Calculation of Multiple Critical Depths in Open Channels Using an Adaptive Cubic Polynomials Algorithm
Abstract
1. Introduction
2. The Proposed Approach
3. Adaptive Cubic Polynomials Algorithm (ACPA)
- ✓
- Check 1 (convex concave): check whether there is an inflection point inside the segment or not. In other words, if the curve turns from convex to concave or vice versa. In that case, the segment must be subdivided. The second derivative at inflection points is zero. Therefore, it is adequate to calculate H’’ at both ends of the segment and check the signs. If they differ, then at some point inside the segment H’’ becomes zero and thus the segment must be subdivided.
- ✓
- Check 2 (curvature): check whether the slope of the curve changes significantly or not. In that case the segment must be subdivided. H’ is calculated at both ends yielding and . Then, the following three conditions are being checked:
- Condition 1: , where δ in this study was taken 0.5*
- Condition 2:
- Condition 3: , where ratiomin in this study was taken 0.4*
If condition 1 is true and either condition 2 or 3 is true, the segment must be subdivided. The values used for δ and ratiomin were determined with experiments. Several combinations were tried and the best results occurred for these values. - ✓
- Check 3 (fit): check whether the curve is fitted well or not. In the latter case it must be subdivided. H can be easily calculated at three additional intermediate elevations yE, yF, yG (Equations (20)–(22))
4. Tests and Comparison
4.1. Validation of the Hydraulic Parameters’ Calculation
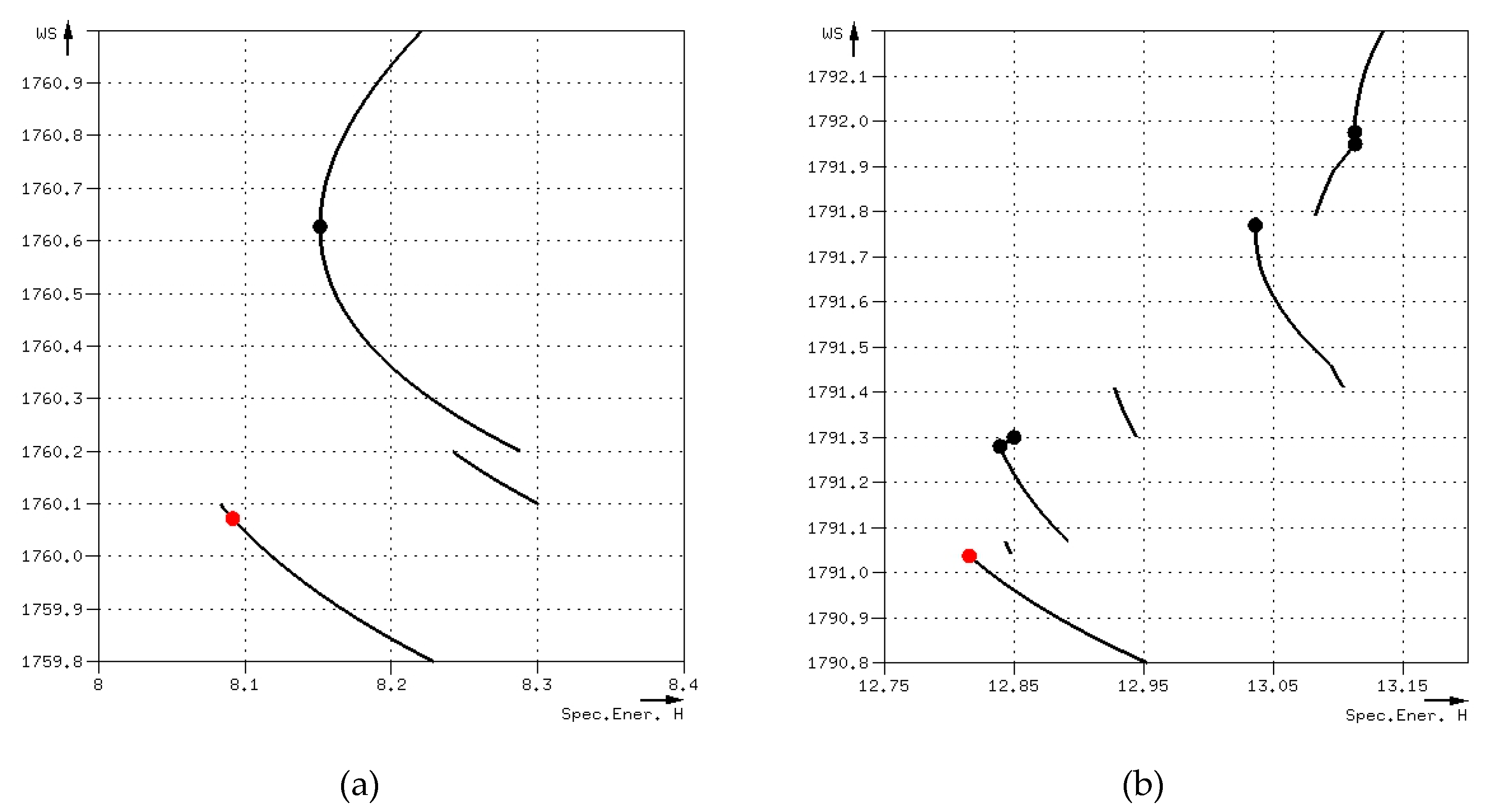
4.2. Determining the Critical Depths with ACPA vs. HEC-RAS
5. Discussion
6. Conclusions
Author Contributions
Funding
Conflicts of Interest
References
- Henderson, F.M. Open Channel Flow; The Macmillan Co.: New York, NY, USA, 1969. [Google Scholar]
- Blalock, M.E.; Sturm, T.W. Minimum Specific Energy in Compound Channel. J. Hydraul. Div. 1981, 107, 699–717. [Google Scholar]
- Blalock, M.E.; Sturm, T.W. Closure of Minimum Specific Energy in Compound Channel. J. Hydraul. Div. 1983, 109, 483–486. [Google Scholar] [CrossRef]
- Bakhmeteff, B.A. Hydraulics of Open Channels; McGraw-Hill Book Co., Inc.: New York, NY, USA, 1932. [Google Scholar]
- Schoellhamer, D.H.; Peters, J.C.; Larok, B.E. Subdivision Froude Number. Hydraul. Eng. 1985, 111, 1099–1104. [Google Scholar] [CrossRef]
- Chow, V.T. Open-Channel Hydraulics; McGraw-Hill Book Company: New York, NY, USA, 1959. [Google Scholar]
- Konemann, N. Discussion of Blalock and Sturm [1981]. J. Hydraul. Div. 1982, 108, 462–464. [Google Scholar]
- Petryk, S.; Grant, E.U. Critical Flow in Rivers with Flood Plains. J. Hydraul. Div. 1978, 104, 583–594. [Google Scholar]
- Chaudhry, M.H.; Bhallamudi, S.M. Computation of Critical Depth in Symmetrical Compound Channels. Hydraul. Res. 1988, 26, 377–396. [Google Scholar] [CrossRef]
- Samuels, P.G. Cross section location in one-dimensional models. In Proceedings of the International Conference on River Flood Hydraulics, At Wallingford, UK, 17–20 September 1990; White, W.R., Ed.; John Wiley: Chichester, UK; pp. 339–350. [Google Scholar]
- Pramanik, N.; Panda, R.K.; Sen, D. One dimensional hydrodynamic modeling of river flow using Dem extracted river cross sections. Water Resour. Manag. 2010, 24, 835–852. [Google Scholar] [CrossRef]
- Pilotti, M. Extraction of cross sections from digital elevation model for one-dimensional dam-break wave propagation in mountain valleys. Water Resour. Res. 2016, 52, 52–68. [Google Scholar] [CrossRef]
- O’Callaghan, J.F.; Mark, D.M. The extraction of drainage networks from digital elevation data. Comput. Vis. Graph. Image Process. 1984, 28, 323–344. [Google Scholar] [CrossRef]
- Jenson, S.K.; Domingue, J.O. Extracting topographic structure from digital elevation data for geographic information system analysis. Photogramm. Eng. Remote Sens. 1988, 54, 1593–1600. [Google Scholar]
- Tarboton, D.G.; Bras, R.L.; Rodriguez-Iturbe, I. On the extraction of channel networks from digital elevation data. Hydrol. Process. 1991, 5, 81–100. [Google Scholar] [CrossRef]
- Garbrecht, J.; Martz, L. Grid size dependency of parameters extracted from digital elevation models. Comput. Geosci. 1994, 20, 85–87. [Google Scholar] [CrossRef]
- Hydrologic Engineering Center. HEC-RAS River Analysis System, Computer Program; Version 5.0.7.; US Army Corps of Engineers, Institute of Water Resources: Davis, CA, USA, 2019.
- Hydrologic Engineering Center. HEC-RAS River Analysis System, Hydraulic Reference Manual; Version 5.0; US Army Corps of Engineers, Institute of Water Resources: Davis, CA, USA, 2016.
- Hydrologic Engineering Center. HEC-RAS River Analysis System, Applications Guide; Version 5.0; US Army Corps of Engineers, Institute of Water Resources: Davis, CA, USA, 2016.
- Hydrologic Engineering Center. HEC-2 Water Surface Profile User’s Manual; US Army Corps of Engineers, Institute of Water Resources: Davis, CA, USA, 1991.
- Hydrologic Engineering Center. HEC-2 Water Surface Profiles Computer Program; US Army Corps of Engineers, Institute of Water Resources: Davis, CA, USA, 1991.
- Chaudhry, M.H. Open-Channel Flow; Springer: New York, NY, USA, 2008. [Google Scholar]
- Subramanya, K. Flow in Open Channels; Tata McGraw-Hill: New Delhi, India, 2009. [Google Scholar]
- Vatankhah, A.R. Multiple-Critical Depth Occurrence in Two-Stage Cross-Sections: Effect of Side Slope Change. Hydrol. Eng. 2013, 18, 722–728. [Google Scholar] [CrossRef]
- Vatankhah, A.R. Explicit solutions for critical and normal depths in trapezoidal and parabolic open channels. Ain Shams Eng. J. 2013, 4, 17–23. [Google Scholar] [CrossRef][Green Version]



















|
| Parameter | Symbol | Max. Dif. | Max. Dif. (%) | Avg. Dif. | Avg. Dif. (%) |
|---|---|---|---|---|---|
| Total cross-sectional area | A | 0.08 | 0.0005 | 0.02 | 0.001 |
| Kinetic energy correction factor | a | 0.034 | 0.626 | 0.00 | 0.002 |
| Specific energy | H | 38.67 | 0.057 | 0.18 | 0.004 |
| Section Index | Case | Difference |
|---|---|---|
| 7 | 4 | 0.555 |
| 9 | 5 | 0.4 |
| 27 | 5 | 0.171 |
| 39 | 4 | 0.243 |
| 40 | 3 | 0.98 |
| Section Index | Case | Difference |
|---|---|---|
| 1 | 3 | 1.016 |
| 5 | 3 | 0.367 |
| 6 | 3 | 0.175 |
| 9 | 3 | 1.366 |
| 12 | 4 | 0.86 |
| 14 | 3 | 1.09 |
| 15 | 5 | 1.198 |
| 41 | 3 | 0.101 |
© 2020 by the authors. Licensee MDPI, Basel, Switzerland. This article is an open access article distributed under the terms and conditions of the Creative Commons Attribution (CC BY) license (http://creativecommons.org/licenses/by/4.0/).
Share and Cite
Petikas, I.; Keramaris, E.; Kanakoudis, V. Calculation of Multiple Critical Depths in Open Channels Using an Adaptive Cubic Polynomials Algorithm. Water 2020, 12, 799. https://doi.org/10.3390/w12030799
Petikas I, Keramaris E, Kanakoudis V. Calculation of Multiple Critical Depths in Open Channels Using an Adaptive Cubic Polynomials Algorithm. Water. 2020; 12(3):799. https://doi.org/10.3390/w12030799
Chicago/Turabian StylePetikas, Ioannis, Evangelos Keramaris, and Vasilis Kanakoudis. 2020. "Calculation of Multiple Critical Depths in Open Channels Using an Adaptive Cubic Polynomials Algorithm" Water 12, no. 3: 799. https://doi.org/10.3390/w12030799
APA StylePetikas, I., Keramaris, E., & Kanakoudis, V. (2020). Calculation of Multiple Critical Depths in Open Channels Using an Adaptive Cubic Polynomials Algorithm. Water, 12(3), 799. https://doi.org/10.3390/w12030799
