An Attempt to Characterize the Recharge of Alluvial Fans Facing the Northern Italian Apennines: Indications from Water Stable Isotopes
Abstract
1. Introduction
2. Study Area
2.1. Climatic and Hydrological Setting
2.2. Hydrogeological Setting
3. Dataset
3.1. Isotopic Data in Precipitation, Rivers, and Groundwater
3.2. Reference Isotopic Compositions in Precipitations from the Foothills of the Northern Italian Apennines
3.3. Precipitation, River Discharge, and Groundwater Levels
4. Methodology
4.1. Univariate Analysis and Comparison between Isotopic Compositions in Precipitation, Surface Water and Groundwater
4.2. Bivariate Analysis and Comparison among Water Lines
5. Results
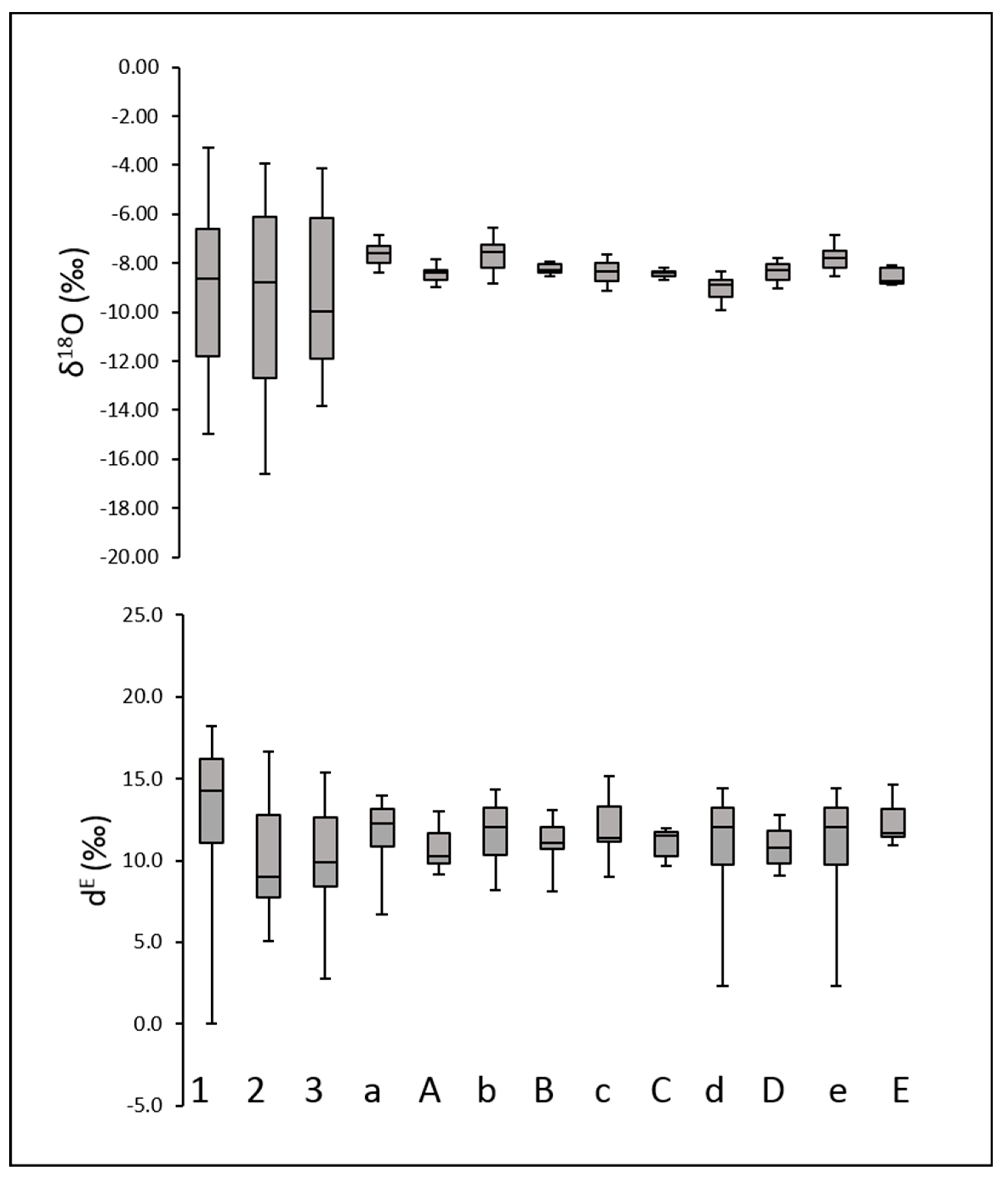
5.1. Univariate Analysis and Comparison between Isotopic Compositions in Precipitation, Surface Water and Groundwater
5.2. Bivariate Analysis and Comparison among Water Lines
6. Discussion
7. Conclusions
Supplementary Materials
Author Contributions
Funding
Acknowledgments
Conflicts of Interest
References
- Döll, P.; Hoffmann-Dobrev, H.; Portmann, F.T.; Siebert, S.; Eicker, A.; Rodell, M.; Strassberg, G.; Scanlon, B.R. Impact of water withdrawals from groundwater and surface water on continental water storage variations. J. Geodyn. 2012, 59, 143–156. [Google Scholar] [CrossRef]
- Wilson, J.L.; Guan, H. Mountain-block hydrology and mountain-front recharge. In Groundwater Recharge in a Desert Environment: The Southwestern United States, 9th ed.; American Geophysical Union: Washington, DC, USA, 2014; pp. 113–138. [Google Scholar]
- Bresciani, E.; Cranswick, R.H.; Banks, E.W.; Batlle-Aguilar, J.; Cook, P.G.; Batelaan, O. Using hydraulic head, chloride and electrical conductivity data to distinguish between mountain-front and mountain-block recharge to basin aquifers. Hydrol. Earth Syst. Sci. 2018, 22, 1629–1648. [Google Scholar] [CrossRef]
- Markovich, K.H.; Manning, A.H.; Condon, L.E.; McIntosh, J.C. Mountain-block recharge: A review of current understanding. Water Resour. Res. 2019, 55, 8278–8304. [Google Scholar] [CrossRef]
- Scanlon, B.R.; Keese, K.E.; Flint, A.L.; Flint, L.E.; Gaye, C.B.; Edmunds, W.M.; Simmers, I. Global synthesis of groundwater recharge in semiarid and arid regions. Hydrol. Proc. 2006, 20, 3335–3370. [Google Scholar] [CrossRef]
- Coluccio, K.; Morgan, L.K. A review of methods for measuring groundwater-surface water exchange in braided rivers. Hydrol. Earth Syst. Sci. 2019, 23, 4397–4417. [Google Scholar] [CrossRef]
- Kalbus, E.; Reinstorf, F.; Schirmer, M. Measuring methods for groundwater? Surface water interactions: A review. Hydrol. Earth Syst. Sci. 2006, 10, 873–887. [Google Scholar] [CrossRef]
- Manning, A.H.; Solomon, D.K. Using noble gases to investigate mountain-front recharge. J. Hydrol. 2003, 275, 194–207. [Google Scholar] [CrossRef]
- Plummer, L.N.; Bexfield, L.M.; Anderholm, S.K.; Sanford, W.E.; Busenberg, E. Hydrochemical tracers in the middle Rio Grande basin, USA: 1. Conceptualization of groundwater flow. Hydrogeol. J. 2004, 12, 359–388. [Google Scholar] [CrossRef]
- Liu, Y.; Yamanaka, T. Tracing groundwater recharge sources in a mountain-plain transitional area using stable isotopes and hydrochemistry. J. Hydrol. 2012, 464–465. [Google Scholar] [CrossRef]
- Althaus, R.; Klump, S.; Onnis, A.; Kipfer, R.; Purtschert, R.; Stauffer, F.; Kinzelbach, W. Noble gas tracers for characterisation of flow dynamics and origin of groundwater: A case study in Switzerland. J. Hydrol. 2009, 370, 64–72. [Google Scholar] [CrossRef]
- Manning, A.H. Mountain-block recharge, present and past, in the eastern Espanola basin, New Mexico, USA. Hydrogeol. J. 2011, 19, 379–397. [Google Scholar] [CrossRef]
- Gardner, P.M.; Heilweil, V.M. A multiple-tracer approach to understanding regional groundwater flow in the Snake Valley area of the eastern Great Basin, USA. Appl. Geochem. 2014, 45, 33–49. [Google Scholar] [CrossRef]
- Botting, J. Groundwater Flow Patterns and Origin on the North Bank of the Wairau River, Marlborough, New Zealand. Master’s Thesis of Science in Engineering Geology, University of Canterbury, Christchurch, New Zealand, 2010. [Google Scholar]
- Hanson, C.; Abraham, P. Depth and Spatial Variation in Groundwater Chemistry-Central Canterbury Plains; Environment Canterbury: Christchurch, New Zealand, 2009. [Google Scholar]
- Burbery, L.; Ritson, J. Integrated Study of Surface Waterand Shallow Groundwater Resources of the Orari Catchment; Environment Canterbury: Christchurch, New Zealand, 2010. [Google Scholar]
- Ao, L.; Yamada, M.; Kobayashi, M.; Mitamura, O. Groundwater flow system estimated by stable isotopes of oxygen and hydrogen in an alluvial fan of the Echi River, Japan. Verh. Int. Ver. Angew. Limnol. Verh. 2009, 30, 1174–1178. [Google Scholar] [CrossRef]
- Guo, X.; Zuo, R.; Wang, J.; Meng, L.; Teng, Y.; Shi, R.; Ding, F. Hydrogeochemical evolution of interaction between surface water and groundwater affected by exploitation. Groundwater 2019, 57, 430–442. [Google Scholar] [CrossRef] [PubMed]
- Tsuchihara, T.; Shirahata, K.; Ishida, S.; Yoshimoto, S. Application of a Self-organizing map of isotopic and chemical data for the identification of groundwater recharge sources in Nasunogahara Alluvial Fan, Japan. Water 2020, 12, 278. [Google Scholar] [CrossRef]
- Benelli, F.; Pignone, R.; Di Dio, G. Riserve Idriche Sotterranee della Regione Emilia-Romagna; SELCA: Firenze, Italy, 2014; p. 120. [Google Scholar]
- Farina, M.; Marcaccio, M.; Zavatti, A. Esperienze e Prospettive nel Monitoraggio Delle Acque Sotterranee. Il Contributo Dell’emilia-Romagna; Quaderni di Tecniche di Protezione Ambientale, Pitagora Editrice: Bologna, Italy, 2014; p. 560. [Google Scholar]
- Di Dio, G. Modelling groundwater-stream water interactions in the Taro river hydrogeological basin (western Emilia-Romagna region, northern Italy). Ital. J. Eng. Geol. Environ. 2012, 12, 23–39. [Google Scholar] [CrossRef]
- Chahoud, A.; Gelati, L.; Palumbo, A.; Patrizi, G.; Pellegrino, I.; Zaccanti, G. Groundwater flow model management and case studies in Emilia-Romagna (Italy). Acque Sotter. Ital. J. Groundw. 2013, 59–73. [Google Scholar] [CrossRef][Green Version]
- Chahoud, A.; Patrizi, G.; Zazzanti, G.; Gelati, L. Il modello di flusso delle acque sotterranee della Regione Emilia-Romagna. In Esperienze e Prospettive nel Monitoraggio delle Acque Sotterranee: Il Contributo dell’Emilia-Romagna; Quaderni di Tecniche di Protezione Ambientale, 85 Pitagora Editrice: Bologna, Italy, 2014; pp. 186–224. [Google Scholar]
- Preciso, E.; Salemi, E.; Billi, P. Land use changes, torrent control works and sediment mining: Effects on channel morphology and sediment flux, case study of the Reno River (Northern Italy). Hydrol. Proc. 2012, 26, 1134–1148. [Google Scholar] [CrossRef]
- Pavanelli, D.; Cavazza, C.; Lavrnić, S.; Toscano, A. The long-term effects of land use and climate changes on the hydro-morphology of the Reno river catchment (Northern Italy). Water 2019, 11, 1831. [Google Scholar] [CrossRef]
- Bonazzi, U. Modificazioni d’alveo del fiume Secchia avvenute negli ultimi cento anni nei dintorni di Sassuolo (Modena). Atti Soc. Nat. E Mat. Di Modena 1996, 127, 67–99. [Google Scholar]
- Pellegrini, M.; Tosatti, G. Engineering geology, geotechnics and hydrogeology in environmental management: Northern Italian experiences. In Geomechanics and Water Engineering in Environmental Management; Taylor and Francis: London, UK, 1992; pp. 407–428. [Google Scholar]
- Cervi, F.; Nistor, M.M. High resolution of water availability for Emilia-Romagna region over 1961–2015. Adv. Meteorol. 2018, 2489758. [Google Scholar] [CrossRef]
- Martinelli, G.; Minissale, A.; Verrucchi, C. Geochemistry of heavily exploited aquifers in the Emilia-Romagna region (Po valley, northern Italy). Environ. Geol. 1998, 36, 195–206. [Google Scholar] [CrossRef]
- Cervi, F.; Dadomo, A.; Martinelli, G. The analysis of short-term dataset of water stable isotopes provides information on hydrological processes occurring in large catchments from the northern Italian Apennines. Water 2019, 11, 1360. [Google Scholar] [CrossRef]
- ARPAE-EMR. Regional Agency for Environmental Protection in Emilia-Romagna Region: Annali Idrologici. 2019. Available online: https://www.arpae.it/sim/ (accessed on 30 September 2019).
- Cervi, F.; Blöschl, G.; Corsini, A.; Borgatti, L.; Montanari, A. Perennial springs provide information to predict low flows in mountain basins. Hydrol. Sci. J. 2017, 62, 2469–2481. [Google Scholar] [CrossRef]
- Severi, P.; Bonzi, L. Cenni sulla geologia dell’acquifero della pianura Emiliano-Romagnola. In Esperienze e Prospettive nel Monitoraggio delle Acque Sotterranee. Il Contributo dell’Emilia-Romagna; Pitagora Editrice: Bologna, Italy, 2014; pp. 19–34. [Google Scholar]
- Amorosi, A.; Farina, M.; Severi, P.; Preti, D.; Caporale, L.; Di Dio, G. Genetically related alluvial deposits across active fault zones: An example of alluvial fan-terrace correlation from the upper Quaternary of the southern Po Basin, Italy. Sediment. Geol. 1996, 102, 275–295. [Google Scholar] [CrossRef]
- Valloni, R.; Calda, N. Late quaternary fluvial sediment architecture and aquifer systems of the southern margin of the Po River plain. Mem. Descr. Carta Geol. D’it. 2007, 76, 289–300. [Google Scholar]
- Ori, G.G. Continental depositional systems of the quaternary of the Po plain (northern Italy). Sediment. Geol. 1993, 83, 1–14. [Google Scholar] [CrossRef]
- Giuliano, G. Ground water in the Po basin: Some problems relating to its use and protection. Sci. Total Environ. 1995, 171, 17–27. [Google Scholar] [CrossRef]
- Cervi, F.; Corsini, A.; Marcaccio, M. Confronto tra metodo euristico SINTACS e SINTACS-Woe in base alla distribuzione dell’inquinamento da nitrati-caso studio della conoide del Fiume Enza. In Esperienze e Prospettive nel Monitoraggio delle Acque Sotterranee: Il Contributo dell’Emilia-Romagna; Quaderni di Tecniche di Protezione Ambientale, 85 Pitagora Editrice: Bologna, Italy, 2014; pp. 140–147. [Google Scholar]
- Martinelli, G.; Dadomo, A.; De Luca, D.A.; Mazzola, M.; Lasagna, M.; Pennisi, M.; Pilla, G. Nitrate sources, accumulation and reduction in groundwater from Northern Italy: Highlights provided by a nitrate and boron isotopic database. Appl. Geochem. 2018, 91, 23–35. [Google Scholar] [CrossRef]
- Martinelli, G.; Chahoud, A.; Dadomo, A.; Fava, A. Isotopic features of Emilia-Romagna region (North Italy) groundwaters: Environmental and climatological implications. J. Hydrol. 2014, 519, 1928–1938. [Google Scholar] [CrossRef]
- Longinelli, A.; Anglesio, E.; Flora, O.; Iacumin, P.; Selmo, E. Isotopic composition of precipitation in Northern Italy: Reverse effect of anomalous climatic events. J. Hydrol. 2006, 329, 471–476. [Google Scholar] [CrossRef]
- Dansgaard, W. Stable isotopes in precipitation. Tellus 1964, 16, 436–468. [Google Scholar] [CrossRef]
- Longinelli, A.; Selmo, E. Isotopic composition of precipitation in Italy: A first overall map. J. Hydrol. 2003, 270, 75–88. [Google Scholar] [CrossRef]
- Cortecci, G.; Dinelli, E.; Mussi, M. Isotopic composition and secondary evaporation effects on precipitation from the urban centre of Bologna, Italy. Period. Di Mineral. 2008, 77, 55–63. [Google Scholar]
- Iacumin, P.; Venturelli, G.; Selmo, E. Isotopic features of rivers and groundwater of the Parma Province (Northern Italy) and their relationships with precipitation. J. Geochem. Explor. 2009, 102, 56–62. [Google Scholar] [CrossRef]
- Craig, H. Isotopic variations in meteoric waters. Science 1961, 133, 1702–1703. [Google Scholar] [CrossRef] [PubMed]
- Gat, J.; Carmi, I. Evolution of the isotopic composition of atmospheric waters in Mediterranean Sea area. J. Geophys. Res. 1970, 75, 3039–3078. [Google Scholar] [CrossRef]
- Bădăluță, C.A.; Perșoiu, A.; Ionita, M.; Nagavciuc, V.; Bistricean, P.I. Stable H and O isotope-based investigation of moisture sources and their role in river and groundwater recharge in the NE Carpathian mountains, East-Central Europe. Isot. Environ. Health Stud. 2019, 55, 161–178. [Google Scholar] [CrossRef]
- Krajcar-Bronić, I.; Barešić, J.; Borković, D.; Sironić, A.; Mikelić, I.L.; Vreča, P. Long-term isotope records of precipitation in Zagreb, Croatia. Water 2020, 12, 226. [Google Scholar] [CrossRef]
- Brattich, E.; Hernández-Ceballos, M.A.; Cinelli, G.; Tositti, L. Analysis of 210Pb peak values at Mt. Cimone (1998–2011). Atmos. Environ. 2015, 112, 136–147. [Google Scholar] [CrossRef]
- Giustini, F.; Brilli, M.; Patera, A. Mapping oxygen stable isotopes of precipitation in Italy. J. Hydrol. Reg. Stud. 2016, 8, 162–181. [Google Scholar] [CrossRef]
- Liu, Y.; Fan, N.; An, S.; Bai, X.; Liu, F.; Xu, Z.; Wang, Z.; Liu, S. Characteristics of water isotopes and hydrograph separation during the wet season in the Heishui River, China. J. Hydrol. 2008, 353, 314–321. [Google Scholar] [CrossRef]
- Penna, D.; Engel, M.; Mao, L.; Dell’Agnese, A.; Bertolfi, G.; Comiti, F. Tracer-based analysis of spatial and temporal variations of water sources in a glaciarized catchments. Hydrol. Earth Syst. Sci. 2014, 18, 5271–5288. [Google Scholar] [CrossRef]
- Davis, J.C. Statistics and Data Analysis in Geology; John Wiley & Sons: New York, NY, USA, 2001. [Google Scholar]
- Leibundgut, C.; Maloszewski, P.; Kulls, C. Tracers in Hydrology; John Wiley & Sons: New York, NY, USA, 2011. [Google Scholar]
- Kendall, C.; McDonnell, J.J. Isotope Tracers in Catchment Hydrology; Elsevier: Amsterdam, The Netherlands, 1998; p. 839. [Google Scholar]
- Boschetti, T.; Cifuentes, J.; Iacumin, P.; Selmo, E. Local meteoric water line of Northern Chile (18S–30S): An application of error-in-variables regression to the oxygen and hydrogen stable isotope ratio of precipitation. Water 2019, 11, 791. [Google Scholar] [CrossRef]
- Bergraann, H.; Sackl, B.; Maloszewski, P.; Stichler, W. Hydrological Investigations in a Small Catchment Area Using Isotope Data Series. In Proceedings of the 5th International Symposium on Underground Water Tracing, Athens, Greece, 22–27 September 1986; Institute of Geology and Mineral Exploration: Athens, Greece, 1986; pp. 255–272. [Google Scholar]
- Darling, W.G.; Bath, A.H.; Talbot, J.C. The O & H stable isotopic composition of fresh waters in the British Isles. 2. Surface waters and groundwater. Hydrol. Earth Syst. Sci. 2003, 7, 183–195. [Google Scholar] [CrossRef]
- Tan, H.; Wen, X.; Rao, W.; Bradd, J.; Huang, J. Temporal variation of stable isotopes in a precipitation–groundwater system: Implications for determining the mechanism of groundwater recharge in high mountain-hills of the Loess Plateau, China. Hydrol. Proc. 2016, 30, 1491–1505. [Google Scholar] [CrossRef]
- Tazioli, A.; Cervi, F.; Doveri, M.; Mussi, M.; Deiana, M.; Ronchetti, F. Estimating the isotopic altitude gradient for hydrogeological studies in mountainous areas: Are the low-yield springs suitable? Insights from the northern Apennines of Italy. Water 2019, 11, 1764. [Google Scholar] [CrossRef]
- Gammons, C.H.; Poulson, S.R.; Pellicori, D.A.; Reed, P.J.; Roesler, A.J.; Petrescu, E.M. The hydrogen and oxygen isotopic composition of precipitation, evaporated mine water, and river water in Montana, USA. J. Hydrol. 2006, 328, 319–330. [Google Scholar] [CrossRef]
- Kendall, C.; Coplen, T.B. Distribution of oxygen-18 and deuterium in river waters across the United States. Hydrol. Proc. 2001, 15, 1363–1393. [Google Scholar] [CrossRef]
- Penna, D.; Borga, M.; Bresci, E.; Castelli, G.; Castellucci, P.; Cocozza, C.; Errico, A.; Fabiani, G.; Gourdol, L.; Klaus, J.; et al. Linking hydrological response to forest dynamics in Mediterranean areas: A new experimental catchment in the Apennine mountains, Tuscany, Italy. In Proceedings of the European Geosciences Union General Assembly, Vienna, Austria, 4–8 May 2020; p. 14815. [Google Scholar] [CrossRef]
- Brooks, J.R.; Barnard, H.R.; Coulombe, R.; McDonnell, J.J. Ecohydrologic separation of water between trees and streams in a Mediterranean climate. Nat. Geosci. 2010, 3, 100–104. [Google Scholar] [CrossRef]






| Reference | Area | Altitude (m a.s.l.) | Time Period | n of Samples | Slope | Intercept | R2 |
|---|---|---|---|---|---|---|---|
| [42] | Parma | 65 | 2002–2004 | 55 | 7.73 | +8.9 | 0.98 |
| [44] | Northern Italy | n.a. | Dis. (n.a.) | n.a. | 7.7 | +9.4 | 0.98 |
| [45] | Bologna | 55 | 1996–2000 | 48 | 7.33 | +4.2 | 0.95 |
| [46] | Parma province | 65–495 | Dis. (1995–2005) | 406 | 7.56 to 8.20 | +8.6 to +11.6 | 0.92 to 0.98 |
| Code | 1 | 2 | 3 | a | A | b | B | c | C | d | D | e | E |
|---|---|---|---|---|---|---|---|---|---|---|---|---|---|
| δ18O (‰) | |||||||||||||
| Median | −8.62 | −8.76 | −9.99 | −7.59 | −8.36 | −7.56 | −8.27 | −8.36 | −8.38 | −8.88 | −8.29 | −7.78 | −8.73 |
| 1Q | −11.81 | −12.69 | −11.9 | −7.98 | −8.67 | −8.18 | −8.40 | −8.75 | −8.53 | −9.40 | −8.66 | −8.16 | −8.81 |
| 3Q | −6.59 | −6.13 | −6.18 | −7.30 | −8.28 | −7.25 | −8.06 | −8.01 | −8.31 | −8.68 | −8.04 | −7.48 | −8.21 |
| MA | −9.04 | −9.44 | −9.67 | −7.70 | −8.41 | −7.88 | −8.26 | −8.41 | −8.44 | −9.02 | −8.34 | −7.80 | −8.55 |
| MW | −10.26 | −10.82 | −11.12 | −7.75 | n.a. | −8.13 | n.a. | −8.72 | n.a. | −9.36 | n.a. | −8.18 | n.a. |
| dE (‰) | |||||||||||||
| Median | 11.8 | 9.0 | 9.9 | 12.3 | 10.3 | 12.1 | 11.1 | 11.4 | 11.5 | 12.1 | 10.8 | 12.1 | 11.7 |
| 1Q | 8.6 | 7.8 | 8.4 | 10.9 | 9.9 | 10.3 | 10.7 | 11.1 | 10.3 | 9.7 | 9.8 | 9.7 | 11.4 |
| 3Q | 13.7 | 12.8 | 12.6 | 13.1 | 11.7 | 13.2 | 12.1 | 13.3 | 11.7 | 13.2 | 11.8 | 13.2 | 13.1 |
| MA | 11.0 | 10.5 | 9.8 | 12.4 | 10.6 | 12.3 | 11.2 | 12.0 | 11.2 | 10.7 | 10.8 | 11.7 | 12.1 |
| MW | 13.0 | 11.5 | 11.2 | 12.8 | n.a. | 12.7 | n.a. | 13.0 | n.a. | 11.1 | n.a. | 12.9 | n.a. |
| Meteoric Water Lines (MWLs) | |||||
|---|---|---|---|---|---|
| Rain Gauge (Code) | Slope | Intercept | R2 | p-Value | Samples |
| Parma (1) | 7.5 | 6.2 | 0.97 | <0.0001 | 27 |
| Parma (1) | 7.2 | 3.3 | 0.97 | <0.0001 | 18 |
| Lodesana (2) | 7.8 | 7.8 | 0.99 | <0.0001 | |
| Lodesana (2) | 8.4 | 13.1 | 0.96 | <0.0001 | 18 |
| Langhirano (3) | 7.8 | 7.6 | 0.99 | <0.0001 | |
| Langhirano (3) | 8.4 | 13.1 | 0.98 | <0.0001 | |
| River Water Lines (RWLs) | |||||
|---|---|---|---|---|---|
| River (Code) | Slope | Intercept | R2 | p-Value | Samples |
| Trebbia (a) | 5.3 | −9 | 0.7 | <0.0001 | 36 |
| Trebbia (a) | 6.4 | 0.2 | 0.82 | <0.0001 | 36 |
| Taro (b) | 6.5 | 0.5 | 0.9 | <0.0001 | |
| Taro (b) | 5.8 | −5.6 | 0.89 | <0.0001 | 24 |
| Enza (c) | 5.3 | −9.9 | 0.81 | <0.0001 | |
| Enza (c) | 6.6 | 0.5 | 0.89 | <0.0001 | |
| Secchia (d) | 4.3 | −22.8 | 0.33 | 0.0037 | 24 |
| Secchia (d) | 1.9 | −46 | 0.15 | 0.0633 | |
| Secchia (d) * | 5.1 | −13.7 | 0.85 | <0.0001 | 20 |
| Secchia (d) * | 3.3 | −31.8 | 0.81 | <0.0001 | |
| Reno (e) | 5.6 | −6.7 | 0.79 | <0.0001 | 24 |
| Reno (e) | 5.7 | −5.6 | 0.94 | <0.0001 |
| Groundwater Lines (GWLs) | ||||||
|---|---|---|---|---|---|---|
| Alluvial Fan (Code) | Slope | Intercept | R2 | p-Value | Water Well | Samples |
| Trebbia (A) | 8 | 10.9 | 0.84 | <0.0001 | 4 (I to IV) | 18 |
| Taro (B) | 7.8 | 9.3 | 0.67 | <0.0001 | 5 (V to IX) | 20 |
| Enza (C) | 6.4 | −2.8 | 0.7 | <0.0001 | 3 (X to XII) | 10 |
| Secchia (D) | 6.2 | −4.5 | 0.88 | <0.0001 | 5 (XIII to XVII) | 18 |
| Reno (E) | 7.9 | 11.1 | 0.86 | <0.0001 | 3 (XVIII to XX) | 11 |
© 2020 by the authors. Licensee MDPI, Basel, Switzerland. This article is an open access article distributed under the terms and conditions of the Creative Commons Attribution (CC BY) license (http://creativecommons.org/licenses/by/4.0/).
Share and Cite
Martinelli, G.; Dadomo, A.; Cervi, F. An Attempt to Characterize the Recharge of Alluvial Fans Facing the Northern Italian Apennines: Indications from Water Stable Isotopes. Water 2020, 12, 1561. https://doi.org/10.3390/w12061561
Martinelli G, Dadomo A, Cervi F. An Attempt to Characterize the Recharge of Alluvial Fans Facing the Northern Italian Apennines: Indications from Water Stable Isotopes. Water. 2020; 12(6):1561. https://doi.org/10.3390/w12061561
Chicago/Turabian StyleMartinelli, Giovanni, Andrea Dadomo, and Federico Cervi. 2020. "An Attempt to Characterize the Recharge of Alluvial Fans Facing the Northern Italian Apennines: Indications from Water Stable Isotopes" Water 12, no. 6: 1561. https://doi.org/10.3390/w12061561
APA StyleMartinelli, G., Dadomo, A., & Cervi, F. (2020). An Attempt to Characterize the Recharge of Alluvial Fans Facing the Northern Italian Apennines: Indications from Water Stable Isotopes. Water, 12(6), 1561. https://doi.org/10.3390/w12061561

