Evaluation of the Storage Effect Considering Possible Redevelopment Options of the Peace Dam in South Korea
Abstract
1. Introduction
2. The Peace Dam in Korea
3. Possible Redevelopment Options of the Peace Dam and Its Flood Control Ability
3.1. Allocation of Flood Control and Water Conservation Storage
3.2. Reservoir Operation Method
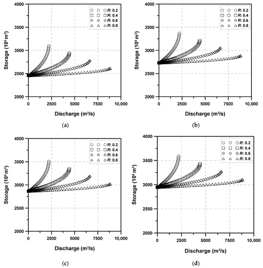
3.3. Simulation of Reservoir Operation and Storage-Discharge Relation
3.3.1. Generation of Inflow Data
3.3.2. Simulation Results
4. Evaluation of Storage Effect
4.1. Quantification of Dam Storage Effect Based on a Nonlinear Reservoir Model
4.2. Storage Coefficients Before and after the Dam Redevelopment
4.2.1. Current Peace Dam
4.2.2. After the Redevelopment
4.3. Discussions
5. Conclusions
Author Contributions
Funding
Conflicts of Interest
Data Availability Statement
Appendix A


References
- Ministry of Construction and Transportation. Detailed Design of the PEACE Dam Construction Project (Phase II); Ministry of Construction and Transportation: Seoul, Korea, 2003. [Google Scholar]
- Korea Water Resources Corp. Survey Report of the Han River Basin II-1: General State of Present Condition; Korea Water Resources Corp: Daejeon, Korea, 2004. [Google Scholar]
- K-water. Practice Manual for Dam Operations; K-water: Daejeon, Korea, 2009. [Google Scholar]
- Choi, D.-J.; Lee, M.-H. Applying game theory for strategy transboundary river: The case of Han river in North and South Koreans. J. Korea Water Resour. Assoc. 2008, 41, 353–363. [Google Scholar] [CrossRef]
- Cordell, H.K.; Bergstrom, J.C. Comparison of recreation use values among alternative reservoir water level management scenarios. Water Resour. Res. 1993, 29, 247–258. [Google Scholar] [CrossRef]
- Yannopoulos, P.C.; Demetracopoulos, A.C. A novel methodology for multiple-year regulation of reservoir active storage capacity. Water 2018, 10, 1254. [Google Scholar] [CrossRef]
- Natural Resource Conservation Service. National Engineering Handbook, Section 4: Hydrology; U.S. Department of Agriculture: Washington, DC, USA, 1972. [Google Scholar]
- Jeong, J.H.; Yoon, Y.N. Design Practice in Water Resouces; Goomi Press: Seoul, Korea, 2007. [Google Scholar]
- K-water. Dam Operation Status; K-water: Daejeon, Korea, 2019. [Google Scholar]
- Ministry of Land, Transport and Maritime Affairs. Improvement and Supplement of Probability Rainfall; Ministry of Land, Transport and Maritime Affairs: Seoul, Korea, 2011. [Google Scholar]
- Huff, F.A. Time Distribution of Rainfall in Heavy Storms. Water Resour. Res. 1967, 3, 1007–1019. [Google Scholar] [CrossRef]
- Clark, C.O. Storage and the unit hydrograph. Trans. Am. Soc. Civ. Eng. 1945, 110, 1419–1446. [Google Scholar]
- Kim, N.W.; Lee, J.W.; Lee, J.; Lee, J.E. SWAT application to estimate design runoff curve number for South Korean conditions. Hydrol. Process. 2010, 24, 2156–2170. [Google Scholar] [CrossRef]
- Lee, J.; Yoo, C.; Sin, J. Theoretical backgrounds of basin concentration time and storage coefficient and their empirical formula. J. Korea Water Resour. Assoc. 2013, 46, 155–169. [Google Scholar] [CrossRef][Green Version]
- Kim, J.; Choi, C.; Yi, J. Development of flood control effect index by using fuzzy set theory. J. Korean Soc. Civ. Eng. 2011, 31, 415–429. [Google Scholar] [CrossRef]
- Richter, B.D.; Thomas, G.A. Restoring environmental flows by modifying dam operations. Ecol. Soc. 2007, 12. [Google Scholar] [CrossRef]
- Yoo, C.; Jun, C.; Lee, J. Storage effect of dam reservoirs: Evaluation of three nonlinear reservoir models. Water Sci. Technol. Water Supply 2017, 17, 1436–1446. [Google Scholar] [CrossRef]
- Ali, M.; Fiori, A.; Bellotti, G. Analysis of the nonlinear storage–discharge relation for hillslopes through 2D numerical modelling. Hydrol. Process. 2013, 27, 2683–2690. [Google Scholar] [CrossRef]
- Charron, C.; Ouarda, T.B. Regional low-flow frequency analysis with a recession parameter from a non-linear reservoir model. J. Hydrol. 2015, 524, 468–475. [Google Scholar] [CrossRef][Green Version]
- Eris, E.; Wittenberg, H. Estimation of baseflow and water transfer in karst catchments in Mediterranean Turkey by nonlinear recession analysis. J. Hydrol. 2015, 530, 500–507. [Google Scholar] [CrossRef]
- Moore, R. Storage-outflow modelling of streamflow recessions, with application to a shallow-soil forested catchment. J. Hydrol. 1997, 198, 260–270. [Google Scholar] [CrossRef]
- Skala, V.; Dohnal, M.; Votrubová, J.; Jelínková, V. The use of simple hydrological models to assess outflow of two green roofs systems. Soil Water Res. 2019, 14, 94–103. [Google Scholar] [CrossRef]
- Corless, R.M.; Jeffrey, D.J. The Wright ω function. In Artificial Intelligence, Automated Reasoning, and Symbolic Computation; Springer: Berlin, Germany, 2002; pp. 76–89. [Google Scholar]
- Sabol, G.V. Clark Unit-Hydrograph and R-Parameter Estimation. J. Hydrol. Eng. 1988, 114, 103–111. [Google Scholar] [CrossRef]









| Dam | Basin Area (km2) | Total Storage (106 m3) | Water Conservation Storage (C) (106 m3) | Flood Control Storage (F) (106 m3) | C/F | Reservoir Operation Method (Constant Rate) |
|---|---|---|---|---|---|---|
| Chungju | 6648.0 | 2750.0 | 1789.0 | 616.0 | 2.9 | SRC |
| Daecheong | 3204.0 | 1490.0 | 790.0 | 250.0 | 3.2 | Rigid (0.550) |
| Soyanggang | 2703.0 | 2900.0 | 1900.0 | 770.0 | 2.5 | Rigid (0.519) |
| Namgang | 2285.0 | 309.2 | 299.7 | 269.8 | 1.1 | Empirical |
| Andong | 1584.0 | 1248.0 | 1000.0 | 110.0 | 9.1 | Rigid (0.500) |
| Imha | 1361.0 | 595.0 | 424.0 | 80.0 | 5.3 | Rigid (0.540) |
| Juam | 1010.0 | 457.0 | 352.0 | 60.0 | 5.9 | Rigid (0.645) |
| Yongdam | 930.0 | 815.0 | 672.5 | 137.0 | 4.9 | Rigid (0.560) |
| Hapcheon | 925.0 | 790.0 | 560.0 | 80.0 | 7.0 | Rigid (0.300) |
| Seomjingang | 763.0 | 466.0 | 429.0 | 32.0 | 13.4 | Rigid (0.602) |
| Heongseong | 209.0 | 86.9 | 73.4 | 9.5 | 7.7 | Rigid (0.700) |
| Jangheung | 193.0 | 191.0 | 171.0 | 8.0 | 21.4 | Empirical |
| Boryeong | 163.6 | 116.9 | 108.7 | 10.0 | 10.9 | Rigid (0.586) |
| Milyang | 95.4 | 73.6 | 69.8 | 6.0 | 11.6 | Rigid (0.454) |
| Gunwi | 87.5 | 48.7 | 40.1 | 3.1 | 12.9 | Rigid (0.683) |
| Buhang | 82.0 | 54.3 | 42.6 | 12.3 | 3.5 | Rigid (0.303) |
| Buan | 59.0 | 50.3 | 35.6 | 9.3 | 3.8 | Empirical |
| Seongdeok | 41.3 | 27.9 | 24.8 | 4.2 | 5.9 | Empirical |
| Bohyeonsan | 32.6 | 22.1 | 17.9 | 3.5 | 5.1 | Empirical |
| Case | RWL 1 (EL. m) | Total Storage (106 m3) | Water Conservation (106 m3) | Flood Control (106 m3) |
|---|---|---|---|---|
| LWL 2 (C/F 3 = 0) | 159.5 | 3275.4 | 0.0 | 3275.4 |
| C/F = 3 | 260.9 | 2456.6 | 818.9 | |
| C/F = 5 | 264.2 | 2729.5 | 545.9 | |
| C/F = 7 | 265.6 | 2866.0 | 409.4 | |
| C/F = 9 | 266.4 | 2947.9 | 327.5 | |
| FWL 4 (C/F = ∞) | 269.3 | 3275.4 | 0.0 |
| Rainfall Duration (h) | Peak Inflow (m3/s) | Peak Water Level (EL. m) | Peak Discharge (m3/s) |
|---|---|---|---|
| 12 | 6371.6 | 195.3 | 4148.5 |
| 24 | 9571.2 | 207.6 | 5164.5 |
| 48 | 11,466.1 | 219.0 | 6014.0 |
| 72 | 11,065.6 | 221.9 | 6211.9 |
| 84 | 10,513.8 | 221.2 | 6164.6 |
| 96 | 9962.8 | 220.3 | 6106.6 |
| Case | Fitting Results | Constant Rate | |||
|---|---|---|---|---|---|
| 0.2 | 0.4 | 0.6 | 0.8 | ||
| C/F = 3 | 2,442,473,864.0 | 2,445,581,238.0 | 2,448,956,082.0 | 2,452,620,675.0 | |
| 0.000000021021 | 0.000000008004 | 0.000000003614 | 0.000000001377 | ||
| 51.3 | 19.6 | 8.9 | 3.4 | ||
| 88.3 | 33.7 | 15.2 | 5.8 | ||
| 0.985 | 0.983 | 0.982 | 0.981 | ||
| C/F = 5 | 2,715,151,198.0 | 2,718,349,626.0 | 2,721,794,526.0 | 2,725,504,455.0 | |
| 0.000000019034 | 0.000000007238 | 0.000000003263 | 0.000000001242 | ||
| 51.7 | 19.7 | 8.9 | 3.4 | ||
| 88.9 | 33.8 | 15.3 | 5.8 | ||
| 0.984 | 0.983 | 0.982 | 0.981 | ||
| C/F = 7 | 2,851,554,317.0 | 2,854,792,554.0 | 2,858,267,928.0 | 2,861,997,473.0 | |
| 0.000000018175 | 0.000000006907 | 0.000000003112 | 0.000000001183 | ||
| 51.8 | 19.7 | 8.9 | 3.4 | ||
| 89.1 | 33.9 | 15.3 | 5.8 | ||
| 0.984 | 0.983 | 0.982 | 0.980 | ||
| C/F = 9 | 2,933,400,121.0 | 2,936,660,679.0 | 2,940,153,098.0 | 2,943,893,586.0 | |
| 0.000000017696 | 0.000000006723 | 0.000000003028 | 0.000000001151 | ||
| 51.9 | 19.7 | 8.9 | 3.4 | ||
| 89.3 | 34.0 | 15.3 | 5.8 | ||
| 0.984 | 0.983 | 0.982 | 0.980 | ||
© 2020 by the authors. Licensee MDPI, Basel, Switzerland. This article is an open access article distributed under the terms and conditions of the Creative Commons Attribution (CC BY) license (http://creativecommons.org/licenses/by/4.0/).
Share and Cite
Yoo, C.; Shin, H.; Lee, J. Evaluation of the Storage Effect Considering Possible Redevelopment Options of the Peace Dam in South Korea. Water 2020, 12, 1674. https://doi.org/10.3390/w12061674
Yoo C, Shin H, Lee J. Evaluation of the Storage Effect Considering Possible Redevelopment Options of the Peace Dam in South Korea. Water. 2020; 12(6):1674. https://doi.org/10.3390/w12061674
Chicago/Turabian StyleYoo, Chulsang, Hyunsun Shin, and Jinwook Lee. 2020. "Evaluation of the Storage Effect Considering Possible Redevelopment Options of the Peace Dam in South Korea" Water 12, no. 6: 1674. https://doi.org/10.3390/w12061674
APA StyleYoo, C., Shin, H., & Lee, J. (2020). Evaluation of the Storage Effect Considering Possible Redevelopment Options of the Peace Dam in South Korea. Water, 12(6), 1674. https://doi.org/10.3390/w12061674

