Flow Measurements Using a Sluice Gate; Analysis of Applicability
Abstract
1. Introduction
- Is it possible to use the given formulas and discharge coefficients determined for the submerged gate outflow for structures with the gate installed in intake canals with trapezoidal cross-sections?
- Where should the downstream water depth measured for the submerged gate be, installed in a canal with rectangular cross-section, to ensure a good fit between measured and calculated flow rates?
- How does the construction of guides necessary for lifting the gate (changing the width of the opening in relation to the width of the channel) affect the values of the flow coefficients for the submerged flow conditions?
2. Methods
2.1. One-Dimensional Description of the Sluice Gate Flow
2.2. Studies on Submerged Flow through Irrigation Sluice Gate
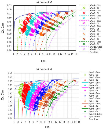
3. Results
4. Conclusions
- As it was not possible to clearly determine the position of the cross-section in which depth hz should be measured, relationship (1) is not useful for calculating water flow rates on the basis of the depths measured upstream and downstream of the sluice gate.
- The location of the cross-section for measuring downstream water depth h, used to calculate downstream discharge coefficients Cd using the Swamme relationship (5), changes with the opening height of the gate a.
- It is possible to use the Swamme relationship (5) to calculate the discharge coefficients on the basis of the downstream water depth measured in a fixed cross-section as in the practice of adopting corrections provided in relationships (8), (9). Calculated on the basis of measured depths, upstream H, downstream h and gate opening height a with Equations (11) and (12), the flow factors allow us to achieve compliance between the calculated flow rates and measured rates with accuracy of about 10%, confirming the practical usefulness of this method in estimating flow through the sluice gate, as stated by Boiten (1992) [20].
- This approach might be useful in calibration of other designs of sluice gates for flow measurements.
Author Contributions
Funding
Acknowledgments
Conflicts of Interest
References
- Clemmens, A.L.; Strelkoff, T.S.; Replogle, J.A. Calibration of submerged radial gates. J. Hydraul. Eng. 2003, 129, 680–687. [Google Scholar] [CrossRef]
- Kaca, E. Calibration of Water-Drainage Structures; Wydawnictwo IMUZ: Falenty, Poland, 1996. (In Polish) [Google Scholar]
- Jędryka, E.; Kaca, E. Assessment of the Error in Estimating an Output Coefficient Value for a Melioration Gate Weirs; Wiadomości Instytutu Melioracji i Użytków Zielonych: Warsaw, Poland, 1998; Volume XIX, pp. 129–142. (In Polish) [Google Scholar]
- Lozano, D.; Mateos, L.; Merkley, G.P.; Clemmens, A.J. Field calibration of submerged sluice gates in irrigation canals. J. Irrig. Drain. Eng. 2009, 135, 6. [Google Scholar] [CrossRef]
- Belaud, G.; Cassan, L.; Baume, J.P. Calculation of contraction coefficient under sluice gates and Application to discharge measurement. J. Hydraul. Eng. 2009, 135, 1086–1091. [Google Scholar] [CrossRef]
- Cassan, L.; Belaud, G. Experimental and numerical investigation of flow under sluice gates. J. Hydraul. Eng. 2012, 138, 367–373. [Google Scholar] [CrossRef]
- Shayan, H.S.; Farhoudi, J.; Khezerloo, A.B. Theoretical and experimental study of flow from sluice gates. Proc. Inst. Civil Eng. Water Manag. 2015, 167, 152–163. [Google Scholar] [CrossRef]
- Kiczko, A.; Kubrak, J.; Kubrak, E. Experimental and numerical investigation of non-submerged flow under a sluice gate. Ann. Warsaw Univ. Life Sci. Land Reclam. 2015, 47, 187–201. [Google Scholar] [CrossRef][Green Version]
- Silva, C.O.; Rijo, M. Flow rate measurements under sluice gates. J. Irrig. Drain. Eng. 2017, 143, 06017001. [Google Scholar] [CrossRef]
- Water Measurement Manual; USA Department of the Interior Bureau of Reclamation: Ephrata, WA, USA, 2001.
- Kraatz, D.B. Small Hydraulic Structures; Paper 26/2; FAO Irrigation and Drainage: Rome, Italy, 2002. [Google Scholar]
- Żukowski, N.E. Gidrodynamika; ONTI USTPH: Moscow, Soviet Union, 1936; Volume III, p. 220. (In Russian) [Google Scholar]
- Kubrak, E.; Kubrak, J. Basics of Fluid Mechanics in Environmental Engineering and Environmental Protection; Wydawnictwo SGGW: Warwav, Poland, 2018. (In Polish) [Google Scholar]
- Rouse, H. Elementary Mechanics of Fluids; Dover Publications, Inc.: New York, NY, USA, 1946. [Google Scholar]
- Swamee, P.K. Sluice gate discharge equations. J. Irrig. Drain. Eng. 1992, 118, 56–60. [Google Scholar] [CrossRef]
- Harold, H.R.; Holdhusen, J.S.; Citrini, D.; Corrsin, S.; Baines, W.D.; Streiff, A. Discussion of “Diffusion of submerged jets”. Trans. ASCE 1950, 115, 687–697. [Google Scholar]
- Rajaratnam, N.; Subramanaya, K. Flow equations for the sluice gate. J. Irrig. Drain. Eng. ASCE 1967, 93, 167–186. [Google Scholar]
- Typical Designs of the Openings of Type Z; Polish Ministry of Agriculture, Centralne Biuro Studiów i Projektów Wodnych Melioracji: Warsaw, Poland, 1969. (In Polish)
- Gwinn, W.R.; Ree, W.O. Maintenance effects on the hydraulic properties of a vegetation lined channel. Trans. ASAE 1980, 23, 636–642. [Google Scholar] [CrossRef]
- Boiten, W. Vertical Gates for Distribution of Irrigation Water; Report 30; Delft Hydraulics and Wageningen Agricultural University: Delft, The Netherlands, 1992. [Google Scholar]















© 2020 by the authors. Licensee MDPI, Basel, Switzerland. This article is an open access article distributed under the terms and conditions of the Creative Commons Attribution (CC BY) license (http://creativecommons.org/licenses/by/4.0/).
Share and Cite
Kubrak, E.; Kubrak, J.; Kiczko, A.; Kubrak, M. Flow Measurements Using a Sluice Gate; Analysis of Applicability. Water 2020, 12, 819. https://doi.org/10.3390/w12030819
Kubrak E, Kubrak J, Kiczko A, Kubrak M. Flow Measurements Using a Sluice Gate; Analysis of Applicability. Water. 2020; 12(3):819. https://doi.org/10.3390/w12030819
Chicago/Turabian StyleKubrak, Elżbieta, Janusz Kubrak, Adam Kiczko, and Michał Kubrak. 2020. "Flow Measurements Using a Sluice Gate; Analysis of Applicability" Water 12, no. 3: 819. https://doi.org/10.3390/w12030819
APA StyleKubrak, E., Kubrak, J., Kiczko, A., & Kubrak, M. (2020). Flow Measurements Using a Sluice Gate; Analysis of Applicability. Water, 12(3), 819. https://doi.org/10.3390/w12030819

