Seepage Characteristics of a Single Ascending Relief Well Dewatering an Overlying Aquifer
Abstract
1. Introduction
2. Methods of Analytical, Experimental, and Modeling Investigations
2.1. Dupuit and Dupuit–Thiem Formulae
2.2. Laboratory Experiments
2.2.1. Seepage Sand-Tank and Boundary Conditions
2.2.2. Ascending Relief Well (ARW) Design
2.2.3. Laboratory Testing Protocol
Loading the Sand-Tank
Sand Saturation
2.3. Numerical Simulations
3. Results of Laboratory Sand-Tank Tests
3.1. Piezometric Head Distribution
3.2. Seepage Flux
4. Numerical Simulation Results
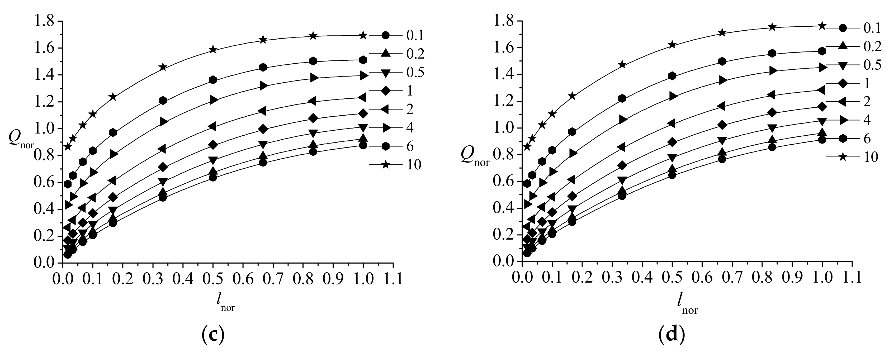
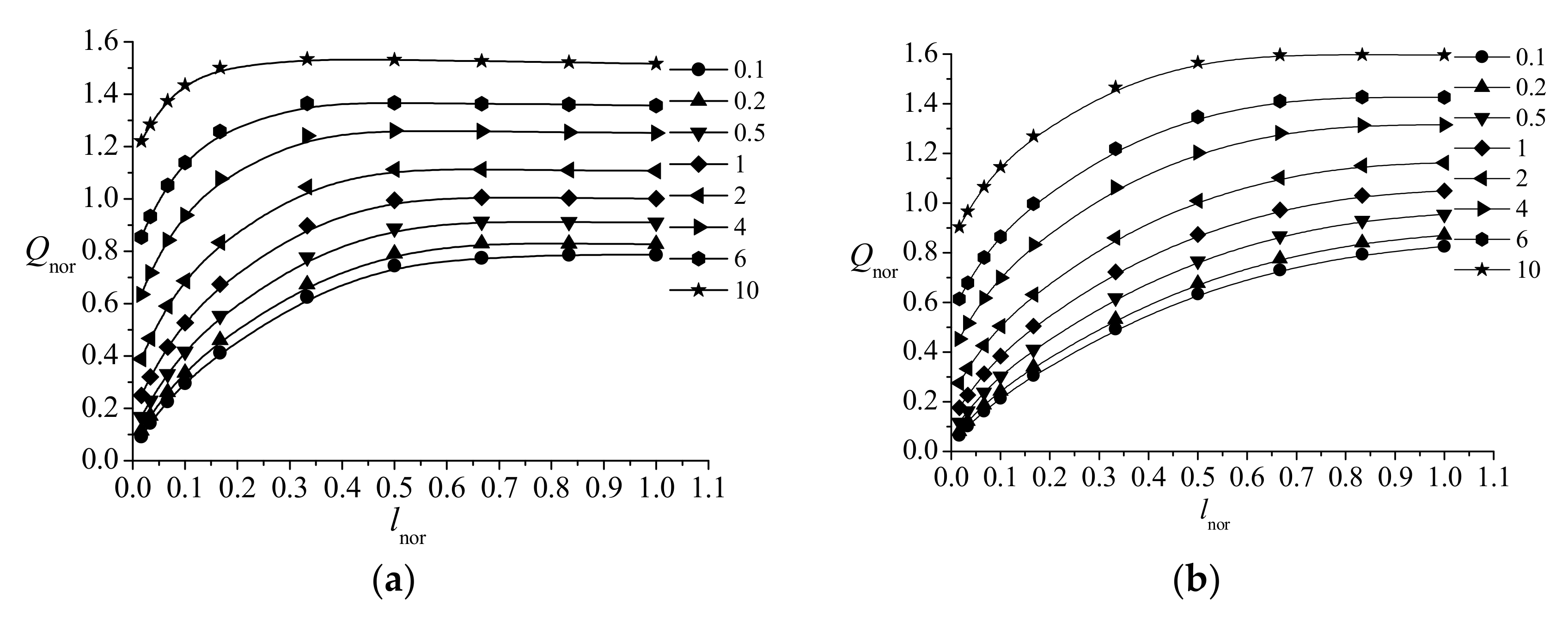
4.1. Relationships between Seepage Flux, Well Length and Radius
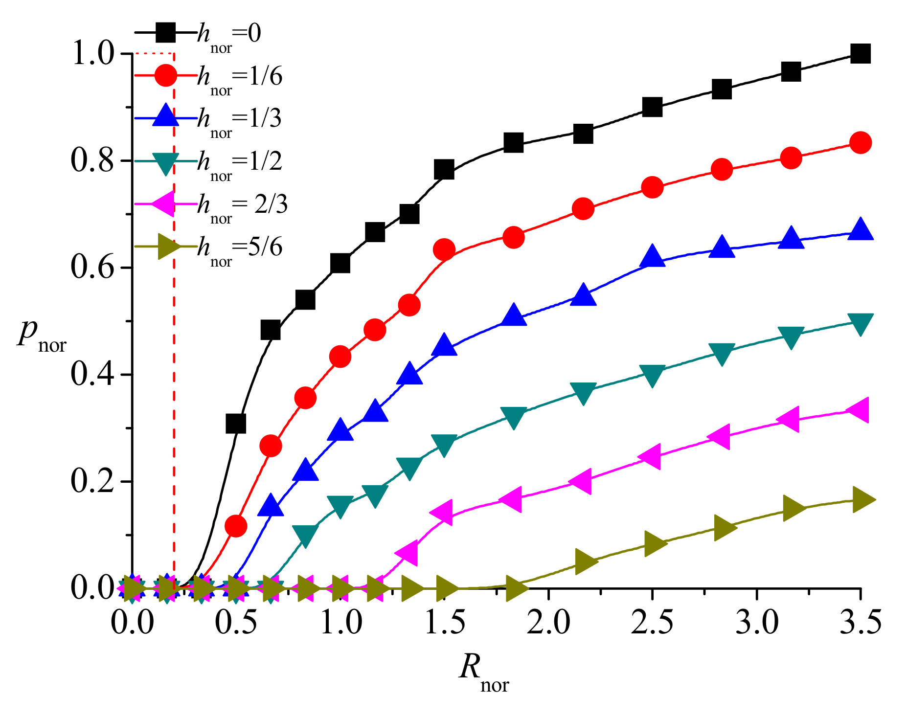
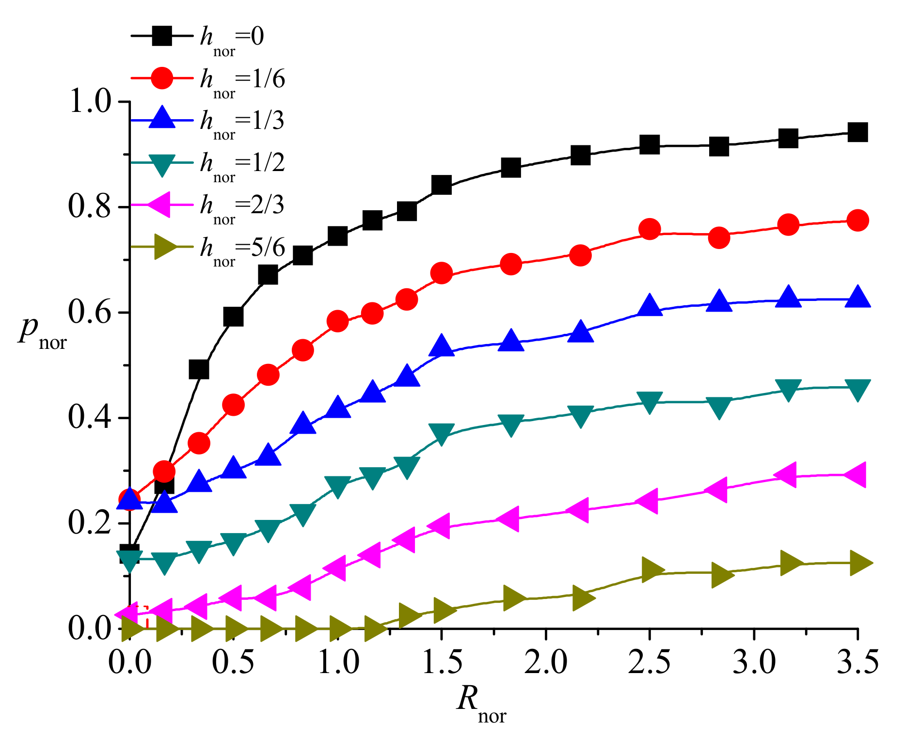
4.2. Seepage Characteristics
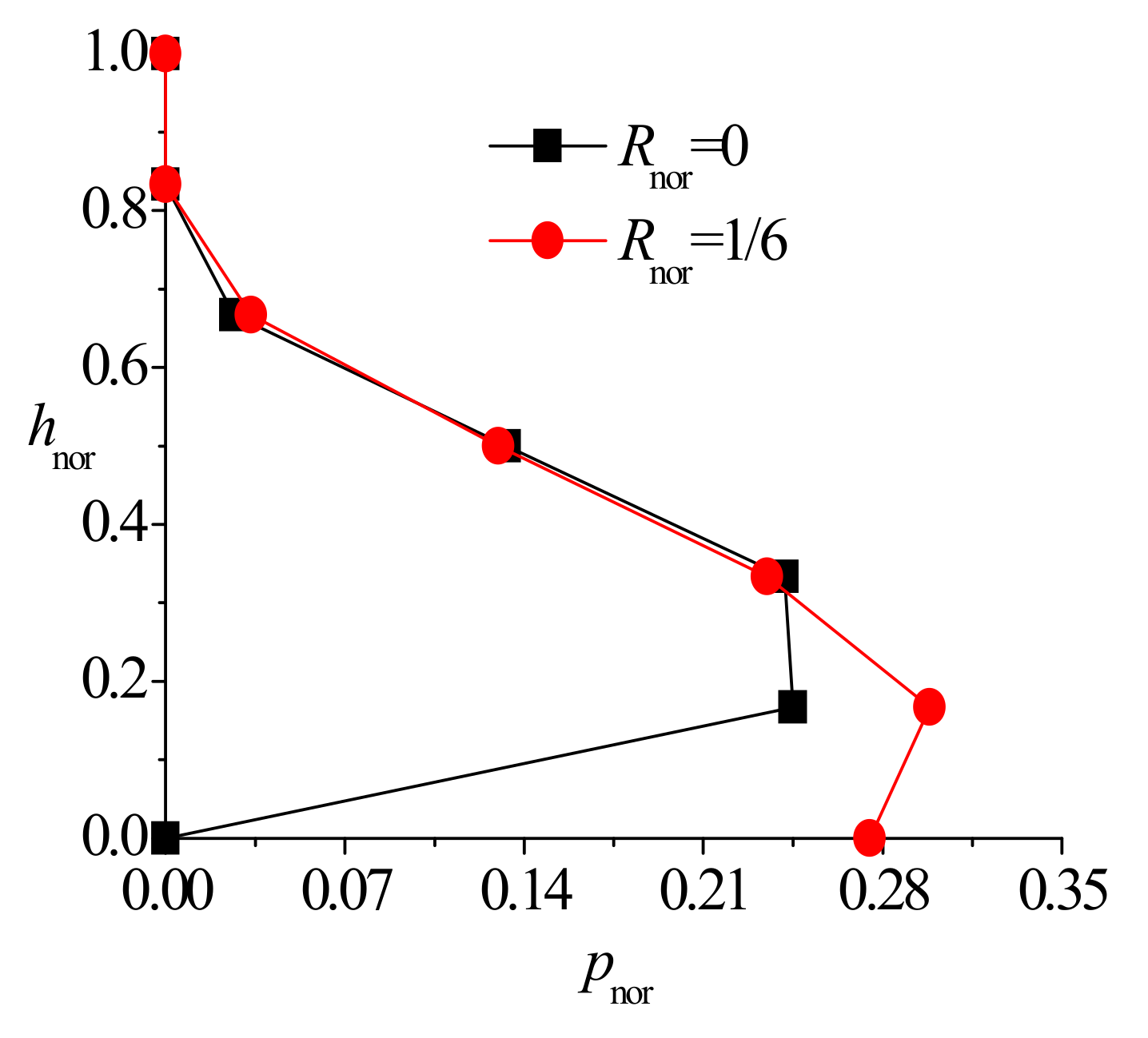
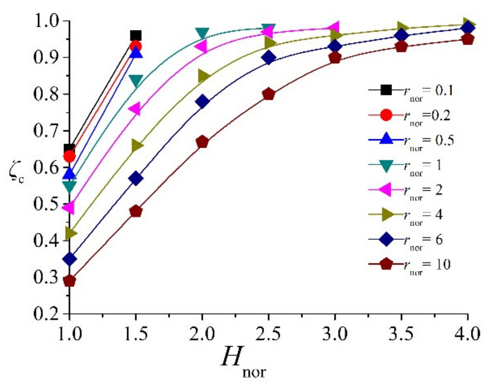
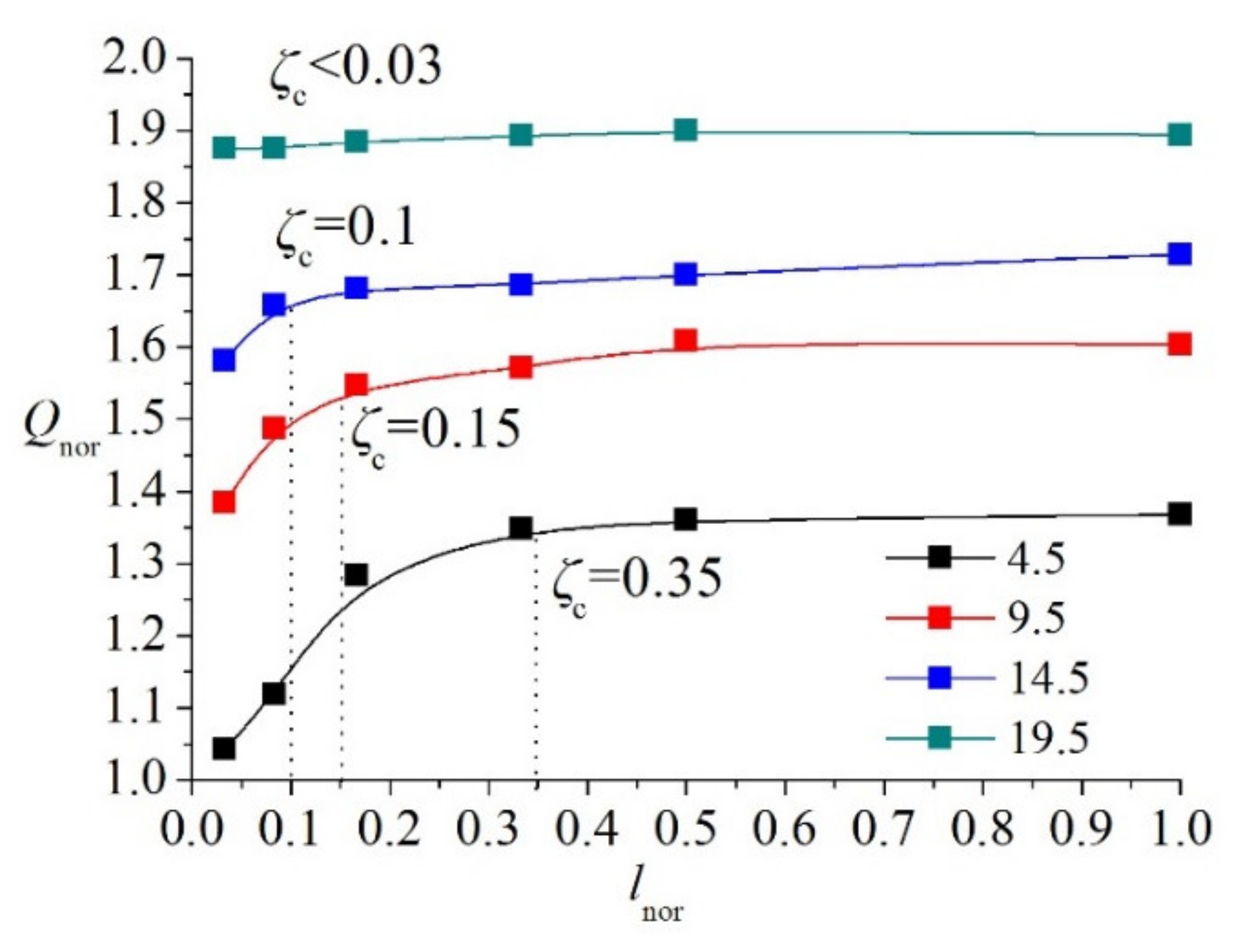
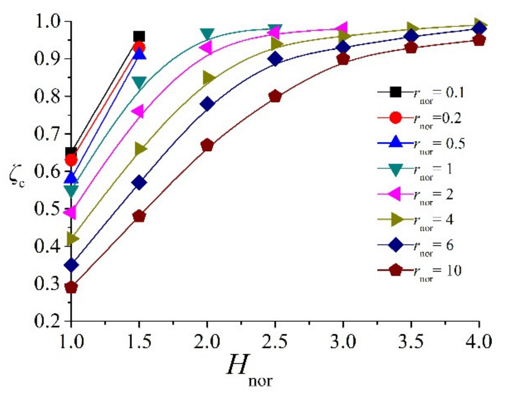
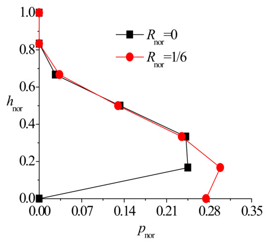
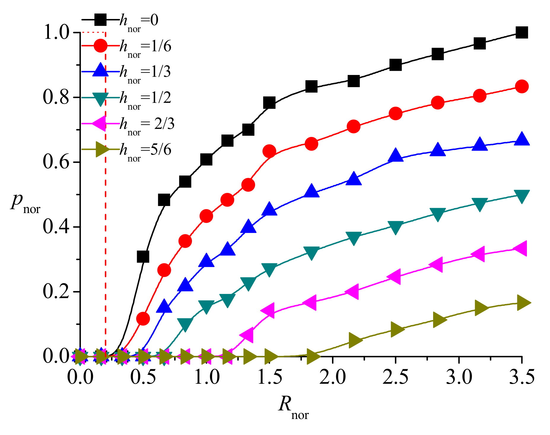
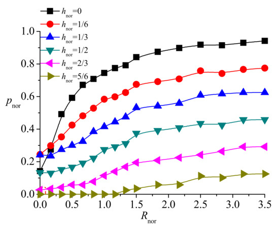
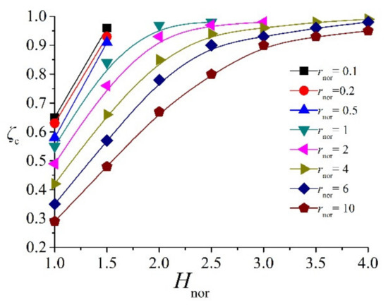
4.3. ARW’s Critical Degree of Penetration
4.4. Model Validation
5. Modified Dupuit and Dupuit–Thiem Formulae for a Single ARW
5.1. Unconfined Aquifer
5.2. Confined Aquifer
5.3. Confined-Unconfined Aquifer
5.4. Comparison of Modified Dupuit–Thiem Formulae with Results of Laboratory Sand-Tank Experiments
6. Concluding Remarks
Author Contributions
Funding
Acknowledgments
Conflicts of Interest
Appendix A
| Well Radius/rnor | Seepage Flux Qnor | Errors (%) | |||
|---|---|---|---|---|---|
| Lab Experiments | Dupuit Formula | Numerical Simulations | |||
| 4.5 | 1.294 | 1.16 | 1.195 | −7.65 | 3.02 |
| 9.5 | 1.517 | 1.425 | 1.467 | −3.30 | 2.95 |
| 14.5 | 1.636 | 1.636 | 1.696 | 3.67 | 3.67 |
| 19.5 | 1.792 | 1.826 | 1.908 | 6.47 | 4.49 |
| Hnor | 1 | 1.5 | 2.0 | 2.5 | 3.0 | 3.5 | 4.0 | |
|---|---|---|---|---|---|---|---|---|
| rnor | ||||||||
| 0.1 | 0.65 | 0.96 | ||||||
| 0.2 | 0.63 | 0.93 | ||||||
| 0.5 | 0.58 | 0.91 | ||||||
| 1 | 0.55 | 0.84 | 0.97 | 0.98 | ||||
| 2 | 0.49 | 0.76 | 0.93 | 0.97 | 0.98 | |||
| 4 | 0.42 | 0.66 | 0.85 | 0.94 | 0.96 | 0.98 | 0.99 | |
| 6 | 0.35 | 0.57 | 0.78 | 0.90 | 0.93 | 0.96 | 0.98 | |
| 10 | 0.29 | 0.48 | 0.67 | 0.80 | 0.9 | 0.93 | 0.95 | |
| lnor | snor | snor+lnor | Seepage Flux Qnor | Errors (%) | |||
|---|---|---|---|---|---|---|---|
| 1/2 | 0.362 | 0.862 | 0.937 | 0.936 | 0.657 | −0.10 | −29.88 |
| 1/3 | 0.282 | 0.615 | 0.846 | 0.860 | 0.563 | 1.60 | −33.41 |
| 1/6 | 0.186 | 0.353 | 0.635 | 0.647 | 0.427 | 1.93 | −32.73 |
| 1/10 | 0.143 | 0.243 | 0.497 | 0.511 | 0.356 | 2.82 | −28.45 |
| 1/15 | 0.111 | 0.178 | 0.409 | 0.414 | 0.299 | 1.22 | −27.04 |
| 1/30 | 0.080 | 0.113 | 0.302 | 0.303 | 0.237 | 0.39 | −21.37 |
| 1/60 | 0.061 | 0.078 | 0.235 | 0.233 | 0.197 | −0.79 | −16.04 |
| lnor | snor | snor+lnor | Qnor | Errors (%) | |||
|---|---|---|---|---|---|---|---|
| 1 | 0.652 | 1.652 | 1.050 | 1.153 | 0.523 | 9.83 | −50.18 |
| 5/6 | 0.628 | 1.461 | 1.031 | 1.042 | 0.507 | 1.10 | −50.81 |
| 2/3 | 0.575 | 1.242 | 0.972 | 0.913 | 0.472 | −6.10 | −51.46 |
| 1/2 | 0.499 | 0.999 | 0.874 | 0.767 | 0.421 | −12.20 | −51.87 |
| 1/3 | 0.402 | 0.736 | 0.723 | 0.605 | 0.354 | −16.35 | −51.11 |
| 1/6 | 0.269 | 0.436 | 0.504 | 0.390 | 0.257 | −22.72 | −49.02 |
| 1/10 | 0.203 | 0.303 | 0.384 | 0.289 | 0.206 | −24.75 | −46.30 |
| 1/15 | 0.170 | 0.237 | 0.312 | 0.241 | 0.181 | −22.87 | −42.19 |
| 1/30 | 0.120 | 0.153 | 0.227 | 0.172 | 0.139 | −24.47 | −38.88 |
| 1/60 | 0.096 | 0.112 | 0.176 | 0.132 | 0.118 | −24.88 | −33.17 |
| lnor | snor | snor+lnor | Qnor | Errors (%) | ||||
|---|---|---|---|---|---|---|---|---|
| 1 | 0.391 | 0.000 | 0.779 | 0.965 | 1.000 | 1.219 | 3.64 | 26.28 |
| 5/6 | 0.411 | 0.000 | 0.789 | 0.977 | 1.000 | 1.207 | 2.37 | 23.50 |
| 2/3 | 0.405 | 0.095 | 0.786 | 0.977 | 1.007 | 1.202 | 3.16 | 23.09 |
| 1/2 | 0.350 | 0.317 | 0.758 | 0.928 | 0.976 | 1.153 | 5.16 | 24.25 |
| 1/3 | 0.279 | 0.555 | 0.723 | 0.805 | 0.860 | 1.006 | 6.84 | 24.88 |
| 1/6 | 0.192 | 0.808 | 0.679 | 0.581 | 0.633 | 0.725 | 8.87 | 24.73 |
| 1/10 | 0.147 | 0.920 | 0.657 | 0.451 | 0.490 | 0.554 | 8.82 | 22.90 |
| rnor(lnor). | snor | Qnor | Errors (%) | |||
|---|---|---|---|---|---|---|
| Lab Experiments | Modified Dupuit Formula | Dupuit Formula | ||||
| 4.5(1/30) | 0.20 | 0.988 | 0.853 | 0.801 | −13.66 | −18.93 |
| 4.5(1/12) | 0.23 | 1.061 | 1.011 | 0.875 | −4.71 | −17.53 |
| 4.5(1/6) | 0.33 | 1.217 | 1.264 | 1.066 | 3.86 | −12.41 |
| 9.5(1/30) | 0.37 | 1.313 | 1.267 | 1.220 | −3.50 | −7.08 |
| 9.5(1/12) | 0.40 | 1.411 | 1.366 | 1.267 | −3.19 | −10.21 |




References
- Schubert, J.P. Reducing Water Leakage into Underground Coal Mines by Aquifer Dewatering; No. ANL/LRP-CP-9; CONF-7809134-1; Argonne National Lab.: Argonne, IL, USA, 1978.
- Sgambat, J.P.; LaBella, E.A.; Roebuck, S. Effects of Coal Mining on Ground-Water in the Eastern United States; EPA 60017-80-120; U.S. Environmental Protection Agency: Washington, DC, USA, 1980; p. 183.
- Niskovskiy, Y.; Vasianovich, A. Investigation of possibility to apply untraditional and ecologically good methods of coal mining under sea bed. In Proceedings of the Sixth International Offshore and Polar Engineering Conference, Los Angeles, CA, USA, 26–31 May 1996. [Google Scholar]
- Wu, Q.; Zhou, W.F. Prediction of inflow from overlying aquifers into coalmines: A case study in Jinggezhuang Coalmine, Kailuan, China. Environ. Geol. 2008, 55, 775–780. [Google Scholar] [CrossRef]
- Zhou, N.Q.; Vermeer, P.A.; Lou, R.; Tang, Y.; Jiang, S. Numerical simulation of deep foundation pit dewatering and optimization of controlling land subsidence. Eng. Geol. 2010, 114, 251–260. [Google Scholar] [CrossRef]
- Struzina, M.; Müller, M.; Drebenstedt, C.; Mansel, H.; Jolas, P. Dewatering of Multi-aquifer Unconsolidated Rock Opencast Mines: Alternative Solutions with Horizontal Wells. Mine Water Environ. 2011, 30, 90–104. [Google Scholar] [CrossRef]
- Pujades, E.; López, A.; Carrera, J.; Vázquez-Suñé, E.; Jurado, A. Barrier effect of underground structures on aquifers. Eng. Geol. 2012, 145, 41–49. [Google Scholar] [CrossRef]
- Wu, Y.X.; Shen, S.L.; Yuan, D.J. Characteristics of dewatering induced drawdown curve under blocking effect of retaining wall in aquifer. J. Hydrol. 2016, 539, 554–566. [Google Scholar] [CrossRef]
- Brownlow, J.W.; James, S.C.; Yelderman, J.C. Influence of Hydraulic Fracturing on Overlying Aquifers in the Presence of Leaky Abandoned Wells. Groundwater 2016, 54, 781–792. [Google Scholar] [CrossRef] [PubMed]
- Wang, W.X.; Sui, W.H.; Faybishenko, B.; Stringfellow, W.T. Permeability variations within mining-induced fractured rock mass and its influence on groundwater inrush. Environ. Earth Sci. 2016, 75, 1–15. [Google Scholar] [CrossRef]
- Xu, J.P.; Chen, M.Y.; Hong, H.; Xu, X.Q.; Liu, B. Differences of hydraulic conductivities from pumping and draining tests with intensity effects. J. Hydrol. 2019, 579, 124165. [Google Scholar] [CrossRef]
- Cartwright, K.; Hunt, C.S. Hydrogeologic Aspects of Coal Mining in Illinois: An Overview. Champaign, III; Illinois State Geological Survey: Champaign, IL, USA, 1981; p. 19.
- Hill, J.G.; Price, D.R. The impact of deep mining on an overlying aquifer in western Pennsylvania. Groundw. Monit. Remediat. 1983, 3, 138–143. [Google Scholar] [CrossRef]
- Younger, P.L.; Wolkersdorfer, C. Mining impacts on the fresh water environment: Technical and managerial guidelines for catchment scale management. Mine Water Environ. 2004, 23, 2–80. [Google Scholar]
- Zhang, J.C. Investigations of water inrushes from aquifers under coal seams. Int. J. Rock Mech. Min. Sci. 2005, 42, 350–360. [Google Scholar] [CrossRef]
- Booth, C.J. Groundwater as an environmental constraint of longwall coal mining. Environ. Geol. 2006, 49, 796–803. [Google Scholar] [CrossRef]
- Hang, Y.; Zhang, G.L.; Yang, G.Y. Numerical simulation of dewatering thick unconsolidated aquifers for safety of underground coal mining. Min. Sci. Technol. 2009, 19, 312–316. [Google Scholar] [CrossRef]
- Barnes, M.R.; Vermeulen, P.D. Guide to groundwater monitoring for the coal industry. Water SA 2012, 38, 831–836. [Google Scholar] [CrossRef]
- Newman, C.; Agioutantis, Z.; Leon, G.B.J. Assessment of potential impacts to surface and subsurface water bodies due to longwall mining. Int. J. Min. Sci. Technol. 2017, 27, 57–64. [Google Scholar] [CrossRef]
- Meiri, D. Unconfined groundwater flow calculation into a tunnel. J. Hydrol. 1985, 82, 69–75. [Google Scholar] [CrossRef]
- Liu, X.X.; Shen, S.; Xu, Y.S. Analytical approach for time-dependent groundwater inflow into shield tunnel face in confined aquifer. Int. J. Numer. Anal. Methods Geomech. 2018, 42, 655–773. [Google Scholar] [CrossRef]
- Hwang, J.H.; Lu, C.C. A semi-analytical method for analyzing the tunnel water inflow. Tunn. Undergr. Space Technol. 2007, 22, 39–46. [Google Scholar] [CrossRef]
- Pulido-Velazquez, D.; Llopis-Albert, C.; Peña-Haro, S.; Pulido-Velazquez, M. Efficient conceptual model for simulating the effect of aquifer heterogeneity on natural groundwater discharge to rivers. Adv. Water Res. 2011, 34, 1377–1389. [Google Scholar] [CrossRef]
- Mahdi Rasouli, M. Groundwater Seepage Rate (GSR); a new method for prediction of groundwater inflow into jointed rock tunnels. Tunn. Undergr. Space Technol. 2018, 71, 505–517. [Google Scholar] [CrossRef]
- Goodman, R. Groundwater inflows during tunnel driving. Eng. Geol. 1965, 2, 39–56. [Google Scholar]
- Shizhong, L. An Analytical Solution for Steady Flow into a Tunnel. Groundwater 1999, 37, 23–26. [Google Scholar]
- El Tani, M. Circular tunnel in a semi-infinite aquifer. Tunn. Undergr. Space Technol. 2003, 18, 49–55. [Google Scholar] [CrossRef]
- Kolymbas, D.; Wagner, P. Groundwater ingress to tunnels–The exact analytical solution. Tunn. Undergr. Space Technol. 2007, 22, 23–27. [Google Scholar] [CrossRef]
- Corps of Engineers US Army (USACE). Design, Construction, and Maintenance of Relief Wells; Engineer Manual: Washington, DC, USA, 1994.
- Tammetta, P. Estimation of the Change in Storage Capacity above Mined Longwall Panels. Groundwater 2016, 54, 646–655. [Google Scholar] [CrossRef] [PubMed]
- Shamsai, A.; Narasimhan, T.N. A numerical investigation of free surface-seepage face relationship under steady state flow conditions. Water Resour. Res. 1991, 27, 409–421. [Google Scholar] [CrossRef]
- Butler, J.J.; Healey, J.M. Relationship between Pumping-Test and Slug-Test Parameters: Scale Effect or Artifact? Groundwater 1998, 36, 305–312. [Google Scholar] [CrossRef]
- Tsoflias, G.P.; Halihan, T.; Sharp, J.M. Monitoring pumping test response in a fractured aquifer using ground-penetrating radar. Water Resour. Res. 2001, 37, 1221–1229. [Google Scholar] [CrossRef]
- Simpson, M.J.; Clement, T.P.; Gallop, T.A. Laboratory and Numerical Investigation of Flow and Transport near a Seepage-Face Boundary. Groundwater 2003, 41, 690–700. [Google Scholar] [CrossRef]
- Li, W.; Englert, A.; Cirpka, O.A.; Vereecken, H. Three-dimensional geostatistical inversion of flowmeter and pumping test data. Groundwater 2008, 46, 193–201. [Google Scholar] [CrossRef]
- Sethi, R. A dual-well step drawdown method for the estimation of linear and nonlinear flow parameters and wellbore skin factor in confined aquifer systems. J. Hydrol. 2011, 400, 187–194. [Google Scholar] [CrossRef]
- Ji, S.H.; Koh, Y.K. Nonlinear groundwater flow during a slug test in fractured rock. J. Hydrol. 2015, 520, 30–36. [Google Scholar] [CrossRef]
- Sun, H. A semi-analytical solution for slug tests in an unconfined aquifer considering unsaturated flow. J. Hydrol. 2016, 532, 29–36. [Google Scholar] [CrossRef]
- Wu, Y.X.; Shen, J.S.; Chen, W.C.; Hino, T. Semi-analytical solution to pumping test data with barrier, wellbore storage, and partial penetration effects. Eng. Geol. 2017, 226, 44–51. [Google Scholar] [CrossRef]
- Dupuit, J.É.J. Études Théoriques et Pratiques sur le Mouvement des Eaux Dans les Canaux Découverts et à Travers les Terrains Perméables: Avec des Considérations Relatives au Régime des Grandes Eaux, au Débouché à leur Donner, et à la Marche des Alluvions dans les Rivières à Fond Mobile; Dunod: Paris, France, 1863. [Google Scholar]
- Thiem, G. Hydrologische Methoden: Dissertation zur Erlangung der Wurde eines; JM Gebhardt: Leipzig, Germany, 1906. [Google Scholar]
- Boulton, N.S. The drawdown of the water-table under non-steady conditions near a pumped well in an unconfined formation. Proc. Inst. Civ. Eng. 1954, 3, 564–579. [Google Scholar] [CrossRef]
- Streltsova, T. Unsteady radial flow in an unconfined aquifer. Water Resour. Res. 1972, 8, 1059–1066. [Google Scholar] [CrossRef]
- Neuman, S.P. Effect of partial penetration on flow in unconfined aquifers considering delayed gravity response. Water Resour. Res. 1974, 10, 303–312. [Google Scholar] [CrossRef]
- Neuman, S.P. Theory of flow in unconfined aquifers considering delayed response of the water table. Water Resour. Res. 1972, 8, 1031–1045. [Google Scholar] [CrossRef]
- Ruud, N.C.; Kabala, Z.J. Response of a partially penetrating well in a heterogeneous aquifer: Integrated well-face flux vs. uniform well-face flux boundary conditions. J. Hydrol. 1997, 194, 76–94. [Google Scholar] [CrossRef]
- Cassiani, G.; Kabala, Z.J. Hydraulics of a partially penetrating well: Solution to a mixed-type boundary value problem via dual integral equations. J. Hydrol. 1998, 211, 100–111. [Google Scholar] [CrossRef]
- Hemker, C.J. Transient well flow in vertically heterogeneous aquifers. J. Hydrol. 1999, 225, 1–18. [Google Scholar] [CrossRef]
- Chang, C.C.; Chen, C.S. A flowing partially penetrating well in a finite-thickness aquifer: A mixed-type initial boundary value problem. J. Hydrol. 2003, 271, 101–118. [Google Scholar] [CrossRef]
- Perina, T.; Lee, T.C. General well function for pumping from a confined, leaky, or unconfined aquifer. J. Hydrol. 2006, 317, 239–260. [Google Scholar] [CrossRef]
- Feng, Q.G.; Zhan, H.B. On the aquitard–aquifer interface flow and the drawdown sensitivity with a partially penetrating pumping well in an anisotropic leaky confined aquifer. J. Hydrol. 2015, 521, 74–83. [Google Scholar] [CrossRef]
- Mishra, P.K.; Kuhlman, K.L. Unconfined aquifer flow theory: From Dupuit to present. In Advances in Hydrogeology; Springer: New York, NY, USA, 2013; pp. 185–202. [Google Scholar]
- Charnyi, I.A. A rigorous derivation of Dupuit’s formula for unconfined seepage with seepage surface. Dokl. Akad. Nauk Mosc. 1951, 79, 937–940. (In Russian) [Google Scholar]
- Shercliff, J.A. Seepage flow in unconfined aquifers. J. Fluid Mech. 1975, 71, 181–192. [Google Scholar] [CrossRef]
- Bhunya, P.K.; Anjaneyulu, B. Study of flow analysis in semiconfined aquifer using a sand tank model. ISH J. Hydraul. Eng. 2001, 7, 13–21. [Google Scholar] [CrossRef]
- Faybishenko, B.A. Hydraulic behavior of quasi-saturated soils in the presence of entrapped air: Laboratory experiments. Water Resour. Res. 1995, 31, 2421–2435. [Google Scholar] [CrossRef]
- Faybishenko, B.A.; Javandel, I.; Witherspoon, P.A. Hydrodynamics of the Capture Zone for Contaminant Transport with Partially Penetrating Well in a Confined Aquifer. Water Resour. Res. 1995, 31, 859–866. [Google Scholar] [CrossRef]



















| Types of Aquifers | Seepage Flux (Q) |
|---|---|
| Unconfined (Dupuit) | |
| Confined (Dupuit–Thiem) | |
| Confined-Unconfined (Dupuit–Thiem) |
© 2020 by the authors. Licensee MDPI, Basel, Switzerland. This article is an open access article distributed under the terms and conditions of the Creative Commons Attribution (CC BY) license (http://creativecommons.org/licenses/by/4.0/).
Share and Cite
Wang, W.; Faybishenko, B.; Jiang, T.; Dong, J.; Li, Y. Seepage Characteristics of a Single Ascending Relief Well Dewatering an Overlying Aquifer. Water 2020, 12, 919. https://doi.org/10.3390/w12030919
Wang W, Faybishenko B, Jiang T, Dong J, Li Y. Seepage Characteristics of a Single Ascending Relief Well Dewatering an Overlying Aquifer. Water. 2020; 12(3):919. https://doi.org/10.3390/w12030919
Chicago/Turabian StyleWang, Wenxue, Boris Faybishenko, Tong Jiang, Jinyu Dong, and Yang Li. 2020. "Seepage Characteristics of a Single Ascending Relief Well Dewatering an Overlying Aquifer" Water 12, no. 3: 919. https://doi.org/10.3390/w12030919
APA StyleWang, W., Faybishenko, B., Jiang, T., Dong, J., & Li, Y. (2020). Seepage Characteristics of a Single Ascending Relief Well Dewatering an Overlying Aquifer. Water, 12(3), 919. https://doi.org/10.3390/w12030919

