Retrieval of Soil Moisture by Integrating Sentinel-1A and MODIS Data over Agricultural Fields
Abstract
1. Introduction
2. Materials and Methods
2.1. Study Area and In-Situ Measurements
2.2. Sentinel-1A Data and Preprocessing
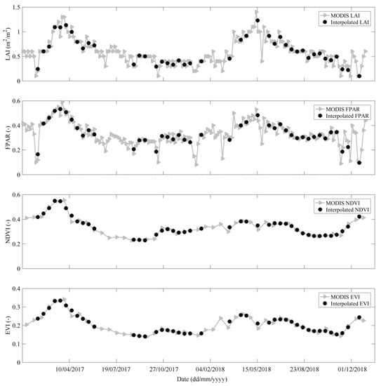
2.3. MODIS Data and Preprocessing
3. Methodology
3.1. AIEM
3.2. WCM
3.3. Model Calibration and Soil Moisture Retrieval
4. Results and Discussion
4.1. Calibration Results for the Coupled Model
4.2. Soil Moisture Retrieval Results
4.3. Error Analysis
5. Conclusions
Author Contributions
Funding
Conflicts of Interest
Appendix A
| No. | Date | UTC Time | Incidence (°) | Polar | Absolute Orbit |
|---|---|---|---|---|---|
| 1 | 09/01/2017 | 6:25:36–6:26:01 | 30.53–46.27 | VV, VH | 14,751 |
| 2 | 21/01/2017 | 6:25:35–6:26:00 | 30.53–46.27 | VV, VH | 14,926 |
| 3 | 02/02/2017 | 6:25:35–6:26:00 | 30.53–46.27 | VV, VH | 15,101 |
| 4 | 14/02/2017 | 6:25:35–6:26:00 | 30.53–46.27 | VV, VH | 15,276 |
| 5 | 26/02/2017 | 6:25:35–6:26:00 | 30.54–46.28 | VV, VH | 15,451 |
| 6 | 10/03/2017 | 6:25:35–6:26:00 | 30.54–46.28 | VV, VH | 15,626 |
| 7 | 22/03/2017 | 6:25:35–6:26:00 | 30.54–46.28 | VV, VH | 15,801 |
| 8 | 03/04/2017 | 6:25:35–6:26:00 | 30.54–46.28 | VV, VH | 15,976 |
| 9 | 15/04/2017 | 6:25:36–6:26:01 | 30.54–46.28 | VV, VH | 16,151 |
| 10 | 27/04/2017 | 6:25:36–6:26:01 | 30.54–46.28 | VV, VH | 16,326 |
| 11 | 09/05/2017 | 6:25:37–6:26:02 | 30.54–46.28 | VV, VH | 16,501 |
| 12 | 21/05/2017 | 6:25:38–6:26:03 | 30.54–46.28 | VV, VH | 16,676 |
| 13 | 02/06/2017 | 6:25:45–6:26:10 | 30.56–46.42 | VV, VH | 16,851 |
| 14 | 14/06/2017 | 6:25:46–6:26:11 | 30.56–46.42 | VV, VH | 17,026 |
| 15 | 25/08/2017 | 6:25:50–6:26:15 | 30.56–46.42 | VV, VH | 18,076 |
| 16 | 06/09/2017 | 6:25:50–6:26:15 | 30.56–46.42 | VV, VH | 18,251 |
| 17 | 18/09/2017 | 6:25:51–6:26:16 | 30.56–46.42 | VV, VH | 18,426 |
| 18 | 12/10/2017 | 6:25:51–6:26:16 | 30.55–46.42 | VV, VH | 18,776 |
| 19 | 24/10/2017 | 6:25:51–6:26:16 | 30.55–46.42 | VV, VH | 18,951 |
| 20 | 05/11/2017 | 6:25:51–6:26:16 | 30.55–46.42 | VV, VH | 19,126 |
| 21 | 17/11/2017 | 6:25:51–6:26:16 | 30.55–46.42 | VV, VH | 19,301 |
| 22 | 29/11/2017 | 6:25:51–6:26:16 | 30.55–46.42 | VV, VH | 19,476 |
| 23 | 11/12/2017 | 6:25:50–6:26:15 | 30.55–46.42 | VV, VH | 19,651 |
| 24 | 23/12/2017 | 6:25:50–6:26:1 | 30.55–46.41 | VV, VH | 19,826 |
| 25 | 04/01/2018 | 6:25:49–6:26:14 | 30.55–46.41 | VV, VH | 20,001 |
| 26 | 16/01/2018 | 6:25:49–6:26:14 | 30.55–46.41 | VV, VH | 20,176 |
| 27 | 28/01/2018 | 6:25:48–6:26:13 | 30.55–46.42 | VV, VH | 20,351 |
| 28 | 09/02/2018 | 6:25:48–6:26:13 | 30.55–46.42 | VV, VH | 20,526 |
| 29 | 21/02/2018 | 6:25:48–6:26:13 | 30.55–46.42 | VV, VH | 20,701 |
| 30 | 05/03/2018 | 6:25:48–6:26:13 | 30.56–46.42 | VV, VH | 20,876 |
| 31 | 17/03/2018 | 6:25:48–6:26:13 | 30.56–46.42 | VV, VH | 21,051 |
| 32 | 10/04/2018 | 6:25:49–6:26:14 | 30.56–46.42 | VV, VH | 21,401 |
| 33 | 22/04/2018 | 6:25:49–6:26:14 | 30.56–46.42 | VV, VH | 21,576 |
| 34 | 16/05/2018 | 6:25:50–6:26:15 | 30.56–46.42 | VV, VH | 21,926 |
| 35 | 09/06/2018 | 6:25:52–6:26:17 | 30.56–46.42 | VV, VH | 22,276 |
| 36 | 21/06/2018 | 6:25:53–6:26:18 | 30.56–46.42 | VV, VH | 22,451 |
| 37 | 03/07/2018 | 6:25:53–6:26:18 | 30.56–46.42 | VV, VH | 22,626 |
| 38 | 15/07/2018 | 6:25:54–6:26:19 | 30.56–46.42 | VV, VH | 22,801 |
| 39 | 27/07/2018 | 6:25:55–6:26:20 | 30.56–46.42 | VV, VH | 22,976 |
| 40 | 08/08/2018 | 6:25:55–6:26:20 | 30.56–46.42 | VV, VH | 23,151 |
| 41 | 20/08/2018 | 6:25:56–6:26:21 | 30.56–46.42 | VV, VH | 23,326 |
| 42 | 01/09/2018 | 6:25:57–6:26:22 | 30.56–46.42 | VV, VH | 23,501 |
| 43 | 13/09/2018 | 6:25:57–6:26:22 | 30.56–46.42 | VV, VH | 23,676 |
| 44 | 25/09/2018 | 6:25:57–6:26:22 | 30.56–46.42 | VV, VH | 23,851 |
| 45 | 07/10/2018 | 6:25:58–6:26:23 | 30.55–46.42 | VV, VH | 24,026 |
| 46 | 19/10/2018 | 6:25:58–6:26:23 | 30.55–46.42 | VV, VH | 24,201 |
| 47 | 31/10/2018 | 6:25:58–6:26:23 | 30.55–46.42 | VV, VH | 24,376 |
| 48 | 12/11/2018 | 6:25:58–6:26:23 | 30.55–46.42 | VV, VH | 24,551 |
| 49 | 24/11/2018 | 6:25:57–6:26:22 | 30.55–46.42 | VV, VH | 24,726 |
| 50 | 18/12/2018 | 6:25:56–6:26:21 | 30.55–46.41 | VV, VH | 25,076 |
| 51 | 30/12/2018 | 6:25:56–6:26:21 | 30.55–46.42 | VV, VH | 25,251 |
| Vegetation Parameters | LAI | FPAR | NDVI | EVI |
|---|---|---|---|---|
| LAI | 1 | 0.91 | 0.59 | 0.68 |
| FPAR | - | 1 | 0.63 | 0.67 |
| NDVI | - | - | 1 | 0.97 |
| EVI | - | - | - | 1 |

References
- Shellito, P.; Small, E.E.; Livneh, B. Controls on surface soil drying rates observed by SMAP and simulated by the Noah land surface model. Hydrol. Earth Syst. Sci. 2018, 22, 1649–1663. [Google Scholar] [CrossRef]
- Pinnington, E.M.; Quaife, T.; Black, E. Impact of remotely sensed soil moisture and precipitation on soil moisture prediction in a data assimilation system with the JULES land surface model. Hydrol. Earth Syst. Sci. 2018, 22, 2575–2588. [Google Scholar] [CrossRef]
- Zhu, Q.; Luo, Y.; Xu, Y.P.; Tian, Y.; Yang, T. Satellite soil moisture for agriculturall drought monitoring: Assessment of SMAP derived soil water deficit index in Xiang River Basin, China. Remote Sens. 2019, 11, 362. [Google Scholar] [CrossRef]
- Li, Y.; Liu, C.; Yu, W.; Tian, D.; Bai, P. Response of streamflow to environmental changes: A Budyko-type analysis based on 144 river basins over China. Sci. Total Environ. 2019, 664, 824–833. [Google Scholar] [CrossRef] [PubMed]
- Bai, X.; He, B.; Li, X.; Zeng, J.; Wang, X.; Wang, Z.; Zeng, Y.; Su, Z. First Assessment of Sentinel-1A Data for Surface Soil Moisture Estimations Using a Coupled Water Cloud Model and Advanced Integral Equation Model over the Tibetan Plateau. Remote Sens. 2017, 9, 714. [Google Scholar] [CrossRef]
- Bai, X.; Zeng, J.; Chen, K.-S.; Li, Z.; Zeng, Y.; Wen, J.; Wang, X.; Dong, X.; Su, Z. Parameter Optimization of a Discrete Scattering Model by Integration of Global Sensitivity Analysis Using SMAP Active and Passive Observations. IEEE Trans. Geosci. Remote Sens. 2019, 57, 1084–1099. [Google Scholar] [CrossRef]
- Kornelsen, K.; Coulibaly, P. Advances in soil moisture retrieval from synthetic aperture radar and hydrological applications. J. Hydrol. 2013, 476, 460–489. [Google Scholar] [CrossRef]
- Barrett, B.W.; Dwyer, E.; Whelan, P. Soil Moisture Retrieval from Active Spaceborne Microwave Observations: An Evaluation of Current Techniques. Remote Sens. 2009, 1, 210–242. [Google Scholar] [CrossRef]
- Oh, Y.; Sarabandi, K.; Ulaby, F. An empirical model and an inversion technique for radar scattering from bare soil surfaces. IEEE Trans. Geosci. Remote Sens. 1992, 30, 370–381. [Google Scholar] [CrossRef]
- Dubois, P.; Van Zyl, J.; Engman, T.; Engman, E.T. Measuring soil moisture with imaging radars. IEEE Trans. Geosci. Remote Sens. 1995, 33, 915–926. [Google Scholar] [CrossRef]
- Shi, J.; Wang, J.; Hsu, A.Y.; O’Neill, P.E.; Engman, E.T. Estimation of bare surface soil moisture and surface roughness parameter using L-band SAR image data. IEEE Trans. Geosci. Remote Sens. 1997, 35, 1254–1266. [Google Scholar] [CrossRef]
- Wu, T.-D.; Chen, K.; Shi, J.; Fung, A. A transition model for the reflection coefficient in surface scattering. IEEE Trans. Geosci. Remote Sens. 2001, 39, 2040–2050. [Google Scholar] [CrossRef]
- Chen, K.; Wu, T.-D.; Tsang, L.; Li, Q.; Shi, J.; Fung, A. Emission of rough surfaces calculated by the integral equation method with comparison to three-dimensional moment method simulations. IEEE Trans. Geosci. Remote Sens. 2003, 41, 90–101. [Google Scholar] [CrossRef]
- Bai, X.; He, B.; Xing, M.; Li, X. Method for soil moisture retrieval in arid prairie using TerraSAR-X data. J. Appl. Remote Sens. 2015, 9, 096062. [Google Scholar] [CrossRef]
- Zribi, M.; Dechambre, M. A new empirical model to retrieve soil moisture and roughness from C-band radar data. Remote Sens. Environ. 2003, 84, 42–52. [Google Scholar] [CrossRef]
- Bai, X.; He, B. Potential of Dubois model for soil moisture retrieval in prairie areas using SAR and optical data. Int. J. Remote Sens. 2015, 36, 5737–5753. [Google Scholar] [CrossRef]
- Su, Z.; Troch, P.A.; De Troch, F.P. Remote sensing of bare surface soil moisture using EMAC/ESAR data. Int. J. Remote Sens. 1997, 18, 2105–2124. [Google Scholar] [CrossRef]
- Karthikeyan, L.; Pan, M.; Wanders, N.; Kumar, D.N.; Wood, E.F. Four decades of microwave satellite soil moisture observations: Part A review of retrieval algorithms. Adv. Water Resour. 2017, 109, 106–120. [Google Scholar] [CrossRef]
- Attema, E.P.W.; Ulaby, F.T. Vegetation modeled as a water cloud. Radio Sci. 1978, 13, 357–364. [Google Scholar] [CrossRef]
- Joseph, A.T.; Van Der Velde, R.; O’Neill, P.E.; Lang, R.H.; Gish, T. Soil Moisture Retrieval During a Corn Growth Cycle Using L-Band (1.6 GHz) Radar Observations. IEEE Trans. Geosci. Remote Sens. 2008, 46, 2365–2374. [Google Scholar] [CrossRef]
- Joseph, A.T.; Van Der Velde, R.; O’Neill, P.E.; Lang, R.; Gish, T. Effects of corn on C- and L-band radar backscatter: A correction method for soil moisture retrieval. Remote Sens. Environ. 2010, 114, 2417–2430. [Google Scholar] [CrossRef]
- Bracaglia, M.; Ferrazzoli, P.; Guerriero, L. A fully polarimetric multiple scattering model for crops. Remote Sens. Environ. 1995, 54, 170–179. [Google Scholar] [CrossRef]
- Bao, Y.; Lin, L.; Wu, S.; Deng, K.A.K.; Petropoulos, G.P. Surface soil moisture retrievals over partially vegetated areas from the synergy of Sentinel-1 and Landsat 8 data using a modified water-cloud model. Int. J. Appl. Earth Obs. Geoinf. 2018, 72, 76–85. [Google Scholar] [CrossRef]
- Wang, S.G.; Li, X.; Han, X.J.; Jin, R. Estimation of surface soil moisture and roughness from multi-angular ASAR imagery in the Watershed Allied Telemetry Experimental Research (WATER). Hydrol. Earth Syst. Sci. 2011, 15, 1415–1426. [Google Scholar] [CrossRef]
- Bai, X.; He, B.; Li, X. Optimum Surface Roughness to Parameterize Advanced Integral Equation Model for Soil Moisture Retrieval in Prairie Area Using Radarsat-2 Data. IEEE Trans. Geosci. Remote Sens. 2016, 54, 2437–2449. [Google Scholar] [CrossRef]
- Wang, L.; He, B.; Bai, X.; Xing, M. Assessment of Different Vegetation Parameters for Parameterizing the Coupled Water Cloud Model and Advanced Integral Equation Model for Soil Moisture Retrieval Using Time Series Sentinel-1A Data. Photogramm. Eng. Remote Sens. 2019, 85, 43–54. [Google Scholar] [CrossRef]
- Lievens, H.; Verhoest, N.E.C. On the Retrieval of Soil Moisture in Wheat Fields from L-Band SAR Based on Water Cloud Modeling, the IEM, and Effective Roughness Parameters. IEEE Geosci. Remote Sens. Lett. 2011, 8, 740–744. [Google Scholar] [CrossRef]
- Wang, L.; Quan, X.; He, B.; Yebra, M.; Xing, M.; Liu, X. Assessment of the Dual Polarimetric Sentinel-1A Data for Forest Fuel Moisture Content Estimation. Remote Sens. 2019, 11, 1568. [Google Scholar] [CrossRef]
- Qiu, J.; Crow, W.T.; Wagner, W.; Zhao, T. Effect of vegetation index choice on soil moisture retrievals via the synergistic use of synthetic aperture radar and optical remote sensing. Int. J. Appl. Earth Obs. Geoinf. 2019, 80, 47–57. [Google Scholar] [CrossRef]
- Park, S.-E.; Jung, Y.T.; Cho, J.-H.; Moon, H.; Han, S.-H. Theoretical Evaluation of Water Cloud Model Vegetation Parameters. Remote Sens. 2019, 11, 894. [Google Scholar] [CrossRef]
- Sanchez, N.; Perez-Gutierrez, C.; Martinez-Fernandez, J.; Scaini, A. Validation of the SMOS L2 Soil Moisture Data in the REMEDHUS Network (Spain). IEEE Trans. Geosci. Remote Sens. 2012, 50, 1602–1611. [Google Scholar] [CrossRef]
- Ma, H.; Zeng, J.; Chen, N.; Zhang, X.; Cosh, M.H.; Wang, W. Satellite surface soil moisture from SMAP, SMOS, AMSR2 and ESA CCI: A comprehensive assessment using global ground-based observations. Remote Sens. Environ. 2019, 231, 111215. [Google Scholar] [CrossRef]
- Portal, G.; Vall-Llossera, M.; Piles, M.; Camps, A.; Chaparro, D.; Pablos, M.; Rossato, L. A Spatially Consistent Downscaling Approach for SMOS Using an Adaptive Moving Window. IEEE J. Sel. Top. Appl. Earth Obs. Remote Sens. 2018, 11, 1883–1894. [Google Scholar] [CrossRef]
- ASF Distributed Active Archive Center. Available online: https://www.asf.alaska.edu/sar-data-sets/sentinel-1/ (accessed on 26 September 2019).
- EARTHDATA. Available online: https://earthdata.nasa.gov (accessed on 6 October 2019).
- Chen, J.M.; Black, T.A. Defining leaf area index for non-flat leaves. Plant Cell Environ. 1992, 15, 421–429. [Google Scholar] [CrossRef]
- MODIS Collection 6 (C6) LAI/FPAR Product User’s Guide. Updated on 24 February 2015. Available online: https://lpdaac.usgs.gov/documents/2/mod15_user_guide.pdf?_ga=2.209388242.1969437656.1591680165-611859982.1463671458 (accessed on 6 October 2019).
- Ranga, M.; Knyazikhin, Y.; Taejin, P. MOD15A3H MODIS/Combined Terra + Aqua Leaf Area Index/FPAR Daily L4 Global 500 m SIN Grid; NASA LP DAAC: Sioux Falls, SD, USA, 2015. [Google Scholar]
- Kamel, D.; Alfredo, H. MYD13A2 MODIS/Aqua Vegetation Indices 16-Day L3 Global 1 km SIN Grid; NASA LP DAAC: Sioux Falls, SD, USA, 2015. [Google Scholar]
- Savitzky, A.; Golay, M.J.E. Smoothing and Differentiation of Data by Simplified Least Squares Procedures. Anal. Chem. 1964, 36, 1627–1639. [Google Scholar] [CrossRef]
- Dobson, M.; Ulaby, F.; Hallikainen, M.; El-Rayes, M. Microwave Dielectric Behavior of Wet Soil-Part II: Dielectric Mixing Models. IEEE Trans. Geosci. Remote Sens. 1985, 23, 35–46. [Google Scholar] [CrossRef]








| Parameters | Description |
|---|---|
| Frequency | ~5.405 GHz |
| Processing level | Level-1 |
| Acquisition mode | Interferometric wide swath |
| Product type | Ground range detected |
| Polarization mode | VV and VH |
| Orbit | Descending |
| Temporal resolution | 12 days |
| Temporal range | 01/01/2017–31/12/2018 |
| Grid spacing for the azimuth and range | 10 m |
| Looks for the azimuth and range directions | 1 and 5 |
| Incidence angles | 30.56° to 46.42° |
| Coordinated Universal Time (UTC) times | 06:25–06:26 |
| Vegetation Descriptors | Effective Roughness Parameters | Model Coefficients | Statistical Metrics | ||||||
|---|---|---|---|---|---|---|---|---|---|
| V1 | V2 | s (cm) | l (cm) | A | B | BIAS (dB) | MAE (dB) | RMSE (dB) | R (–) |
| LAI | LAI | 0.8 | 10.0 | −22.25 | 0.16 | 0.339 | 0.845 | 1.180 | 0.73 |
| LAI | FPAR | 1.1 | 19.0 | −24.02 | 0.26 | 0.356 | 0.816 | 1.136 | 0.75 |
| LAI | NDVI | 1.1 | 19.0 | −25.00 | 0.22 | 0.400 | 0.817 | 1.133 | 0.76 |
| LAI | EVI | 1.1 | 17.0 | −29.47 | 0.28 | 0.217 | 0.769 | 0.996 | 0.81 |
| FPAR | LAI | 1.0 | 18.0 | −40.81 | 0.26 | 0.514 | 1.017 | 1.404 | 0.61 |
| FPAR | FPAR | 1.1 | 19.0 | −44.47 | 0.36 | 0.302 | 0.839 | 1.153 | 0.73 |
| FPAR | NDVI | 0.9 | 11.0 | −53.77 | 0.21 | 0.148 | 0.787 | 0.997 | 0.80 |
| FPAR | EVI | 1.1 | 20.0 | −43.73 | 0.53 | 0.423 | 0.872 | 1.234 | 0.71 |
| NDVI | LAI | 1.0 | 18.0 | −39.92 | 0.24 | 0.468 | 1.079 | 1.423 | 0.58 |
| NDVI | FPAR | 1.1 | 19.0 | −43.40 | 0.35 | 0.243 | 0.929 | 1.185 | 0.71 |
| NDVI | NDVI | 1.1 | 19.0 | −42.80 | 0.34 | 0.234 | 0.917 | 1.193 | 0.70 |
| NDVI | EVI | 1.1 | 20.0 | −41.33 | 0.61 | 0.318 | 0.950 | 1.268 | 0.66 |
| EVI | LAI | 1.0 | 18.0 | −65.12 | 0.25 | 0.482 | 1.081 | 1.410 | 0.60 |
| EVI | FPAR | 1.0 | 17.0 | −67.28 | 0.41 | 0.400 | 0.999 | 1.304 | 0.66 |
| EVI | NDVI | 0.7 | 8.0 | −67.20 | 0.40 | 0.397 | 0.963 | 1.281 | 0.67 |
| EVI | EVI | 0.7 | 8.0 | −67.10 | 0.67 | 0.394 | 0.964 | 1.280 | 0.67 |
| Vegetation Descriptors | Statistical Metrics | ||||
|---|---|---|---|---|---|
| V1 | V2 | BIAS (m3/m3) | MAE (m3/m3) | RMSE (m3/m3) | R (–) |
| LAI | LAI | 0.019 | 0.064 | 0.070 | 0.81 |
| LAI | FPAR | 0.017 | 0.065 | 0.074 | 0.79 |
| LAI | NDVI | 0.016 | 0.060 | 0.070 | 0.78 |
| LAI | EVI | 0.023 | 0.060 | 0.069 | 0.76 |
| FPAR | LAI | 0.013 | 0.073 | 0.085 | 0.81 |
| FPAR | FPAR | 0.024 | 0.068 | 0.076 | 0.78 |
| FPAR | NDVI | 0.031 | 0.059 | 0.069 | 0.75 |
| FPAR | EVI | 0.018 | 0.065 | 0.076 | 0.78 |
| NDVI | LAI | 0.028 | 0.073 | 0.085 | 0.76 |
| NDVI | FPAR | 0.035 | 0.072 | 0.081 | 0.74 |
| NDVI | NDVI | 0.035 | 0.070 | 0.079 | 0.75 |
| NDVI | EVI | 0.033 | 0.071 | 0.080 | 0.76 |
| EVI | LAI | 0.021 | 0.078 | 0.092 | 0.75 |
| EVI | FPAR | 0.026 | 0.075 | 0.087 | 0.75 |
| EVI | NDVI | 0.027 | 0.070 | 0.081 | 0.76 |
| EVI | EVI | 0.028 | 0.072 | 0.082 | 0.76 |
© 2020 by the authors. Licensee MDPI, Basel, Switzerland. This article is an open access article distributed under the terms and conditions of the Creative Commons Attribution (CC BY) license (http://creativecommons.org/licenses/by/4.0/).
Share and Cite
Han, Y.; Bai, X.; Shao, W.; Wang, J. Retrieval of Soil Moisture by Integrating Sentinel-1A and MODIS Data over Agricultural Fields. Water 2020, 12, 1726. https://doi.org/10.3390/w12061726
Han Y, Bai X, Shao W, Wang J. Retrieval of Soil Moisture by Integrating Sentinel-1A and MODIS Data over Agricultural Fields. Water. 2020; 12(6):1726. https://doi.org/10.3390/w12061726
Chicago/Turabian StyleHan, Yizhi, Xiaojing Bai, Wei Shao, and Jie Wang. 2020. "Retrieval of Soil Moisture by Integrating Sentinel-1A and MODIS Data over Agricultural Fields" Water 12, no. 6: 1726. https://doi.org/10.3390/w12061726
APA StyleHan, Y., Bai, X., Shao, W., & Wang, J. (2020). Retrieval of Soil Moisture by Integrating Sentinel-1A and MODIS Data over Agricultural Fields. Water, 12(6), 1726. https://doi.org/10.3390/w12061726

