The Mixing Regime and Turbidity of Lake Banyoles (NE Spain): Response to Climate Change
Abstract
1. Introduction
2. Materials and Methods
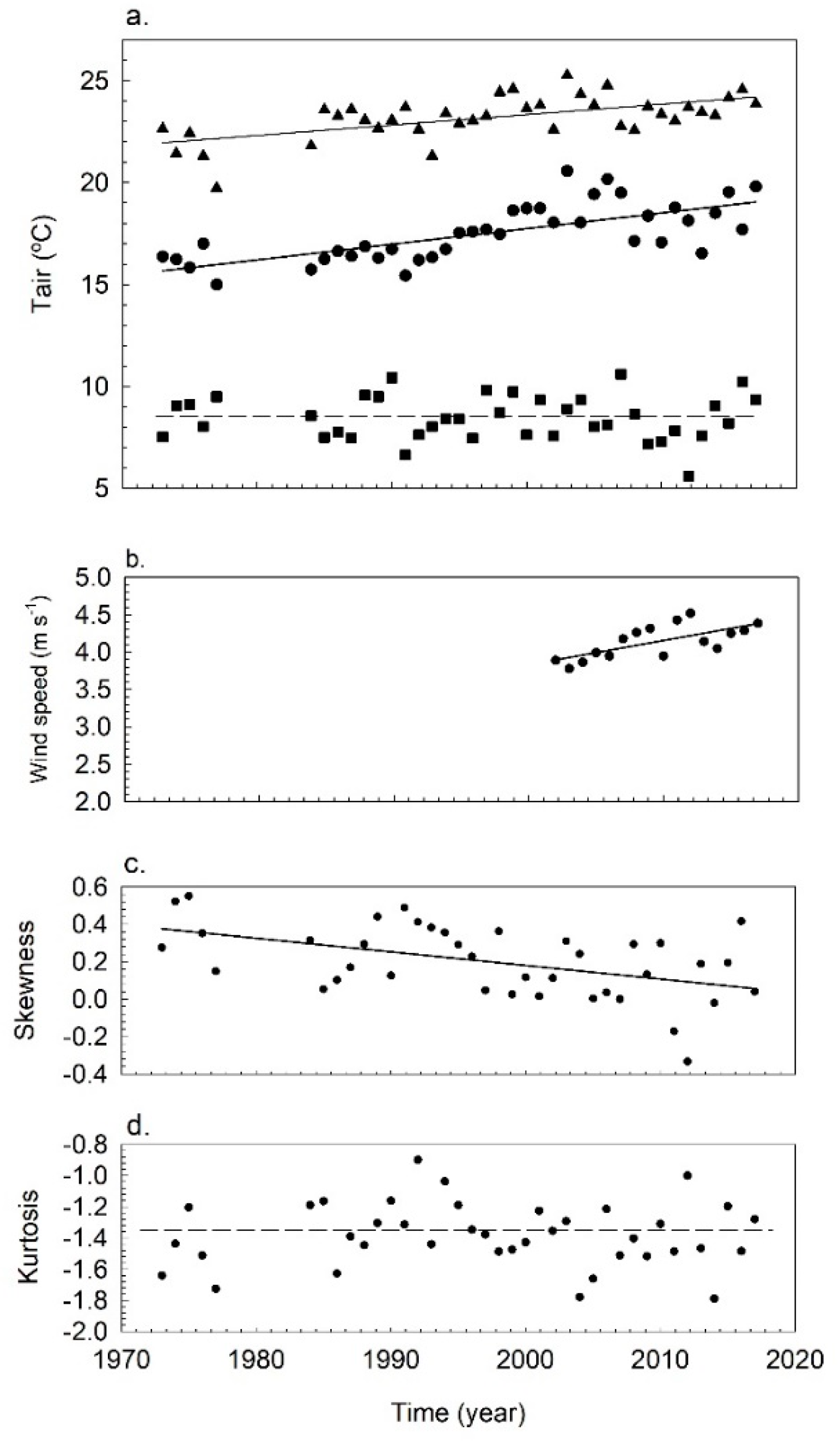
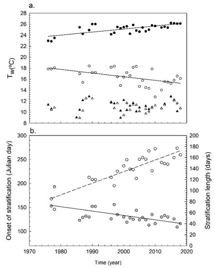
3. Results
4. Discussion
4.1. The Long-Term Thermal Evolution in Lake Banyoles over the Past Four Decades
4.2. The Long-Term Evolution of the Turbidity in Lake Banyoles
5. Conclusions
Author Contributions
Funding
Acknowledgments
Conflicts of Interest
References
- Adrian, R.; Reilly, C.M.O.; Zagarese, H.; Baines, S.B.; Hessen, D.O.; Keller, W.; Livingstone, D.M.; Sommaruga, R.; Straile, D.; Van Donk, E. Lakes as sentinels of climate change. Limnol. Oceanogr. 2009, 54, 2283–2297. [Google Scholar] [CrossRef]
- O’Reilly, C.M.; Sharma, S.; Gray, D.K.; Hampton, S.E.; Read, J.S.; Rowley, R.; Schneider, P.; Lenters, J.; McIntyre, P.B.; Kraemer, B.M.; et al. Rapid and highly variable warming of lake surface waters around the globe. Geophys. Res. Lett. 2015, 42, 773. [Google Scholar] [CrossRef]
- Zhang, X.; Wang, K.; Frassl, M.; Boehrer, B. Reconstructing Six Decades of Surface Temperatures at a Shallow Lake. Water 2020, 12, 405. [Google Scholar] [CrossRef]
- Kirillin, G. Modeling the impact of global warming on water temperature and seasonal mixing regimes in small temperate lakes. Boreal Environ. Res. 2010, 15, 279–293. [Google Scholar]
- Toffolon, M.; Piccolroaz, S.; Majone, B.; Soja, A.-M.; Peeters, F.; Schmid, M.; Wüest, A. Prediction of surface temperature in lakes with different morphology using air temperature. Limnol. Oceanogr. 2014, 59, 2185–2202. [Google Scholar] [CrossRef]
- Janatian, N.; Olli, K.; Cremona, F.; Laas, A.; Nõges, P. Atmospheric stilling offsets the benefits from reduced nutrient loading in a large shallow lake. Limnol. Oceanogr. 2019, 65, 717–731. [Google Scholar] [CrossRef]
- Woolway, R.I.; Merchant, C.J. Worldwide alteration of lake mixing regimes in response to climate change. Nat. Geosci. 2019, 12, 271–276. [Google Scholar] [CrossRef]
- Woolway, R.I.; Meinson, P.; Nõges, P.; Jones, I.D.; Laas, A. Atmospheric stilling leads to prolonged thermal stratification in a large shallow polymictic lake. Clim. Chang. 2017, 141, 759–773. [Google Scholar] [CrossRef]
- O’Reilly, C.M.; Alin, S.R.; Plisnier, P.-D.; Cohen, A.S.; McKee, B.A. Climate change decreases aquatic ecosystem productivity of Lake Tanganyika, Africa. Nature 2003, 424, 766–768. [Google Scholar] [CrossRef]
- O’Beirne, M.D.; Werne, J.P.; Hecky, R.E.; Johnson, T.C.; Katsev, S.; Reavie, E.D. Anthropogenic climate change has altered primary productivity in Lake Superior. Nat. Commun. 2017, 8, 15713. [Google Scholar] [CrossRef]
- Shatwell, T.; Thiery, W.; Kirillin, G. Future projections of temperature and mixing regime of European temperate lakes. Hydrol. Earth Syst. Sci. 2019, 23, 1533–1551. [Google Scholar] [CrossRef]
- Rose, K.C.; Winslow, L.A.; Read, J.S.; Hansen, G.J.A. Climate-induced warming of lakes can be either amplified or suppressed by trends in water clarity. Limnol. Oceanogr. Lett. 2016, 1, 44–53. [Google Scholar] [CrossRef]
- Casamitjana, X.; Menció, A.; Quintana, X.; Soler, D.; Compte, J.; Martinoy, M.; Pascual, J. Modeling the salinity fluctuations in salt marsh lagoons. J. Hydrol. 2019, 575, 1178–1187. [Google Scholar] [CrossRef]
- Wood, W.W.; Sanford, W.E. Chemical and Isotopic Methods for Quantifying Ground-Water Recharge in a Regional, Semiarid Environment. Ground Water 1995, 33, 458–468. [Google Scholar] [CrossRef]
- IPCC. Climate Change 2014: Impacts, Adaptation, and Vulnerability. Part A: Global and Sectoral Aspects; Cambridge University Press: Cambridge, UK, 2014. [Google Scholar]
- Moreno, J.M.; Aguiló, E.; Alonso, S.; Álvarez Cobelas, M.; Anadón, R.; Ballester, F.; Benito, G.; Catalán, J.; de Castro, M.; Cendrero, A.; et al. A Preliminary Assessment of the Impacts in Spain Because of Climate Change; Report of the Ministry of Environment: Castilla la Mancha, Spain, 2005. [Google Scholar]
- Gutiérrez, F.; Fabregat, I.; Roqué, C.; Carbonel, D.; Zarroca, M.; Linares, R.; Yechieli, Y.; García-Arnay, Á.; Sevil, J. Sinkholes in hypogene versus epigene karst systems, illustrated with the hypogene gypsum karst of the Sant Miquel de Campmajor Valley, NE Spain. Geomorphology 2019, 328, 57–78. [Google Scholar] [CrossRef]
- Canals, M.; Got, H.; Juliá, R.; Serra, J. Solution-collapse depressions and suspensates in the limnocrenic lake of banyoles (ne Spain). Earth Surf. Process. Landf. 1990, 15, 243–254. [Google Scholar] [CrossRef]
- Soler, M.; Serra, T.; Colomer, J.; Romero, R. Anomalous rainfall and associated atmospheric circulation in the northeast Spanish Mediterranean area and its relationship to sediment fluidization events in a lake. Water Resour. Res. 2007, 43, 1–14. [Google Scholar] [CrossRef]
- Casamitjana, X.; Roget, E. Resuspension of sediment by focused groundwater in Lake Banyoles. Limnol. Oceanogr. 1993, 38, 643–656. [Google Scholar] [CrossRef]
- Morellon, M.; Anselmetti, F.S.; Valero-Garcés, B.; Giralt, S.; Ariztegui, D.; Saez, A.; Mata, P.; Barreiro-Lostres, F.; Rico, M.; Moreno, A. The influence of subaquatic springs in lacustrine sedimentation: Origin and paleoenvironmental significance of homogenites in karstic Lake Banyoles (NE Spain). Sediment. Geol. 2014, 311, 96–111. [Google Scholar] [CrossRef]
- Serra, T. Seasonal development of a turbid hydrothermal lake plume and the effects on the fish distribution. Water Res. 2002, 36, 2753–2760. [Google Scholar] [CrossRef]
- Colomer, J.; Serra, T.; Soler, M.; Casamitjana, X. Sediment fluidization events in a lake caused by large monthly rainfalls. Geophys. Res. Lett. 2002, 29, 101. [Google Scholar] [CrossRef]
- Colomer, J.; Serra, T.; Piera, J.; Roget, E.; Casamitjana, X. Observations of a hydrothermal plume in a karstic lake. Limnol. Oceanogr. 2001, 46, 197–203. [Google Scholar] [CrossRef]
- Serra, T.; Soler, M.; Julià, R.; Casamitjana, X.; Colomer, J. Behaviour and dynamics of a hydrothermal plume in Lake Banyoles, Catalonia, NE Spain. Sedimentology 2005, 52, 795–808. [Google Scholar] [CrossRef]
- Maxworthy, T. Convenction Into Domains With Open Bounaries. Annu. Rev. Fluid Mech. 1997, 29, 327–371. [Google Scholar] [CrossRef]
- Schott, F.; Visbeck, M.; Fischer, J. Observations of vertical currents and convection in the central Greenland Sea during the winter of 1988/89. J. Geophys. Res. 1993, 981, 14401–14422. [Google Scholar] [CrossRef]
- Schott, F.; Visbeck, M.; Send, U.; Fischer, J.; Stramma, L.; Desaubies, Y. Observations of Deep Convection in the Gulf of Lions, Northern Mediterranean, during the Winter of 1991/92. J. Phys. Oceanogr. 1996, 26, 505–524. [Google Scholar] [CrossRef]
- Fernando, H.; Iv, D.S. Vortex structures in geophysical convection. Eur. J. Mech. B Fluids 2001, 20, 437–470. [Google Scholar] [CrossRef]
- Lundgren, T.S.; Yao, J.; Mansour, N.N. Microburst modelling and scaling. J. Fluid Mech. 1992, 239, 461–488. [Google Scholar] [CrossRef]
- Lu, J.; Arya, S.P.; Snyder, W.H.; Lawson, R.E., Jr. A laboratory study of the urban heat island in a calm and stably stratified environment. Part I: Temperature field. J. Appl. Meteorol. 1997, 36, 1377–1391. [Google Scholar] [CrossRef]
- Chapman, D.C.; Gawarkiewicz, G. Shallow Convection and Buoyancy Equilibration in an Idealized Coastal Polynya. J. Phys. Oceanogr. 1997, 27, 555–566. [Google Scholar] [CrossRef]
- Roget, E.; Colomer, J.; Casamitjana, X.; Llebot, J.E. Bottom currents induced by baroclinic forcing in Lake Banyoles (Spain). Aquat. Sci. 1993, 55, 206–227. [Google Scholar] [CrossRef]
- Colomer, J. Hydrothermal plumes trapped by thermal stratification. Geophys. Res. Lett. 2003, 30, 2092. [Google Scholar] [CrossRef]
- Vollmer, M.K.; Bootsma, H.A.; Hecky, R.E.; Patterson, G.; Halfman, J.D.; Edmond, J.M.; Eccles, D.H.; Weiss, R.F. Deep-water warming trend in Lake Malawi, East Africa. Limnol. Oceanogr. 2005, 50, 727–732. [Google Scholar] [CrossRef]
- International Standard ISO 7027. Water Quality Determination of Turbidity; ISO: Geneva, Switzerland, 1990.
- Jones, P.D.; New, M.; Parker, D.E.; Martin, S.; Rigor, I.G. Surface air temperature and its changes over the past 150 years. Rev. Geophys. 1999, 37, 173–199. [Google Scholar] [CrossRef]
- Verburg, P.; Kling, H.; Hecky, R.E. Ecological Consequences of a Century of Warming in Lake Tanganyika. Science 2003, 301, 505–507. [Google Scholar] [CrossRef]
- Niedrist, G.H.; Psenner, R.; Sommaruga, R. Climate warming increases vertical and seasonal water temperature differences and inter-annual variability in a mountain lake. Clim. Change 2018, 151, 473–490. [Google Scholar] [CrossRef]
- Coats, R.; Pérez-Losada, J.; Schladow, G.; Richards, R.; Goldman, C. The Warming of Lake Tahoe. Clim. Chang. 2006, 76, 121–148. [Google Scholar] [CrossRef]
- Sohn, R.A.; Luttrell, K.; Shroyer, E.; Stranne, C.; Harris, R.N.; Favorito, J.E. Observations and Modeling of a Hydrothermal Plume in Yellowstone Lake. Geophys. Res. Lett. 2019, 46, 6435–6442. [Google Scholar] [CrossRef]
- Notaro, M.; Emmett, K.; O’Leary, D. Spatio-Temporal Variability in Remotely Sensed Vegetation Greenness Across Yellowstone National Park. Remote Sens. 2019, 11, 798. [Google Scholar] [CrossRef]
- Yankova, Y.; Neuenschwander, S.; Köster, O.; Posch, T. Abrupt stop of deep-water turnover with lake warming: Drastic consequences for algal primary producers. Sci. Rep. 2017, 7, 13770. [Google Scholar] [CrossRef] [PubMed]
- Ziv, B.; Saaroni, H.; Pargament, R.; Harpaz, T.; Alpert, P. Trends in rainfall regime over Israel, 1975–2010, and their relationship to large-scale variability. Reg. Environ. Chang. 2013, 14, 1751–1764. [Google Scholar] [CrossRef]
- Tal, A. The implications of climate change driven depletion of Lake Kinneret water levels: The compelling case for climate change-triggered precipitation impact on Lake Kinneret’s low water levels. Sci. Total Environ. 2019, 664, 1045–1051. [Google Scholar] [CrossRef]
- Bonacci, O. Preliminary analysis of the decrease in water level of Vrana Lake on the small carbonate island of Cres (Dinaric karst, Croatia). Geol. Soc. Lond. Spéc. Publ. 2017, 466, 307–317. [Google Scholar] [CrossRef]





© 2020 by the authors. Licensee MDPI, Basel, Switzerland. This article is an open access article distributed under the terms and conditions of the Creative Commons Attribution (CC BY) license (http://creativecommons.org/licenses/by/4.0/).
Share and Cite
Serra, T.; Pascual, J.; Brunet, R.; Colomer, J. The Mixing Regime and Turbidity of Lake Banyoles (NE Spain): Response to Climate Change. Water 2020, 12, 1621. https://doi.org/10.3390/w12061621
Serra T, Pascual J, Brunet R, Colomer J. The Mixing Regime and Turbidity of Lake Banyoles (NE Spain): Response to Climate Change. Water. 2020; 12(6):1621. https://doi.org/10.3390/w12061621
Chicago/Turabian StyleSerra, Teresa, Josep Pascual, Ramon Brunet, and Jordi Colomer. 2020. "The Mixing Regime and Turbidity of Lake Banyoles (NE Spain): Response to Climate Change" Water 12, no. 6: 1621. https://doi.org/10.3390/w12061621
APA StyleSerra, T., Pascual, J., Brunet, R., & Colomer, J. (2020). The Mixing Regime and Turbidity of Lake Banyoles (NE Spain): Response to Climate Change. Water, 12(6), 1621. https://doi.org/10.3390/w12061621

