residential buildings, based on the 2013 Colorado floods. Nat. Hazards 2016, 85, 977–1003. [Google Scholar] [CrossRef]
- Romali, N.S.; Yusop, Z.; Ismail, Z. Flood Damage Assessment: A Review of Flood Stage–Damage Function Curve. In ISFRAM 2014; Bakar, W.S.H.A., Tahir, M.A., Wahid, S.R.M., Nasir, R., Hassan, Eds.; Springer: New York, NY, USA, 2015; pp. 147–159. [Google Scholar]
- Scawthorn, C.; Flores, P.; Blais, N.; Seligson, H.; Tate, E.; Chang, S.; Mifflin, E.; Thomas, W.; Murphy, J.; Jones, C.; et al. HAZUS-MH Flood Loss Estimation Methodology. II. Damage and Loss Assessment. Nat. Hazards Rev. 2006, 7, 72–81. [Google Scholar] [CrossRef]
- Oubennaceur, K.; Chokmani, K.; Nastev, M.; Lhissou, R.; El Alem, A. Flood risk mapping for direct damage to residential buildings in Quebec, Canada. Int. J. Disaster Risk Reduct. 2019, 33, 44–54. [Google Scholar] [CrossRef]
- Nascimento, N. Flood-damage curves: Methodological development for the Brazilian context. Water Pract. Technol. 2006, 1. [Google Scholar] [CrossRef]
- Pistrika, A.K.; Jonkman, S.N. Damage to residential buildings due to flooding of New Orleans after hurricane Katrina. Nat. Hazards 2009, 54, 413–434. [Google Scholar] [CrossRef]
- Garrote, J.; Bernal, N. On the Influence of the Main Floor Layout of Buildings in Economic Flood Risk Assessment: Results from Central Spain. Water 2020, 12, 670. [Google Scholar] [CrossRef]
- Martínez-Gomariz, E.; Forero-Ortiz, E.; Hidalga, M.G.; Castán, S.; Gómez, M. Flood Depth‒Damage Curves for Spanish Urban Areas. Sustainability 2020, 12, 2666. [Google Scholar] [CrossRef]
- Naumann, T.; Johannes, N.; Sebastian, G. Synthetic Depth-Damage Functions—A Detailed Tool for Analysing Flood Resilience of Building Types in Road Map towards a Flood Resilient Urban Environment. In Proceedings of the Final Conference of the COST Action C. 2009. Available online: https://www.researchgate.net/publication/259036588_Synthetic_depth-damage_functions_-_A_detailed_tool_for_analysing_flood_resilience_of_building_types (accessed on 10 August 2020).
- Dottori, F.; Figueiredo, R.; Martina, M.; Molinari, D.; Scorzini, A.R. INSYDE: A synthetic, probabilistic flood damage model based on explicit cost analysis. Nat. Hazards Earth Syst. Sci. 2016, 16, 2577–2591. [Google Scholar] [CrossRef]
- Velasco, M.; Cabello, À.; Russo, B. Flood damage assessment in urban areas. Application to the Raval district of Barcelona using synthetic depth damage curves. Urban Water J. 2015, 13, 426–440. [Google Scholar] [CrossRef]
- Chinh, D.T.; Dung, N.V.; Gain, A.K.; Kreibich, H. Flood Loss Models and Risk Analysis for Private Households in Can Tho City, Vietnam. Water 2017, 9, 313. [Google Scholar] [CrossRef]
- Hanák, T.; Tuscher, M.; Přibyl, O. Hybrid Genetic Algorithm-Based Approach for Estimating Flood Losses on Structures of Buildings. Sustainability 2020, 12, 3047. [Google Scholar] [CrossRef]
- FEMA. Multi-Hazard Loss Estimation Methodology: Flood Model (HAZUS-MH MR5) Technical Manual; Federal Emergency Management Agency: Washington, DC, USA, 2009.
- FEMA. Multi-Hazard Loss Estimation Methodology: Earthquake Model (HAZUS-MH MR5) Technical Manual; Federal Emergency Management Agency: Washington, DC, USA, 2009.
- FEMA. Multi-Hazard Loss Estimation Methodology: Hurricane Model(HAZUS-MH MR5) Technical Manual; Federal Emergency Management Agency: Washington, DC, USA, 2009.
- Handmer, J. The chimera of precision: Inherent uncertainties in disaster loss assessment. Int. J. Mass Emerg. Disasters 2002, 20, 325–346. [Google Scholar]
- De Moel, H.; Aerts, J.C.J.H. Effect of uncertainty in land use, damage models and inundation depth on flood damage estimates. Nat. Hazards 2010, 58, 407–425. [Google Scholar] [CrossRef]
- Freni, G.; La Loggia, G.; Notaro, V. Uncertainty in urban flood damage assessment due to urban drainage modelling and depth-damage curve estimation. Water Sci. Technol. 2010, 61, 2979–2993. [Google Scholar] [CrossRef] [PubMed]
- Wagenaar, D.; De Bruijn, K.M.; Bouwer, L.M.; De Moel, H. Uncertainty in flood damage estimates and its potential effect on investment decisions. Nat. Hazards Earth Syst. Sci. 2016, 16, 1–14. [Google Scholar] [CrossRef]
- Hall, J.W.; Solomatine, D. A framework for uncertainty analysis in flood risk management decisions. Int. J. River Basin Manag. 2008, 6, 85–98. [Google Scholar] [CrossRef]
- Molinari, D.; Scorzini, A.R. On the Influence of Input Data Quality to Flood Damage Estimation: The Performance of the INSYDE Model. Water 2017, 9, 688. [Google Scholar] [CrossRef]
- Teng, J.; Jakeman, A.; Vaze, J.; Croke, B.F.; Dutta, D.; Kim, S. Flood inundation modelling: A review of methods, recent advances and uncertainty analysis. Environ. Model. Softw. 2017, 90, 201–216. [Google Scholar] [CrossRef]
- Mukolwe, M.M. Flood Hazard Mapping: Uncertainty and its Value in the Decision-Making Process. Ph.D. Thesis, Delft University of Technology, Delft, The Netherlands, 2017. [Google Scholar]
- Domeneghetti, A.; Vorogushyn, S.; Castellarin, A.; Merz, B.; Brath, A. Probabilistic flood hazard mapping: Effects of uncertain boundary conditions. Hydrol. Earth Syst. Sci. 2013, 17, 3127–3140. [Google Scholar] [CrossRef]
- Merwade, V.; Olivera, F.; Arabi, M.; Edleman, S. Uncertainty in Flood Inundation Mapping: Current Issues and Future Directions. J. Hydrol. Eng. 2008, 13, 608–620. [Google Scholar] [CrossRef]
- Candela, A.; Aronica, G.T. Probabilistic Flood Hazard Mapping Using Bivariate Analysis Based on Copulas. ASCE-ASME J. Risk Uncertain. Eng. Syst. Part A Civ. Eng. 2017, 3, A4016002. [Google Scholar] [CrossRef]
- Dubois, D.; Guyonnet, D. Risk-informed decision-making in the presence of epistemic uncertainty. Int. J. Gen. Syst. 2011, 40, 145–167. [Google Scholar] [CrossRef]
- McAllister, T.P. Research Needs for Developing a Risk-Informed Methodology for Community Resilience. J. Struct. Eng. 2016, 142. [Google Scholar] [CrossRef]
- Rosowsky, D.V.; Ellingwood, B.R. Performance-Based Engineering of Wood Frame Housing: Fragility Analysis Methodology. J. Struct. Eng. 2002, 128, 32–38. [Google Scholar] [CrossRef]
- Memari, M.; Attary, N.; Masoomi, H.; Mahmoud, H.; Van De Lindt, J.W.; Pilkington, S.; Ameri, R. Minimal Building Fragility Portfolio for Damage Assessment of Communities Subjected to Tornadoes. J. Struct. Eng. 2018, 144, 4018072. [Google Scholar] [CrossRef]
- Ellingwood, B.R.; Celik, O.C.; Kinali, K. Fragility assessment of building structural systems in Mid-America. Earthq. Eng. Struct. Dyn. 2007, 36, 1935–1952. [Google Scholar] [CrossRef]
- Suppasri, A.; Mas, E.; Charvet, I.; Gunasekera, R.; Imai, K.; Fukutani, Y.; Abe, Y.; Imamura, F. Building damage characteristics based on surveyed data and fragility curves of the 2011 Great East Japan tsunami. Nat. Hazards 2012, 66, 319–341. [Google Scholar] [CrossRef]
- Rehman, K.; Cho, Y.-S. Building Damage Assessment Using Scenario Based Tsunami Numerical Analysis and Fragility Curves. Water 2016, 8, 109. [Google Scholar] [CrossRef]
- Attary, N.; Unnikrishnan, V.U.; Van De Lindt, J.W.; Cox, D.T.; Barbosa, A.R. Performance-Based Tsunami Engineering methodology for risk assessment of structures. Eng. Struct. 2017, 141, 676–686. [Google Scholar] [CrossRef]
- Ellingwood, B.R.; Cutler, H.; Gardoni, P.; Peacock, W.G.; Van De Lindt, J.W.; Wang, N. The Centerville Virtual Community: A fully integrated decision model of interacting physical and social infrastructure systems. Sustain. Resilient Infrastruct. 2016, 1, 95–107. [Google Scholar] [CrossRef]
- Lin, P.; Wang, N. Building portfolio fragility functions to support scalable community resilience assessment. Sustain. Resilient Infrastruct. 2016, 1, 108–122. [Google Scholar] [CrossRef]
- Soetanto, R.; Proverbs, D. Impact of flood characteristics on damage caused to UK domestic properties: The perceptions of building surveyors. Struct. Surv. 2004, 22, 95–104. [Google Scholar] [CrossRef]
- Middelmann-Fernandes, M. Flood damage estimation beyond stage-damage functions: An Australian example. J. Flood Risk Manag. 2010, 3, 88–96. [Google Scholar] [CrossRef]
- Kelman, I.; Spence, R. An overview of flood actions on buildings. Eng. Geol. 2004, 73, 297–309. [Google Scholar] [CrossRef]
- Pistrika, A.; Tsakiris, G.; Nalbantis, I. Flood Depth-Damage Functions for Built Environment. Environ. Process. 2014, 1, 553–572. [Google Scholar] [CrossRef]
- Scorzini, A.R.; Frank, E. Flood damage curves: New insights from the 2010 flood in Veneto, Italy. J. Flood Risk Manag. 2015, 10, 381–392. [Google Scholar] [CrossRef]
- Frongia, S.; Ruiu, A.; Sechi, G.M. Water depth-damage functions for flood direct tangible damage evaluation in built-up areas in Sardinia (Italy). In Proceedings of the 10th World Congress of EWRA on Water Resources and Environment, Athens, Greece, 5–9 July 2017; pp. 3–10. [Google Scholar]
- Pistrika, A. Flood damage estimation based on flood simulation scenarios and a GIS platform. Eur. Water 2010, 30, 3–11. [Google Scholar]
- Marvi, M.T. A review of flood damage analysis for a building structure and contents. Nat. Hazards 2020, 102, 967–995. [Google Scholar] [CrossRef]
- Tomiczek, T.; Kennedy, A.; Zhang, Y.; Owensby, M.; Hope, M.E.; Lin, N.; Flory, A. Hurricane Damage Classification Methodology and Fragility Functions Derived from Hurricane Sandy’s Effects in Coastal New Jersey. J. Waterw. Port Coastal Ocean Eng. 2017, 143, 4017027. [Google Scholar] [CrossRef]
- Do, T.Q.; Van De Lindt, J.W.; Cox, D.T. Hurricane Surge-Wave Building Fragility Methodology for Use in Damage, Loss, and Resilience Analysis. J. Struct. Eng. 2020, 146, 4019177. [Google Scholar] [CrossRef]
- Masoomi, H.; Van De Lindt, J.W.; Ameri, R.; Do, T.Q.; Webb, B. Combined Wind-Wave-Surge Hurricane-Induced Damage Prediction for Buildings. J. Struct. Eng. 2019, 145, 4018227. [Google Scholar] [CrossRef]
- Charvet, I.; Macabuag, J.; Rossetto, T. Estimating Tsunami-Induced Building Damage through Fragility Functions: Critical Review and Research Needs. Front. Built Environ. 2017, 3, 36. [Google Scholar] [CrossRef]
- Reese, S.; Bradley, B.A.; Bind, J.; Smart, G.; Power, W.; Sturman, J. Empirical building fragilities from observed damage in the 2009 South Pacific tsunami. Earth-Science Rev. 2011, 107, 156–173. [Google Scholar] [CrossRef]
- Massarra, C.C.; Friedland, C.J.; Marx, B.D.; Dietrich, J.C. Predictive multi-hazard hurricane data-based fragility model for residential homes. Coast. Eng. 2019, 151, 10–21. [Google Scholar] [CrossRef]
- Nadal, N.C.; Zapata, R.E.; Pagán, I.; Lopez, R.; Agudelo, J. Building Damage due to Riverine and Coastal Floods. J. Water Resour. Plan. Manag. 2010, 136, 327–336. [Google Scholar] [CrossRef]
- FEMA. Guidance for Flood Risk Analysis and Mapping: Shallow Flooding Analyses and Mapping. 2016. Available online: https://www.fema.gov/media-library-data/1484865782763-4d150592d6eae9fdb5e2c2ab597928a6/Shallow_Flooding_Guidance_Nov_2016.pdf (accessed on 10 August 2020).
- De Risi, R.; Jalayer, F.; De Paola, F.; Iervolino, I.; Giugni, M.; Topa, M.E.; Mbuya, E.; Kyessi, A.; Manfredi, G.; Gasparini, P. Flood risk assessment for informal settlements. Nat. Hazards 2013, 69, 1003–1032. [Google Scholar] [CrossRef]
- Van De Lindt, J.W.; Taggart, M. Fragility Analysis Methodology for Performance-Based Analysis of Wood-Frame Buildings for Flood. Nat. Hazards Rev. 2009, 10, 113–123. [Google Scholar] [CrossRef]
- Deniz, D.; Sutley, E.J.; Lindt, v.d.J.W.; Peacock, W.G.; Rosenheim, N.; Gu, D.; Mitrani-Reiser, J.; Dillard, M.; Koliou, M.; Hamideh, S. Flood Performance and Dislocation Assessment for Lumberton Homes after Hurricane Matthew. In Proceedings of the 13th International Conference on Applications of Statistics and Probability in Civil Engineering (ICASP13), Seoul, Korea, 26–30 May 2019. [Google Scholar] [CrossRef]
- Van de Lindt, J.W.; Peacock, W.G.; Mitrani-Reiser, J.; Rosenheim, N.; Deniz, D.; Dillard, M.K.; Tomiczek, T.; Koliou, M.; Graettinger, A.; Crawford, S.; et al. The Lumberton, North Carolina Flood of 2016: A Community Resilience Focused Technical Investigation; National Institute of Standards and Technology: Gaithersburg, MD, USA, 2018. [Google Scholar]
- Sairam, N.; Schröter, K.; Carisi, F.; Wagenaar, D.; Domeneghetti, A.; Molinari, D.; Brill, F.; Priest, S.; Viavattene, C.; Merz, B.; et al. Bayesian Data-Driven approach enhances synthetic flood loss models. Environ. Model. Softw. 2020, 104798. [Google Scholar] [CrossRef]
- McGrath, H.; El Ezz, A.A.; Nastev, M. Probabilistic depth–damage curves for assessment of flood-induced building losses. Nat. Hazards 2019, 97, 1–14. [Google Scholar] [CrossRef]
- Nofal, O.M.; van de Lindt, J.W.; Do, T.Q. Multi-variate and Single-Variable Flood Fragility and Loss Approaches for Buildings. Reliab. Eng. Syst. Saf. 2020. [Google Scholar] [CrossRef]
- Nofal, O.M.; Van De Lindt, J.W. Probabilistic Flood Loss Assessment at the Community Scale: Case Study of 2016 Flooding in Lumberton, North Carolina. ASCE-ASME J. Risk Uncertain. Eng. Syst. Part A Civ. Eng. 2020, 6. [Google Scholar] [CrossRef]
- Autodesk, Autodesk Revit Architecture. 2020. Available online: https://www.autodesk.com/products/revit/architecture (accessed on 10 August 2020).
- World Health Organization, Medical Devices by Facility Provincial Hospital. 2020. Available online: https://www.who.int/medical_devices/innovation/health_care_facility/en/ (accessed on 10 August 2020).
- Cost Finder. How Much Does It Cost to Build a Hospital. 2020. Available online: http://cost-finder.com/how-much-does-it-cost-to-build-a-hospital/ (accessed on 10 August 2020).









| DS Level | Functionality | Damage Scale | Loss Ratio |
|---|---|---|---|
| DS0 | Operational | Insignificant | 0.00–0.03 |
| DS1 | Limited Occupancy | Slight | 0.03–0.15 |
| DS2 | Restricted Occupancy | Moderate | 0.15–0.50 |
| DS3 | Restricted Use | Extensive | 0.50–0.70 |
| DS4 | Restricted Entry | Complete | 0.70–1.00 |
| DS | Description |
|---|---|
| DS0 | Insignificant damage to components below first-floor elevation. Water enters crawlspace/basement and touches foundation (crawlspace or slab on grade). Damage to components within the crawlspace/basement including base insulation and stored inventory. Minor damage to garage interiors including drywall, cabinets, electrical outlets, wall insulation (Garage is below the first-flood elevation (FFE)). No sewer backup into the living area. |
| DS1 | Water touches floor joists up to minor water entering the building. Damage to carpets, pads, baseboards, flooring. Damage to the external AC unit (if the AC unit is not elevated) and the attached ductworks (if ductworks are in the crawlspace). Complete damage to the garage interior (if the garage is below FFE). No drywall damages with the potential of some mold on the subfloor above the crawlspace. Could have a minor sewer backup and/or minor mold issue. |
| DS2 | Partial damage to drywalls along with damage to electrical components (base-outlets), water heater, and furnace. Complete damage to major equipment, appliances, and furniture on the first floor. Damage to the lower bathroom and kitchen cabinets. Doors and windows may need replacement. Could have a major sewer backup and major mold issues. |
| DS3 | Damage to the non-structural components and interiors within the whole building including (but not limited to) drywall damage to upper stories for multi-story buildings (e.g., attic, second story, etc.). Electrical switches and mid-outlets are destroyed. Damage to bathroom/kitchen upper cabinets, lighting fixtures on walls are destroyed with potential damage to ceiling lighting fixtures. Studs reusable; some may be damaged. Major sewer backup will happen along with major mold issues. Equipment, appliances, and furniture on the upper floors are also damaged (e.g., attic, second floor, etc.). |
| DS4 | Significant structural damage present (e.g., studs, trusses, joists, etc.). Non-structural components and interiors are destroyed including all drywall, appliances, cabinets, furniture, etc. Damage to rooftop units/components including roof insulation, sheathing, and electro-mechanical systems (rooftop AC units, electrical systems, cable railing, sound system, etc.). Foundation could be floated off. The building must be demolished or potentially replaced. |
| Building Archetype | Building Description |
|---|---|
| F1 | One-story single-family residential building on a crawlspace foundation |
| F2 | One-story multi-family residential building on a slab-on-grade foundation |
| F3 | Two-story single-family residential building on a crawlspace foundation |
| F4 | Two-story multi-family residential building on a slab-on-grade foundation |
| F5 | Small grocery store/Gas station with a convenience store |
| F6 | Multi-unit retail building (strip mall) |
| F7 | Small multi-unit commercial building |
| F8 | Super retail center |
| F9 | Industrial building |
| F10 | One-story school |
| F11 | Two-story school |
| F12 | Hospital/Clinic |
| F13 | Community center (place of worship) |
| F14 | Office building |
| F15 | Warehouse (small/large box) |
| Archetype | DS0 | DS1 | DS2 | DS3 | DS4 | |||||
|---|---|---|---|---|---|---|---|---|---|---|
| λ | ξ | λ | ξ | λ | ξ | λ | ξ | λ | ξ | |
| F1 | −1.187 | 0.849 | −0.106 | 0.397 | 0.333 | 0.220 | 1.173 | 0.278 | 1.405 | 0.227 |
| F2 | - | - | −1.664 | 0.533 | −1.064 | 0.745 | 0.589 | 0.439 | 1.122 | 0.294 |
| F3 | −1.001 | 0.639 | −0.109 | 0.414 | 0.393 | 0.233 | 1.512 | 0.240 | 1.693 | 0.322 |
| F4 | - | - | −1.666 | 0.553 | −0.984 | 0.798 | 1.214 | 0.288 | 1.477 | 0.389 |
| F5 | - | - | −1.595 | 0.486 | −0.827 | 0.616 | 0.533 | 0.681 | 1.435 | 0.242 |
| F6 | - | - | −1.461 | 0.493 | −0.798 | 0.740 | 0.450 | 0.860 | 2.029 | 0.191 |
| F7 | - | - | −1.419 | 0.462 | −0.736 | 0.745 | 0.456 | 0.724 | 1.585 | 0.198 |
| F8 | - | - | −1.420 | 0.467 | −0.908 | 0.681 | 0.412 | 0.913 | 2.025 | 0.195 |
| F9 | - | - | −1.470 | 0.475 | −0.540 | 0.667 | 0.865 | 0.928 | 2.023 | 0.153 |
| F10 | - | - | −1.570 | 0.502 | −0.681 | 0.738 | 0.824 | 0.531 | 1.573 | 0.186 |
| F11 | - | - | −1.546 | 0.488 | −0.678 | 0.740 | 1.388 | 0.435 | 2.006 | 0.254 |
| F12 | - | - | −1.434 | 0.471 | −0.594 | 0.586 | 1.034 | 0.742 | 2.051 | 0.146 |
| F13 | - | - | −1.622 | 0.492 | −0.911 | 0.660 | 1.418 | 0.506 | 1.968 | 0.187 |
| F14 | - | - | −1.757 | 0.658 | −0.581 | 0.687 | 0.229 | 0.928 | 1.482 | 0.269 |
| F15 | - | - | −1.450 | 0.463 | −0.228 | 0.532 | 1.038 | 0.350 | 1.618 | 0.262 |
| Archetype | DS | µr (USD $) | σr (USD $) | µrc (USD $) | Lr % | Lrc % |
|---|---|---|---|---|---|---|
| F1 | DS0 | 4260 | 794 | 4260 | 0.02 | 0.02 |
| DS1 | 23,654 | 2121 | 27,914 | 0.11 | 0.13 | |
| DS2 | 61,560 | 4277 | 89,474 | 0.29 | 0.41 | |
| DS3 | 60,724 | 5032 | 150,199 | 0.28 | 0.70 | |
| DS4 | 65,675 | 7031 | 215,874 | 0.30 | 1.00 | |
| F2 | DS1 | 48,849 | 4135 | 48,849 | 0.09 | 0.09 |
| DS2 | 213,251 | 16,444 | 262,100 | 0.39 | 0.48 | |
| DS3 | 133,569 | 9561 | 395,669 | 0.25 | 0.73 | |
| DS4 | 147,861 | 15,829 | 543,530 | 0.27 | 1.00 | |
| F3 | DS0 | 16,227 | 1736 | 16,227 | 0.04 | 0.04 |
| DS1 | 48,789 | 4053 | 65,016 | 0.11 | 0.14 | |
| DS2 | 92,980 | 6475 | 157,996 | 0.20 | 0.34 | |
| DS3 | 190,569 | 13,622 | 348,565 | 0.41 | 0.75 | |
| DS4 | 114,019 | 11,166 | 462,584 | 0.25 | 1.00 | |
| F4 | DS1 | 598,903 | 49,851 | 598,903 | 0.16 | 0.16 |
| DS2 | 692,169 | 51,262 | 1,291,072 | 0.18 | 0.34 | |
| DS3 | 1,681,135 | 76,270 | 2,972,207 | 0.44 | 0.78 | |
| DS4 | 839,248 | 82,159 | 3,811,456 | 0.22 | 1.00 | |
| F5 | DS1 | 70,250 | 12,515 | 70,250 | 0.04 | 0.04 |
| DS2 | 153,849 | 14,617 | 224,099 | 0.09 | 0.14 | |
| DS3 | 829,515 | 121,483 | 1,053,613 | 0.51 | 0.65 | |
| DS4 | 569,865 | 85,480 | 1,623,478 | 0.35 | 1.00 | |
| F6 | DS1 | 449,721 | 164,013 | 449,721 | 0.03 | 0.03 |
| DS2 | 5,168,222 | 339,949 | 5617,944 | 0.29 | 0.31 | |
| DS3 | 8,543,276 | 770,670 | 14,161,219 | 0.48 | 0.79 | |
| DS4 | 3,782,973 | 492,271 | 17,944,192 | 0.21 | 1.00 | |
| F7 | DS1 | 53,036 | 18,209 | 53,036 | 0.02 | 0.02 |
| DS2 | 1,072,040 | 70,627 | 1,125,076 | 0.44 | 0.46 | |
| DS3 | 878,243 | 129,259 | 2,003,319 | 0.36 | 0.83 | |
| DS4 | 418,985 | 54,522 | 2,422,304 | 0.17 | 1.00 | |
| F8 | DS1 | 1,058,663 | 397,138 | 1,058,663 | 0.04 | 0.04 |
| DS2 | 7,248,632 | 553,895 | 8,307,295 | 0.24 | 0.28 | |
| DS3 | 12,315,180 | 791,378 | 20,622,475 | 0.41 | 0.69 | |
| DS4 | 9,163,981 | 29,786,456 | 1,192,492 | 0.31 | 1.00 | |
| F9 | DS1 | 486,936 | 165,808 | 486,936 | 0.04 | 0.04 |
| DS2 | 2,083,967 | 162,066 | 2,570,903 | 0.18 | 0.22 | |
| DS3 | 5,176,670 | 610,200 | 7,747,573 | 0.45 | 0.67 | |
| DS4 | 3,818,494 | 496,893 | 11,566,066 | 0.33 | 1.00 | |
| F10 | DS1 | 569,036 | 93,693 | 569,036 | 0.08 | 0.08 |
| DS2 | 2,125,013 | 170,009 | 2,694,050 | 0.31 | 0.39 | |
| DS3 | 2,317,758 | 172,624 | 5,011,808 | 0.33 | 0.72 | |
| DS4 | 1,929,440 | 200,005 | 6,941,248 | 0.28 | 1.00 | |
| F11 | DS1 | 569,036 | 936,93 | 569,036 | 0.05 | 0.05 |
| DS2 | 2,125,013 | 170,009 | 2,694,050 | 0.19 | 0.24 | |
| DS3 | 5,362,654 | 270,722 | 8,056,704 | 0.48 | 0.72 | |
| DS4 | 3,080,165 | 323,559 | 11,136,869 | 0.28 | 1.00 | |
| F12 | DS1 | 1,292,430 | 133,099 | 1,292,430 | 0.01 | 0.01 |
| DS2 | 17,919,792 | 1,142,953 | 19,212,222 | 0.11 | 0.12 | |
| DS3 | 132,148,680 | 9,220,348 | 151,360,903 | 0.84 | 0.96 | |
| DS4 | 6,788,170 | 830,969 | 158,149,072 | 0.04 | 1.00 | |
| F13 | DS1 | 413,457 | 69,333 | 413,457 | 0.10 | 0.10 |
| DS2 | 1,109,923 | 124,113 | 1,523,380 | 0.28 | 0.38 | |
| DS3 | 1,252,727 | 80,179 | 2,776,107 | 0.31 | 0.70 | |
| DS4 | 1,211,644 | 104,102 | 3,987,751 | 0.30 | 1.00 | |
| F14 | DS1 | 101,767 | 21,334 | 101,767 | 0.04 | 0.04 |
| DS2 | 609,794 | 63,305 | 711,561 | 0.26 | 0.31 | |
| DS3 | 1,105,491 | 182,337 | 1,817,052 | 0.48 | 0.78 | |
| DS4 | 505,344 | 53,193 | 2,322,396 | 0.22 | 1.00 | |
| F15 | DS1 | 151,644 | 56,713 | 151,644 | 0.04 | 0.04 |
| DS2 | 741,449 | 100,999 | 893,093 | 0.22 | 0.26 | |
| DS3 | 1,190,923 | 170,109 | 208,4016 | 0.35 | 0.61 | |
| DS4 | 1,308,621 | 170,288 | 3,392,637 | 0.39 | 1.00 |
© 2020 by the authors. Licensee MDPI, Basel, Switzerland. This article is an open access article distributed under the terms and conditions of the Creative Commons Attribution (CC BY) license (http://creativecommons.org/licenses/by/4.0/).
Share and Cite
Nofal, O.M.; van de Lindt, J.W. Minimal Building Flood Fragility and Loss Function Portfolio for Resilience Analysis at the Community Level. Water 2020, 12, 2277. https://doi.org/10.3390/w12082277
Nofal OM, van de Lindt JW. Minimal Building Flood Fragility and Loss Function Portfolio for Resilience Analysis at the Community Level. Water. 2020; 12(8):2277. https://doi.org/10.3390/w12082277
Chicago/Turabian StyleNofal, Omar M., and John W. van de Lindt. 2020. "Minimal Building Flood Fragility and Loss Function Portfolio for Resilience Analysis at the Community Level" Water 12, no. 8: 2277. https://doi.org/10.3390/w12082277
APA StyleNofal, O. M., & van de Lindt, J. W. (2020). Minimal Building Flood Fragility and Loss Function Portfolio for Resilience Analysis at the Community Level. Water, 12(8), 2277. https://doi.org/10.3390/w12082277
