Next Article in Journal
Time Series Changes in Fish Assemblages and Habitat Structures Caused by Partial Check Dam Removal
Previous Article in Journal
Possibility of Zhuhai-1 Hyperspectral Imagery for Monitoring Salinized Soil Moisture Content Using Fractional Order Differentially Optimized Spectral Indices
 
 
Font Type:
Arial Georgia Verdana
Font Size:
Aa Aa Aa
Line Spacing:
Column Width:
Background:
Article

Using an ETWatch (RS)-UZF-MODFLOW Coupled Model to Optimize Joint Use of Transferred Water and Local Water Sources in a Saline Water Area of the North China Plain

1
Key Laboratory for Agricultural Water Resources, Hebei Key Laboratory for Agricultural Water-Saving, Center for Agricultural Resources Research, Institute of Genetics and Developmental Biology, Chinese Academy of Sciences, Shijiazhuang 050021, China
2
University of Chinese Academy of Sciences, Beijing 100049, China
3
Hebei Geological Environment Monitoring Institute, Shijiazhuang 050021, China
4
Hebei Hydrographic Bureau, Shijiazhuang 050021, China
5
School of Land Science and Space Planning, Hebei GEO University, Shijiazhuang 050021, China
*
Author to whom correspondence should be addressed.
Water 2020, 12(12), 3361; https://doi.org/10.3390/w12123361
Submission received: 30 October 2020 / Revised: 21 November 2020 / Accepted: 23 November 2020 / Published: 30 November 2020
(This article belongs to the Section Water Use and Scarcity)

Abstract

In the saline water area of our research, deep groundwater was over-pumped for agricultural irrigation which resulted in a decline of the deep groundwater level and an increase in the shallow groundwater table. Soil salination was also aggravated due to the strong evapotranspiration (ET) in the shallow groundwater areas, where ET removes water vapor from the unsaturated zone (ETu), and the groundwater (ETg). Joint utilities of multiple water sources of transferred water and local shallow and deep groundwater are essential for reasonable management of irrigation water. However, it is still difficult to distinguish ETu and ETg in coupled management of unsaturated zone and groundwater, which account for the water balance in utilities of multiple water sources in a regional scale. In this paper, we used an RS-based ETWatch model as a source of evapotranspiration data coupled with UZF-MODFLOW, an integrated hydrological model of the unsaturated–saturated zone, to estimate the ETg and ETu on a regional scale. It was shown that the coupled model (ETWatch-UZF-MODFLOW) avoids the influence of ETu on the groundwater balance calculation and improves the accuracy of the groundwater model. The model was used in the simulation and prediction of groundwater level. The eastern North China Plain (NCP) was selected as the study area where shallow groundwater was saline water and deep groundwater cone existed. We compared four different scenarios of irrigation methods, including current irrigation scenario, use of saline water, limited deep groundwater pumping, use of multiple water sources of transferred water and local groundwater. Results indicate that the total ETg for the four scenarios in the study area from 2013 to 2030 is 119 × 108 m3, 81.9 × 108 m3, 85.0 × 108 m3, and 92.3 × 108 m3, respectively, and the proportion of ETg to total ET was 6.85%, 4.79%, 4.97%, 5.37%. However, in regions where the groundwater depth is less than 3 m, ETg accounts for 12% of the total ET, indicating that groundwater was one of the main sources of evapotranspiration in shallow groundwater depth area.

1. Introduction

Water scarcity has become the biggest challenge to global agricultural development [1]. With a third of the population in developing countries living in water-scarce areas, fifty-four percent of agriculture is also located in water-scarce areas [2,3]. Agricultural irrigation has led to the unsustainability of groundwater in many regions of the world, such as India, Pakistan, Saudi Arabia, Mexico, China of the North China Plain [4,5,6,7,8,9]. Particularly in areas with a shallow groundwater depth, saline water is distributed widely. Evaporation in these areas is much greater than precipitation and irrigation is the only way to sustain crop growth. Joint use of transferred water and local water sources in a saline water area is important for the optimal management of agricultural irrigation imperative. However, utility of deep fresh groundwater or transferred water in agriculture disturbs the water balance of saline areas. Therefore, evaluating the water balance of a saline water area is very important for sustainable development of water resources.
Due to the shallow groundwater depth, evapotranspiration (ET) plays a great role on water balance during water utilities of different water sources in agricultural irrigation. Many previous research computed irrigation water consumption (IR) from the difference between the parameters of regional crop evapotranspiration (ETc) and effective precipitation (efP) (IR = ETcefP) [10,11,12]. The reason for this calculation is that most of the water in the farmland is consumed in the form of evapotranspiration. Therefore, accurate estimation of ET in large irrigated agricultural areas is essential for the assessment and management of agricultural water resources during food production [13].
ET is composed of the physical process of evaporation and the biological process of transpiration [14]. ET includes surface evaporation (Es), evaporation of water from below the ground surface (Ess), and transpiration of water by plants (Tss). The latter two were together defined as subsurface evapotranspiration (ETss) [15], which includes groundwater evapotranspiration (ETg) and unsaturated water evapotranspiration (ETu) [16]. It was difficult to distinguish between ETg and ETu in remote sensing [17,18]. Generally, ETg is ignored in estimations of water losses. Not only will it increase the amount of unnecessary irrigation, but it will also increase the error in groundwater balance calculations. Recent studies demonstrated that our understanding of subsurface evaporation processes under drought conditions is still incomplete because it may be underestimated due to the underestimation of groundwater evaporation [19,20,21,22,23].
Groundwater evapotranspiration is an important component of the hydrological cycle. It is one of the main sources of regional evapotranspiration and major groundwater consumption in areas with shallow groundwater table [24,25]. In the saline area, water was returned if irrigation with deep groundwater increased the shallow groundwater level, which in turn leads to soil salinization and ecological degradation [26,27,28]. ETg evaporates upwards through plant roots [29], and the shallower water table makes the proportion of ETg in ET become higher. Therefore, ETg estimates are necessary for the sustainable use of groundwater resources. In addition, ETg and ETu estimations are also important for understanding the efficient use of unsaturated zone water by plants [30].
Though remote sensing provides accurate ET estimates for large regions, continents or the entire land surface [31,32,33,34], it is difficult to quantify and distinguish ETg and ETu in large irrigated agricultural fields (regional scale)—both of which are affected by the length of plant roots and the depth of groundwater. A method for accurate quantification of ETg and ETu at the regional scale is urgently needed. This method should be based on ET data with good spatial heterogeneity, crop distribution data, and should take into account the shallow groundwater table. Accurate calculation of ETg can be used to refine cropland water balance calculations for shallow groundwater to improve the accuracy of groundwater models with high accuracy. A high precision groundwater model can optimize irrigation measures and water resource management, and better reflect the fluctuation of groundwater table, providing data support for soil salinization management [15,35,36].
In recent years, Remote sensing (RS) has played an increasingly important role in providing spatio-temporal information for water resource evaluation and management [37]. However, remote sensing technology is mostly used for the acquisition of surface data, including digital elevation derivatives, land use/cover, spatio-temporal rainfall and evapotranspiration evaluations [38]. These remote sensing data are often used for coupling of surface water models. However, the RS contribution to groundwater hydrology and groundwater resource evaluation is less distinct, and is therefore less well known [39]. This is because the coupling of RS data to groundwater models requires consideration of the unsaturated zone data for connection. The data in the unsaturated zone are usually not directly monitored by RS technology. Therefore, it is unreasonable to simply couple RS data with groundwater models while ignoring the spatial heterogeneity of the unsaturated zone and its internal moisture variation.
The lowland area of the North China Plain is located in the east-central part of the North China Plain (NCP), which has large areas of low and medium-yielding farmland, and is a key area for regional agricultural development, as well as a major area for the Bohai Sea Granary Science and Technology Demonstration Project to increase grain production. The goal of the Bohai Sea Granary Science and Technology Demonstration Project is to increase grain production in low and medium-yielding fields, and is expected to increase grain production in the Bohai region by five billion kilograms by 2020 [40], which is of great significance for ensuring national food security. However, agricultural irrigation is the key to guaranteeing high and stable grain production, and the eastern area of the NCP is also an area with a severe shortage of freshwater resources, with per capita water resources per unit acreage in the region being only 1/12 of the national level [41], making it one of the most water-scarce regions in China.
Therefore, in this paper, ETWatch, a remote sensing product, is coupled with an integrated hydrological model including unsaturated zone water (UZF package) and groundwater (MODFLOW). Wu et al. [42,43] ever reported a brief description of ETWatch and its application in monitoring regional evapotranspiration. UZF packages use kinematic wave approximation of the one-dimensional Richards’ equation through a homogeneous unsaturated zone and can provide a method that is well suited to large-scale models (field scale, regional scale) [44]. PTF functions can provide soil water parameters with fine spatial discretization, which can help to calculate the spatial distribution and variation of water content in unsaturated zone, and thus significantly improve the accuracy of this regional scale coupling model. The coupled model will be applied in the eastern area of the NCP, where deep groundwater was over-exploited for agricultural irrigation since the saline area distributed widely in shallow groundwater.

2. Materials and Methods

2.1. Study Area

The study area is located in the Cangzhou city which is in the eastern North China Plain (NCP) (37°30′–39°0′ N, 115°42′–117°58′ E) (Figure 1). The slope of the area varies from 1/8000 to 1/15,000. The ground elevation is 2–15 m. The climate is a warm temperate sub-humid continental monsoon climate with a perennial average temperature of 12.2°. It is cold and dry in winter and hot and rainy in summer. The mean annual precipitation in the area varies from 400 to 500 mm, more than 80% of which is received during July–September period. The mean annual evaporation is 1919 mm, with 34.5%, 36.9%, 20.7%, and 7.9% occurring in spring, summer, autumn, and winter, respectively [45].
The predominant sedimentary strata in the eastern NCP area are quaternary loose sedimentary strata with a thickness of about 350–550 m, with each stratum being a single layer (Figure 1). The aquifer is mainly silt and fine sand. The main stratigraphy is composed of unconsolidated sediments of Q4 origin. Four (I, II, III, and IV) aquifer layers consist of silty clay and clay [46]. Holocene Series aquifer group (depth of the aquifer floor is about 40 m, salty water type), Upper Pleistocene Series aquifer group (depth of the aquifer floor is about 120–250 m, salty water type), Middle Pleistocene Series III aquifer group (depth of the aquifer floor is 350–430 m, freshwater type), Lower Pleistocene Series aquifer group (depth of the aquifer floor is 350–550 m, freshwater type) (Figure 2). Shallow aquifer includes Layers I and II, which is mainly composed of salty water and the degree of exploitation is relatively low. Deep aquifer includes Layers III and IV with freshwater and it is the main pumping layer in the study area [46,47,48].
The volumes of groundwater exploitation in 2011 and 2012 were 10.75 × 108 m3 and 10.70 × 108 m3, respectively, 73% and 72% of which were pumped for agricultural exploitation. The amounts of groundwater exploited from shallow aquifers in these two years are 3.5 × 108 m3 and 3.2 × 108 m3, respectively, accounting for about 32.5% and 29.9% of total groundwater exploitation. Due to the widely distributed salty water, the extent of exploitation of shallow groundwater was low. Groundwater exploitation in the study area is mainly concentrated in the deep aquifer group.
The main crops in the study area are wheat–maize and cotton, and their distribution is shown in Figure 3.

2.2. Model Description

In this paper, remote sensing data and pedo transfer function parameters proposed by Zhang and Marcal [50] at the regional scale were coupled with the groundwater model to calculate the ETg (Figure 4). ETWatch, an ET monitoring system based on remote sensing technology, is a data source for ET. In addition, there is the modflow-unsaturated zone flow (UZF) package to determine the proportion of ETg and ETu in ET, respectively (Figure 5). This coupled model was used in the simulation and prediction of groundwater irrigation in the eastern NCP to test performance. ETWatch and Pedo transfer function parameters are both the work of others and are available to us as mature tif-formatted data products; we use ArcGIS as a tool to slice these spatial data according to a grid of groundwater models and calculate each grid for each stress period. Pedo transfer function parameters are global data and can be used for any regional study; while ETWatch is a regional product, other remote evapotranspiration data products such as MODIS, SEBAL, etc., can be used instead of ETWatch for model coupling.

2.2.1. ETWatch

A brief description of ETWatch and an application for monitoring regional evapotranspiration were reported by Wu et al. [42,43]. ETWatch integrates SEBAL and surface energy balance system (SEBS) to estimate surface fluxes under clear-sky conditions together with the Penman–Monteith approach to calculate daily ET, based on a surface resistance model, meteorological data and surface parameters from remote sensing. A brief description of ETWatch is given in the following text, and the main procedure is demonstrated in Figure 6.

2.2.2. UZF Package and Pedo Transfer Functions Parameters

Unsaturated-zone flow processes are simulated using the UZF1 package of MODFLOW [53]. UZF1 uses the method of characteristics for solving a kinematic wave approximation for one-dimensional downward vertical flow in the unsaturated zone that is derived by neglecting the diffusive term in Richards’ equation. UZF1 also relies on the assumption of uniform hydraulic properties in the unsaturated zone for each vertical column of model cells [54]. The unsaturated-zone flow equation solved by UZF1 that is coupled to the groundwater flow equation is
θ t + K ( θ ) z + q E T = 0
where θ is volumetric water content in the unsaturated zone [L3·L−3], K(θ) is the vertical hydraulic conductivity as a function of θ[L·T−1], and qET is the rate of ET removal from the unsaturated zone above the water table (expressed per unit depth [L·T−1·L−1]). The kinematic-wave equation provides an efficient method for simulating unsaturated-zone flow, ET, and recharge over regional scales. If ET potential is not satisfied by unsaturated-zone water, then MODFLOW-NWT also can simulate ET derived from groundwater upfluxon the basis of a linear function of water table depth [55]. Additional detail of the approach used in UZF1 and its advantages are described in Niswonger et al. [53] and Niswonger and Prudic [56].
Eastern NCP was discretized into 3 layers, according to the lithology of sediments and aquifer characteristics. The first layer was the salty water aquifer. The second and third aquifer was the confined aquifer. The grid size of the simulation area is set as 1500 m × 1500 m, with a total subdivision into 111 rows × 126 columns, 7201 active units. The calibration period of model simulation is from January 2011 to December 2011. Each stress period is the corresponding natural month and the time step is one day. The validation period of the model is from January 2012 to December 2012, and each stress period is the corresponding natural month, and the time step is one day.

2.2.3. MODFLOW-NWT

MODFLOW-NWT is a Newton–Raphson formulation for MODFLOW-2005 to improve solution of unconfined groundwater-flow problems. MODFLOW-NWT is a standalone program that is intended for solving problems involving drying and rewetting nonlinearities of the unconfined groundwater-flow equation. The model is based on solving the 3D partial differential equation of groundwater flow using the finite-difference method. The governing equation for groundwater flow is as follows [57],
x ( K x x h x ) + y ( K y y h y ) + z ( K z z h z ) + W = S s h t
where Kxx, Kyy, Kzz are values of hydraulic conductivity along the x, y, z coordinate axes, which are assumed to be parallel to the major axes of hydraulic conductivity (L·T−1); h is the groundwater level (L); W are the source/sink terms, with W < 0 for flow out of the groundwater system, and W > 0 for flow into the system (T−1); Ss is the specific storage of the porous material (L−1); t is time (T). The source code of MODFLOW is open and easily accessible. Various packages have been readily incorporated into the MODFLOW to treat the different boundary conditions and the source/sink terms, typically as the packages of Recharge (RCH), Well (WEL), River (RIV), Drainage (DRN) and Evapotranspiration segments (ETS). MODFLOW has become a powerful and widely used tool in hydrological or hydrogeological competition research and groundwater management [53].

2.3. Data

The data required for model construction include elevation data, meteorological data, groundwater table data, land use data, crop planting data, pumping data, and hydrogeological parameters. The meteorological data are precipitation, temperature, humidity, etc., which are obtained from the China Meteorological Administration. Daily data from 21 weather stations in 2001–2015 (Figure 1) were obtained. Pumping data from 2011 to 2012 are from Chinese Water Resources Bulletin. The groundwater table data were obtained from the Hebei Provincial Bureau of Hydrological and Water Resources Survey, China, and mainly includes 19 groundwater table observation wells in layer and 11 water table observation wells in layer, the observation time scale is 6 or 10 days. Land use and crop planting data are referenced to previous studies [49,56]. The initial values of hydrogeological parameters are mainly set with reference to the results of previous research [46,57,58,59,60].
In addition, Zhang and Marcal [50] applied PTF (Pedo transfer functions) to a high-resolution (1 km) global database of soil properties and generated the corresponding high-resolution maps, including estimated Kosugi parameters, saturated hydraulic conductivity, derivatives such as field moisture capacity, wilting point, plant available water, etc. In this paper, the soil parameters in the UZF model, including saturated water content θs and residual water content θr, were from the research results of Zhang and Marcal. They provided a download of the results at https://doi.org/10.7910/DVN/UI5LCE.

2.4. Numerical Hydrological Model, Calibration and Validation

2.4.1. Initial Conditions and Lateral Boundary

Initial groundwater level: The initial groundwater level of the aquifer was obtained using the Kriging interpolation method, based on groundwater level data from January 2011. The lower limit of plant available water (wilting coefficient) for the study area was used as the initial soil water content for the UZF calculation. The lower limit value of plant available water (wilting coefficient) diagram was obtained from the calculation results of Zhang and Marcal [50].
Lateral boundary conditions: The shallow groundwater in the study area generally flows from southwest to northeast, and there is a groundwater table depression cone in the western part of Suning county and the southern part of Nanpi county, where the groundwater near the cone converges to the cone center; the deep groundwater flows mainly from all directions to the complex cone center Qingxianand Cangxian counties (Figure 1), and according to the groundwater flow map of the study area, Darcy’s law is used to determine the lateral recharge and discharge of the boundary. The finite-difference method is used in the model, so the boundaries are regular meshes. The large size of the regular meshes will make the mesh boundaries vary greatly from the actual boundaries, so we refine the boundary meshes to improve the accuracy of the boundaries. Since the boundaries are mostly constant head boundaries and general head boundaries, the refinement of the mesh boundaries does not make it more difficult to set the boundaries when the values are given. We set up some wells along the general head boundary and conduct pumping tests to get more accurate hydrogeological parameters to calculate the boundary flow.

2.4.2. Sinks and Sources

Recharge from Rainfall
Infiltration is the most important recharge in the study area, which is mainly affected by rainfall, shallow aquifer’s depth and the lithology of the vadose zone. Groundwater recharge from field irrigation was calculated as follows,
Q pr e = i = 1 n α i P i F i
where Qpre is the amount of precipitation recharge (m3), αi is the precipitation infiltration coefficient corresponding to region i, Pi is the amount of precipitation in region i (m), Fi is the calculated area of area i (m2).
The rainfall infiltration coefficient is influenced by many factors, such as precipitation characteristics, soil infiltration performance, ground surface conditions, and submerged depth, etc. The choice of the rainfall infiltration coefficient in this study is mainly based on the previous research results of the hydrogeological zones of the North China Plain [46] (Table 1).
Recharge from the Leakage of Reservoir, Lake and River
The Dalangdian reservoir (Figure 1) has been diverting water from the Yellow River since 1997. From 2011 to 2015, the annual storage leakage of the Dalangdian reservoir was about −0.4 × 108m3 (monitoring reports from local governments, 2016).
We used the runoff data from hydrology stations to calculate the amount of leakage by the water balance method, and inputted leakage data into the river package.
Groundwater Pumping Data
The pumping data were from the hydrology department of the local government; they included annual pumping data of 20 counties in eastern NCP.

2.4.3. Calibration and Validation

The monthly groundwater level (GWL) data from 59 observation wells (during the period 2011–2012) were used to calibrate and validate the model. The simulated GWLs were thus aggregated into the monthly values for comparison. The observed daily dataset in 2011 and in 2012 were applied, respectively, for model calibration and validation. Parameters referring to the hydraulic conductivity and specific yield were calibrated through an iterative process using a trial-and-error method; they were relatively uncertain in the study area. The amount of water pumped from the wells were not calibrated either; the only pumping data we obtained was the overall water consumption of the farmland in a region, but the distribution of wells we cannot specify, so we completed the calibration process by redistributing the amount of water pumped from each pumping well. The root mean square (RMS), normalized root mean square (NRMS), and the correlation coefficient were used as indicators of goodness of fit.

2.5. Scenarios Setting

In the eastern NCP, the most traditional and dominant irrigation method was pumping the deep aquifer’s groundwater. Pumping deep aquifer for irrigation has led to deep aquifer groundwater levels continuously declining and the formation of large groundwater cones. The joint utilization of multiple water sources in agriculture was to solve the water shortage of eastern NCP.
The government has limited or forbidden exploitation of deep groundwater in some groundwater cone area during recent years. Additionally, the transfer of the Yellow River water to the lowland area of the NCP is part of South-to-North Water Transfer Project [48]. Much water transferred from the Yellow River into the lowland area will be used for agricultural irrigation in the future. In addition to transferred water, combined use of salty water from shallow aquifers with fresh water from deep aquifers for irrigation is a very good method. It can not only reduce the shallow groundwater level and alleviate soil salinization, but also save deep freshwater resources.
The use of saline water for irrigation purposes is increasingly popular in some countries and regions including India, China, Italy, and the USA [61,62,63,64]. Particularly, drip irrigation with saline water was widely applied to reclaim saline soil for planting cotton in the semiarid and arid saline–alkali region of China [65,66], and for constructing ecological landscapes in coastal regions [67,68].
Therefore, four scenarios of agricultural water use are set up to simulate the influence of various agricultural water use methods on groundwater. These scenarios considered current water consumption, limiting pumping of deep groundwater and combined utilization of salty water and transferred water (Table 2).
For scenario 1, only groundwater is used. According to the amount and location of groundwater pumping in 2012, the change in groundwater level was predicted.
For scenario 2, saline water and deep groundwater are used. According to previous research on saline water irrigation, saline water of shallow aquifer can be used to replace deep aquifer’s fresh water during wheat irrigation [69]. It was estimated that the amount of deep aquifer’s fresh water replaced by shallow saline water was 1.65 × 108 m3 if the planted area of winter wheat in the study area replaced irrigation of deep fresh groundwater with shallow saline water.
For scenario 3, transferred water and groundwater are used. The amount of various water-saving measures (such as agricultural planting structure adjustment, water and fertilizer integration technology, conservation tillage project, sprinkling irrigation and drip irrigation) and external water diversion (from the Yellow River, Zhanghe river and reservoirs) was used to replace the local groundwater irrigation(Table 2).Water saved by agricultural water-saving measures 0.88 (108 m3), deep aquifer’s fresh water replaced by shallow saline water 0.46 (108 m3).
For scenario 4, saline water, surface water and deep groundwater are used in combination. The water-saving measures in scenario 2 and 3 are adopted, and the amount of industrial and domestic groundwater consumption to be replaced by the South-to-North water diversion project is calculated. Total industrial and domestic water consumption is 267 × 108 m3.

3. Results and Discussion

3.1. Model Calibration and Validation

The model was calibrated and validated by daily GWL data (2011–2012) from 41 observation wells in aquifer I and 18 observation wells in aquifer II. Data observed in 2011 and 2012 were used for model calibration and validation, respectively (Figure 7). For calibration period, the RMS was 4.761 m, NRMS was 4.62% and correlation coefficient was 0.985. For validation period, the RMS was 2.863 m, NRMS was 2.75% and correlation coefficient was 0.996. The RMS indicated the difference value for all observation wells; it was the most important criterion for model accuracy.
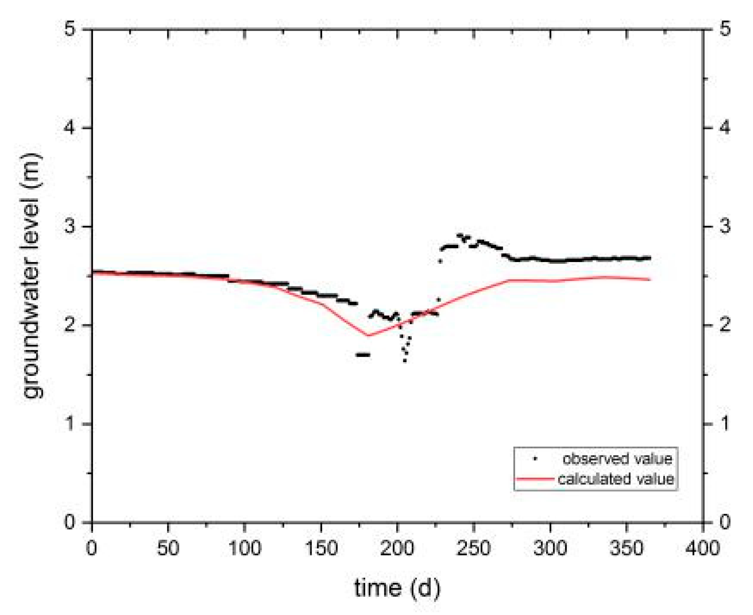
Comparison between the simulated and observed GWLs for some observation wells during the simulation period (2011–2012) is described in Figure 8. These observation wells are located in different areas of the study area. Results showed that the simulated GWLs matched well with the observed ones both for calibration and validation. This indicates that the groundwater model coupled with the ETWatch has good performance results. Inter annual patterns of groundwater level variation (water level rise after the rainy season) are well fitted with small errors. The discrepancy between simulated and observed data is primarily due to the simulated data, but rather the inaccuracy of the observed data. The observed groundwater level fluctuates several times during the year, mainly because we do not have dedicated observation wells, some of the groundwater level probes are installed in wells near residential areas, and although these areas are centrally water supplied, the wells are still used (for non-agricultural purposes). Therefore, there are temporary fluctuations in the observed groundwater level data, whereas we mainly simulate the overall trend of the groundwater level over the entire hydrological year, and these temporary fluctuations can be ignored because such short-term fluctuations do not affect the pattern of the groundwater level over the entire hydrological year. In addition to these small fluctuations that cannot be fitted, the overall discrepancy between simulated and observed data may be due to the accuracy of our initial data.
Spatial distribution of the main calibrated hydrogeological parameters (i.e., Kx and Sy) is presented in Figure 9.
We have many years of experimental experience in this area and have accumulated a large number of measured data to calculate the value of the conductivity coefficient. In addition, we use a pumping test to calculate the hydraulic conductivity of the area without data, and we interpolate the hydraulic conductivity of this area according to the measured hydraulic conductivity and the collected data. The hydraulic conductivity in this region is basically isotropic, so KX = KY. The reason for setting Kx = Ky = 10Kz is that the model has three aquifers, and the value of Kz averages the hydraulic conductivity of the aquifer and the aquitard; we define the value of Kz in this way because we do not consider the vertical flow within the aquifer.

3.2. Prediction of Groundwater Dynamics and Simulation with Different Irrigation Scenarios

By using the calibrated ETWatch-UZF-MODFLOW model, the groundwater level of eastern NCP from 2013 to 2020 was run to show the dynamics of shallow groundwater affected by different utilization of agricultural irrigation ways. Figure 10 shows the shallow groundwater table in 2018, 2024, and 2030 for four scenarios, respectively. The flow direction of shallow groundwater is mainly from Southwest to Northeast. In the western part of the area, the groundwater depth is morethan5 m, while the groundwater depth in the eastern coastal area is less than 5 m, and the shallowest part is less than 1 m. Ground water depth and evapotranspiration are closely related.
The simulation results show that the groundwater table varies little. Groundwater table of Scenarios 2 and 4 declined due to the combined irrigation of shallow saline groundwater in these two scenarios. Additionally, groundwater table in the eastern area in 2030 is about 1–2 m lower than that in 2012. For Scenarios 1 and 3, intensive irrigation (deep groundwater and surface water sources) results in a further increase in the shallow groundwater level in the eastern region, which will accelerate the local soil salinization extent (Figure 10 and Figure 11).

3.3. Evapotranspiration Lost from Unsaturated Zone and Groundwater

The water balance of unsaturated zone and saturated zone can be calculated by using the combined ETWatch-UZF-MODFLOW model. This was used for estimating the water loss of the study area in detail.
For the water balance in the unsaturated zone, the main input sources of water are rainfall and irrigation. The total infiltration amounts of the unsaturated zone under the four scenarios are almost the same, 1630 × 108 m3, while the leakage from the unsaturated zone to groundwater is about 0.45 × 108 m3. It indicates that water in the unsaturated zone is mainly lost by evapotranspiration and the majority of irrigation water is used to meet crop evapotranspiration. Since a large proportion of this freshwater for soil evaporation and crop transpiration comes from deep groundwater, i.e., evapotranspiration from agricultural cultivation leads to a negative deep groundwater balance, it cannot be fundamentally altered by current water conservation measures. As a result, the current mode of agricultural production will inevitably lead to a continuous decline in local groundwater.
The total evapotranspiration in the study area for the four scenarios during the simulation period is 1740 × 108 m3, 1710 × 108 m3, 1710 × 108 m3, 1720 × 108 m3, of which evapotranspiration lost from the unsaturated zone is 1620 × 108 m3, 1630 × 108 m3, 1620 × 108 m3, 1630 × 108 m3, and evapotranspiration from groundwater is 119 × 108 m3, 81.9 × 108 m3, 85.0 × 108 m3, and 92.3 × 108 m3, respectively. Evapotranspiration from groundwater accounted for 6.85%, 4.79%, 4.97%, and 5.37% of the total evapotranspiration, respectively. This shows that the proportion of evapotranspiration from groundwater is not high. This is mainly due to the relatively large span of groundwater depth in the evaluation area. In the west part of the study area, groundwater table also declined (lower than 5 m) due to the over-pumping of deep groundwater. This depth was larger than the extent depth of evaporation of groundwater (Wang et al., 2008). However, groundwater table in the east part was shallow, which accelerated the evaporation from groundwater. Additionally, soil salination was much deteriorated, where combined utilization of transferred water, salty water and deep fresh water is necessary.
To further investigate groundwater evapotranspiration in the west of the study area, an offshore subarea with a groundwater depth of less than 3 m was delineated in the study area. Under the irrigation conditions in Scenario 3, the total groundwater evapotranspiration (ETa) in this subarea is 499 × 108 m3; the evapotranspiration from the unsaturated zone (ETu) and from groundwater (ETg) are 440 × 108 m3 and 595 × 108 m3, respectively. There was12% of ETa that was lost by groundwater (Figure 12). The large percentage was caused by the local water table depth, cultivated acreage, planting structure, irrigation and rainfall. At the same time, these data can provide a reference basis for the construction of groundwater model and water balance calculation in the coastal region of the North China Plain.

3.4. Optimal Agricultural Irrigation Ways Based on Analysis of Groundwater Balance

Results of groundwater balance was calculated and demonstrated in Figure 13. The equilibriums of the four scenarios are −327 × 108 m3, −287 × 108 m3, −272 × 108 m3, and −257 × 108 m3, respectively. All scenarios show negative water equilibrium during 2013–2030, suggesting the consuming of water resources in this region. This reflects the impact of the various water conservation measures on water balance. Comparing with the current ways of water utilization, Scenario 2, Scenario 3, and Scenario 4 can save 40.4 × 108 m3, 55 × 108 m3, and 69.9 × 108 m3 of water over 18 years, respectively. Joint use of multiple water sources of Scenario 4 saves a maximum of 69.9 × 108 m3; it is still smaller than the total deficit of −257 × 108 m3.Therefore, the trend of groundwater level decline continues due to deep groundwater abstraction. It shows that the total abstraction of groundwater for the four scenarios are 225 × 108 m3, 221 × 108 m3 (including shallow groundwater pumping of 1.45 × 108 m3), 203 × 108 m3, 180 × 108 m3(including shallow groundwater pumping of 1.45 × 108 m3) (Figure 13).
Although the sources of irrigation water for the four scenarios vary greatly, the total amount of irrigation water is the same for all four scenarios under the current cultivated acreage and cropping structure (to ensure normal crop growth), and the similarity of the simulation results for the four scenarios indicates that the total amount of irrigation determines the overall trend of the local groundwater flow field (especially the shallow aquifer). From the simulation results, the difference in the flow field between the four scenarios is not very large, and the direction of groundwater flow is basically the same for all four scenarios. Scenario 4 can slow down the rate of decline of deep groundwater and reduce the shallow groundwater table in the study area. Therefore, it was referred to as the optimal irrigation method to be used in the eastern NCP, even though the groundwater decline continues.

3.5. The Strengths and Limitations of the Coupled Model

We have developed an unsaturated–saturated zone coupled model; the important value of this model is its coupling of remote sensing data to the integrated hydrological model and remote sensing data, which has an irreplaceable advantage in reflecting the spatial heterogeneity of regional models, so the coupled model improves the accuracy of the hydrological model at aregional scale. The limitation of the model is that the PTF functions can only specify the parameters of the shallow unsaturated zone, which makes this model not effective in improving the accuracy of water level calculation in thick vadose zone area. The accuracy of the ETWatch data and the PTF function parameters we use are both at the kilometer level, so our model grid setting is also at the kilometer level. The data accuracy limited the refinement of the model.

4. Conclusions

In this paper, we developed an ETWatch-UZF-MODFLOW coupled model to predict the sustainability of groundwater under the current irrigation strategy (Scenario 1) in the eastern North China Plain. It also aimed to evaluate the effectiveness of three different combined multiple water use irrigation strategies (Scenarios 2, 3 and 4). During the construction of the model, remote sensing evapotranspiration data (ETWatch) were used instead of meteorological station scatter data, and the PTF function calculations were used to support the parameters required for the calculation of groundwater budget in the unsaturated zone. These data integration methods provide a new approach to the construction of integrated unsaturated zone–groundwater hydrological models at the regional scale and under irrigation conditions. The calculated results obtained from the ETWatch and PTF function can reflect the evapotranspiration on a regional scale and spatial heterogeneity of soil parameters. Meanwhile, the UZF package can distinguish ETg and ETu, avoiding the influence of ETu on groundwater balance calculations and further improving the groundwater balance calculations for shallow aquifers, and these calculations can significantly improve the fitting accuracy of the groundwater model.

Author Contributions

Conceptualization, S.W.; Methodology, X.H. and W.F.; investigation, M.L. (Mengyu Lv); data curation, X.J. and M.L. (Mingliang Li); Writing—original draft preparation, X.H.; Writing—review and editing, project administration, S.W. All authors have read and agreed to the published version of the manuscript.

Funding

This research received no external funding.

Acknowledgments

This material is based on work supported by the Science and Technology Service Network (STS) Program of Chinese Academy of Sciences (KFJ-STS-ZDTP-053).

Conflicts of Interest

The authors declare no conflict of interest.

References

  1. Xue, J.Y.; Guan, H.D.; Huo, Z.L.; Wang, F.X.; Huang, G.H.; Boll, J. Water saving practices enhance regional efficiency of water consumption and water productivity in an arid agricultural area with shallow groundwater. Agric. Water Manag. 2017, 194, 78–89. [Google Scholar] [CrossRef]
  2. Rijsberman, F.R. Water scarcity: Factor fiction? Agric. Water Manag. 2010, 80, 5–22. [Google Scholar] [CrossRef]
  3. Vörösmarty, C.J.; Green, P.; Salisbury, J.; Lammers, R. Global water resources: Vulnerability from climate change and population growth. Science 2000, 289, 284–288. [Google Scholar] [CrossRef] [PubMed]
  4. Chen, J.; Li, J.; Zhang, Z.; Ni, S. Long-term groundwater variations in Northwest India from satellite gravity measurements. Glob. Planet. Chang. 2014, 116, 130–138. [Google Scholar] [CrossRef]
  5. Leblanc, M.; Tweed, S.; Van Dijk, A.; Timbal, B. A review of historic and future hydrological changes in the Murray–Darling Basin. Glob。 Planet. Chang. 2012, 80–81, 226–246. [Google Scholar] [CrossRef]
  6. Rodell, M.; Velicogna, I.; Famiglietti, J.S. Satellite-based estimates of groundwater depletion in India. Nature 2009, 460, 999–1002. [Google Scholar] [CrossRef] [PubMed]
  7. Scanlon, B.R.; Faunt, C.C.; Longuevergne, L.; Reedy, R.C.; Alley, W.M.; McGuire, V.L.; McMahon, P.B. Groundwater depletion and sustainability of irrigation in the US High Plains and Central Valley. Proc. Natl. Acad. Sci. USA 2012, 109, 9320–9325. [Google Scholar] [CrossRef]
  8. Wada, Y.; van Beek, L.P.H.; Bierkens, M.F.P. Nonsustainable groundwater sustaining irrigation: A global assessment. Water Resour. Res. 2012, 48, 335–344. [Google Scholar] [CrossRef]
  9. Wada, Y.; van Beek, L.P.H.; van Kempen, C.M.; Reckman, J.W.T.M.; Vasak, S.; Bierkens, M.F.P. Global depletion of groundwater resources. Geophys. Res. Lett. 2010, 37, L20402. [Google Scholar] [CrossRef]
  10. Castaño, S.; Sanz, D.; Gómez-Alday, J.J. Methodology for quantifying groundwater abstractions for agriculture via remote sensing and GIS. Water Resour. Manag. 2010, 24, 795–814. [Google Scholar] [CrossRef]
  11. Isidoro, D.; Quılez, D.; Aragüés, R. Water balance and irrigation performance analysis: LaViolada irrigation district (Spain) as a case study. Agric. Water Manag. 2004, 64, 123–142. [Google Scholar] [CrossRef]
  12. Merriam, J.L.; Burt, C.; Clemmens, A.; Solomon, K.; Howell, T.; Strelkoff, T. Irrigation performance measures: Efficiency and uniformity. J. Irrig. Drain. Eng. 1999, 125, 97–99. [Google Scholar] [CrossRef]
  13. Kang, S.Z.; Hao, X.M.; Du, T.S.; Tong, L.; Su, X.L.; Lu, H.N.; Li, X.L.; Huo, Z.L.; Li, S.E.; Ding, R.S. Improving agricultural water productivity to ensure food security in China under changing environment: From research to practice. Agric. Water Manag. 2017, 179, 5–17. [Google Scholar] [CrossRef]
  14. Lubczynski, M.W. The hydrogeological role of trees in water-limited environments. Hydrogeol. J. 2009, 17, 247–259. [Google Scholar] [CrossRef]
  15. Balugani, E.; Lubczynski, M.W.; Reyes-Acosta, L.; Van Der, T.C.; Francés, A.P.; Metselaar, K. Groundwater and unsaturated zone evaporation and transpiration in a semi-arid open wood land. J. Hydrol. 2017, 547, 54–66. [Google Scholar] [CrossRef]
  16. Lubczynski, M.W.; Gurwin, J. Integration of various data sources for transient groundwater modeling with spatio-temporally variable fluxes—Sardon study case, Spain. J. Hydrol. 2005, 306, 71–96. [Google Scholar] [CrossRef]
  17. Doble, R.C.; Crosbie, R.S. Review: Current and emerging methods for catchment-scale modelling of recharge and evapotranspiration from shallow groundwater. Hydrogeol. J. 2017, 25, 3–23. [Google Scholar] [CrossRef]
  18. Doble, R.C.; Pickett, T.; Crosbie, R.S.; Morgan, L.; Turnadge, C.; Davies, P. Emulation of recharge and evapotranspiration processes in shallow groundwater systems. J. Hydrol. 2017, 555, 894–908. [Google Scholar] [CrossRef]
  19. Soylu, M.; Istanbulluoglu, E.; Lenters, J.; Wang, T. Quantifying the impact of groundwater depth on evapotranspiration in a semi-arid grassland region. Hydrol. Earth Syst. Sci. 2011, 15, 787–806. [Google Scholar] [CrossRef]
  20. Smits, K.M.; Cihan, A.; Sakaki, T.; Illangasekare, T.H. Evaporation from soils under thermal boundary conditions: Experimental and modeling investigation to compare equilibrium-and none quilibrium-based approaches. Water Resour. Res. 2011, 47, W05540.1–W05540.14. [Google Scholar] [CrossRef]
  21. Zeng, Y.; Su, Z.; Wan, L.; Wen, J. A simulation analysis of the advective effect on evaporation using a two-phase heat and mass flow model. Water Resour. Res. 2011, 47, W10529. [Google Scholar] [CrossRef]
  22. Li, H.; Wang, W.; Zhan, H.; Qiu, F.; An, L. New judgement on the source of soil water in extremely dry zone. Acta Ecol. Sin. 2010, 30, 1–7. [Google Scholar] [CrossRef]
  23. Balugani, E.; Lubczynski, M.W.; Metselaar, K. A framework for sourcing of evaporation between saturated and unsaturated zone in bare soil condition. Hydrol. Sci. J. 2014, 61, 1981–1995. [Google Scholar] [CrossRef]
  24. Babajimopoulos, C.; Panoras, A.; Georgoussis, H.; Arampatzis, G.; Hatzigiannakis, E.; Papamichail, D. Contribution to irrigation from shallow water table under field conditions. Agric. Water Manag. 2007, 92, 205–210. [Google Scholar] [CrossRef]
  25. Yeh, P.J.F.; Famiglietti, J.S. Regional groundwater evapotranspiration in illinois. J. Hydrometeorol. 2009, 10, 464–478. [Google Scholar] [CrossRef]
  26. Clemmens, A.J.; Allen, R.G. Impact of Agricultural Water Conservation on Water Availability; American Society of Civil Engineers: Reston, VA, USA, 2005; pp. 1–14. [Google Scholar]
  27. Feng, E.X.; Li, X.W. Dialectical analysis of the relation between water resources shortage and ecosystem environment problem in Heihe River Basin. Inner Mong. Petrochem. Ind. 2005, 3, 1–4. (In Chinese) [Google Scholar]
  28. Jhorar, R.K.; Smit, A.A.M.F.R.; Roest, C.W.J. Assessment of alternative water management options for irrigated agriculture. Agric. Water Manag. 2009, 96, 975–981. [Google Scholar] [CrossRef]
  29. Wang, X.; Huo, Z.; Feng, S.; Guo, P.; Guan, H. Estimating groundwater evapotranspiration from irrigated cropland in corp orating root zone soil texture and moisture dynamics. J. Hydrol. 2016, 543, 501–509. [Google Scholar] [CrossRef]
  30. Rockstrom, J. Water for food and nature in drought-pron etropics: Vapour shift in rain-fed agriculture. Philos. Trans. R. Soc. B Biol. Sci. 2003, 358, 1997–2009. [Google Scholar] [CrossRef]
  31. Glenn, E.P.; Doody, T.M.; Guerschman, J.P.; Huete, A.R.; King, E.A.; McVicar, T.R.; Van Dijk, A.I.J.; Van Niel, T.G.; Yebra, M.; Zhang, Y.Q. Actual evapotranspiration estimation by ground and remote sensing methods: The Australian experience. Hydrol. Process. 2011, 25, 4103–4116. [Google Scholar] [CrossRef]
  32. Kalma, J.D.; McVicar, T.R.; McCabe, M.F. Estimating land surface evaporation: A review of methods using remotely sensed surface temperature data. Surv. Geophys. 2008, 29, 421–469. [Google Scholar] [CrossRef]
  33. Mu, Q.; Zhao, M.; Running, S.W. Improvements to a MODIS global terrestrial evapotranspiration algorithm. Remote Sens. Environ. 2011, 115, 1781–1800. [Google Scholar] [CrossRef]
  34. Yebra, M.; Van Dijk, A.; Leuning, R.; Huete, A.; Guerschman, J.P. Evaluation of optical remote sensing to estimate actual evapotranspiration and canopy conductance. Remote Sens. Environ. 2013, 129, 250–261. [Google Scholar] [CrossRef]
  35. Shah, N.; Nachabe, M.; Ross, M. Extinction depth and evapotranspiration from groundwater under selected land covers. Groundwater 2007, 45, 329–338. [Google Scholar] [CrossRef]
  36. Gran, M.; Carrera, J.; Massana, J.; Saaltink, M.W.; Olivella, S.; Ayora, C.; Lloret, A. Dynamics of water vapor flux and water separation processes during evaporation from a salty dry soil. J. Hydrol. 2011, 396, 215–220. [Google Scholar] [CrossRef]
  37. Coelho, V.H.R.; Montenegro, S.; Almeida, C.N.; Silva, B.B.; Oliveira, L.M.; Gusmao, A.C.V.; Freitas, E.S.; Montenegro, A.A.A. Alluvial groundwater recharge estimation in semi-arid environment using remotely sensed data. J. Hydrol. 2017, 548, 1–15. [Google Scholar] [CrossRef]
  38. Schmugge, T.J.; Kustas, W.P.; Ritchie, J.C.; Jackson, T.J.; Rango, A. Remote sensing in hydrology. Adv. Water Resour. 2002, 25, 1367–1385. [Google Scholar] [CrossRef]
  39. Lekula, M.; Lubczynski, M.W. Use of remote sensing and long-term in-situ time-series data in an integrated hydrological model of the Central Kalahari Basin, Southern Africa. Hydrogeol. J. 2019, 27, 1541–1562. [Google Scholar] [CrossRef]
  40. Li, Z.S.; Ouyang, Z.; Liu, X.J.; Hu, C.S. Scientific basis for constructing the“BohaiSeaGranary”—Demands, potential and approaches. Bull. Chin. Acad. Sci. 2011, 26, 371–374. (In Chinese) [Google Scholar]
  41. Cao, C.Y.; Li, K.J.; Ma, J.Y.; Zheng, C.L. Utilization status and development potential of shallow salt water in Hebei low Plain. Anhui Agron. Bull. 2007, 13, 66–68. (In Chinese) [Google Scholar]
  42. Wu, B.F.; Xiong, J.; Yan, N. ETWatch: Models and methods. J. Remote Sens. 2011, 15, 224–239. [Google Scholar]
  43. Wu, B.F.; Yan, N.N.; Xiong, J.; Bastiaanssen, W.G.M.; Zhu, W.W.; Stein, A. Validation of ETWatch using field measurements at diversel and scapes: A ca se study in Hai Basin of China. J. Hydrol. 2012, 436–437, 67–80. [Google Scholar] [CrossRef]
  44. Niswonger, R.G.; Prudic, D.E.; Regan, R.S. Documentation of the Unsaturated-Zone Flow (UZF1) Package for Modeling Unsaturated Flow between the Land Surface and the Water Table with MODFLOW-2005; U.S. Geological Survey Techniques and Methods 6-A19; U.S. Geological Survey: Reston, VA, USA, 2006.
  45. Xu, L.J.; Li, H.C. Analysis of evaporation change characteristics of Cangzhou in recent 40years. J. Anhui Agric. Sci. 2013, 41, 9032–9034. (In Chinese) [Google Scholar]
  46. Zhang, Z.J.; Jia, Y.H. Investigation and Evaluation of the Sustainable Use of Groundwater in the North China Plain; Geological Press: Beijing, China, 2009. (In Chinese) [Google Scholar]
  47. Xing, Y.F. Study on the Analysis and Prediction and Evaluation of Influencing Factors of Ground Settlement in Cangzhou, China; China University of Mining and Technology: Beijing, China, 2017. (In Chinese) [Google Scholar]
  48. Kong, X.L.; Wang, S.Q.; Liu, B.X.; Sun, H.Y.; Sheng, Z.P. Impact of water transfer on interaction between surface water and groundwater in the low land area of North China Plain. Hydrol. Process. 2018, 32, 2044–2057. [Google Scholar] [CrossRef]
  49. Pan, X.P.; Li, G.X.; Liu, F.G.; Wu, X.F.; Kondoh, A.; Shen, Y.J. Using remote sensing to determine spatio-temporal variations in winter wheat growing area in the North China Plain. Chin. J. Eco-Agric. 2015, 23, 494–505. (In Chinese) [Google Scholar]
  50. Zhang, Y.G.; Marcal, G.S. A High-Resolution Global Map of Soil Hydraulic Properties Produced by a Hierarchical Parameterization of a Physically-Based Water Retention Model. Harv. Dataverse V1 2018. [Google Scholar] [CrossRef]
  51. Wu, B.F.; Xiong, J.; Yan, N.; Yang, L.; Du, X. ETWatch for monitoring regional evapotranspiration with remote sensing. Adv. Water Sci. 2008, 19, 671–678. [Google Scholar]
  52. Wu, B.F.; Xiong, J.; Yan, N.; Yang, L. ETWatch: An Operational ET Monitoring System with Remote Sensing. In Proceedings of the 2008ISPRS Workshop on Geo-information and Decision Support Systems, Tehran, Iran, 6–7 January 2008. [Google Scholar]
  53. Niswonger, R.G.; Prudic, D.E.; Pohll, G.; Constantz, J. Incorporating seepage losses into the unsteady streamflow equations for simulating intermittent flow along mountain front streams. Water Resour. Res. 2005, 41, W06006. [Google Scholar] [CrossRef]
  54. Morway, E.D.; Gates, T.K.; Niswonger, R.G. Appraising options to reduce shallow groundwater tables and enhance flow conditions over regional scales in an irrigated alluvial aquifer system. J. Hydrol. 2013, 495, 216–237. [Google Scholar] [CrossRef]
  55. Harbaugh, A.W. MODFLOW-2005, the U.S. Geological Survey Modular Ground-Water Model—The Ground-Water Flow Process; U.S. Geological Survey, Techniques and Methods6-A16; U.S. Geological Survey: Reston, VA, USA, 2005.
  56. Niswonger, R.G.; Prudic, D.E. Modeling variably saturated flow using kinematic waves in MODFLOW. In Groundwater Recharge in a Desert Environment; Water Science and Application Series; Hogan, J.F., Phillips, F.M., Scanlon, B.R., Eds.; The South Western United States, American Geophysical Union: Washington, DC, USA, 2004; Volume 9, pp. 101–112. [Google Scholar]
  57. Liu, M.H.; Jiang, Y.; Xu, X.; Huang, Q.Z.; Huo, Z.L.; Huang, G.H. Long-term groundwater dynamics affected by intense agricultural activities in oasis areas of arid in land river basins. Northwest China. Agric. Water Manag. 2018, 203, 37–52. [Google Scholar] [CrossRef]
  58. Wen, L.H.; Wang, Y.Q.; Zhang, G.L.; Liu, G.L.; Liu, H.Y.; Wang, C.L. Land use and land cover changes in Haihe river basin of China. J. Northeast Agric. Univ. 2012, 43, 136–141. (In Chinese) [Google Scholar]
  59. Li, Y.L.; Li, H.M.; Xie, X.M.; Dong, W.Q.; Ge, Y.C.; Wang, Y. Study on the controlled management water level of shallow groundwater in Cangxian area based on GMS. South-To-North Water Transf. Water Sci. Technol. 2017, 15, 108–114. (In Chinese) [Google Scholar]
  60. Ma, Q.S.; Luo, Z.S. Study on permissible groundwater extraction in Cangzhou, China. Eng. Surv. 2015, 43, 49–55. (In Chinese) [Google Scholar]
  61. Basak, N.; Chaudhari, S.K.; Sharma, D.K. Impact of varying Ca/Mg waters on ionic balance, dispersion, and clay flocculation of salt affected soils. Commun. Soil Sci. Plant Anal. 2015, 46, 827–844. [Google Scholar] [CrossRef]
  62. Cucci, G.; Lacolla, G.; Pagliai, M.; Vignozzi, N. Effect of reclamation on the structure of silty-clay soils irrigated with saline-sodic waters. Int. Agrophys. 2015, 29, 23–30. [Google Scholar] [CrossRef]
  63. Panta, S.; Flowers, T.; Doyle, R.; Lane, P.; Haros, G.; Shabala, S. Growth responses of Atriplexlentiformis and Medicagoarborea in three soilty pest reated with saline water irrigation. Environ. Exp. Bot. 2016, 128, 39–50. [Google Scholar] [CrossRef]
  64. Shani, U.; Dudley, L.M. Field studies of crop response to water and salts tress. Soil Sci. Soc. Am. J. 2001, 65, 1522–1528. [Google Scholar] [CrossRef]
  65. Chen, L.; Feng, Q.; Wei, Y.; Li, C.; Zhao, Y.; Li, H.; Zhang, B. Effects of saline water irrigation and fertilization regimes on soil microbial metabolic activity. J. Soils Sediments 2017, 17, 376–383. [Google Scholar] [CrossRef]
  66. Zhou, G.; Zhang, W.; Ma, L.; Guo, H.; Min, W.; Li, Q.; Liao, N.; Hou, Z. Effects of saline water irrigation and N application rate on NH3 volatilization and N use efficiency in a drip-irrigated cotton field. Water Air Soil Pollut. 2016, 227, 103. [Google Scholar] [CrossRef]
  67. Li, X.; Kang, Y.; Wan, S.; Xu, J.; Li, N. Response of daylily (Hemerocallishybridus cv.‘ Stelladeoro’) to saline water irrigation in two coastal saline soils. Sci. Hortic. 2016, 205, 39–44. [Google Scholar] [CrossRef]
  68. Sun, J.; Kang, Y.; Wan, S.; Hu, W.; Jiang, S.; Zhang, T. Soil salinity management with dripirrigation and its effects on soil hydraulic properties in North China coastal saline soils. Agric. Water Manag. 2012, 115, 10–19. [Google Scholar] [CrossRef]
  69. Chen, S.Y.; Shao, L.W.; Sun, H.Y.; Zhang, X.Y.; Li, Y.F. Effect of brackish water irrigation on soil salt balance and yield of both winter wheat and summer maize. Chin. J. Eco-Agric. 2016, 24, 1049–1058. (In Chinese) [Google Scholar]
Figure 1. Location of the study area.
Figure 1. Location of the study area.
Water 12 03361 g001
Figure 2. Stratigraphic section across the eastern North China Plain (NCP) (Modified after Zhang et al. [46]).
Figure 2. Stratigraphic section across the eastern North China Plain (NCP) (Modified after Zhang et al. [46]).
Water 12 03361 g002
Figure 3. Crop distribution of study area (according to Pan et al. [49]).
Figure 3. Crop distribution of study area (according to Pan et al. [49]).
Water 12 03361 g003
Figure 4. Schematic diagram of the coupling model structure (PTF—pedo transfer function, UZF—unsaturated zone flow, SEBS—surface energy balance system, SEBAL—surface energy balance algorithm for land, PM—Penman–Monteith equation, GW ET—groundwater evapotranspiration, THTS—an array of positive real values used to define the saturated water content of the unsaturated zone in units of volume of water to total volume, THTI—an array of positive real values used to define the initial water content for each vertical column of cells in units of volume of water at start of simulation to total volume, THTR—an array of positive real values used to define the residual water content for each vertical column of cells in units of volume of water to total volume, and FINF—an array of positive real values used to define the infiltration rates at land surface for each vertical column of cells).
Figure 4. Schematic diagram of the coupling model structure (PTF—pedo transfer function, UZF—unsaturated zone flow, SEBS—surface energy balance system, SEBAL—surface energy balance algorithm for land, PM—Penman–Monteith equation, GW ET—groundwater evapotranspiration, THTS—an array of positive real values used to define the saturated water content of the unsaturated zone in units of volume of water to total volume, THTI—an array of positive real values used to define the initial water content for each vertical column of cells in units of volume of water at start of simulation to total volume, THTR—an array of positive real values used to define the residual water content for each vertical column of cells in units of volume of water to total volume, and FINF—an array of positive real values used to define the infiltration rates at land surface for each vertical column of cells).
Water 12 03361 g004
Figure 5. Diagram of multiple data integration.
Figure 5. Diagram of multiple data integration.
Water 12 03361 g005
Figure 6. Operational flow-chart of ETWatch for the monitoring and estimation of evapotranspiration (ET) (adapted after Wu et al. [51,52] (SEBAL—surface energy balance algorithm for land).
Figure 6. Operational flow-chart of ETWatch for the monitoring and estimation of evapotranspiration (ET) (adapted after Wu et al. [51,52] (SEBAL—surface energy balance algorithm for land).
Water 12 03361 g006
Figure 7. Comparison between simulated and observed groundwater levels of 59 wells for calibration period in 2011 (a) and validation period in 2012 (b).
Figure 7. Comparison between simulated and observed groundwater levels of 59 wells for calibration period in 2011 (a) and validation period in 2012 (b).
Water 12 03361 g007
Figure 8. Comparison between simulated (lines) and observed (points) groundwater levels in 8 representative observation wells (Figure 1). The left figures and the right figures represent the data for calibration period and validation period, respectively.
Figure 8. Comparison between simulated (lines) and observed (points) groundwater levels in 8 representative observation wells (Figure 1). The left figures and the right figures represent the data for calibration period and validation period, respectively.
Water 12 03361 g008aWater 12 03361 g008bWater 12 03361 g008cWater 12 03361 g008dWater 12 03361 g008e
Figure 9. Spatial distribution of the calibrated shallow Kx (a), deep Kx (b) and Sy (c) in aquifers, with Kx = Ky = 10 Kz (m d−1) (Kx, Ky, Kz are the values of hydraulic conductivity along the x, y and z coordinate axes, and Sy is the specific yield. Other calibration parameters include storativity (d) and rainfall infiltration coefficient (e).
Figure 9. Spatial distribution of the calibrated shallow Kx (a), deep Kx (b) and Sy (c) in aquifers, with Kx = Ky = 10 Kz (m d−1) (Kx, Ky, Kz are the values of hydraulic conductivity along the x, y and z coordinate axes, and Sy is the specific yield. Other calibration parameters include storativity (d) and rainfall infiltration coefficient (e).
Water 12 03361 g009aWater 12 03361 g009bWater 12 03361 g009c
Figure 10. Four Scenarios’ results of groundwater levels (GWLs) at the end of year 2018, 2024, 2030 of the shallow aquifer.
Figure 10. Four Scenarios’ results of groundwater levels (GWLs) at the end of year 2018, 2024, 2030 of the shallow aquifer.
Water 12 03361 g010
Figure 11. Four Scenarios’ results of groundwater drawdown at the end of year 2018, 2024, 2030 of the shallow aquifer.
Figure 11. Four Scenarios’ results of groundwater drawdown at the end of year 2018, 2024, 2030 of the shallow aquifer.
Water 12 03361 g011
Figure 12. The annual changes of groundwater balance of Scenario 3 during 2013–2030 in regions with groundwater depth lower than 3 m. CHD IN is the recharge from constant head boundary, RIVERIN is the recharge from Rivers, GHB IN is the recharge from general head boundary, UZF RECHARGE is the recharge from unsaturated zone, GROUDWATER ET is the groundwater evapotranspiration, CHD OUT is the groundwater discharge to constant head boundary, WELLS OUT is the groundwater exploitation, and ΔS is the storage change of groundwater system.
Figure 12. The annual changes of groundwater balance of Scenario 3 during 2013–2030 in regions with groundwater depth lower than 3 m. CHD IN is the recharge from constant head boundary, RIVERIN is the recharge from Rivers, GHB IN is the recharge from general head boundary, UZF RECHARGE is the recharge from unsaturated zone, GROUDWATER ET is the groundwater evapotranspiration, CHD OUT is the groundwater discharge to constant head boundary, WELLS OUT is the groundwater exploitation, and ΔS is the storage change of groundwater system.
Water 12 03361 g012
Figure 13. Simulated changes of groundwater balance terms in the eastern NPC basin during the whole period (2013–2030).CHD IN is the recharge from constant head boundary, RIVERIN is the recharge from Rivers, GHB IN is the recharge from general head boundary, UZF RECHARGE is the recharge from unsaturated zone, GW ET is the groundwater evapotranspiration, CHDOUT is the groundwater discharge to constant head boundary, WELLS OUT is the groundwater exploitation, SURFACE LEAKAGE is the discharge to surface, RIVER LEAGAGE is the discharge to rivers, and ΔS is the storage change of groundwater system. PS:GW ET, CHD OUT, WELLS OUT, SURFACE LEAKAGE, RIVER LEAGAGE and ΔS are all negative.
Figure 13. Simulated changes of groundwater balance terms in the eastern NPC basin during the whole period (2013–2030).CHD IN is the recharge from constant head boundary, RIVERIN is the recharge from Rivers, GHB IN is the recharge from general head boundary, UZF RECHARGE is the recharge from unsaturated zone, GW ET is the groundwater evapotranspiration, CHDOUT is the groundwater discharge to constant head boundary, WELLS OUT is the groundwater exploitation, SURFACE LEAKAGE is the discharge to surface, RIVER LEAGAGE is the discharge to rivers, and ΔS is the storage change of groundwater system. PS:GW ET, CHD OUT, WELLS OUT, SURFACE LEAKAGE, RIVER LEAGAGE and ΔS are all negative.
Water 12 03361 g013
Table 1. The rainfall infiltration coefficient of the midland and coastal of NCP.
Table 1. The rainfall infiltration coefficient of the midland and coastal of NCP.
SubareaVadose Zone LithologyThe Depth of Groundwater Table (m)
<22–44–66–8>8
Alluvial plainMedium and coarse sand0.28–0.30.35–0.450.30–0.35
Fine sand and silt0.26–0.280.28–0.320.28–0.30
Silt0.14–0.230.23–0.330.33–0.280.28–0.250.25–0.23
Silt clay0.11–0.160.16–0.240.22–0.180.18–0.160.16–0.14
Clay0.09–0.130.14–0.180.16–0.120.14–0.100.12–0.10
Marine plainFine sand and silt0.25–0.360.36–0.400.40–0.280.28–0.240.24–0.22
Silt0.14–0.240.17–0.280.29–0.190.26–0.200.18–0.16
Silt clay0.09–0.200.14–0.260.26–0.170.18–0.140.14–0.12
Clay0.07–0.150.12–0.190.10–0.160.13–0.120.12–0.11
Data source: “Investigation and evaluation of the sustainable use of groundwater in the North China Plain”.
Table 2. Water use for the four scenarios in eastern NCP in 2013–2030.
Table 2. Water use for the four scenarios in eastern NCP in 2013–2030.
ScenarioShallow AquiferDeep Aquifer
Urban Water/(108 m3·a−1)Agricultural Water/(108 m3·a−1)Urban Water/(108 m3·a−1)Agricultural Water/(108 m3·a−1)
Scenario 1 (current pumping method)In 2013–20300.4552.832.5194.467
Scenario 2 (use saline water)In 2013–20140.4552.832.5194.467
In 2015–20300.4554.352.5192.94
Scenario 3 (surface waterdiversion)In 2013–20140.4552.832.5194.467
In 2015–20300.4552.782.5193.25
Scenario 4 (saline water + surface water)In 2013–20140.4552.832.5194.467
In 20150.4554.3332.5192.436
In 2016–20200.4554.3330.7892.436
In 2021–20300.3044.33302.436
Publisher’s Note: MDPI stays neutral with regard to jurisdictional claims in published maps and institutional affiliations.

Share and Cite

MDPI and ACS Style

Hou, X.; Wang, S.; Jin, X.; Li, M.; Lv, M.; Feng, W. Using an ETWatch (RS)-UZF-MODFLOW Coupled Model to Optimize Joint Use of Transferred Water and Local Water Sources in a Saline Water Area of the North China Plain. Water 2020, 12, 3361. https://doi.org/10.3390/w12123361

AMA Style

Hou X, Wang S, Jin X, Li M, Lv M, Feng W. Using an ETWatch (RS)-UZF-MODFLOW Coupled Model to Optimize Joint Use of Transferred Water and Local Water Sources in a Saline Water Area of the North China Plain. Water. 2020; 12(12):3361. https://doi.org/10.3390/w12123361

Chicago/Turabian Style

Hou, Xianglong, Shiqin Wang, Xiaorui Jin, Mingliang Li, Mengyu Lv, and Wenzhao Feng. 2020. "Using an ETWatch (RS)-UZF-MODFLOW Coupled Model to Optimize Joint Use of Transferred Water and Local Water Sources in a Saline Water Area of the North China Plain" Water 12, no. 12: 3361. https://doi.org/10.3390/w12123361

APA Style

Hou, X., Wang, S., Jin, X., Li, M., Lv, M., & Feng, W. (2020). Using an ETWatch (RS)-UZF-MODFLOW Coupled Model to Optimize Joint Use of Transferred Water and Local Water Sources in a Saline Water Area of the North China Plain. Water, 12(12), 3361. https://doi.org/10.3390/w12123361

Note that from the first issue of 2016, this journal uses article numbers instead of page numbers. See further details here.

Article Metrics

Back to TopTop