Three-Dimensional Wave-Induced Dynamic Response in Anisotropic Poroelastic Seabed
Abstract
1. Introduction
2. Theoretical Framework
2.1. Dynamic Form
- (i)
- The seabed is horizontal, hydraulically anisotropic, and of finite thickness.
- (ii)
- The soil skeleton and the pore fluid are compressible.
- (iii)
- The soil skeleton deforms as a linear elastic medium.
- (iv)
- The equilibrium of flow in the seabed considers the viscous resisting force as Darcy’s law and the inertia force of the soil skeleton.
- (v)
- The equilibrium of the bulk material composed of the soil skeleton and pore fluid considers the inertia force of the soil skeleton.
- (vi)
- The overburden pressure and the static pore pressure caused by gravity are omitted.
2.2. Boundary Condition
2.3. Three-Dimensional Anisotropic Seabed Response for the Dynamic Form
3. Verification
3.1. Comparison with the Two-Dimensional Solution of Yamamoto
3.2. Comparison with the Three-Dimensional Solution of Hsu and Jeng
4. Results and Discussion
4.1. Effect of the Wave Period on the Anisotropic Seabed
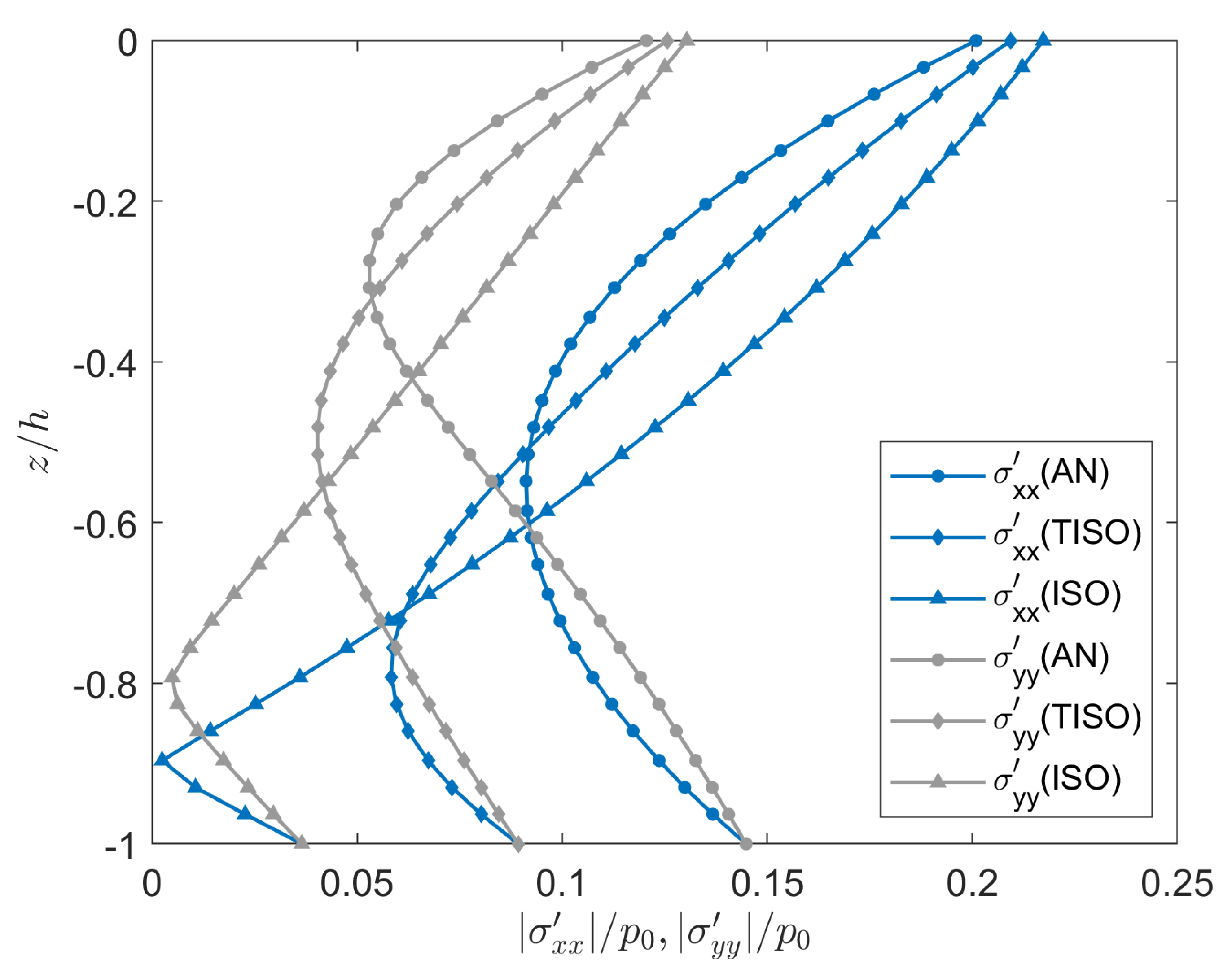
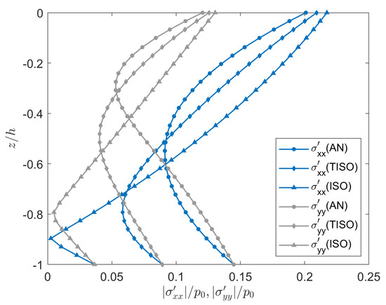
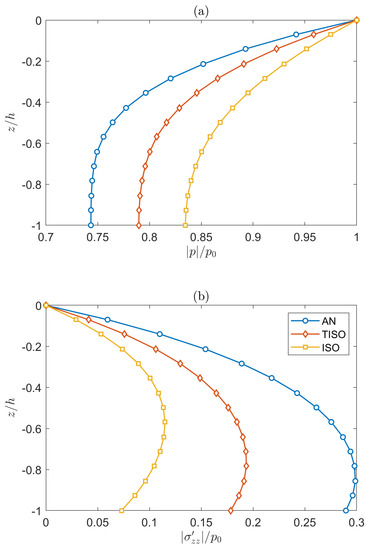
4.2. Comparison of Seabed Response for Anisotropic, Transverse Isotropic, and Isotropic Permeabilities
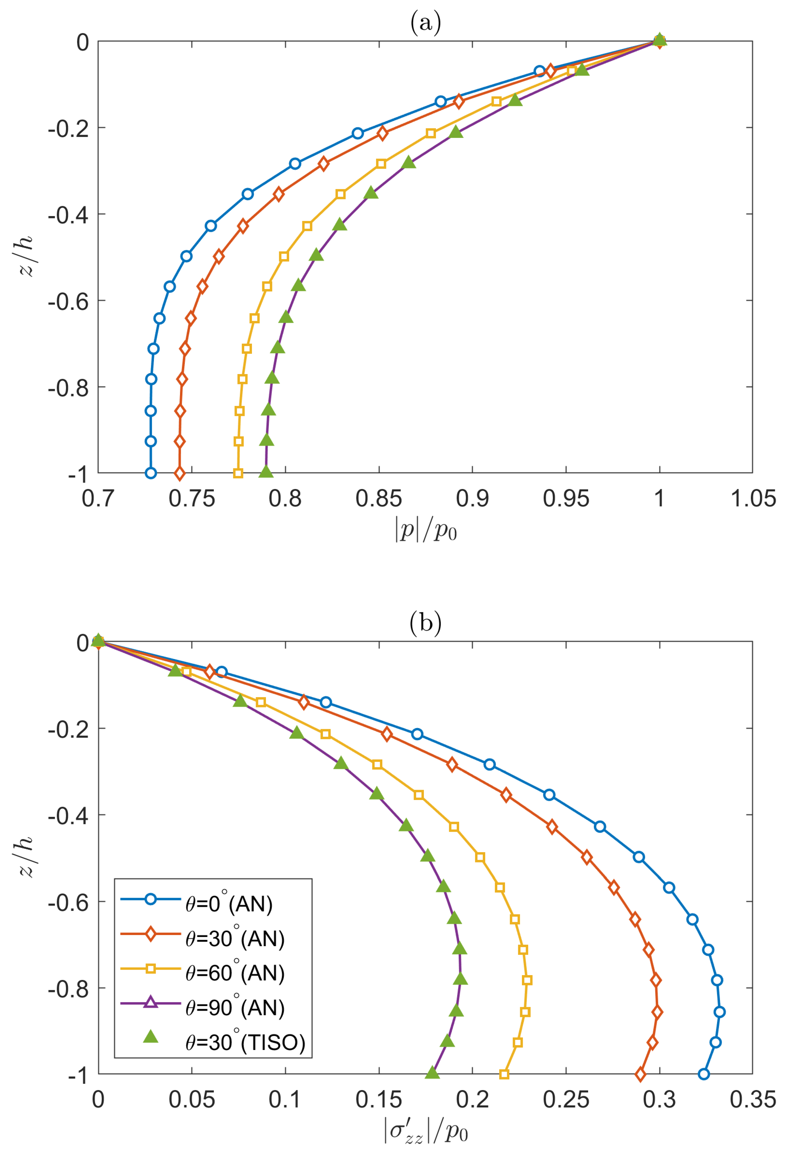
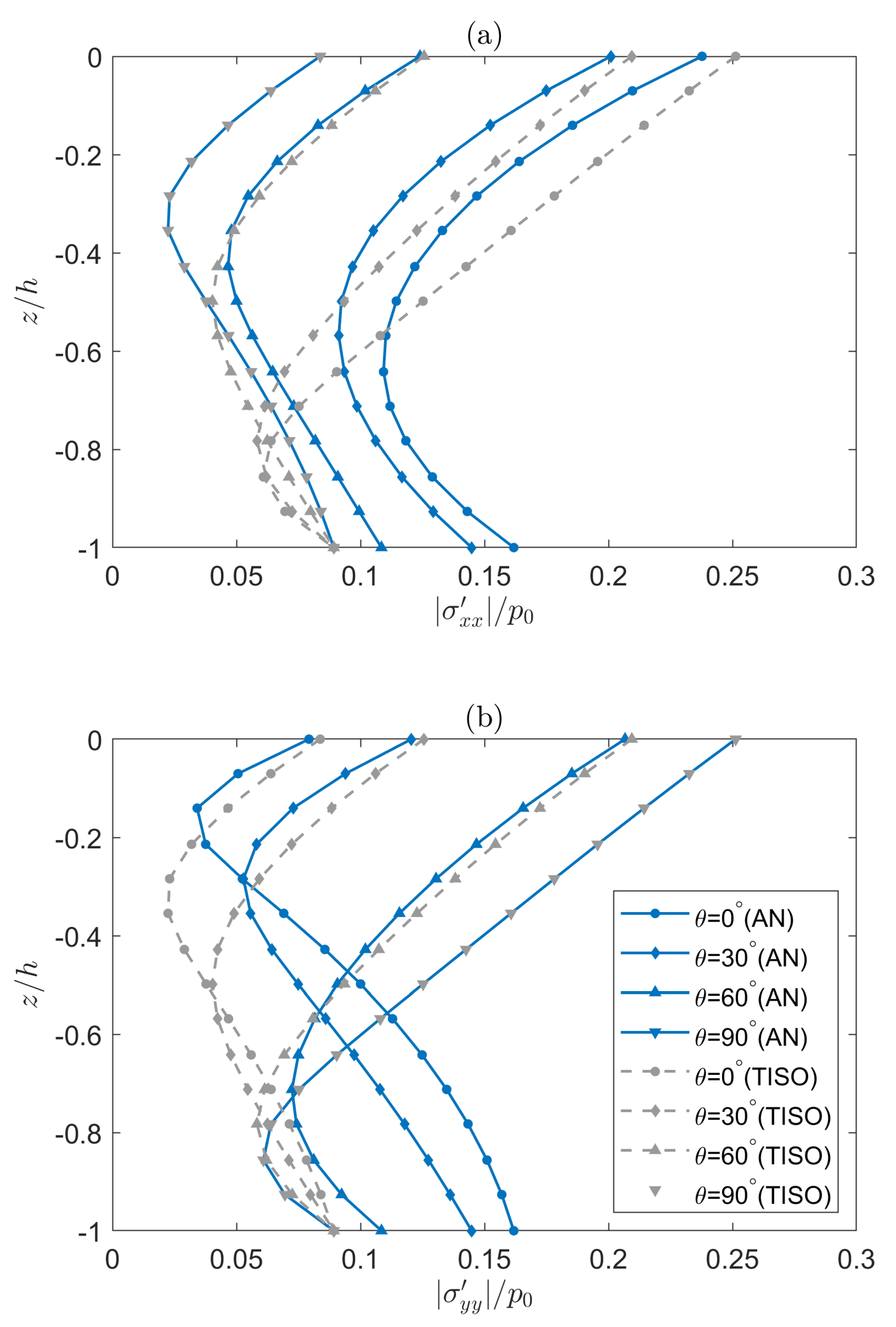
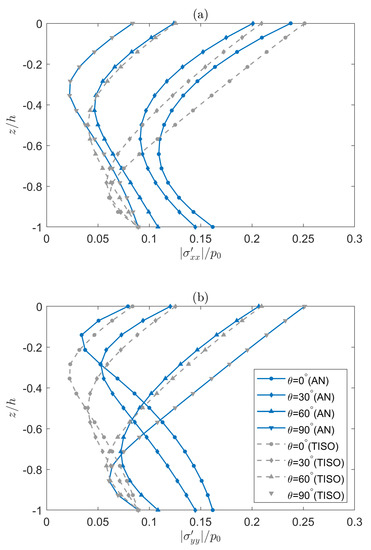
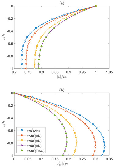
4.3. Effect of Wave Direction on Anisotropic Permeability
5. Conclusions
- The present solution considered the inertial force of the soil skeleton for a rapid soil behavior and for predicting three-dimensional dynamic responses comprising the pore pressure and stresses for anisotropic permeability. In addition, the verification of the present solution in comparison with two existing solutions with two different permeabilities showed a good agreement.
- In general, the amplitude of pore pressure decreased with depth, while that of vertical effective stress increased, and a shorter wave period had greater reduction of and increment of due to the rapid interaction between the soil and pore flow. For horizontal effective stresses, both and showed that shorter waves had a greater magnitude of amplitude.
- In the comparison between the seabed responses for anisotropic permeability and the transverse isotropic and isotropic ones, the amplitude profiles of pore pressure for transverse isotropy and isotropy attenuated more slowly with depth as compared to anisotropic permeability. All of the minima of occurred on the seabed bottom, where the relative error of on the seabed bottom was for transverse isotropic permeability and for isotropic permeability. The amplitude profile of the vertical effective stress for anisotropic permeability was greater than that of transverse isotropy and isotropy. On the seabed bottom, the relative error of was for transverse isotropic permeability and for isotropic permeability. The amplitude profiles of horizontal effective stresses and for isotropic and transverse isotropic permeabilities varied significantly as compared to those for anisotropic permeability, and the variation was sorted in descending order as isotropy >transverse isotropy > anisotropy.
- For anisotropic permeability, when the wave direction was parallel to the direction having higher horizontal permeability, the amplitude profiles of pore pressure and vertical effective stress had the greatest dissipation and increment, respectively. On the other hand, for transverse isotropic permeability, both pore pressure and vertical effective stress were independent of the wave direction.
- It was shown that the horizontal effective stresses and were identical on the seabed for any permeability, and for transverse isotropic permeability, the magnitudes of and on the seabed were independent of the wave direction.
- Seabed instabilities including liquefaction and shear failure are other important issues in ocean environment. The present solution can be utilized on these problems and has potential to shed light on the underlying mechanisms.
Author Contributions
Funding
Acknowledgments
Conflicts of Interest
Abbreviations
| AN | anisotropic permeability |
| ISO | isotropic permeability |
| ODE | ordinary differential equation |
| PD | partial dynamic soil behavior |
| QS | quasi-static soil behavior |
| TISO | transverse isotropic permeability |
Appendix A. List of Symbols
| eigenvalues of | |
| h | seabed thickness |
| imaginary unit | |
| apparent bulk modulus of the pore fluid | |
| bulk modulus of water | |
| k | wave number |
| directional permeability | |
| x-directional permeability | |
| y-directional permeability | |
| z-directional permeability | |
| L | wavelength |
| coefficient matrix corresponding to the u-p form | |
| n | porosity of the bulk material |
| p | pore fluid pressure |
| wave-induced seabed pressure | |
| amplitude of in linear wave theory | |
| amplitude functions of wave-induced stresses | |
| degree of saturation | |
| T | wave period |
| solid-phase displacement | |
| eigenvector corresponding to | |
| relative fluid displacement | |
| general solutions of the u-p form | |
| amplitude functions of wave-induced seabed responses | |
| specific weight of water | |
| wave propagating direction | |
| Lamé constant of the solid phase | |
| Poisson’s ratio of the solid phase | |
| density of the bulk material | |
| density of the fluid phase | |
| density of the solid phase | |
| total stress components of the bulk material | |
| effective normal stress components of the bulk material | |
| shear stress components of the bulk material | |
| angular frequency of wave motion |
References
- Ye, J.; Jeng, D.; Wang, R.; Zhu, C. A 3-D semi-coupled numerical model for fluid-structures-seabed-interaction (FSSI-CAS 3D): Model and verification. J. Fluids Struct. 2013, 40, 148–162. [Google Scholar] [CrossRef]
- Ai, Z.Y.; Hu, Y.D. Multi-dimensional consolidation of layered poroelastic materials with anisotropic permeability and compressible fluid and solid constituents. Acta Geotech. 2015, 10, 263–273. [Google Scholar] [CrossRef]
- Pulko, B.; Logar, J. Fully coupled solution for the consolidation of poroelastic soil around elastoplastic stone column. Acta Geotech. 2017, 12, 869–882. [Google Scholar] [CrossRef]
- Wang, G.; Chen, S.; Liu, C.; Shao, K.; Liu, Q. Wave-Induced Dynamic Response and Liquefaction of Transversely Isotropic Seabed. Int. J. Geomech. 2020, 20, 04019192. [Google Scholar] [CrossRef]
- Sui, T.; Zhang, C.; Guo, Y.K.; Zheng, J.H.; Jeng, D.S.; Zhang, J.S.; Zhang, W. Three-dimensional numerical model for wave-induced seabed response around mono-pile. Ships Offshore Struc. 2015, 11, 667–678. [Google Scholar] [CrossRef]
- Li, Y.; Ong, M.C.; Tang, T. A numerical toolbox for wave-induced seabed response analysis around marine structures in the OpenFOAM® framework. Ocean. Eng. 2019, 106678. [Google Scholar] [CrossRef]
- Asumadu, R.; Zhang, J.; Zhao, H.Y.; Osei-Wusuansa, H. A 3D numerical analysis of wave-induced seabed response around a monopile structure. Geomech. Geoeng. 2019, 1–21. [Google Scholar] [CrossRef]
- Li, H.; Wang, S.; Chen, X.; Hu, C.; Liu, J. Numerical study of scour depth effect on wave-induced seabed response and liquefaction around a pipeline. Mar. Georesources Geotechnol. 2019, 1–12. [Google Scholar] [CrossRef]
- Terzaghi, K. Erdbaumechanik auf Bodenphysikalischer Grundlage; Deuticke: Wien, Austria, 1925. [Google Scholar]
- Biot, M.A. General theory of three-dimensional consolidation. J. Appl. Phys. 1941, 12, 155–164. [Google Scholar] [CrossRef]
- Biot, M.A. Mechanics of deformation and acoustic propagation in porous media. J. Appl. Phys. 1962, 33, 1482–1498. [Google Scholar] [CrossRef]
- Verruijt, A. Elastic Storage of Aquifers. In Flow Through Porous Media; De Wiest, R.J.M., Ed.; Academic Press: New York, NY, USA, 1969; pp. 331–376. [Google Scholar]
- Mei, C.C.; Foda, M.A. Wave-induced responses in a fluid-filled poro-elastic solid with a free surface—A boundary layer theory. Geophys. J. R. Astron. Soc. 1981, 66, 597–631. [Google Scholar] [CrossRef]
- Madsen, O.S. Wave-induced pore pressures and effective stresses in a porous bed. Géotechnique 1978, 28, 377–393. [Google Scholar] [CrossRef]
- Yamamoto, T. Sea bed instability from waves. In Proceedings of the 10th Offshor Technology Conference, Houston, TX, USA, 30 April–3 May 1978; ASCE: Houston, TX, USA, 1978; pp. 1819–1828. [Google Scholar] [CrossRef]
- Yamamoto, T.; Koning, H.L.; Sellmeijer, H.; Hijum, E.V. On the response of a poro-elastic bed to water waves. J. Fluid Mech. 1978, 87, 193–206. [Google Scholar] [CrossRef]
- Hsu, J.R.C.; Jeng, D.S.; Tsai, C.P. Short-crested wave-induced soil response in a porous seabed of infinite thickness. Int. J. Numer. Anal. Met. 1993, 17, 553–576. [Google Scholar] [CrossRef]
- Hsu, J.R.C.; Jeng, D.S. Wave-induced soil response in an unsaturated anisotropic seabed of finite thickness. Int. J. Numer. Anal. Methods Geomech. 1994, 18, 785–807. [Google Scholar] [CrossRef]
- Zienkiewicz, O.C.; Chang, C.T.; Bettess, P. Drained, undrained, consolidating and dynamic behaviour assumptions in soils. Géotechnique 1980, 30, 385–395. [Google Scholar] [CrossRef]
- Jeng, D.S.; Cha, D.H. Effects of dynamic soil behavior and wave non-linearity on the wave-induced pore pressure and effective stresses in porous seabed. Ocean Eng. 2003, 30, 2065–2089. [Google Scholar] [CrossRef]
- Ulker, M.; Rahman, M.; Jeng, D.S. Wave-induced response of seabed: Various formulations and their applicability. Appl. Ocean Res. 2009, 31, 12–24. [Google Scholar] [CrossRef]
- Hsu, C.J.; Chen, Y.Y.; Tsai, C.C. Wave-induced seabed response in shallow water. Appl. Ocean Res. 2019, 89, 211–223. [Google Scholar] [CrossRef]
- Zhang, C.; Sui, T.; Zheng, J.H.; Xie, M.X.; Nguyen, V.T. Modelling wave-induced 3D non-homogeneous seabed response. Appl. Ocean Res. 2016, 61, 101–114. [Google Scholar] [CrossRef]
- Jeng, D.S. Wave dispersion equation in a porous seabed. Ocean Eng. 2001, 28, 1585–1599. [Google Scholar] [CrossRef]
- Ye, J.H.; Jeng, D.S. Response of Porous Seabed to Nature Loadings: Waves and Currents. J. Eng. Mech. 2012, 138, 601–613. [Google Scholar] [CrossRef]
- Moler, C.B.; Stewart, G.W. An Algorithm for Generalized Matrix Eigenvalue Problems. SIAM J. Numer. Anal. 1973, 10, 241–256. [Google Scholar] [CrossRef]
- Moshagen, H.; Torum, A. Wave Induced pressures in permeable seabeds. J. Waterw. Port Coast. Ocean Eng. 1975, 101, 49–57. [Google Scholar]
- Munk, W. Origin and generation of waves. In Proceedings of the 1st Conf. Coastal Engineering, Long Beach, CA, USA, 1 January 1950. [Google Scholar] [CrossRef]
- Zhou, X.L.; Zhang, J.; Wang, J.H.; Xu, Y.F.; Jeng, D.S. Stability and liquefaction analysis of porous seabed subjected to cnoidal wave. Appl. Ocean. Res. 2014, 48, 250–265. [Google Scholar] [CrossRef]








| Parameter | Value | Unit |
|---|---|---|
| Density of water, | 1000 | |
| Bulk modulus of water, | Pa | |
| Density of soil particles, | 2700 | |
| Shear modulus of soil, G | Pa | |
| Poisson’s ratio, | ||
| Porosity, n | ||
| Saturation, | 1 |
| No. | H (m) | T (s) | L (m) | d (m) | () | (m/s) | (m/s) | (m/s) |
|---|---|---|---|---|---|---|---|---|
| 1 | 24 | 10 | 155 | 70 | 30 | 0.10 | 0.05 | 0.01 |
| 2 | 24 | 15 | 312 | 70 | 30 | 0.10 | 0.05 | 0.01 |
| 3 | 24 | 20 | 462 | 70 | 30 | 0.10 | 0.05 | 0.01 |
| 4 | 24 | 15 | 312 | 70 | 0 | 0.10 | 0.05 | 0.01 |
| 5 | 24 | 15 | 312 | 70 | 60 | 0.10 | 0.05 | 0.01 |
| 6 | 24 | 15 | 312 | 70 | 90 | 0.10 | 0.05 | 0.01 |
| 7 | 24 | 15 | 312 | 70 | 0 | 0.05 | 0.05 | 0.01 |
| 8 | 24 | 15 | 312 | 70 | 30 | 0.05 | 0.05 | 0.01 |
| 9 | 24 | 15 | 312 | 70 | 60 | 0.05 | 0.05 | 0.01 |
| 10 | 24 | 15 | 312 | 70 | 90 | 0.05 | 0.05 | 0.01 |
| 11 | 24 | 15 | 312 | 70 | 30 | 0.01 | 0.01 | 0.01 |
© 2020 by the authors. Licensee MDPI, Basel, Switzerland. This article is an open access article distributed under the terms and conditions of the Creative Commons Attribution (CC BY) license (http://creativecommons.org/licenses/by/4.0/).
Share and Cite
Hsu, C.-J.; Hung, C. Three-Dimensional Wave-Induced Dynamic Response in Anisotropic Poroelastic Seabed. Water 2020, 12, 1465. https://doi.org/10.3390/w12051465
Hsu C-J, Hung C. Three-Dimensional Wave-Induced Dynamic Response in Anisotropic Poroelastic Seabed. Water. 2020; 12(5):1465. https://doi.org/10.3390/w12051465
Chicago/Turabian StyleHsu, Cheng-Jung, and Ching Hung. 2020. "Three-Dimensional Wave-Induced Dynamic Response in Anisotropic Poroelastic Seabed" Water 12, no. 5: 1465. https://doi.org/10.3390/w12051465
APA StyleHsu, C.-J., & Hung, C. (2020). Three-Dimensional Wave-Induced Dynamic Response in Anisotropic Poroelastic Seabed. Water, 12(5), 1465. https://doi.org/10.3390/w12051465

