Hydrochemical Characteristics and Ion Sources of Precipitation in the Upper Reaches of the Shiyang River, China
Abstract
1. Introduction
2. Study Area
3. Data and Method
3.1. Experimental Design and Precipitation Sampling
3.2. Research Methods
3.2.1. Law of Conservation of Electric Charge
3.2.2. Neutralization Factor (NF) Method
3.2.3. Enrichment Factor (EF) Method
3.2.4. Estimation of Wet Deposition of Ionic Species
3.2.5. Backward Trajectory Method
4. Results
4.1. Precipitation pH and EC
4.2. Neutralizing Factor of Cations
4.3. Seasonal Variation of Ion Concentration in Precipitation
4.4. Wet Deposition of Nitrogen (N) and Sulfur (S)
5. Discussion
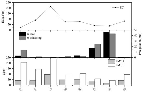
5.1. Relationship between EC and Elevation
5.2. Composition and Comparison of Precipitation Ions
5.3. Source of Ions in Precipitation
6. Conclusions
Author Contributions
Funding
Acknowledgments
Conflicts of Interest
References
- Parungo, F.; Nagamoto, C.; Nolt, I.; Dias, M.; Nickerson, E. Chemical analysis of cloud water collected over Hawaii. J. Geophys. Res. 1982, 87, 8805. [Google Scholar] [CrossRef]
- Park, S.-M.; Seo, B.-K.; Lee, G.; Kahng, S.-H.; Jang, Y. Chemical Composition of Water Soluble Inorganic Speciesin Precipitation at Shihwa Basin, Korea. Atmosphere 2015, 6, 732–750. [Google Scholar] [CrossRef]
- Pińskwar, I.; Choryński, A.; Graczyk, D.; Kundzewicz, Z.W. Observed changes in extreme precipitation in Poland: 1991–2015 versus 1961–1990. Theor. Appl. Climatol. 2019, 135, 773–787. [Google Scholar] [CrossRef]
- Arsene, C.; Olariu, R.I.; Mihalopoulos, N. Chemical composition of rain water in the northeastern Romania, Iasiregion (2003–2006). Atmos. Environ. 2007, 41, 9452–9467. [Google Scholar] [CrossRef]
- Shen, Z.X.; Cao, J.J.; Arimoto, R.; Zhang, R.J.; Jie, D.M.; Liu, S.X.; Zhu, C.S. Chemical composition and source characterization of spring aerosol over Horqin Sand-land in Northeastern China. J. Geophys. Res. Atmos. 2007, 112. [Google Scholar] [CrossRef]
- Beverland, I.J.; Crowther, J.M.; Srinivas, M.S.N.; Heal, M.R. The influence of meteorology and atmospheric transport patterns on the chemical composition of rainfall in south-east England. Atmos. Environ. 1998, 32, 1039–1048. [Google Scholar] [CrossRef]
- Chai, F.H.; Gao, J.; Wang, S.L.; Zhang, Q.X.; Chen, Y.; Zhang, X.M. The Characteristics of Precipitation Chemistry and Its Relationship with Atmospheric Transport at a Background Site in Liaoning Province. Res. Environ. Sci. 2010, 4, 22. [Google Scholar]
- Bo, K.L.; Hong, S.H.; Dong, S.L. Chemical composition of precipitation and wet deposition of major ions on the Korean peninsula. Atmos. Environ. 2000, 34, 563–575. [Google Scholar]
- Geng, Z.X.; Hou, S.G.; Zhang, D.Q.; Kang, S.C.; Wang, Y.T.; Liu, Y.P. Major Ions in Ice Cores and Snowpits from the Himalayas: Temporal and Spatial Variations and Their Sources. J. Glaciol. Geocryol. 2007, 29, 191–200. [Google Scholar]
- Zhu, G.; Tao, P.; He, Y.; Shi, P.; Tao, Z.; Wei, W.; Niu, H. Characteristics of inorganic ions in precipitation at different altitudes in the Yulong Snow Mountain, China. Environ. Earth Sci. 2013, 70, 2807–2816. [Google Scholar] [CrossRef]
- Wang, W.-X.; Tao, W. On acid rain formation in China. Atmos. Environ. 1996, 30, 4091–4093. [Google Scholar]
- Aas, W.; Shao, M.; Jin, L.; Larssen, T.; Zhao, D.; Xiang, R.; Zhang, J.; Xiao, J.; Duan, L. Air concentrations and wet deposition of major inorganic ions at five non-urban sites in China, 2001–2003. Atmos. Environ. 2006, 41, 1706–1716. [Google Scholar] [CrossRef]
- Lu, A.-G.; Wang, S.-A.; Wang, X.-Y. Characteristics and source apportionment of constant inorganic ions in precipitation in Weinan. Acta Sci. Circumstantiae 2016, 36, 2194. [Google Scholar]
- Zhou, B.; Sui, B.; Luo, B.; Liu, Z.C.; Jiang, D.; Yuan, S.; Tan, W. Analysis of the variation characteristics of acid acid rain and its influencing factors in Hunan Province. In Proceedings of the 2014 International Conference on Civil, Urban and Environmental Engineering (CUEE2014), Beijing, China, 19–20 August 2014. [Google Scholar]
- Xing, J.; Song, J.; Yuan, H.; Li, X.; Li, N.; Duan, L.; Qu, B.; Wang, Q.; Kang, X. Chemical characteristics, deposition fluxes and source apportionment of precipitation components in the Jiaozhou Bay, North China. Atmos. Res. 2017, 190, 10–20. [Google Scholar] [CrossRef]
- Guo, Y.S.; Yu, S.; Li, Y.S.; Sun, P.A.; He, R.X. Chemical characteristics and source of acid precipitation in Guilin. Environ. Sci. 2016, 37, 2897–2905. [Google Scholar]
- Xu, H.; Bi, X.H.; Li, F.M.; Jiao, L.; Feng, Y.C.; Hong, S.M.; Liu, W.G. Analysis on the sources and characteristics of chemical composition of precipitation in Hangzhou. Environ. Pollut. Control 2010, 7, 75–81. [Google Scholar]
- Pu, W.; Quan, W.; Ma, Z.; Shi, X.; Zhao, X.; Zhang, L.; Wang, Z.; Wang, W. Long-term trend of chemical composition of atmospheric precipitation at a regional background station in Northern China. Sci. Total Environ. 2017, 580, 1340–1350. [Google Scholar]
- Qin, J.; Mbululo, Y.; Yang, M.; Yuan, Z.; Nyihirani, F.; Zheng, X. Chemical Composition and Deposition Fluxes of Water-Soluble Inorganic Ionson Dry and Wet Deposition Samples in Wuhan, China. Int. J. Environ. Res. Public Health 2019, 16, 132. [Google Scholar] [CrossRef]
- Zhu, G.F.; Tao, P.U.; He, Y.Q.; Zhang, T.; Niu, H.W. Inorganic Ion Characteristics and Climatic-Environmental Significance of Rainy Season Surface Snow in Baishui Glacier No.1, Yulong Snow Mountain, China. J. Nat. Resour. 2013, 28, 678–686. [Google Scholar]
- Li, Z.J.; Li, Z.X.; Tian, Q.; Song, L.L.; Han, C.T. Environmental significance of wet deposition composition in the central Qilian Mountains, China. Pubmed 2014, 35, 12. [Google Scholar]
- Yang, Q.; Xiao, H.; Zhao, L.; Yang, Y.; Li, C.; Zhao, L.; Yin, L. Hydrological and isotopic characterization of river water, groundwater, and groundwater recharge in the Heihe River basin, northwestern China (EI). Hydrol. Process. 2011, 25, 1271–1283. [Google Scholar] [CrossRef]
- Wang, N.; Wu, C.; Lei, M.; Chen, H. Petrogenesis and tectonic implications of the Early Paleozoic granites in the western segment of the North Qilian orogenic belt, China. Lithos 2018, 312, 89–107. [Google Scholar] [CrossRef]
- Zhao, W.; Ma, J.; Gu, C.; Qi, S.; Zhu, G.; He, J. Distribution of isotopes and chemicals in precipitation in Shule River Basin, northwestern China: An implication for water cycle and ground water recharge. J. Arid Land 2016, 8, 973–985. [Google Scholar]
- Zhu, G.-F.; Pan, H.-X.; Zhang, Y.; He, Y.-Q.; Guo, H.-W.; Yang, L.; Yang, J.-X.; Ma, H.-Y.; Huang, M.-H.; Xiang, J. Hydrochemical characteristics and control factors of acid anion in Shiyang River Basin. China Environ. Sci. 2018, 38, 1886–1892. [Google Scholar]
- Bourque, P.A.; Hassan, Q.K. Vegetation control in the long-term self-stabilization of the liangzhou oasis of the upper shiyang river watershed of west-central gansu, northwest china. Earth Interact. 2009, 13, 1–22. [Google Scholar] [CrossRef][Green Version]
- Shen, Z.; Cao, J.; Li, X.; Okuda, T.; Wang, Y.; Zhang, X. Mass concentration and mineralogical characteristics of aerosol particles collected at Dunhuang during ACE-Asia. Adv. Atmos. Sci. 2006, 23, 291–298. [Google Scholar] [CrossRef]
- Li, Z.J.; Li, Z.X.; Tian, Q.; Song, L.L.; Jia, B.; Guo, R.; Song, Y.X.; Su, S.N.; Han, C.T.; College of Forestry, Gansu Agricultural University. Environmental Significance of Wet Deposition Composition in the Central Qilian Mountains, China. Environ. Sci. 2014, 35, 4465. [Google Scholar]
- Ma, J.Z.; Li, X.H.; Huang, T.M.; Edmunds, W.M. Chemical evolution and recharge characteristics of water resources in the Shiyang River basin. Resour. Sci. 2005, 3, 117–122. [Google Scholar]
- Wang, L.; Shen, Z.; Lu, D.; Zhang, Q.; Zhang, T.; Lei, Y.; Xu, H. Water-soluble components in rain water over Xi’an in northwest China: Source apportionment and pollution controls effectiveness evaluation. Atmos. Pollut. Res. 2018, 10, 395–403. [Google Scholar] [CrossRef]
- Staelens, J.; Deschrijver, A.; Vanavermaet, P.; Genouw, G.; Verhoest, N. A comparison of bulk and wet-only deposition at two adjacent sites in Melle (Belgium). Atmos. Environ. 2005, 39, 7–15. [Google Scholar] [CrossRef]
- Shi, C.E.; Deng, X.L.; Yang, Y.J.; Huang, X.R.; Wu, B.W. Precipitation Chemistry and Corresponding Transport Patterns of Influencing Air Masses at Huangshan Mountain in East China. Adv. Atmos. Sci. 2014, 31, 1157–1166. [Google Scholar] [CrossRef]
- Zhao, A.F.; Zhang, M.J.; Li, Z.Q.; Wang, F.T.; Wang, S.J. Hydrochemical characteristics in the Glacier No.72 of Qingbingtan, TomurPeak. Environ. Sci. 2012, 5, 12. [Google Scholar]
- Beysens, D.; Mongruel, A.; Acker, K. Urban dew and rain in Paris, France: Occurrence and physico-chemical characteristics. Atmos. Res. 2017, 189, 152–161. [Google Scholar] [CrossRef]
- Keene, W.C.; Pszenny, A.A.P.; Galloway, J.N.; Hawley, M.E. Sea-salt corrections and interpretation of constituent ratios in marine precipitation. J. Geophys. Res. Atmos. 1986, 91, 6647. [Google Scholar] [CrossRef]
- Xiao, H.; Shen, Z.L.; Huang, M.Y. Chemical characteristics of precipitation in the tropical western Pacific Ocean. Acta Sci. Circumstantiae 1993, 13, 143–149. [Google Scholar]
- Taylor, S.R. Abundance of chemical elements in the continental crust: A new table. Pergamon 1964, 28, 1273–1285. [Google Scholar] [CrossRef]
- Tong, L.I. Element Abundances of China’s Continental Crust and Its Sedimentary Layerand Upper Continental Crust. Chin. J. Geochem. 1995, 14, 26–32. [Google Scholar] [CrossRef]
- Shen, Z.; Zhang, L.; Cao, J.; Tian, J.; Liu, L.; Wang, G.; Zhao, Z.; Wang, X.; Zhang, R.; Liu, S. Chemical composition, sources, and deposition fluxes of water-soluble in organic ions obtained from precipitation chemistry measurements collected at an urban site in northwest China. J. Environ. Monit. 2012, 11, 3000–3008. [Google Scholar] [CrossRef]
- Jia, W.X.; Li, Z.-X. Hydrochemical Characteristics and Sources of Ions in Precipitation at the East Qilian Mountains. Environ. Sci. 2016, 37, 3322–3332. [Google Scholar]
- Li, Z.-J.; Song, L.-L.; Tian , Q.; College of Forestry, Gansu Agricultural University. The pH and Electric Conductivity of Precipitation and their Indicative Significance of Sand-dus tWeather in Wuwei. China. J. Desert Res. 2017, 9, 911–923. [Google Scholar]
- Wang, S.J.; Zhang, M.J.; Li, Z.Q.; Wang, F.T.; Zhang, X.Y. Distribution and its environmental significance of nitrate and ammonium in snowpack of glaciers in chinese tianshan mountains. Earth Sci. J. China Univ. Geosci. 2013, 38, 201–210. [Google Scholar]
- Wang, X.Y.; Jiang, C.W. Chemical Properties of Summer Precipitation in the Yushugou River Basin in the East Tianshan Mountains. Arid Zone Res. 2018, 10, 27–37. [Google Scholar]
- Zhou, P.; Zhang, M.J.; Zhong-Qin, L.I.; Jin, S. Seasonal variations of the pH and electrical conductivity in precipitation and snow on the glaciers of Tianshan Mountains, China. Arid Land Geogr. 2010, 33, 518–524. [Google Scholar]
- Wind-blown Sand Environment and Precipitation over the Badain Jaran Desert and Its Adjacent Regions. J. Desert Res. 2012, 31, 442–466.
- Chao, L.L.; Bao, S.Z.; Tao, W.; Xian, Z.M.; Yabuki, S.; Lanzhou; China. Observation Study on Mass Concentration of Dust Aerosols in Dunhuang. Plateau Meteorol. 2005, 33, 518–524. [Google Scholar]
- Ma, N. Environmental isotopes and water chemistry in the Badain Jaran desert and in its southeastern adjacent areas, Inner Mongolia and their hydrological implications. Quat. Sci. 2008, 28, 702–711. [Google Scholar]
- Rao, W.; Han, G.; Tan, H.; Jin, K.; Wang, S.; Chen, T. Chemical and Sr isotopic characteristics of rain water on the Alxa Desert Plateau, North China: Implication for air quality and ion sources. Atmos. Res. 2017, 193, 163–172. [Google Scholar] [CrossRef]
- Yamato, Y.; Yamada, T.; Kido, K. Characteristics of ionic components in precipitation in Kitakyushu City, Japan. J. Atmos. Chem. 1993, 17, 325–337. [Google Scholar] [CrossRef]
- Cheng, Y.F.; Wang, J.D.; Li, Y.H.; Hu, X.Q.; Lu, S.C. The Study of Ground water Modeling of Plain Area in Shiyang River Basin—II Ground water Modeling and Validation. Adv. Mater. Res. 2014, 937, 639–645. [Google Scholar] [CrossRef]
- Lara, E.R.; Guardiola, R.M.; Vásquez, Y.G.; Rentería, I.B.; Torres, H.B.Á.C.; Echeverría, R.S.; Álvarez, P.S.; Alarcón Jiménez, A.; Kahl, J. Chemical composition of rain water in northeastern México. Centro de ciencias de la atmósfera, Universidad nacional autonoma de México. Atmósfera 2010, 23, 213–224. [Google Scholar]
- Bai, L.; Wang, Z.L.; Huang, Y. Characteristics and source analysis of trace metals in precipitation in Xi’an district, Shaanxi Province, China. Arid Land Geogr. 2010, 33, 385–393. [Google Scholar]
- Deng, W.; Liu, R.H.; Xiong, J.W. Research Progress of Acid Rain in China. Chin. Environ. Sci. 1994, 1, 323–329. [Google Scholar]
- You, X.; Li, Z.; Edward, R.; Wang, L. The transport of chemical components in homogeneous snowpacks on Urumqi Glacier No.1, eastern Tianshan Mountains, CentralAsia. J. Arid Land. 2015, 7, 612–622. [Google Scholar]
- Li, X.; Jun-jie, Y.; Chen, C.; Dong, C. Relation between Soil Enzyme Activity and Nutrient Content in Irrigated Farming Sierozem. Southwest China J. Agric. Sci. 2018, 11, 2378–2385. [Google Scholar]
- Liu, J.; Song, X.; Yuan, G.; Sun, X.; Wang, S. Characteristics of δ18O in precipitation over Nothwest China and its water vapor sources. Acta Geogr. Sin. 2008, 1, 12–22. [Google Scholar]
- Chen, L.F.; Li, Y.B.; Liu, C.; Guo, L.N.; Wang, X.L. Wet deposition of mercury in Qingdao, a coastal urban city in China: Concentrations, fluxes, and influencing factors. Atmos. Environ. 2017, 174. [Google Scholar] [CrossRef]
- Wu, D.; Wang, S.G.; Shang, K.Z. Progress in research of acid rain in China. Arid Meteorol. 2006, 2, 70–77. [Google Scholar]
- Zhu, G.F.; Tao, P.; He, Y.; Shi, P.; Tao, Z. Seasonal variations of major ions in fresh snow at Baishui Glacier No.1, Yulong Mountain, China. Environ. Earth Sci. 2013, 69, 1–10. [Google Scholar] [CrossRef]
- Zhu, G.F.; He, Y.Q.; Pu, T.; Zhang, N.N. Characteristics of constant in organic ions in precipitation at different altitudes precipitation inYulong Snow Mountainarea. Environ. Earth Sci. 2013, 70, 6. [Google Scholar] [CrossRef]
- Zhang, Z.; Wang, H.; Deli, G.; Zhu, B. Chemistry characteristics of atmospheric precipitation in Waliguan. Trans. Atmos. Sci. 2014, 37, 502–508. [Google Scholar]
- Li, C.; Kang, S.; Zhang, Q.; Kaspari, S. Major ionic composition of precipitation in the Nam Coregion, Central Tibetan Plateau. Atmos. Res. 2007, 85, 3. [Google Scholar] [CrossRef]
- Xu, Z.; Li, Y.; Tang, Y.; Han, G. Chemical and strontium isotope characterization of rain water at an urban site in Loess Plateau, Northwest China. Atmos. Res. 2009, 94, 481–490. [Google Scholar] [CrossRef]
- Lu, X.; Li, L.Y.; Li, N.; Yang, G.; Luo, D.; Chen, J. Chemical characteristics of spring rain water of Xi’an city, NW China. Atmos. Environ. 2011, 45, 5058–5063. [Google Scholar] [CrossRef]
- Li, Z.-J.; Song, L.-L.; Tian, Q.; College of Forestry, Gansu Agricultural University. Analysis of precipitation characteristics and water vapor sources in the East of Hexi Corridor. Environ. Chem. 2016, 35, 721–731. [Google Scholar]










| Sampling Point | Longitude (E) | Latitude (N) | Elevation (m) | Precipitation (mm) | Number of Samples | Spring | Summer | Autumn | Winter |
|---|---|---|---|---|---|---|---|---|---|
| Lenglong | 101.86° | 37.56° | 3648 | 1025.12 | 94 | 31 | 32 | 26 | 5 |
| Ningchang | 101.89° | 37.70° | 2721 | 469.44 | 56 | 17 | 15 | 22 | 2 |
| Huajian | 102.01° | 37.83° | 2323 | 282.05 | 51 | 15 | 23 | 13 | |
| Xiying | 102.18° | 37.89° | 2097 | 197.67 | 47 | 7 | 23 | 15 | 2 |
| Yangjiazhuang | 102.80° | 37.42° | 2356 | 613.54 | 46 | 15 | 16 | 11 | 4 |
| Zhuaxixiulong | 102.82° | 37.19° | 2858 | 290.63 | 51 | 18 | 17 | 10 | 6 |
| Qilian | 102.42° | 37.68° | 2379 | 60.5 | 10 | 10 |
| Sampling Point | EC | pH | Na+ | NH4+ | K+ | Mg2+ | Ca2+ | F− | Cl− | SO42− | NO3− | |
|---|---|---|---|---|---|---|---|---|---|---|---|---|
| Lenglong | Min | 7.15 | 6.56 | 4.38 | 11.85 | 1.48 | 0.48 | 8.54 | 0.54 | 0.82 | 0.49 | 0.13 |
| Max | 339.00 | 8.60 | 756.10 | 273.27 | 90.14 | 1799.25 | 1752.21 | 12.93 | 255.72 | 856.06 | 32.42 | |
| VWM | 42.17 | 7.41 | 56.88 | 55.67 | 15.52 | 25.36 | 160.73 | 0.57 | 20.07 | 61.94 | 5.03 | |
| VWSD | 1.31 | 0.72 | 0.21 | 0.79 | 2.28 | 0.02 | 0.53 | 1.04 | 0.06 | 0.43 | 0.06 | |
| Ningchang | Min | 9.38 | 6.89 | 2.31 | 8.16 | 0.92 | 2.21 | 15.86 | 0.53 | 1.65 | 1.23 | 0.62 |
| Max | 484.00 | 8.68 | 1042.02 | 832.78 | 837.42 | 792.75 | 2023.50 | 6.43 | 404.83 | 643.05 | 174.83 | |
| VWM | 32.31 | 7.63 | 39.26 | 71.47 | 20.27 | 26.61 | 126.46 | 0.13 | 17.83 | 21.52 | 8.82 | |
| VWSD | 0.55 | 0.10 | 1.37 | 1.36 | 0.83 | 0.87 | 2.83 | 0.01 | 0.54 | 0.69 | 0.23 | |
| Huajian | Min | 16.50 | 6.54 | 4.78 | 45.55 | 0.51 | 2.50 | 31.50 | 0.42 | 3.38 | 8.33 | 1.61 |
| Max | 305.00 | 8.21 | 683.71 | 1672.78 | 340.80 | 624.74 | 1332.46 | 7.37 | 272.25 | 598.80 | 95.47 | |
| VWM | 49.99 | 7.21 | 45.21 | 597.06 | 20.11 | 39.48 | 150.62 | 0.75 | 22.25 | 45.09 | 11.34 | |
| VWSD | 0.96 | 0.13 | 0.93 | 21.20 | 0.69 | 0.94 | 2.64 | 0.03 | 0.49 | 0.90 | 0.23 | |
| Xiying | Min | 10.04 | 6.93 | 1.37 | 0.00 | 1.12 | 1.78 | 14.17 | 0.72 | 1.49 | 3.12 | 0.68 |
| Max | 134.30 | 8.03 | 369.83 | 218.87 | 139.68 | 463.88 | 631.54 | 3.98 | 167.55 | 220.26 | 100.44 | |
| VWM | 40.71 | 7.32 | 42.80 | 73.47 | 15.20 | 37.55 | 145.46 | 0.27 | 20.02 | 37.32 | 14.86 | |
| VWSD | 0.54 | 0.07 | 1.01 | 0.97 | 0.35 | 1.07 | 2.07 | 0.01 | 0.43 | 0.63 | 0.27 | |
| Yangjiazhuang | Min | 6.59 | 6.86 | 0.43 | 30.25 | 0.26 | 0.83 | 3.50 | 0.38 | 0.56 | 1.88 | 0.81 |
| Max | 152.10 | 8.44 | 833.76 | 1598.89 | 360.95 | 310.92 | 1106.73 | 17.57 | 370.45 | 262.69 | 63.57 | |
| VWM | 25.29 | 6.57 | 29.22 | 455.35 | 12.64 | 13.60 | 89.97 | 0.48 | 15.75 | 27.43 | 10.53 | |
| VWSD | 0.57 | 0.14 | 0.81 | 19.24 | 0.62 | 0.43 | 3.11 | 0.04 | 0.50 | 0.80 | 0.35 | |
| Zhuaxixiulong | Min | 15.27 | 6.92 | 9.50 | 42.44 | 3.65 | 2.46 | 17.82 | 0.27 | 4.86 | 5.48 | 0.68 |
| Max | 476.00 | 8.96 | 1351.15 | 344.70 | 2101.38 | 851.66 | 1054.81 | 5.83 | 748.19 | 642.80 | 69.19 | |
| VWM | 57.06 | 7.69 | 69.34 | 97.39 | 40.46 | 41.60 | 167.08 | 0.43 | 29.03 | 45.25 | 11.57 | |
| VWSD | 0.97 | 0.12 | 1.89 | 1.61 | 1.37 | 0.79 | 3.29 | 0.01 | 0.77 | 0.94 | 0.31 | |
| Example | Record Time | AQI | PM2.5 (μg/m3) | PM10 (μg/m3) | Precipitation Time | Wuwei (mm) | Wushaoling (mm) | EC (μs/cm) | pH |
|---|---|---|---|---|---|---|---|---|---|
| ① | 19 October 2016–20 October 2016 | 129 | 42 | 207 | 21 October 2016–22 Octorber 2016 | 3.4 | 13.4 | 25.59 | 7.56 |
| ② | 5 November 2016–6 November 2016 | 98 | 41 | 145 | 6 November 2016–7 November 2016 | 0.2 | 1.6 | 90.5 | 7.88 |
| ③ | 24 November 2016–26 November 2016 | 166 | 97 | 237 | 25 November 2016 | 0.1 | 0.3 | 215.55 | 7.38 |
| ④ | 15 March 2017–17 March 2017 | 72 | 48 | 92 | 16 March 2017–17 March 2017 | 0.3 | 1.7 | 74.33 | 7.72 |
| ⑤ | 20 March 2017–21 March 2017 | 79 | 53 | 105 | 22 March 2017–23 March 2017 | 3.6 | 2.9 | 77.6 | 7.68 |
| ⑥ | 3 June 2017–4 June 2017 | 65 | 37 | 57 | 4 June 2017–5 June 2017 | 16.8 | 24.5 | 40.02 | 7.65 |
| ⑦ | 20 July 2017–22 July 2017 | 47 | 17 | 43 | 23 July 2017–27 July 2017 | 46.8 | 43.3 | 37.68 | 7.38 |
| ⑧ | 5 October 2017–7 October 2017 | 74 | 43 | 97 | 7 October 2017 | 0.7 | 0.7 | 81.83 | 7.02 |
| Sampling Point | Na+ | K+ | Mg2+ | Ca2+ | NH4+ |
|---|---|---|---|---|---|
| Lenglong | 0.92 | 0.27 | 0.32 | 3.32 | 1.47 |
| Ningchang | 1.55 | 0.81 | 0.94 | 5.32 | 4.95 |
| Huajian | 0.81 | 0.33 | 0.67 | 2.87 | 16.75 |
| Xiying | 1.08 | 0.67 | 0.85 | 4.45 | 2.3 |
| Yangjiazhuang | 1.16 | 0.44 | 0.52 | 3.09 | 14.69 |
| Zhuaxixiulong | 1.33 | 0.73 | 0.87 | 3.75 | 2.52 |
| Qilian | 1.24 | 0.16 | 0.2 | 2.38 | 0.21 |
| Ion Type | Na+ | NH4+ | K+ | Mg2+ | Ca2+ | F− | Cl− | SO42− | NO3− |
|---|---|---|---|---|---|---|---|---|---|
| Na+ | 1 | ||||||||
| NH4+ | 0.401 | 1 | |||||||
| K+ | 0.718 ** | 0.261 ** | 1 | ||||||
| Mg2+ | 0.687 ** | 0.231 ** | 0.544 ** | 1 | |||||
| Ca2+ | 0.735 ** | 0.402 ** | 0.501 ** | 0.669 ** | 1 | ||||
| F− | 0.484 ** | 0.294 ** | 0.211 * | 0.408 ** | 0.522 ** | 1 | |||
| Cl− | 0.948 ** | 0.391 ** | 0.833 ** | 0.599 ** | 0.675 ** | 0.456 ** | 1 | ||
| SO42− | 0.822 ** | 0.385 ** | 0.603 ** | 0.862 ** | 0.839 ** | 0.546 ** | 0.739 ** | 1 | |
| NO3− | 0.597 ** | 0.471 ** | 0.463 ** | 0.481 ** | 0.708 ** | 0.397 ** | 0.616 ** | 0.597 ** | 1 |
| Sampling Point | Precipitation (mm) | Amount | Dry Season | Wet Season | Spring | Summer | Autumn | Winter |
|---|---|---|---|---|---|---|---|---|
| Lenglong | 1025.12 | 16.74 | 7.69 | 9.04 | 4.94 | 3.68 | 5.39 | 2.73 |
| Ningchang | 469.44 | 6.6 | 2.83 | 3.77 | 1.05 | 2.99 | 1.27 | 1.29 |
| Huajian | 282.05 | 4.78 | 1.38 | 3.4 | 2.36 | 1.41 | 1.01 | |
| Xiying | 197.67 | 2.95 | 0.82 | 2.95 | 0.73 | 2.35 | 0.67 | 0.02 |
| Yangjiazhuang | 613.54 | 7.62 | 1.98 | 5.65 | 2.15 | 3.2 | 2.27 | |
| Zhuaxixiulong | 290.63 | 6.72 | 3.4 | 3.32 | 1.86 | 2 | 0.79 | 2.07 |
| Sampling Point | Precipitation (mm) | Amount | Dry Season | Wet Season | Spring | Summer | Autumn | Winter |
|---|---|---|---|---|---|---|---|---|
| Lenglong | 1025.12 | 30.73 | 9.92 | 20.82 | 5.31 | 13.44 | 6.96 | 5.02 |
| Ningchang | 469.44 | 4.79 | 2.02 | 2.57 | 1.33 | 1.68 | 1.18 | 0.6 |
| Huajian | 282.05 | 5.95 | 1.58 | 4.37 | 2.87 | 1.67 | 1.41 | |
| Xiying | 197.67 | 3.54 | 0.77 | 2.77 | 0.32 | 2.26 | 0.64 | 0.02 |
| Yangjiazhuang | 613.54 | 7.38 | 1.35 | 6.02 | 2.35 | 3.22 | 1.8 | |
| Zhuaxixiulong | 290.63 | 6.31 | 2.97 | 3.34 | 1.58 | 2.29 | 1.05 | 1.4 |
| Sampling Station | Elevation | Na+ | K+ | Mg2+ | Ca2+ | NH4+ | F− | Cl− | NO3− | SO42− | Literature Sources |
|---|---|---|---|---|---|---|---|---|---|---|---|
| Tianshan Mountain | 1670 | 2.67 | 1.08 | 0.30 | 3.48 | 2.11 | 0.06 | 2.71 | 2.74 | 4.83 | Ref. [44] |
| Waliguan | 3816 | 0.55 | 0.96 | 0.21 | 2.26 | 0.70 | n.d. | 0.93 | 0.95 | 2.24 | Ref. [61] |
| Qinghai–Tibet Plateau | 4730 | 0.42 | 0.57 | 0.09 | 6.02 | n.d. | n.d. | 0.67 | 0.62 | 0.74 | Ref. [62] |
| Lanzhou | 1513 | 0.28 | 0.28 | 0.56 | 17.72 | 1.03 | 0.26 | 0.98 | 4.61 | 9.98 | Ref. [63] |
| Xi’an | 408 | 0.72 | 0.54 | 0.44 | 8.51 | 4.12 | 0.55 | 1.35 | 7.99 | 23.51 | Ref. [64] |
| Wuwei | 1532 | 3.90 | 1.70 | 1.60 | 19.40 | 1.60 | 0.10 | 4.20 | 7.10 | 23.10 | Ref. [65] |
| Minqin | 1368 | 6.20 | 2.70 | 1.70 | 13.50 | 4.40 | 0.10 | 12.30 | 13.90 | 12.10 | Ref. [65] |
| Lenglong | 3648 | 1.31 | 0.61 | 0.61 | 6.43 | 1.00 | 0.01 | 0.71 | 2.97 | 0.31 | This research |
| Ningchang | 2721 | 0.90 | 0.79 | 0.64 | 5.06 | 1.29 | 0.01 | 0.63 | 1.03 | 0.55 | This research |
| Huajian | 2323 | 1.04 | 0.78 | 0.95 | 6.02 | 10.75 | 0.01 | 0.79 | 2.16 | 0.70 | This research |
| Xiying | 2097 | 0.98 | 0.59 | 0.90 | 5.82 | 1.32 | 0.01 | 0.71 | 1.79 | 0.92 | This research |
| Yangjiazhuang | 2356 | 0.67 | 0.49 | 0.33 | 3.60 | 8.20 | 0.01 | 0.56 | 1.32 | 0.65 | This research |
| Zhuaxixiulong | 2858 | 1.59 | 1.58 | 1.00 | 6.68 | 1.75 | 0.01 | 1.03 | 2.17 | 0.72 | This research |
| Qilian | 2379 | 2.55 | 0.36 | 0.10 | 2.07 | 0.97 | n.d. | 0.22 | 0.34 | 1.97 | This research |
| Source | Ion | Spring | Summer | Autumn | Winter | Dry Season | Wet Season |
|---|---|---|---|---|---|---|---|
| EFsea | Na+ | 2.71 | 3.11 | 2.54 | 2.99 | 2.94 | 2.86 |
| K+ | 44.25 | 67.52 | 49.33 | 62.12 | 58.87 | 49.08 | |
| Mg2+ | 6.76 | 8.9 | 6.6 | 8.71 | 8.13 | 7.63 | |
| Ca2+ | 176.18 | 291.48 | 110.65 | 135.28 | 133.26 | 215.06 | |
| SO42− | 16.24 | 31.42 | 14.99 | 17.76 | 16.99 | 21.86 | |
| NO3− | 24,667 | 52,097.5 | 17,620.5 | 9437.4 | 11,207.37 | 34,431.87 | |
| EFcrust | Na+ | 0.61 | 0.42 | 0.91 | 0.88 | 0.88 | 0.53 |
| K+ | 0.25 | 0.23 | 0.45 | 0.46 | 0.44 | 0.23 | |
| Mg2+ | 0.35 | 0.28 | 0.55 | 0.59 | 0.56 | 0.33 | |
| Cl− | 48.18 | 29.12 | 76.72 | 62.75 | 63.7 | 39.47 | |
| SO42− | 12.62 | 14.75 | 18.53 | 17.97 | 17.44 | 13.91 | |
| NO3− | 29.83 | 38.08 | 33.92 | 14.86 | 17.92 | 34.11 |
| Source | Ion | Spring | Summer | Autumn | Winter | Dry Season | Wet Season |
|---|---|---|---|---|---|---|---|
| SSF | Na+ | 36.90% | 32.13% | 39.31% | 33.41% | 34.00% | 34.99% |
| K+ | 2.26% | 1.48% | 2.03% | 1.61% | 1.70% | 2.04% | |
| Mg2+ | 14.80% | 11.23% | 15.15% | 11.48% | 12.31% | 13.10% | |
| Ca2+ | 0.57% | 0.34% | 0.90% | 0.74% | 0.75% | 0.46% | |
| SO42− | 6.16% | 3.18% | 6.67% | 5.63% | 5.89% | 4.58% | |
| NO3− | 0.00% | 0.00% | 0.01% | 0.01% | 0.01% | 0.00% | |
| CF | Na+ | 63.10% | 67.87% | 60.69% | 66.59% | 66.00% | 65.01% |
| K+ | 97.74% | 98.52% | 97.97% | 98.39% | 98.30% | 97.96% | |
| Mg2+ | 85.20% | 88.77% | 84.85% | 88.52% | 87.69% | 86.90% | |
| Cl− | 2.08% | 3.43% | 1.30% | 1.59% | 1.57% | 2.53% | |
| SO42− | 7.93% | 6.78% | 5.40% | 5.57% | 5.73% | 7.19% | |
| NO3− | 3.35% | 2.63% | 2.95% | 6.73% | 5.58% | 2.93% | |
| ASF | SO42− | 85.92% | 90.04% | 87.93% | 88.80% | 88.38% | 88.23% |
| NO3− | 96.64% | 97.37% | 97.05% | 93.26% | 94.41% | 97.07% |
© 2020 by the authors. Licensee MDPI, Basel, Switzerland. This article is an open access article distributed under the terms and conditions of the Creative Commons Attribution (CC BY) license (http://creativecommons.org/licenses/by/4.0/).
Share and Cite
Zhang, Z.; Jia, W.; Zhu, G.; Ma, X.; Xu, X.; Yuan, R.; Shi, Y.; Yang, L.; Xiong, H. Hydrochemical Characteristics and Ion Sources of Precipitation in the Upper Reaches of the Shiyang River, China. Water 2020, 12, 1442. https://doi.org/10.3390/w12051442
Zhang Z, Jia W, Zhu G, Ma X, Xu X, Yuan R, Shi Y, Yang L, Xiong H. Hydrochemical Characteristics and Ion Sources of Precipitation in the Upper Reaches of the Shiyang River, China. Water. 2020; 12(5):1442. https://doi.org/10.3390/w12051442
Chicago/Turabian StyleZhang, Zhiyuan, Wenxiong Jia, Guofeng Zhu, Xinggang Ma, Xiuting Xu, Ruifeng Yuan, Yang Shi, Le Yang, and Hui Xiong. 2020. "Hydrochemical Characteristics and Ion Sources of Precipitation in the Upper Reaches of the Shiyang River, China" Water 12, no. 5: 1442. https://doi.org/10.3390/w12051442
APA StyleZhang, Z., Jia, W., Zhu, G., Ma, X., Xu, X., Yuan, R., Shi, Y., Yang, L., & Xiong, H. (2020). Hydrochemical Characteristics and Ion Sources of Precipitation in the Upper Reaches of the Shiyang River, China. Water, 12(5), 1442. https://doi.org/10.3390/w12051442

