Evaluating the Impact of Urban Growth on the Design of Storm Water Drainage Systems
Abstract
1. Introduction
2. Materials and Methods
- Q is the peak discharge through the pipe (m3/s);
- A is the cross-section area of the pipe (m2);
- n is the Manning’s roughness coefficient (n = 0.010);
- R is the hydraulic radius (R = A/P) (m);
- S is the pipe slope (m/m).
3. Study Area
3.1. Topographic Data
3.2. Meteorological Data
4. Results and Discussion
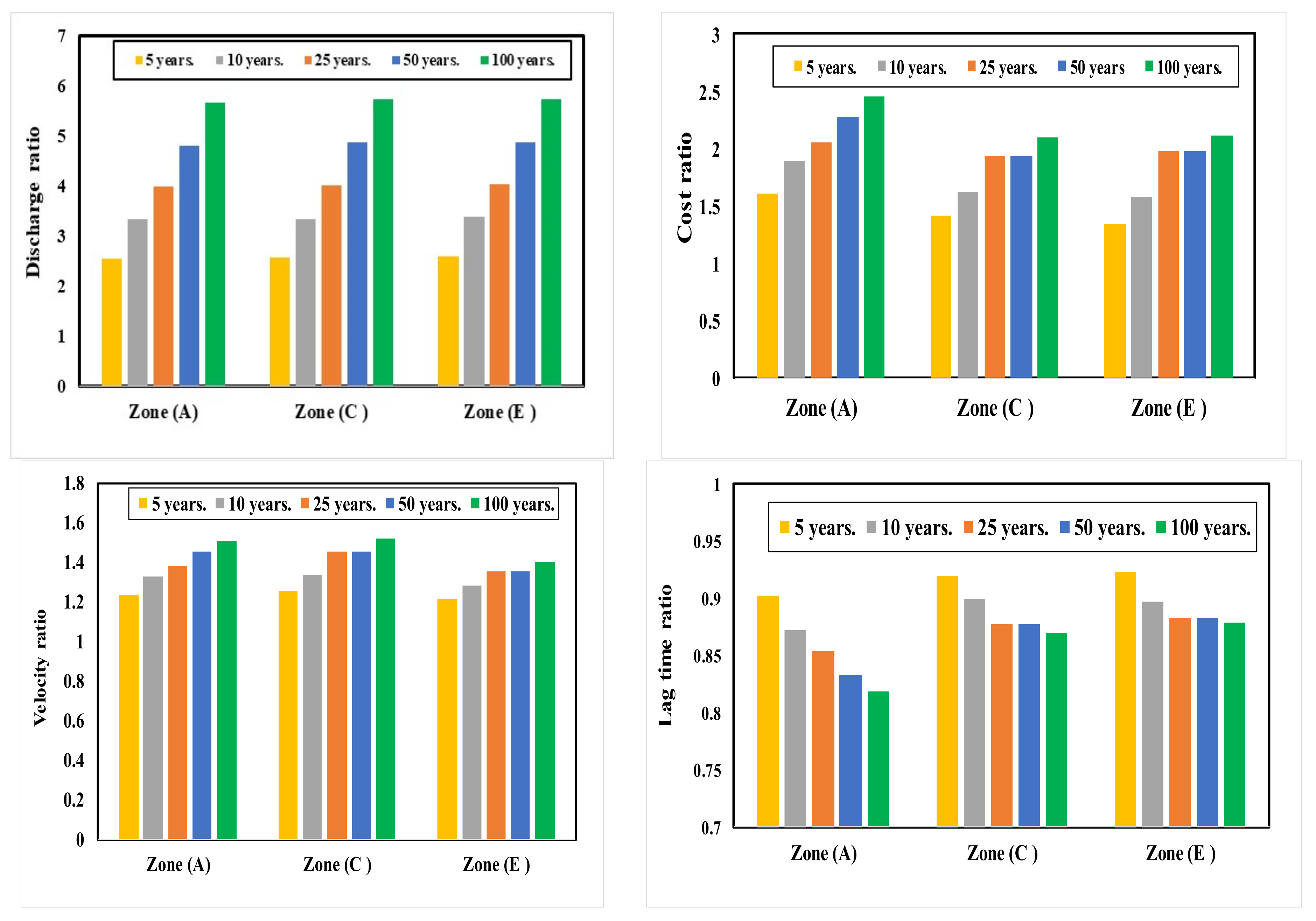
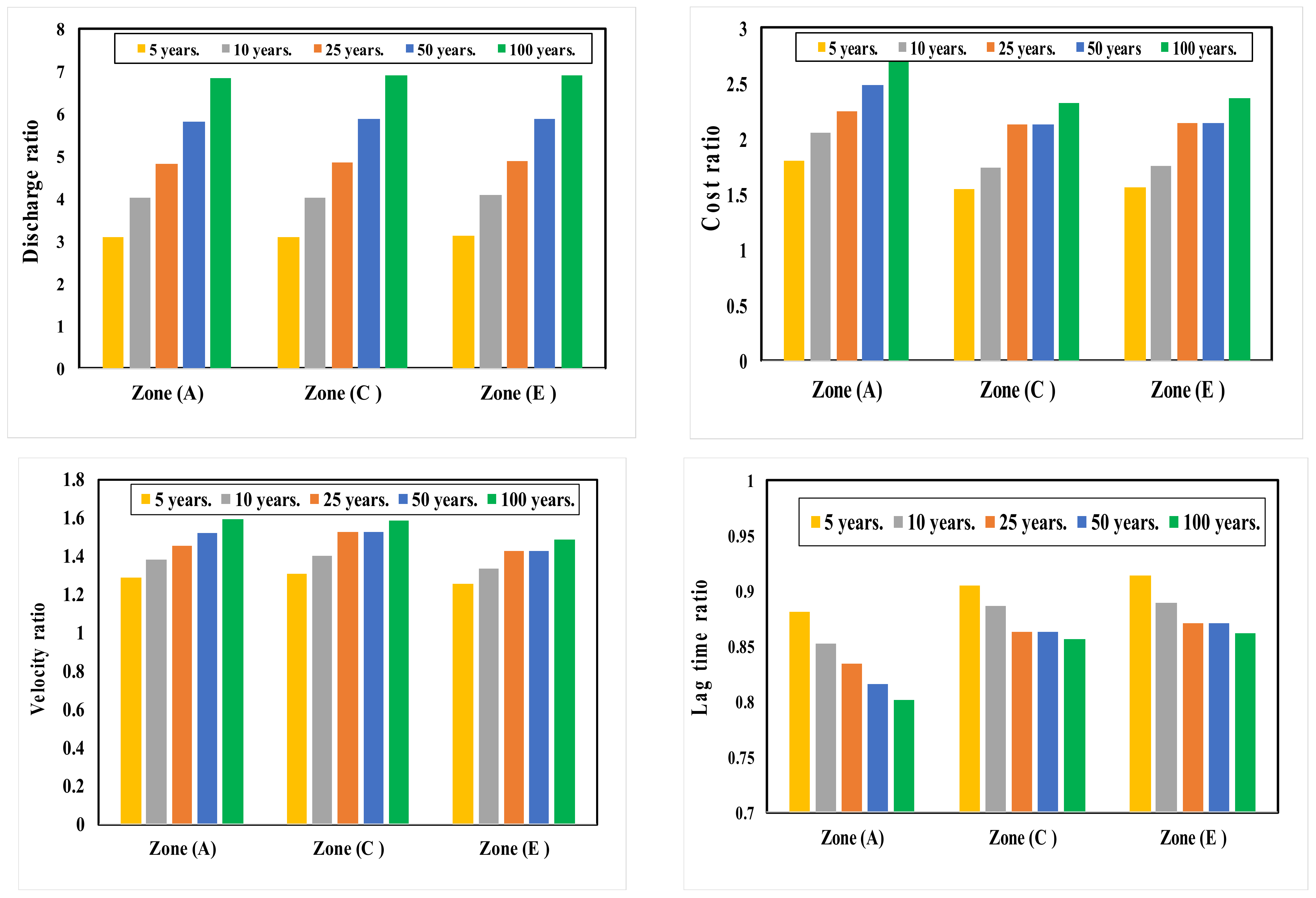
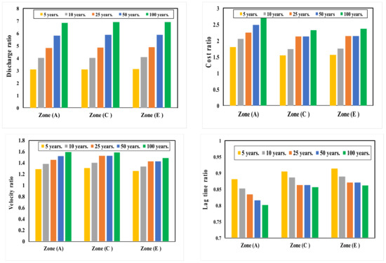
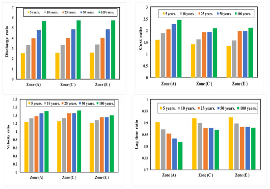
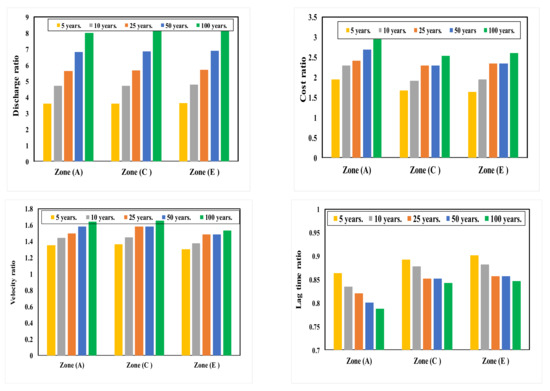
4.1. Relationship between Runoff Coefficient and Outlet Discharges
- Q is the maximum flow discharge (m3/s);
- Rp is the return period (year);
- C is the runoff coefficient;
- Dd is the drainage density (Km/Km2) (the total length of pipes network to catchment area);
- Lp is the longest path (m) (the maximum distance between remote point to outfall point);
- I is the intensity of rainfall (mm/h);
- A is the area of catchment (Km2);
Validation Catchments
- Catchment A, located in Gasan-dong, Geumcheon-gu, Seoul, was considered for the design of a storm water drainage system for a 30-year flood occurrence period. It has a reservoir volume of 9000 m3. Land description: 73% is covered by industrial areas.
- Catchment B, located in Daelim 3-dong, Yeongdeungpo-gu, Seoul, was also was considered for the design of a storm water drainage system for a 30-year flood occurrence period and has a reservoir volume of 36,200 m3. Land description: residential areas (60%), commercial and business districts (15%), and a highly dense residential area (9%).
- Catchment C is located in Guro, Seoul. Two storm water pump stations are erected in Gaebong 1 and 2, with a reservoir capacity of 156,000 m3 and 3460 m3, respectively. Land description: 19% forest and 39% impervious areas.
- Catchment D is located in the downtown Busan metropolitan area. Since the water level of a nearby river is commonly higher than the city ground, the natural discharge of rainwater to the river is difficult due to the backflow of sewer pipes. Land description: 85% is covered by industrial and residential areas and 15% is covered by forest.
- Catchment E of the Dorimcheon Stream is located in Sinrim-dong, Gwanak-gu, Seoul. There are two pumping stations with reservoir capacities of 8400 and 5300 m3. Land description: 70% is covered by industrial and residential areas and 30% is covered by forest (Lee J. et al., 2018) [38].
4.2. Relationship between Runoff Coefficient and Cost of the System
- Cr = cost ratio
- C = runoff coefficient
- T = return period
4.3. Relationship between Runoff Coefficient and Average Velocity
4.4. Relationship between Runoff Coefficient and Lag Time
5. Conclusions
- StormCAD software is used to assess the effect of different values of runoff coefficients on the discharge, velocity of the pipe network, lag time and cost of the pipe network;
- An empirical equation has been developed to predict the max discharge based on the data developed from the models. The discharge is a function of the return period, runoff coefficient, drainage density, longest path, rainfall intensity and catchment area;
- The developed equation is verified by application to estimate the discharge in a real case study in South Korea. Comparisons between the measured discharge and estimated discharge showed that the empirical equation is capable of predicting the maximum discharge for different catchments with high accuracy;
- Then, the validation of the models was carried out to assess the effect of the runoff coefficient on the design of a storm water drainage system in a case study in Dammam, KSA. The results revealed that increasing the runoff coefficient due to urban growth decreased the lag time and increased the outfall discharge, velocity and cost of construction of storm water drainage systems;
- The relationship between the cost and the runoff coefficient has been explored, which can help decision makers and designers to consider the effect of urban growth increasing the cost of large projects. The cost of the drainage system increased by two to three times in the case studies alongside the expected urban growth.
Author Contributions
Funding
Acknowledgments
Conflicts of Interest
References
- Zeleňáková, M.; Hluštík, P.; Abd-Elhamid, H.F.; Markovič, G.; Hudáková, G.; Tometz, L. Comprehensive study of the percolation of water from surface runoff with an emphasis on the retention capacity and intensity of precipitation. Water Sci. Technol. 2019, 79, 2407–2416. [Google Scholar] [CrossRef]
- Bentley. Storm sewer design and modeling. In Bentley StormCAD V8 XM User’s Guide; Bentley: Crewe, UK, 2006. [Google Scholar]
- Gould, S.E. Stormwater Management Model Development for Fairbanks; ASCE: Reston, VA, USA, 2016. [Google Scholar]
- Bentley. Bentley’s Stormwater Modeling Helps Paulus, Sokolowski, & Sartor, LLC Design Thunderbolt Raceway Motorsports Park’s Stormwater Systems; Bentley: Crewe, UK, 2009. [Google Scholar]
- Pazwash, H.A. Urban Stormwater Management; ASCE: Reston, VA, USA, 2011. [Google Scholar]
- Villarreal, E.A. Extension of Stormwater System at Östra Torn, Lund. In Global Solutions for Urban Drainage; ASCE: Reston, VA, USA, 2002. [Google Scholar]
- Jia, N.; Sitzenfrei, R.; Rauch, W.; Liang, S.; Liu, Y. Effects of Urban Forms on Separate Drainage Systems: A Virtual City Perspective. Water 2019, 11, 758. [Google Scholar] [CrossRef]
- Zhang, K.; Chui, T.F.M. Linking hydrological and bioecological benefits of green infrastructures across spatial scales-A literature review. Sci. Total Environ. 2019, 646, 1219–1231. [Google Scholar] [CrossRef] [PubMed]
- Huang, H.; Cheng, S.; Wen, J.; Lee, J. Effect of growing watershed imperviousness on hydrograph parameters and peak discharge. J. Hydrol. Process. 2008, 22, 2075–2085. [Google Scholar] [CrossRef]
- Du, J.; Qian, L.; Rui, H.; Zuo, T.; Zheng, D.; Xu, Y.C.; Xu, Y. Assessing the effects of urbanization on annual runoff and flood events using an integrated hydrological modeling system for Qinhuai River basin, China. J. Hydrol. 2012, 464–465, 127–139. [Google Scholar] [CrossRef]
- Hundecha, Y.; Bardossy, A. Modeling of the effect of land use changes on the runoff generation of a river basin through parameter regionalization of a watershed model. J. Hydrol. 2004, 292, 281–295. [Google Scholar] [CrossRef]
- Yanga, G.; Bowlinga, L.C.; Cherkauerb, K.A.; Pijanowskic, B.C. The impact of urban development on hydrologic regime from catchment to basin scales. Landsc. Urban Plan. 2011, 103, 237–247. [Google Scholar] [CrossRef]
- Kumar, P.S.; Santhi, T.; Srivatsav, P.M.; Reddy, D.V.; Prasad, M.A.; Praveen, T.V. Storm Water Drainage Design (Case Study Vijayawada). Int. J. Earth Sci. Eng. 2015, 8, 507–511. [Google Scholar]
- Kumar, K.P.; Barik, D.K.; Manideep, C. A Comparative Study of Storm Water Drainage Methods for Urban Storm Water Management. Indian J. Sci. Technol. 2015, 8, 1–9. [Google Scholar]
- Li, C.; Liu, M.; Hu, Y.; Shi, T.; Qu, X.; Walter, M.T. Effects of urbanization on direct runoff characteristics in urban functional zones. Sci. Total Environ. 2018, 643, 301–311. [Google Scholar] [CrossRef]
- Da Silva, C.V.F.; Schardong, A.; Garcia, J.I.B.; Oliveira, C.D.P.M. Climate Change Impacts and Flood Control Measures for Highly Developed Urban Watersheds. Water 2018, 10, 829. [Google Scholar] [CrossRef]
- Semadeni-Davies, A.; Hernebring, C.; Svensson, G.; Gustafsson, L.G. The impacts of climate change and urbanization on drainage in Helsingborg, Sweden: Suburban Stormwater. J. Hydrol. 2008, 350, 114–125. [Google Scholar] [CrossRef]
- Jacobs, J.H.; Srinivasan, R. Effects of curve number modification on runoff estimation using WSR-88D rainfall data in Texas watersheds. J. Soil Water Conserv. 2005, 60, 274–279. [Google Scholar]
- Zhou, Q.; Leng, G.; Su, J.; Ren, Y. Comparison of urbanization and climate change impacts on urban flood volumes: Importance of urban planning and drainage adaptation. Sci. Total Environ. 2018, 658, 24–33. [Google Scholar] [CrossRef] [PubMed]
- Bach, P.M.; Deletic, A.; Urich, C.; McCarthy, D.T. Modelling characteristics of the urban form to support water systems planning. Environ. Model. Softw. 2018, 104, 249–269. [Google Scholar] [CrossRef]
- Mikovits, C.; Rauch, W.; Kleidorfer, M. Importance of scenario analysis in urban development for urban water infrastructure planning and management. Comput. Environ. Syst. 2018, 68, 9–16. [Google Scholar] [CrossRef]
- Youssef, A.; Sefry, S.; Pradhan, B.; Abu Alfadail, E. Analysis on causes of flash flood in Jeddah city (Kingdom of Saudi Arabia) of 2009 and 2011 using multi-sensor remote sensing data and GIS. Geomat. Nat. Hazards Risk 2016, 7, 1018–1042. [Google Scholar] [CrossRef]
- Haq, M.; Akhtar, M.; Muhammad, S.; Paras, S.; Rahmatullah, J. Techniques of remote sensing and GIS for flood monitoring and damage assessment: A case study of Sindh province, Pakistan. Egypt. J. Remote Sens. Space Sci. 2012, 15, 135–141. [Google Scholar] [CrossRef]
- Pradhan, B. Flood susceptible mapping and risk area estimation using logistic regression, GIS and remote sensing. J. Spat. Hydrol. 2010, 9, 1–18. [Google Scholar]
- Dawod, G.; Mirza, M.; Al-Ghamdi, K. Assessment of several flood estimation methodologies in Makkah metropolitan area, Saudi Arabia. Arab. J. Geosci. 2011. [Google Scholar] [CrossRef]
- Abosuliman, S.; Kumar, A.; Alam, F. Flood Disaster Planning and Management in Jeddah, Saudi Arabia—A Survey. In Proceedings of the International Conference on Industrial Engineering and Operations Management, Bali, Indonesia, 7–9 January 2014. [Google Scholar]
- Youssef, A.; Pradhan, B.; Sefry, S. Remote sensing-based studies coupled with field data reveal urgent solutions to avert the risk of flash floods in the Wadi Qus (east of Jeddah) Kingdom of Saudi Arabia. Nat. Hazards 2014, 75, 1465–1488. [Google Scholar] [CrossRef]
- Li, F.; Duan, H.; Yan, H.; Tao, T. Multi-Objective Optimal Design of Detention Tanks in the Urban Storm Water Drainage System: Framework Development and Case Study. Water Resour. Manag. 2015, 29, 2125–2137. [Google Scholar] [CrossRef]
- Su, H.T.; Cheung, S.; Lo, E. Multi-objective optimal design for flood risk management with resilience objectives. Stoch. Environ. Res. Risk Assess. 2018. [Google Scholar] [CrossRef]
- Duan, H.; Li, F.; Tao, T. Multi-objective Optimal Design of Detention Tanks in the Urban Storm Water Drainage System: Uncertainty and Sensitivity Analysis. Water Resour. Manag. 2016, 30, 2213–2226. [Google Scholar] [CrossRef]
- Li, F.; Yan, X.; Duan, H. Sustainable Design of Urban Stormwater Drainage Systems by Implementing Detention Tank and LID Measures for Flooding Risk Control and Water Quality Management. Water Resour. Manag. 2019, 33, 3271–3288. [Google Scholar] [CrossRef]
- Mohammadiun, S.; Yazdi, J.; Neyshabouri, S.; Sadiq, R. Development of a stochastic framework to design/rehabilitate urban stormwater drainage systems based on a resilient approach. Urban Water J. 2018. [Google Scholar] [CrossRef]
- Wagh, M.R.; Salunkhe, S.R.; Sawant, S.S.; Rathod, S.R.; Salunke, P.J. Applications of Softwares in Environmental Engineering. Int. J. Adv. Res. Dev. 2018, 3, 187–191. [Google Scholar]
- Texas Department of Transportation. Hydraulic Design Manual; Texas Department of Transportation: Austin, TX, USA, 2004. [Google Scholar]
- Chow, V.T.; Maidment, D.R.; Mays, L.W. Applied Hydrology; McGraw-Hill Book Company: New York, NY, USA, 1988. [Google Scholar]
- Bell, C. Generalized rainfall duration frequency relationships. J. Hydraul. Div. ASCE 1969, 95, 311–327. [Google Scholar]
- Le Minh, N.; Yasuto, T.; Kaoru, T. Establishment of Intensity-Duration-Frequency Curves for Precipitation in the Monsoon Area of Vietnam; No. 49 B; Annuals Disaster Prevention Research Institute, Kyoto University: Kyoto, Japan, 2006. [Google Scholar]
- Saudi Aramco, Ownership Development Program Package (1) Infrastructure, Design Basis and Calculations; Technical Report; Aramco company: Dharam, Saudi Arabia, 2015.
- Lee, J.; Chung, G.; Park, H.; Park, I. Evaluation of the Structure of Urban Storm Water Pipe Network Using Drainage Density. Water 2018, 10, 1444. [Google Scholar] [CrossRef]



















| Zone | C | Max. Discharge (m3/s) | Lag Time (min) | Average Velocity (m/s) | Cost (SAR) |
|---|---|---|---|---|---|
| A | 0.2 | 0.76 | 22.92 | 1.1 | 3,429,375 |
| C | 0.2 | 1.3784 | 17.734 | 1.25 | 4,701,325 |
| E | 0.2 | 0.883 | 19.652 | 1.34 | 3,768,721 |
| Diameter (mm) | 300 | 350 | 400 | 450 | 500 | 600 | 700 | 800 | 900 |
|---|---|---|---|---|---|---|---|---|---|
| Cost (SAR) | 300 | 400 | 500 | 550 | 600 | 750 | 900 | 1100 | 1450 |
| Diameter (mm) | 1000 | 1100 | 1200 | 1300 | 1400 | 1500 | 1600 | 1700 | 1800 |
| Cost (SAR) | 1800 | 2000 | 2200 | 2750 | 2950 | 3050 | 3200 | 3350 | 3450 |
| Diameter (mm) | 1900 | 2000 | 2100 | 2200 | 2300 | 2400 | 2500 | ||
| Cost (SAR) | 3600 | 3750 | 3900 | 4100 | 4350 | 4500 | 4500 |
| Zone Name | Area (Km2) (A) | Total Pipe Length (Km) | Drainage Density (Km/Km2) (Dd) | Longest Path through Pipe System (m) (LP) | Return Period (Year) (RP) | Runoff Coefficient (C) | Rainfall Intensity (mm/h) (I) | Discharge (m3/s) (Q) |
|---|---|---|---|---|---|---|---|---|
| (A) | 0.40 | 3 | 7.50 | 720 | 10 | 0.50 | 66.02 | 3.33 |
| 0.60 | 4.03 | |||||||
| 0.70 | 4.72 | |||||||
| 25 | 0.50 | 78.89 | 3.98 | |||||
| 0.60 | 4.80 | |||||||
| 0.70 | 5.63 | |||||||
| (C) | 0.70 | 4 | 5.70 | 460 | 10 | 0.50 | 72.85 | 3.35 |
| 0.60 | 4.03 | |||||||
| 0.70 | 4.73 | |||||||
| 25 | 0.50 | 86.88 | 4.00 | |||||
| 0.60 | 4.83 | |||||||
| 0.70 | 5.66 | |||||||
| (E) | 0.50 | 3.50 | 7.0 | 680 | 10 | 0.50 | 72.86 | 3.38 |
| 0.60 | 4.08 | |||||||
| 0.70 | 4.77 | |||||||
| 25 | 0.50 | 87.11 | 4.04 | |||||
| 0.60 | 4.87 | |||||||
| 0.70 | 5.70 |
| Zone Name | Area (Km2) | Total Pipe Length (Km) | Drainage Density (Km/Km2) | Longest Path through Pipe System (m) | Return Period Design (Year) | Equivalent Runoff Coefficient (Vent Chow) | Rainfall Intensity (mm/h) | Peak Discharge (m3/s) | Calculated Peak Discharge from Empirical Equation (m3/s) |
|---|---|---|---|---|---|---|---|---|---|
| (A) | 0.48 | 5.22 | 10.77 | 1400 | 30 | 0.75 | 20 | 7.5 | 8.48 |
| 40 | 8 | 8.64 | |||||||
| 60 | 8.5 | 8.74 | |||||||
| (B) | 2.48 | 59.98 | 24.13 | 3000 | 30 | 0.75 | 20 | 23 | 25.23 |
| 40 | 26 | 25.72 | |||||||
| 60 | 30 | 26.01 | |||||||
| (C) | 8.92 | 37.59 | 4.21 | 3980 | 10 | 0.60 | 20 | 35 | 40.11 |
| 40 | 40 | 40.89 | |||||||
| 60 | 46 | 41.35 | |||||||
| (D) | 57.24 | 29.13 | 0.51 | 12,000 | 30 | 0.70 | 20 | 300 | 323.87 |
| 40 | 350 | 330.11 | |||||||
| 60 | 400 | 333.81 | |||||||
| (E) | 3.56 | 20.12 | 5.65 | 4100 | 30 | 0.55 | 20 | 35 | 38.75 |
| 40 | 40 | 39.50 | |||||||
| 60 | 45 | 40.43 |
© 2020 by the authors. Licensee MDPI, Basel, Switzerland. This article is an open access article distributed under the terms and conditions of the Creative Commons Attribution (CC BY) license (http://creativecommons.org/licenses/by/4.0/).
Share and Cite
Abd-Elhamid, H.F.; Zeleňáková, M.; Vranayová, Z.; Fathy, I. Evaluating the Impact of Urban Growth on the Design of Storm Water Drainage Systems. Water 2020, 12, 1572. https://doi.org/10.3390/w12061572
Abd-Elhamid HF, Zeleňáková M, Vranayová Z, Fathy I. Evaluating the Impact of Urban Growth on the Design of Storm Water Drainage Systems. Water. 2020; 12(6):1572. https://doi.org/10.3390/w12061572
Chicago/Turabian StyleAbd-Elhamid, Hany F., Martina Zeleňáková, Zuzana Vranayová, and Ismail Fathy. 2020. "Evaluating the Impact of Urban Growth on the Design of Storm Water Drainage Systems" Water 12, no. 6: 1572. https://doi.org/10.3390/w12061572
APA StyleAbd-Elhamid, H. F., Zeleňáková, M., Vranayová, Z., & Fathy, I. (2020). Evaluating the Impact of Urban Growth on the Design of Storm Water Drainage Systems. Water, 12(6), 1572. https://doi.org/10.3390/w12061572

