Abstract
The bleak Alburnus alburnus is native to most of Europe. This cyprinid fish is a successful invader in the Iberian Peninsula. No studies exist on its foraging strategies on a large scale for this ecoregion. The aim of the present study was to compare dietary traits of invasive bleak among the main Iberian rivers and a ‘reference’ native bleak population from France. Bleak were sampled during May–June 2019 from the Iberian Rivers Ebro, Tagus, Guadiana, Segura and Guadalquivir and the River Saône (France). Diptera larvae and zooplankton were common food categories in the River Saône. Insect nymphs were more important in the River Ebro. The intake of plant material was higher in the River Tagus. Flying insects were more consumed in the River Guadiana. Nektonic insects were important in the River Guadalquivir. Detritus was a frequent food category for all populations, in terms of occurrence and mass. Dietary parameters followed a unimodal response in relation to the latitudinal gradient, with the maximum values for the Tagus and Guadiana populations. Overall, results suggest that this wide interpopulation variability will contribute to the species’ successful establishment throughout Mediterranean Europe, which poses a serious risk to its highly valuable native fish fauna.
1. Introduction
The disruptive effect of fish invasions is of particular conservation concern in the Iberian Peninsula, which is rich in endemisms. Indeed, >50% of native fish species are unique to this region [1,2], but the proportion of non-native fishes (>30%) continues to increase [2,3]. The bleak Alburnus alburnus (L., 1758) is a cyprinid species native to most of Europe, from the northern Pyrenees to the Urals. In its native area, bleak inhabit lakes or still-waters in medium/large rivers and feed chiefly on zooplankton [4,5,6]. In the Iberian Peninsula, this species was mainly introduced in reservoirs during the 1990s as a ‘forage fish’ for non-native piscivorous fishes, such as northern pike Esox lucius L., 1758, largemouth bass Micropterus salmoides (Lacepède, 1802) or pikeperch Sander lucioperca (L., 1758) [7]. Since its introduction, the bleak has displayed a strong invasive character throughout Spain and Portugal, taking advantage of anthropogenic disturbances on Mediterranean freshwater ecosystems [8,9,10]. Moreover, this species threatens several Iberian fishes, mainly through hybridization, trophic competition and behavioral interference (i.e., aggression) [3]. This is because Iberian fish communities have low diversity and are poorly adapted to a such invasion level of non-native fishes [1], which usually displace native species from available resources. As an example, direct observations by snorkeling have clearly shown that foraging behavior of endemic Ebro nase Parachondrostoma miegii (Steindachner, 1866) is disturbed by bleak [11]. All this information on bleak traits (e.g., spread capacity, environmental impacts) allows to consider this species as a clear invasive fish of high ecological risk in Iberia [2,12]. However, the available information on bleak dietary traits in the Iberian Peninsula corresponds to a few particular sites only [13,14], with no study comparing data at the scale of this entire ecoregion. This would be of particular interest to reveal macroecological patterns (e.g., latitudinal gradients). Indeed, dietary traits of non-native fish can show wide variability under contrasting ecological conditions [14,15,16] and this has implications from a conservation perspective. Thus, a better understanding of dietary data can be used by policy-makers and environmental managers to assist monitoring programs in identifying which other areas are likely to be colonized by this invasive species [2]. Therefore, the information in the present paper is highly relevant to understand invasion features of this fish species throughout Iberian freshwaters.
Consequently, the aim of the present study was to assess the interpopulation variability in dietary traits of invasive bleak across the Iberian Peninsula. For this purpose, bleak populations were compared among the main rivers within this region, along with a native bleak population from France. Specifically, diet composition was analyzed by means of two overall indices: percentages of occurrence and ingested mass; and four dietary parameters were examined: ingested mass, prey richness, trophic diversity and trophic niche breadth.
2. Materials and Methods
2.1. Study Areas
Five main Iberian rivers were sampled for bleak along a latitudinal gradient (from North to South): Ebro (41°47′30’’ N–1°05′24’’ W and 41°26′39’’ N–0°28′26’’ W), Tagus (39°49′07’’ N–4°20′25’’ W and 39°58′12’’ N–4°42′17’’ W), Guadiana (38°59′58’’ N–5°51′52’’ W and 38°50′18’’ N–6°13′53’’ W), Segura (38°06′05’’ N–1°17′50’’ W and 38°04′54’’ N–0°53′37’’ W) and Guadalquivir (37°37′01’’ N–5°35′45’’ W and 37°30′46’’ N–5°56′38’’ W). These geographic coordinates correspond to two sampling sites per river (first coordinates are for sites located upstream). For comparative purposes, we surveyed a main river within the bleak’s native range close to the Pyrenees, i.e., historically a potential ‘donor region’ for non-native fish introductions to the Iberian Peninsula along the so-called ‘Perpignan–Barcelona corridor’ (see Clavero and García-Berthou [17] for details on invasion routes). Thus, the River Saône (Rhône drainage, eastern France) was selected as a ‘reference’ population, although only one site (47°02′13’’ N–5°06′52’’ E) was finally surveyed. In any case, a comparable number of bleak specimens (200 individuals, see below) were collected from the River Saône and data from the two sampling sites in Iberian rivers were pooled for statistical analyses, as no ‘site effect’ was found (see Data Analyses below). All the study rivers were selected because they represent large water courses (i.e., >500 km river length), where bleak are widely distributed and reach relatively high abundances within the local fish assemblages. A final key point for selection of these particular Iberian rivers was that bleak were sequentially introduced into these different catchments and thus, their populations will potentially reflect specific ‘invasion stages’ on the examined dietary traits (e.g., Závorka et al. [18]). Specifically, bleak were introduced into the study rivers in the following years (first mention) [7]: Ebro in 1992, Guadiana in 1999, Segura in 2004, Tagus in 2005 and Guadalquivir in 2006. The climate in the study area of the River Saône is Temperate Oceanic (800–1000 mm of mean annual rainfall, 10–13 °C mean annual temperature) [19], the most common climatic conditions for the bleak’s native range in Europe [6]. The climate regime for the study Iberian rivers is typical Mediterranean, with rainfall concentrated in autumn–winter (≈500 mm) and intense summer drought (<100 mm). The mean annual temperature ranges between 15–18 °C. The lowest temperatures occur in winter (down to −5 °C) and the highest in summer (>35 °C) [20]. The bed geomorphology was similar between rivers, mainly consisting of pebbles and gravel, although the fraction of silt was slightly higher in the River Saône.
2.2. Field and Laboratory Work
Fish were collected from May to June 2019, just before the spawning period of bleak for each study area (authors, pers. obs.), thereby avoiding any effect of the ‘reproductive status’ on foraging habits. Moreover, the year 2019 is considered to have been hydrologically ‘average’ in the study areas [19,20]. As a result, the effects of particular dry or wet years on dietary traits are avoided within our study. Sampling sites (n = 11, two per Iberian river plus one in the River Saône) were selected to encompass similar environmental conditions. Specifically, sites were located in well-regulated middle reaches of the main channel, where water level fluctuations are controlled throughout the year, avoiding the effects of strong increases/decreases in river discharge. Water velocity was registered in each site to check the values were similar among populations for a better comparability. These habitat conditions are representative of large rivers in both the native and Iberian ranges. Also, sampling sites were located in the vicinity of similar surroundings (e.g., land use for agricultural exploitation) and far from the influences of main tributaries and towns. Sites were separated >50 km within each Iberian river to ensure the data were more representative from the study areas and also to minimize data dependence among sampling sites per river. Given that water temperature has a strong influence on fish metabolism and food digestion, this parameter was measured per site to check that variability was in accordance with the study latitudinal gradient (i.e., colder waters to the North and warmer waters to the South). A variety of consistent sampling protocols was followed by wading and from boats according to the European legislation (CEN/ISO Standards, EC Directive 2014/101/UE [21]). This allowed obtaining a representative sample of bleak across the broadest possible body size range from each river. Catch methods consisted of following a zigzagging and upstream direction in both banks at each site (100-m river length) by electrofishing (2000 W pulse DC generator at 200–250 V, 2–3 A, 30 min per bank), dip nets (1.5-m-long pole, 30-cm-diameter net, 10-mm mesh size), seine nets (20 × 2 m, 10-mm mesh size) and gill nets (20 × 1 m, 10-mm mesh size, 50% hanging ratio, 1.5-m deep). All surveys followed the same sampling protocols (e.g., proportional effort in terms of people and time) to ensure comparability among the study rivers. Additionally, a professional fisherman sampled for bleak in the River Saône. To encompass the existing environmental variability, fish were collected from all meso-habitats present in the study rivers (e.g., runs, pools, shallows), as bleak can be found under contrasting river conditions in the Iberian Peninsula [10,14].
After each survey was concluded, bleak were immediately euthanized by immersion in an overdose solution of anesthetic (MS-222) for 15 min, followed by severance of the spinal cord. Fish were stored on ice during transport to the laboratory (<2 h within the same sampling date). Individuals of the remaining fish species were identified and counted. Native species were kept in a tank with supplied oxygen (two battery-operated aerators with portable pumps) until fully recovered before being released. Other non-native species were euthanized (see details above). All field procedures complied with animal use and care regulations of Europe (specific licenses were granted for scientific field research). Fishes were collected by trained personnel and thus, no adverse effects were caused on the wildlife/habitat in the sampling sites, with all native fish being fully recovered.
On arrival at the laboratory, bleak individuals (n = 1200, 100 ind. × 2 sites × 5 Iberian rivers + 200 ind. × 1 site from the River Saône) were measured for standard length (SL, ±1 mm). This particular fish length was selected because it avoids ‘noise’ given by variation of caudal fin length not related to body size (e.g., wounds and cuts in the fish skin and rays). Specifically, bleak size ranged between 40–195 mm SL. Fish were dissected to examine the sex and collect the digestive system. Only the anterior one-third of the intestinal tract was preserved in 4% formalin for subsequent examination to avoid food remains severely digested (see a similar procedure in Latorre et al. [13]). Food items were identified to the lowest possible taxonomic level (e.g., Tachet et al. [22]) using a dissecting microscope (40×) and weighed using an electronic balance (±0.1 mg).
2.3. Data Analyses
Preliminary analyses did not find any difference between the sexes for the examined dietary variables (all p-values > 0.05). Consequently, this categorical factor was not included in subsequent data analyses to simplify the analytical models and thus, increase the statistical power of the remaining sources of variation, which would otherwise be seriously compromised (see a similar procedure in Alcaraz and García-Berthou [23]). Given that percentages of empty stomachs were similar across populations (25–35%), this parameter was not statistically analyzed. In addition, data were pooled per Iberian river because the effect of ‘sampling site’ within each water course was not significant for any dietary variable (all p-values > 0.05), after performing Generalized Linear Mixed Models (GLMMs) with ‘site’ as the random factor (see a comprehensive review of this statistical technique in Johnson et al. [24]). This analytical approach (i.e., pooled data) considerably improved the clarity of results and also facilitated biologic interpretation.
Two overall dietary indices were calculated (omitting empty guts) and expressed as a percentage for each food category (e.g., Latorre et al. [13]): ‘occurrence’ (frequency of fish guts in which a particular food category occurred relative to the total number of fish individuals) and ‘ingested mass’ (frequency of the mass of a particular food category relative to the total ingested mass in all the examined intestinal tracts). Both of these percentages indicate whether a given food item is commonly eaten within the population and whether this food category is energetically important to the population. Furthermore, four dietary parameters were also calculated for each fish (e.g., see Almeida et al. [16] for details on the particular formulae): ingested mass (mg), prey richness (S), trophic diversity (Shannon index, H’) and trophic niche breadth (standardized Levin’s index, B). These parameters were selected as different measures of trophic plasticity to avoid potential bias of using only one parameter. Consequently, any macroecological pattern (e.g., latitudinal gradient) in dietary traits will be much clearer revealed if profiles among rivers are similar for several parameters.
Given that previous studies revealed significant relationships between dietary parameters and bleak size (an approach of age for fish) in Iberian waters (e.g., Almeida et al. [14]), linear regressions were used, which showed similar slopes among the populations (all p-values > 0.05), with low and positive values. Consequently, analysis of covariance (ANCOVA) was used to reveal significant differences between populations (i.e., rivers) for the four dietary parameters. The effect of body size was controlled by using SL as the covariate. ANCOVAs were followed by a post hoc Tukey–Kramer honestly significant difference (HSD) test. Data were transformed by using ln (x + 1). Assumptions of normality of residuals and homogeneity of variances were verified through residual plots. Statistical analyses were performed with R version 3.1.3 [25]. The significance level was set at α = 0.05. Sequential Bonferroni corrections were performed for every set of multiple tests.
3. Results
Diptera larvae (e.g., Chironomidae and Simuliidae), zooplankton (e.g., Cladocera water fleas) and detritus were the most frequent food categories for the reference native population (i.e., the River Saône), both in terms of occurrence and ingested mass (Table 1). The Ebro population showed a similar diet composition as per native bleak, although Ephemeroptera and Plecoptera nymphs were also important prey items. For the rest of study rivers, percentages of food categories were highly variable (Table 1). More in detail to be highlighted per river: vegetation and other benthic invertebrates (e.g., freshwater snails) were frequent in the River Tagus; flying insects (e.g., wasps, mosquitoes or butterflies) and Diptera larvae were important in the Guadiana and Segura populations, respectively; benthic invertebrates (e.g., Diptera larvae, insect nymphs, Mollusca) and nektonic insects (e.g., water boatmen or predatory beetles) were very important in terms of ingested mass (>40% and ≈20%, respectively) for the River Guadalquivir. Detritus was an important food category for all bleak populations: 21–42% in occurrence and 13–27% as ingested mass (Table 1).
Table 1.
Diet composition of bleak Alburnus alburnus in the study rivers. Percentages of occurrences (Oc., %) and ingested masses (Mass, %) are presented.
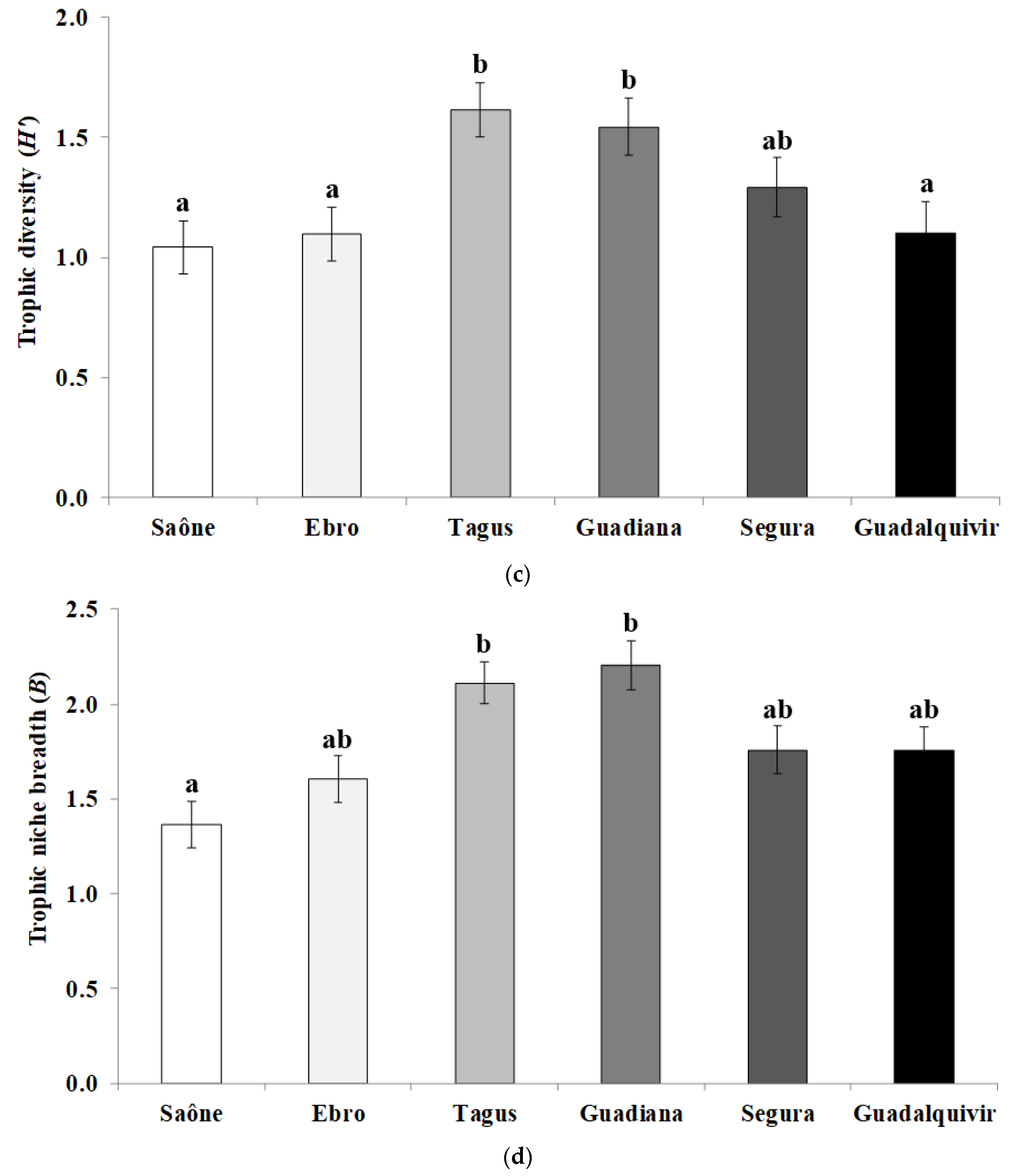
Regarding dietary parameters and after accounting for fish length, significant differences were found between bleak populations for ingested mass (F5,812 = 32.94, p < 0.001). Four distinct groups were found (from low to high adjusted mean): Saône/Segura (≈12 mg), Guadalquivir (≈25 mg), Guadiana (≈40 mg) and Tagus (almost 60 mg) (Figure 1a). Differences were also found for prey richness (F5,812 = 18.68, p < 0.001). Two river groups were found: Ebro/Saône (S ≈ 3–4 prey items) and Guadiana/Guadalquivir/Tagus (S ≈ 5 prey) (Figure 1b). Significant differences were found between populations for trophic diversity (F5,812 = 19.76, p < 0.001). Two river groups were found: Saône/Ebro/Guadalquivir (H’ ≈ 1) and Guadiana/Tagus (H’ > 1.5) (Figure 1c). Significant differences were also observed between rivers for trophic niche breadth (F5,812 = 20.49, p < 0.001). Two distinct groups were found: Saône (B ≈ 1.4) and Tagus/Guadiana (B > 2); while the remaining three rivers showed intermediate B values (1.6–1.7) (Figure 1d).

Figure 1.
Comparison of dietary parameters for bleak Alburnus alburnus among the study rivers. Results are adjusted means ± SE (ANCOVA, covariate: SL). Letters above bars indicate significant differences between bleak populations (Tukey’s HSD tests, p < critical p-value from Bonferroni correction). (a): ingested mass. (b): prey richness. (c): trophic diversity. (d): trophic niche breadth.
4. Discussions
Given that the bleak mainly inhabits stillwaters in its native area, this species is well-adapted to play an ecological role as an openwater feeder, with diet being chiefly based on zooplankton [4,5]. Similarly, planktonic Crustacea were very important for native bleak in the River Saône. However, the main food categories were Diptera larvae and detritus (i.e., benthic food items) for this reference population. This discrepancy between scientific literature and the present results for the native area was probably because most studies on bleak have been performed in lakes and reservoirs (e.g., Vinni et al. [4]; Vašek and Kubečka [5]), whereas bleak diet has received less attention in flowing waters. However, even in lentic environments, bleak can modulate this zooplanktivorous strategy at each particular habitat patch to increase resource partitioning and consequently, reduce competition with coexisting cyprinid fishes, such as roach Rutilus rutilus (L., 1758) or freshwater bream Abramis brama (L., 1758) [4,5]. Dietary indices were more similar between the River Saône and the River Ebro, the (geographically) closest study area to the reference population. This was also observed by Latorre et al. [26]) for other biologic traits (i.e., growth and reproduction), which was explained in terms of climatic and hydrological ‘proximity’. However, the intake of Diptera larvae and insect nymphs was different between the Saône and Ebro populations. In the River Saône, particle size was finer (see Methods section), with these bed conditions being very suitable for Diptera larvae (J. Cucherousset, pers. obs.), whereas substrate was coarser in the River Ebro (see Methods section), providing a high availability of nymphs (R. Miranda, pers. obs.). Other food items were prominent among the study populations, including a wide variety of trophic resources in terms of contrasting ecological features: vegetation, neuston, nekton and benthos. Thus, consumption of algae and plant material was higher in the River Tagus. In this respect, Vinni et al. [4] demonstrated that intra- and mainly inter-specific competition were key causes to understand this result (i.e., high use of vegetation) in the native area. In relation to this finding, Tagus River showed the highest value for ingested mass, resulting in only one ‘statistical group’. This may compensate a higher proportion of vegetation in the diet (see Results above). As a support for this interpretation, Latorre et al. [26] did not find any effect of this ‘low nutritious’ feeding type (vegetation) on the growth rate in the River Tagus, with this population showing the highest values. Particularly for detritus, bleak showed a high consumption in the study Iberian rivers, which was also found elsewhere within this ecoregion, from streams to reservoirs [13,14]. As a potential explanation, bleak may accidentally ingest plant material and detritus while feeding on sheltered invertebrates (D. Verdiell-Cubedo, pers. obs.). In the Guadiana population, bleak took advantage of prey from the water surface, such as fallen flying arthropods (D. Almeida, pers. obs.), which results in a low effort in terms of energy investment. Bleak caught prey from the water column in the River Guadalquivir, with this population displaying a ‘costlier’ foraging alternative, as nektonic insects (e.g., adult Dytiscidae beetles) require higher pursuit and capture efforts. However, more important, bleak fed on a great variety of benthic prey, from insect nymphs and larvae to mollusks and annelids, in all river populations. This finding indicates an elevated capacity of this fish to use food resources apparently less suitable to its morphologic adaptations (e.g., conspicuous superior mouth). Overall, these results suggest that bleak could deeply change the foraging strategy, from a ‘pelagic’ to a ‘benthic’ feeder, even within the same population (see Results for benthos and nekton in the River Guadalquivir). This capacity may aid bleak to better thrive in contrasting Iberian rivers, where zooplankton availability may be a more limited trophic resource [14]. Such a significant dietary shift has been also observed in the Iberian Peninsula for other invasive fishes adapted to a more stable hydrological regime in their native ranges, although they are phylogenetically and geographically very ‘distant’ to the bleak (e.g., North American centrarchids, see Almeida et al. [16]).
Regarding dietary parameters, variation ranges for the four examined predictors were similar as per other study areas in the Iberian Peninsula (Latorre et al. [13] in the NE; Almeida et al. [14] in the SW). The present data were obtained from large rivers and the just mentioned studies included streams and reservoirs. Thus, these overall results indicate that Iberian bleak populations possess a high capacity of adapting to the particular habitat conditions where this invasive fish inhabits. No clear pattern was observed for any dietary parameter in relation to the year of introduction, which was in accordance with Latorre et al. [26] for growth and reproduction traits. This lack of relationship is probably because the establishment stage was reached in a few years after bleak introductions (e.g., Bøhn et al. [27]). As an example, a rapid and wide establishment of this species has been recently demonstrated in the River Segura [10]. Nevertheless, it must be clearly stated that data were limited (n = five Iberian rivers). However, unlike the year of introduction, the foraging strategy appeared to show a slight relationship with the latitudinal gradient, specifically a unimodal response [28], with Guadiana and mainly Tagus reaching the maximum values for all dietary parameters. In addition, the Tagus population showed the highest backcalculated lengths at all ages and growth index among the same study rivers (see Latorre et al. [26]). A potential explanation is that bleak may be more favored by a moderate Mediterranean climate in central Iberia during the prespawning period (warmer) than temperate conditions in the native area (colder). Yet, bleak are affected by slightly more ‘severe’ ecological conditions in southern Iberia, e.g., oxygen level was lower because of higher temperature (physicochemical data not shown, but in accordance with the expected latitudinal gradient) [29]. More in detail, these ‘benign’ conditions in central Iberia may improve the physiological status (e.g., metabolic rate) of bleak, which facilitates this fish species to use alternative prey and widen its diet, with the corresponding increase in the trophic variability. In contrast to this ‘generalist’ strategy, more northerly and southerly populations (i.e., distant from the optimum in terms of habitat quality, see theoretical aspects in Oksanen and Minchin [28]) displayed a more ‘specialist’ strategy, reducing the complexity of diet composition. Nevertheless, these ecological interpretations must be understood with caution, as similarly to the previous statement, data were limited to a few locations (n = five Iberian rivers) and moreover, the assessed latitudinal amplitude was relatively narrow (only 10° of Latitude, 37–47° N).
Ecological responses such as dietary traits usually show wide variability in non-native species when invading new habitats, with this being particularly clear in freshwater fishes [13,15,16]. In the Iberian Peninsula, invasive fishes usually display wide trophic plasticity under contrasting environmental conditions, which contributes to improve their invasion process [3,13,14]. Accordingly, dietary traits were clearly variable among the study rivers, indicating a wide ‘flexibility’ in bleak foraging strategies dependent on particular river conditions (i.e., habitat heterogeneity, food supply). Studies on bleak diet exist across Iberia in which resource availability were not assessed [13,14]). However, other studies on feeding habits of invasive fishes truly estimated food supply as a measure of trophic resources in this ecoregion (e.g., Almeida et al. [16,30]), comparing this availability to the use (i.e., bleak diet), and specifically calculating electivity indices (i.e., selection). The present study did not assess resource availability because of technical restrictions (in terms of materials and personnel) to properly quantify the biomass of plant, benthos and plankton in large rivers, which poses a strong study limitation. Thus, abundance of contrasting food items is a key factor to be analyzed for future research on bleak invasion. Similarly—as per other biologic attributes (e.g., growth and reproduction)—the high interpopulation variability is considered a mechanism for bleak to successfully invade novel Mediterranean freshwater ecosystems, from streams to large rivers [8,10,26]. Indeed, Iberian endemic species are specialized to narrow trophic niches [1] or alternatively, these fishes may display high plasticity to the natural variability in Mediterranean rivers. Irrespective of this specific mechanism, the low level of coevolutionary competition is a potential cause why Iberian fish fauna is not adapted to strong invasive competitors, such as bleak. This is one of the main reasons to consider this fish species as a bioinvader of high risk in the Iberian Peninsula (see Table 1 in Almeida et al. [2]). Consequently, environmental managers should apply urgent conservation measures to control bleak populations across Iberian freshwaters. First, these measures should focus on the target species (i.e., fish culling). Second—and according to other studies on bleak in Iberian waters [9]—actions on aquatic habitats should be implemented to restore the ‘Mediterranean conditions’ of natural flow regimes that benefit native fish communities and hamper invasive species.
Author Contributions
Conceptualization, D.L., G.M., A.V.-G. and D.A.; methodology, D.V.-C., E.G.-B., J.C., E.d.S., C.F.-D., R.M., F.J.O.-P., A.R.-N., J.M.S.; software, D.L., G.M. and D.A.; validation, D.L., G.M., D.A.; formal analysis, D.L., G.M., A.H. and D.A.; investigation, D.L., G.M., A.H. and D.V.-C.; resources, D.V.-C., E.G.-B., J.C., E.d.S., C.F.-D., R.M., F.J.O.-P., A.R.-N., J.M.S.; data curation, D.L., G.M., G.C.-G., A.G.G.-R., E.N.B.-B.; writing—original draft preparation, D.L., G.M., A.V.-G. and D.A.; writing—review and editing, D.V.-C., G.C.-G., E.N.B.-B., A.G.G.-R., E.G.-B., J.C., E.d.S., C.F.-D., R.M., F.J.O.-P., A.R.-N., J.M.S.; visualization, D.L., G.M., G.C.-G., E.N.B.-B., A.G.G.-R., A.V.-G. and D.A.; supervision, A.V.-G. and D.A.; project administration, D.A.; funding acquisition, E.G.-B., J.C., E.d.S., C.F.-D., R.M., F.J.O.-P., A.R.-N., J.M.S. All authors have read and agreed to the published version of the manuscript.
Funding
This research was partly supported by the Spanish Ministry of Education (FPU 13/03291), the Spanish Ministry of Economy and Competitiveness (projects CGL2015-69311-REDT and CGL2016-80820-R) and the Government of Catalonia (ref. 2014 SGR 484).
Acknowledgments
Arlo Hinckley held a ‘collaboration’ grant from the Complutense University of Madrid (Spain). Gema Castillo-García held a ‘pre-graduate’ grant from the Universidad San Pablo-CEU (Spain). The anonymous reviewers improved the manuscript.
Conflicts of Interest
The authors declare no conflicts of interest. The funders had no role in the design of the study; in the collection, analyses or interpretation of data; in the writing of the manuscript or in the decision to publish the results.
References
- Reyjol, Y.; Hugueny, B.; Pont, D.; Bianco, P.G.; Beier, U.; Caiola, N.; Casals, F.; Cowx, I.; Economou, A.; Ferreira, T.; et al. Patterns in species richness and endemism of European freshwater fish. Glob. Ecol. Biogeogr. 2007, 16, 65–75. [Google Scholar] [CrossRef]
- Almeida, D.; Ribeiro, F.; Leunda, P.M.; Vilizzi, L.; Copp, G.H. Effectiveness of FISK, an invasiveness screening tool for non-native freshwater fishes, to perform risk identification assessments in the Iberian Peninsula. Risk Anal. 2013, 33, 1404–1413. [Google Scholar] [CrossRef] [PubMed]
- Ribeiro, F.; Leunda, P.M. Non-native fish impacts on Mediterranean freshwater ecosystems: Current knowledge and research needs. Fish. Manag. Ecol. 2012, 19, 142–156. [Google Scholar] [CrossRef]
- Vinni, M.; Horppila, J.; Olin, M.; Ruuhijärvi, J.; Nyberg, K. The food, growth and abundance of five co-existing cyprinids in lake basins of different morphometry and water quality. Aquat. Ecol. 2000, 34, 421–431. [Google Scholar] [CrossRef]
- Vašek, M.; Kubečka, J. In situ diel patterns of zooplankton consumption by subadult/adult roach Rutilus rutilus, bream Abramis brama, and bleak Alburnus alburnus. Folia Zool. 2004, 53, 203–214. [Google Scholar]
- Keith, P.; Persat, H.; Feunteun, E.; Allardi, J. Les Poissons d’Eau Douce de France; Biotope Éditions Muséum National d’Histoire Naturelle: Paris, France, 2011; ISBN 9782914817691. [Google Scholar]
- Vinyoles, D.; Robalo, J.I.; De Sostoa, A.; Almodóvar, A.; Elvira, B.; Nicola, G.G.; Fernández-Delgado, C.; Santos, C.S.; Doadrio, I.; Sardà-Palomera, F.; et al. Spread of the alien bleak Alburnus alburnus (Linnaeus, 1758) (Actinopterygii, Cyprinidae) in the Iberian Peninsula: The role of reservoirs. Graellsia 2007, 63, 101–110. [Google Scholar] [CrossRef]
- Masó, G.; Latorre, D.; Tarkan, A.S.; Vila-Gispert, A.; Almeida, D. Interpopulation plasticity in growth and reproduction of invasive bleak, Alburnus alburnus (Cyprinidae, Actinopterygii), in northeastern Iberian Peninsula. Folia Zool. 2016, 65, 10–14. [Google Scholar] [CrossRef]
- Matono, P.; Da Silva, J.; Ilhéu, M. How Does an invasive cyprinid benefit from the hydrological disturbance of Mediterranean temporary streams? Diversity 2018, 10, 47. [Google Scholar] [CrossRef]
- Amat-Trigo, F.; Torralva, M.; Ruiz-Navarro, A.; Oliva-Paterna, F.J. Colonization and plasticity in population traits of the invasive Alburnus alburnus along a longitudinal river gradient in a Mediterranean river basin. Aquat. Invasions 2019, 14, 310–331. [Google Scholar] [CrossRef]
- Almeida, D.; Grossman, G.D. Utility of direct observational methods for assessing competitive interactions between non-native and native freshwater fishes. Fish. Manag. Ecol. 2012, 19, 157–166. [Google Scholar] [CrossRef]
- Vilizzi, L.; Copp, G.H.; Adamovich, B.; Almeida, D.; Chan, J.; Davison, P.I.; Dembski, S.; Ekmekçi, F.G.; Ferincz, Á.; Forneck, S.C.; et al. A global review and meta-analysis of applications of the freshwater Fish Invasiveness Screening Kit. Rev. Fish Biol. Fish. 2019, 29, 529–568. [Google Scholar] [CrossRef]
- Latorre, D.; Masó, G.; Hinckley, A.; Rubio-Gracia, F.; Vila-Gispert, A.; Almeida, D. Interpopulation plasticity in dietary traits of invasive bleak Alburnus alburnus (Linnaeus, 1758) in Iberian fresh waters. J. Appl. Ichthyol. 2016, 32, 1252–1255. [Google Scholar] [CrossRef]
- Almeida, D.; Fletcher, D.H.; Rangel, C.; García-Berthou, E.; Da Silva, E. Dietary traits of invasive bleak Alburnus alburnus (Actinopterygii, Cyprinidae) between contrasting habitats in Iberian fresh waters. Hydrobiologia 2017, 795, 23–33. [Google Scholar] [CrossRef]
- Copp, G.H.; Bianco, P.G.; Bogutskaya, N.G.; Eros, T.; Falka, I.; Ferreira, M.T.; Fox, M.G.; Freyhof, J.; Gozlan, R.E.; Grabowska, J.; et al. To be, or not to be, a non-native freshwater fish? J. Appl. Ichthyol. 2005, 21, 242–262. [Google Scholar] [CrossRef]
- Almeida, D.; Almodóvar, A.; Nicola, G.G.; Elvira, B.; Grossman, G.D. Trophic plasticity of invasive juvenile largemouth bass Micropterus salmoides in Iberian streams. Fish. Res. 2012, 113, 153–158. [Google Scholar] [CrossRef]
- Clavero, M.; García-Berthou, E. Homogenization dynamics and introduction routes of invasive freshwater fish in the Iberian Peninsula. Ecol. Appl. 2006, 16, 2313–2324. [Google Scholar] [CrossRef]
- Závorka, L.; Buoro, M.; Cucherousset, J. The negative ecological impacts of a globally introduced species decrease with time since introduction. Glob. Chang. Biol. 2018, 24, 4428–4437. [Google Scholar] [CrossRef]
- Ministry of Environment France. Available online: http://vigiprevi.meteofrance.com/PREV/V/index.html (accessed on 9 June 2020).
- Ministry of Environment Spain. Available online: http://www.aemet.es/es/serviciosclimaticos (accessed on 9 June 2020).
- European Commission. Commission Directive 2014/101/EU of 30 October 2014 amending Directive 2000/60/EC of the European Parliament and of the Council establishing a framework for Community action in the field of water policy. Off. J. Eur. Union-Legis. 2014, 311, 32–35. [Google Scholar]
- Tachet, H.; Richoux, P.; Bournaud, M.; Usseglio-Polatera, P. Invertébrés d’Eau Douce: Systématique, Biologie, Écologie; CNRS Éditions: Paris, France, 2010; ISBN 9782271069450. [Google Scholar]
- Alcaraz, C.; García-Berthou, E. Food of an endangered cyprinodont (Aphanius iberus): Ontogenetic diet shift and prey electivity. Environ. Biol. Fishes 2007, 78, 193–207. [Google Scholar] [CrossRef]
- Johnson, P.C.D.; Barry, S.J.E.; Ferguson, H.M.; Müller, P. Power analysis for generalized linear mixed models in ecology and evolution. Methods Ecol. Evol. 2015, 6, 133–142. [Google Scholar] [CrossRef]
- R Development Core Team. A Language and Environment for Statistical Computing; R Foundation for Statistical Computing: Vienna, Austria, 2018; Available online: http://www.r-project.org (accessed on 1 October 2019).
- Latorre, D.; Masó, G.; Hinckley, A.; Verdiell-Cubedo, D.; Tarkan, A.S.; Vila-Gispert, A.; Copp, G.H.; Cucherousset, J.; Da Silva, E.; Fernández-Delgado, C.; et al. Interpopulation variability in growth and reproduction of invasive bleak Alburnus alburnus (Linnaeus, 1758) across the Iberian Peninsula. Mar. Freshw. Res. 2018, 69, 1326–1332. [Google Scholar] [CrossRef]
- Bøhn, T.; Terje Sandlund, O.; Amundsen, P.-A.; Primicerio, R. Rapidly changing life history during invasion. Oikos 2004, 106, 138–150. [Google Scholar] [CrossRef]
- Oksanen, J.; Minchin, P.R. Continuum theory revisited: What shape are species responses along ecological gradients? Ecol. Model. 2002, 157, 119–129. [Google Scholar] [CrossRef]
- Gasith, A.; Resh, V.H. Streams in Mediterranean climate regions: Abiotic influences and biotic responses to predictable seasonal events. Annu. Rev. Ecol. Syst. 1999, 30, 51–81. [Google Scholar] [CrossRef]
- Almeida, D.; Almodóvar, A.; Nicola, G.G.; Elvira, B. Feeding tactics and body condition of two introduced populations of pumpkinseed Lepomis gibbosus: Taking advantages of human disturbances? Ecol. Freshw. Fish 2009, 18, 15–23. [Google Scholar] [CrossRef]
© 2020 by the authors. Licensee MDPI, Basel, Switzerland. This article is an open access article distributed under the terms and conditions of the Creative Commons Attribution (CC BY) license (http://creativecommons.org/licenses/by/4.0/).

