The Role of Water Temperature Modelling in the Development of a Release Strategy for Cyprinid Herpesvirus 3 (CyHV-3) for Common Carp Control in Southeastern Australia
Abstract
1. Introduction
2. Materials and Methods
2.1. Selection of Catchments
2.2. Standardised Methodology for Delineation of Reaches
2.3. River Flow
2.4. Major Storages
2.5. Wetland Inundation
2.6. Catchment Scale Water Temperature Modelling
2.6.1. Data
2.6.2. Lake Temperature Model
2.6.3. Stream Temperature Model
3. Results
3.1. Reach and Waterbody Delineation
3.2. Connectivity
3.3. Flow
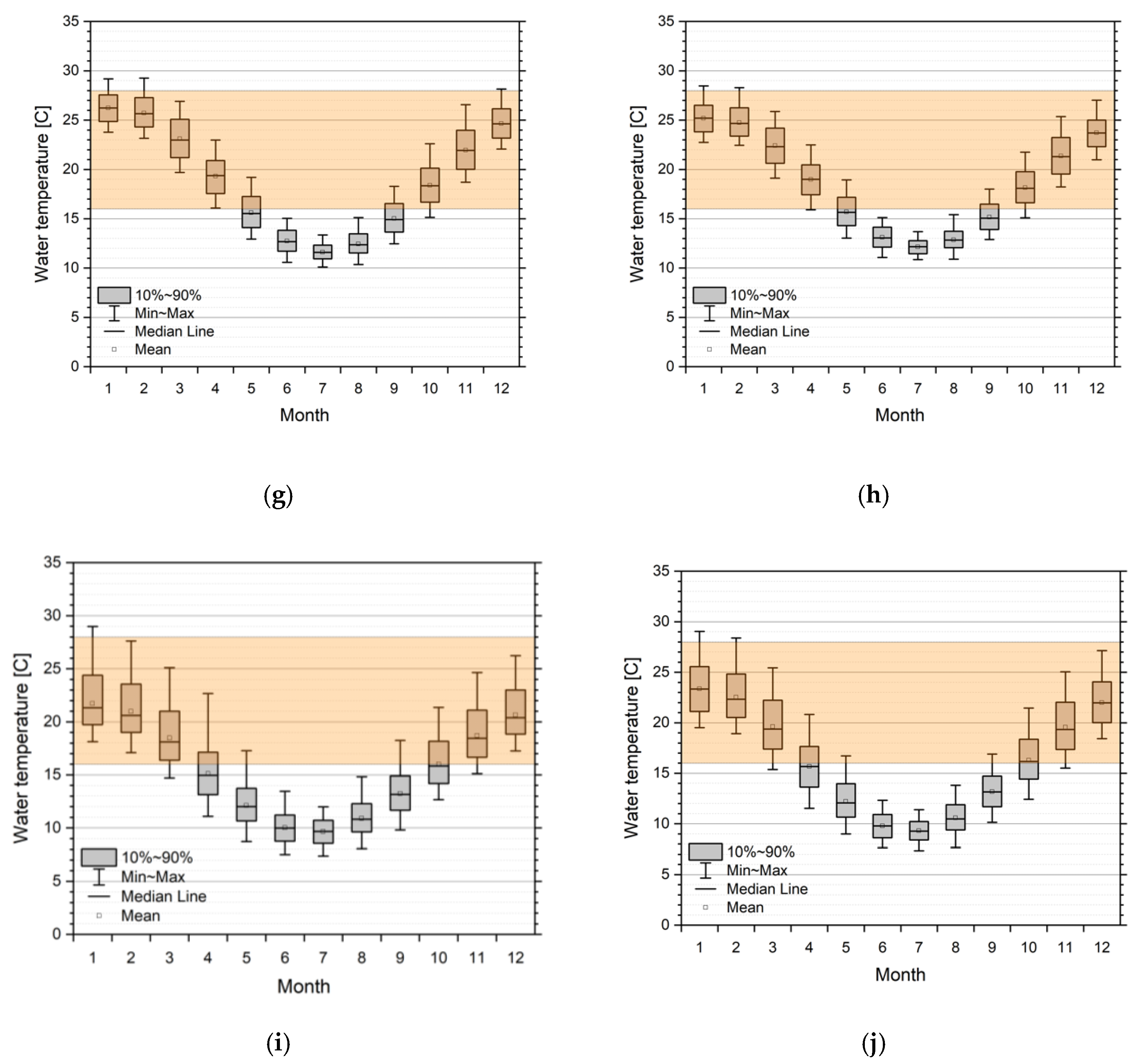
3.4. Water Temperature
3.4.1. Lake Model
3.4.2. Stream Model
3.5. Water Temperature and Permissive Virus Activity
4. Discussion
5. Conclusions
Supplementary Materials
Author Contributions
Funding
Acknowledgments
Conflicts of Interest
References
- Roberts, J., Tilzey, R.D., Eds.; Controlling Carp: Exploring the Options for Australia. In Proceedings of the a Workshop, Albury, Australia, 22–24 October 1996; CSIRO Land and Water: Griffith, NSW, Australia, 1997; p. 133. [Google Scholar]
 - Gehrke, P.; Brown, P.; Schiller, C.; Moffatt, D.; Bruce, A. River regulation and fish communities in the Murray-Darling river system, Australia. Regul. Rivers Res. Manag. 1995, 11, 363–375. [Google Scholar] [CrossRef]
 - Driver, P.D.; Harris, J.H.; Norris, R.H.; Closs, G.P. The role of the natural environment and human impacts in determining biomass densities of common carp in New South Wales rivers. In Fish and Rivers in Stress: The NSW Rivers Survey; Harris, J.H., Gehrke, P.C., Eds.; NSW Fisheries Office of Conservation and the Cooperative Research Centre for Freshwater Ecology: Cronulla, NSW, Australia, 1997; pp. 225–251. [Google Scholar]
 - Fletcher, A.; Morison, A.; Hume, D. Effects of carp, Cyprinus carpio L., on communities of aquatic vegetation and turbidity of waterbodies in the lower Goulburn River basin. Mar. Freshw. Res. 1985, 36, 311–327. [Google Scholar] [CrossRef]
 - Robertson, A.; Healey, M.; King, A. Experimental manipulations of the biomass of introduced carp (Cyprinus carpio) in billabongs. II. Impacts on benthic properties and processes. Mar. Freshw. Res. 1997, 48, 445–454. [Google Scholar] [CrossRef]
 - Barrett, J.; Bamford, H.; Jackson, P. Management of alien fishes in the Murray-Darling Basin. Ecol. Manag. Restor. 2014, 15, 51–56. [Google Scholar] [CrossRef]
 - Carp Control Coordinating Group. National Management Strategy for Carp Control 2000–2005; Murray-Darling Basin Commission: Canberra, ACT, Australia, 2000.
 - Brown, P.; Gilligan, D. Optimising an integrated pest-management strategy for a spatially structured population of common carp (Cyprinus carpio) using meta-population modelling. Mar. Freshw. Res. 2014, 65, 538–550. [Google Scholar] [CrossRef]
 - Stevenson, J.P. Use of Biological Techniques for the Management of Fish; Victorian Fisheries and Wildlife Division, Ministry for Conservation: Melbourne, Australia, 1978; p. 14.
 - Crane, M.S. Biological control of European carp. In Proceedings of the National Carp Summit Proceedings, Renmark, Australia, 6–7 October 1995; pp. 15–19. [Google Scholar]
 - Thresher, R.E. Autocidal Technology for the Control of Invasive Fish. Fisheries 2008, 33, 114–121. [Google Scholar] [CrossRef]
 - Hedrick, R.; Gilad, O.; Yun, S.; Spangenberg, J.; Marty, G.; Nordhausen, R.; Kebus, M.; Bercovier, H.; Eldar, A. A herpesvirus associated with mass mortality of juvenile and adult koi, a strain of common carp. J. Aquat. Anim. Health 2000, 12, 44–57. [Google Scholar] [CrossRef]
 - Sunarto, A.; Rukyani, A.; Itami, T. Indonesian Experience on the Outbreak of Koi Herpesvirus in Koi and Carp (Cyprinus carpio). Bull. Fish. Res. Agen. Suppl. 2005, 2, 15–21. [Google Scholar]
 - McColl, K.A.; Sunarto, A.; Slater, J.; Bell, K.; Asmus, M.; Fulton, W.; Hall, K.; Brown, P.; Gilligan, D.; Hoad, J.; et al. Cyprinid herpesvirus 3 as a potential biological control agent for carp (Cyprinus carpio) in Australia: Susceptibility of non-target species. J. Fish Dis. 2017, 40, 1141–1153. [Google Scholar] [CrossRef]
 - Marcos-Lopez, M.; Gale, P.; Oidtmann, B.C.; Peeler, E.J. Assessing the impact of climate change on disease emergence in freshwater fish in the United Kingdom. Transbound. Emerg. Dis. 2010, 57, 293–304. [Google Scholar] [CrossRef]
 - Gilad, O.; Yun, S.; Adkison, M.A.; Way, K.; Willits, N.H.; Bercovier, H.; Hedrick, R.P. Molecular comparison of isolates of an emerging fish pathogen, koi herpesvirus, and the effect of water temperature on mortality of experimentally infected koi. J. Gen. Virol. 2003, 84, 2661–2667. [Google Scholar] [CrossRef] [PubMed]
 - Gilad, O.; Yun, S.; Zagmutt-Vergara, F.J.; Leutenegger, C.M.; Bercovier, H.; Hedrick, R.P. Concentrations of a Koi herpesvirus (KHV) in tissues of experimentally infected Cyprinus carpio koi as assessed by real-time TaqMan PCR. Dis. Aquat. Org. 2004, 60, 179–187. [Google Scholar] [CrossRef] [PubMed]
 - Yuasa, K.; Ito, T.; Sano, M. Effect of water temperature on mortality and virus shedding in carp experimentally infected with koi herpesvirus. Fish Pathol. 2008, 43, 83–85. [Google Scholar] [CrossRef]
 - Ronen, A.; Perelberg, A.; Abramowitz, J.; Hutoran, M.; Tinman, S.; Bejerano, I.; Steinitz, M.; Kotler, M. Efficient vaccine against the virus causing a lethal disease in cultured Cyprinus carpio. Vaccine 2003, 21, 4677–4684. [Google Scholar] [CrossRef]
 - Boutier, M.; Ronsmans, M.; Rakus, K.; Jazowiecka-Rakus, J.; Vancsok, C.; Morvan, L.; Penaranda, M.M.; Stone, D.M.; Way, K.; van Beurden, S.J.; et al. Cyprinid Herpesvirus 3: An Archetype of Fish Alloherpesviruses. Adv. Virus Res. 2015, 93, 161–256. [Google Scholar] [CrossRef] [PubMed]
 - Becker, J.A.; Ward, M.P.; Hick, P.M. An epidemiologic model of koi herpesvirus (KHV) biocontrol for carp in Australia. Aust. Zool. 2019, 40, 25–35. [Google Scholar] [CrossRef]
 - Brown, P.; Sivakumaran, K.P.; Stoessel, D.; Giles, A. Population biology of carp (Cyprinus carpio L.) in the mid-Murray river and Barmah Forest Wetlands, Australia. Mar. Freshw. Res. 2005, 56, 1151–1164. [Google Scholar] [CrossRef]
 - Humphries, P.; King, A.J.; Koehn, J.D. Fish, Flows and Flood Plains: Links between Freshwater Fishes and their Environment in the Murray-Darling River System, Australia. Environ. Biol. Fishes 1999, 56, 129–151. [Google Scholar] [CrossRef]
 - Thrush, M.A.; Peeler, E.J. A Model to Approximate Lake Temperature from Gridded Daily Air Temperature Records and Its Application in Risk Assessment for the Establishment of Fish Diseases in the UK. Transbound. Emerg. Dis. 2013, 60, 460–471. [Google Scholar] [CrossRef]
 - Webb, B.W.; Hannah, D.M.; Moore, R.D.; Brown, L.E.; Nobilis, F. Recent advances in stream and river temperature research. Hydrol. Process. 2008, 22, 902–918. [Google Scholar] [CrossRef]
 - Forsyth, D.M.; Koehn, J.D.; MacKenzie, D.I.; Stuart, I.G. Population dynamics of invading freshwater fish: Common carp (Cyprinus carpio) in the Murray-Darling Basin, Australia. Biol. Invasions 2013, 15, 341–354. [Google Scholar] [CrossRef]
 - Koehn, J.D. Carp (Cyprinus carpio) as a powerful invader in Australian waterways. Freshw. Biol. 2004, 49, 882–894. [Google Scholar] [CrossRef]
 - Faragher, R.A.; Lintermans, M. Alien fish species from the New South Wales Rivers Survey. In Fish and Rivers in Stress: The NSW Rivers Survey; Harris, J.H., Gehrke, P.C., Eds.; NSW Fisheries Office of Conservation and the Cooperative Research Centre for Freshwater Ecology: Cronulla, NSW, Australia, 1997; pp. 201–223. [Google Scholar]
 - Gilligan, D.; Jess, L.; McLean, G.; Asmus, M.; Wooden, I.; Hartwell, D.; McGregor, C.; Stuart, I.; Vey, A.; Jefferies, M. Identifying and Implementing Targeted Carp Control Options for the Lower Lachlan Catchment; NSW Department of Industry and Investment-Fisheries: Cronulla, NSW, Australia, 2010; p. 126.
 - MDBA. Guide to the Proposed Basin Plan: Technical Background; Murray–Darling Basin Authority: Canberra, ACT, Australia, 2010; p. 453.
 - Simpson, H.J.; Cane, M.A.; Herczeg, A.L.; Zebiak, S.E.; Simpson, J.H. Annual river discharge in southeastern Australia related to El Nino-Southern Oscillation forecasts of sea surface temperatures. Water Resour. Res. 1993, 29, 3671–3680. [Google Scholar] [CrossRef]
 - Leblanc, M.; Tweed, S.; Van Dijk, A.; Timbal, B. A review of historic and future hydrological changes in the Murray-Darling Basin. Glob. Planet. Chang. 2012, 80, 226–246. [Google Scholar] [CrossRef]
 - van Dijk, A.I.J.M.; Beck, H.E.; Crosbie, R.S.; Jeu, R.A.M.; Liu, Y.Y.; Podger, G.M.; Timbal, B.; Viney, N.R. The Millennium Drought in southeast Australia (2001–2009): Natural and human causes and implications for water resources, ecosystems, economy, and society. Water Resour. Res. 2013, 49, 1040–1057. [Google Scholar] [CrossRef]
 - BOM. Australian Hydrological Geospatial Fabric (Geofabric), Product Guide v3.0.; Bureau of Meteorology: Melbourne, Australian, 2015; p. 48.
 - VicMap Hydro. Vicmap Hydro 1:25,000. Available online: https://discover.data.vic.gov.au/dataset/vicmap-hydro-1-25-000 (accessed on 9 August 2020).
 - Geoscience Australia. GEODATA TOPO 250K Series 3 Topographic Data. Available online: http://www.ga.gov.au/metadata-gateway/metadata/record/64058/ (accessed on 9 August 2020).
 - Australian Government. Murray-Darling Basin Weir Information System. Available online: https://data.gov.au/dataset/ds-dga-49d40919-20ea-4d06-b36f-ed95d88cbce8/details (accessed on 9 August 2020).
 - NSW DPI. Reducing the Impact of Weirs on Aquatic Habitat—New South Wales Detailed Weir Review. Lachlan CMA Region; Report to the New South Wales Environmental Trust; NSW Department of Primary Industries: Flemington, NSW, Australia, 2006; p. 111.
 - Brooks, S. Classification of Aquatic Ecosystems in the Murray-Darling Basin: 2017 Update; Department of the Environment and Energy: Canberra, Australia, 2017.
 - Mueller, N.; Lewis, A.; Roberts, D.; Ring, S.; Melrose, R.; Sixsmith, J.; Lymburner, L.; McIntyre, A.; Tan, P.; Curnow, S.; et al. Water observations from space: Mapping surface water from 25 years of Landsat imagery across Australia. Remote Sens. Environ. 2016, 174, 341–352. [Google Scholar] [CrossRef]
 - Titmarsh, G.W.; Cordery, I.; Pilgrim, D.H.; Marschke, G.W.; Freebairn, D.M. Design flood estimation for agricultural catchments in south east Queensland using the Rational Method. In Proceedings of the Hydrology and Water Resources Symposium 1989: Comparisons in Austral Hydrology, Christchurch, New Zealand, 28–30 November 1989; pp. 237–241. [Google Scholar]
 - Simons, M.; Podger, G.; Cooke, R. IQQM—A hydrologic modelling tool for water resource and salinity management. Environ. Softw. 1996, 11, 185–192. [Google Scholar] [CrossRef]
 - eWater. eWater Source—Australia’s National Hydrological Modelling Platform. Available online: https://ewater.org.au/products/ewater-source/ (accessed on 9 August 2020).
 - Vaze, J.; Viney, N.; Stenson, M.; Renzullo, L.; Van Dijk, A.; Dutta, D.; Crosbie, R.; Lerat, J.; Penton, D.; Vleeshouwer, J.; et al. The Australian water resource assessment modelling system (AWRA). In Proceedings of the 20th International Congress on Modelling and Simulation (MODSIM2013), Adelaide, Australia, 1–6 December 2013; pp. 3015–3021. [Google Scholar]
 - Perrin, C.; Michel, C.; Andréassian, V. Improvement of a parsimonious model for streamflow simulation. J. Hydrol. 2003, 279, 275–289. [Google Scholar] [CrossRef]
 - MDBA. Source Murray Model—Method for Determining Permitted Take; Technical Report 2018/16; Murray‒Darling Basin Authority: Canberra, Australia, 2019. [Google Scholar]
 - BOM. Water Data Online. Available online: http://www.bom.gov.au/waterdata/ (accessed on 9 August 2020).
 - Vermote, E.F.; Roger, J.C.; Ray, J.P. MODIS Surface Reflectance User’s Guide; MODIS Land Surface Reflectance Science Computing Facility: Greenbelt, MD, USA, 2015. [Google Scholar]
 - Ticehurst, C.; Guerschman, J.; Chen, Y. The strengths and limitations in using the daily MODIS open water likelihood algorithm for identifying flood events. Remote Sens. 2014, 6, 11791–11809. [Google Scholar] [CrossRef]
 - Chen, Y.; Cuddy, S.M.; Merrin, L.E.; Huang, C.; Pollock, D.; Sims, N.; Wang, B.; Bai, Q. Murray-Darling Basin Floodplain Inundation Model Version 2.0 (MDB-FIM2); Report for the Murray-Darling Basin Authority; CSIRO Water for a Healthy Country Flagship: Canberra, Australia, 2012. [Google Scholar]
 - Chen, Y.; Huang, C.; Ticehurst, C.; Merrin, L.; Thew, P. An Evaluation of MODIS Daily and 8-day Composite Products for Floodplain and Wetland Inundation Mapping. Wetlands 2013, 33, 823–835. [Google Scholar] [CrossRef]
 - Chen, Y.; Liu, R.; Barrett, D.; Gao, L.; Zhou, M.; Renzullo, L.; Emelyanova, I. A spatial assessment framework for evaluating flood risk under extreme climates. Sci. Total Environ. 2015, 538, 512–523. [Google Scholar] [CrossRef] [PubMed]
 - Chen, Y.; Wang, B.; Pollino, C.A.; Cuddy, S.M.; Merrin, L.E.; Huang, C. Estimate of flood inundation and retention on wetlands using remote sensing and GIS. Ecohydrology 2014, 7, 1412–1420. [Google Scholar] [CrossRef]
 - Huang, C.; Chen, Y.; Wu, J. Mapping spatio-temporal flood inundation dynamics at large river basin scale using time-series flow data and MODIS imagery. Int. J. Appl. Earth Obs. Geoinf. 2014, 26, 350–362. [Google Scholar] [CrossRef]
 - Cuddy, S.M.; Penton, D.; Chen, Y.; Davies, P.; Ren, Y. MD2026: To Rectify Four Flood Inundation Zones of Rim-FIM; Final Report to Murray-Darling Basin Authority; CSIRO Water for a Healthy Country Flagship: Canberra, Australia, 2012. [Google Scholar]
 - Overton, I.C.; Doody, T.M.; Pollock, D.; Guerschman, J.P.; Warren, G.; Jin, W.; Chen, Y.; Wurcker, B. The Murray-Darling Basin Floodplain Inundation Model (MDB-FIM); Water for a Healthy Country Flagship Technical Report; CSIRO: Adelaide, Australia, 2010. [Google Scholar]
 - Sims, N.C.; Warren, G.; Overton, I.C.; Austin, J.; Gallant, J.; King, D.J.; Merrin, L.E.; Donohue, R.; McVicar, T.R.; Hodgen, M.J.; et al. RiM-FIM Floodplain Inundation Modelling for the Edward-Wakool, Lower Murrumbidgee and Lower Darling River Systems; Report Prepared for the Murray-Darling Basin Authority; CSIRO Water for a Healthy Country Flagship: Canberra, Australia, 2014. [Google Scholar]
 - Jeffrey, S.J.; Carter, J.O.; Moodie, K.B.; Beswick, A.R. Using spatial interpolation to construct a comprehensive archive of Australian climate data. Environ. Model. Softw. 2001, 16, 309–330. [Google Scholar] [CrossRef]
 - McVicar, T.R.; Van Niel, T.G.; Li, L.T.; Roderick, M.L.; Rayner, D.P.; Ricciardulli, L.; Donohue, R.J. Wind speed climatology and trends for Australia, 1975–2006: Capturing the stilling phenomenon and comparison with near-surface reanalysis output. Geophys. Res. Lett. 2008, 35. [Google Scholar] [CrossRef]
 - Stepanenko, V.M.; Jöhnk, K.D.; Machulskaya, E.; Perroud, M.; Subin, Z.; Nordbo, A.; Mammarella, I.; Mironov, D. Simulation of surface energy fluxes and stratification of a small boreal lake by a set of one-dimensional models. Tellus A Dyn. Meteorol. Oceanogr. 2014, 66, 21389. [Google Scholar] [CrossRef]
 - Stepanenko, V.M.; Martynov, A.; Jöhnk, K.D.; Subin, Z.M.; Perroud, M.; Fang, X.; Beyrich, F.; Mironov, D.; Goyette, S. A one-dimensional model intercomparison study of thermal regime of a shallow, turbid midlatitude lake. Geosci. Model Dev. 2013, 6, 1337–1352. [Google Scholar] [CrossRef]
 - Hutter, K.; Jöhnk, K. Continuum Methods of Physical Modeling: Continuum Mechanics, Dimensional Analysis, Turbulence; Springer: Berlin/Heidelberg, Germany, 2004; p. 655. [Google Scholar]
 - Joehnk, K.D.; Umlauf, L. Modelling the metalimnetic oxygen minimum in a medium sized alpine lake. Ecol. Model. 2001, 136, 67–80. [Google Scholar] [CrossRef]
 - Jöhnk, K.D.; Huisman, J.E.F.; Sharples, J.; Sommeijer, B.E.N.; Visser, P.M.; Stroom, J.M. Summer heatwaves promote blooms of harmful cyanobacteria. Glob. Chang. Biol. 2008, 14, 495–512. [Google Scholar] [CrossRef]
 - Marshall, J.C.; Menke, N.; Crook, D.A.; Lobegeiger, J.S.; Balcombe, S.R.; Huey, J.A.; Fawcett, J.H.; Bond, N.R.; Starkey, A.H.; Sternberg, D.; et al. Go with the flow: The movement behaviour of fish from isolated waterhole refugia during connecting flow events in an intermittent dryland river. Freshw. Biol. 2016, 61, 1242–1258. [Google Scholar] [CrossRef]
 - Toffolon, M.; Piccolroaz, S. A hybrid model for river water temperature as a function of air temperature and discharge. Environ. Res. Lett. 2015, 10, 114011. [Google Scholar] [CrossRef]
 - Piccolroaz, S.; Calamita, E.; Majone, B.; Gallice, A.; Siviglia, A.; Toffolon, M. Prediction of river water temperature: A comparison between a new family of hybrid models and statistical approaches. Hydrol. Process. 2016, 30, 3901–3917. [Google Scholar] [CrossRef]
 - Leibowitz, S.G.; Wigington, P.J.; Schofield, K.A.; Alexander, L.C.; Vanderhoof, M.K.; Golden, H.E. Connectivity of Streams and Wetlands to Downstream Waters: An Integrated Systems Framework. J. Am. Water Resour. 2018, 54, 298–322. [Google Scholar] [CrossRef]
 - Lugg, A.; Copeland, C. Review of cold water pollution in the Murray–Darling Basin and the impacts on fish communities. Ecol. Manag. Restor. 2014, 15, 71–79. [Google Scholar] [CrossRef]
 - Sherman, B.; Todd, C.R.; Koehn, J.D.; Ryan, T. Modelling the impact and potential mitigation of cold water pollution on Murray cod populations downstream of Hume Dam, Australia. River Res. Appl. 2007, 23, 377–389. [Google Scholar] [CrossRef]
 - Gandomi, A.; Haider, M. Beyond the hype: Big data concepts, methods, and analytics. Int. J. Inf. Manag. 2015, 35, 137–144. [Google Scholar] [CrossRef]
 - Thresher, R.E.; Allman, J.; Stremick-Thompson, L. Impacts of an invasive virus (CyHV-3) on established invasive populations of common carp (Cyprinus carpio) in North America. Biol. Invasions 2018, 20, 1703–1718. [Google Scholar] [CrossRef]
 - Sano, M.; Ito, T.; Kurita, J.; Yanai, T.; Watanabe, N.; Miwa, S.; Iida, T. First detection of koi herpesvirus in cultured common carp Cyprinus carpio in Japan. Fish Pathol. 2004, 39, 165–167. [Google Scholar] [CrossRef]
 - Uchii, K.; Telschow, A.; Minamoto, T.; Yamanaka, H.; Honjo, M.N.; Matsui, K.; Kawabata, Z. Transmission dynamics of an emerging infectious disease in wildlife through host reproductive cycles. ISME J. 2011, 5, 244–251. [Google Scholar] [CrossRef]
 










| Glenelg | Lachlan | Lower Murray | Mid-Murray | Moonie | |
|---|---|---|---|---|---|
| Reach (no.) | 53 | 502 | 179 | 75 | 133 | 
| Waterbody (no.) | 860 | 1113 | 1426 | 2645 | 140 | 
| Zones (no.) | 4 | 5 | 10 | 11 | 7 | 
| Modelled drainage area (km2) | 12,973 | 86,554 | 4933 | 11,995 | 15,674 | 
| Modelled River length (km) | 1056 | 5218 | 871 | 1051 | 1325 | 
| Modelled waterbody area (km2) | 345 | 1011 | 394 | 1339 | 21 | 
| Downstream flow (ML/day) * | 21.58 (0, 835.78) | 41.18 (0, 1273.57) | 3789.29 (37.50, 41,491.59) | 762.14 (0, 12,938.49) | 0.04 (0, 348.56) | 
| Median (range) Temperatures (°C) * | 14.86 (6.81, 27.30) | 18.12 (4.80, 35.78) | 18.62 (9.81, 29.66) | 17.44 (7.60, 29.50) | 20.45 (8.32, 30.54) | 
| Connectivity (% connected) rivers * | 74.58 (49.4, 89.03) | 77.85 (66.44, 87.83) | 98.75 (97.88, 99.32) | 88.36 (75.65, 96.70) | 20.18 (9.52, 35.21) | 
| Connectivity (% connected) waterbody * | 0.35 (0.35, 0.35) | 1.36 (0.64, 6.35) | 50.13 (24.57, 75.15) | 17.86 (12.22, 28.77) | 15.96 (5.01, 26.22) | 
| Catchment | Number of Stations | Total Time Span (Years) | Average Time Span (Years/Station) | 
|---|---|---|---|
| Moonie | 1 | 6 | 6 | 
| Lachlan | 24 | 271 | 11 | 
| Mid-Murray | 14 | 287 | 20 | 
| Lower Murray | 15 | 242 | 16 | 
| Glenelg | 10 | 160 | 16 | 
| Total | 64 | 966 | 15 | 
| Case Study Location | Number of Reaches | Total Reach Length (km) | Average Reach Area (ha) | Median Length (km) | 95th Percentile Length (km) | 5th Percentile Length (km) | 
|---|---|---|---|---|---|---|
| Glenelg | 53 | 1056.38 | 2919.80 | 10.94 | 70.79 | 0.23 | 
| Lachlan | 502 | 5218.16 | 6101.23 | 1.65 | 51.95 | 0.26 | 
| Lower Murray | 179 | 871.38 | 7320 | 2.79 | 15.07 | 0.39 | 
| Mid-Murray | 75 | 1045.89 | 5075.69 | 6.68 | 50.82 | 0.35 | 
| Moonie | 133 | 1323.35 | 708 | 6.89 | 30.24 | 0.83 | 
| Case Study | Driest Year | Wettest Year | ||||
|---|---|---|---|---|---|---|
| Reach-Reach (%) | Reach-Waterbody (%) | Year | Reach-Reach | Reach-Waterbody | Year | |
| Glenelg | 64.46 | 0.18 | 2008 | 96.93 | 0.22 | 1992 | 
| Lachlan | 82.73 | 1.62 | 2005 | 92.65 | 6.01 | 2012 | 
| Lower Murray | 98.38 | 37.43 | 1998 | 99.43 | 78.80 | 1990 | 
| Mid-Murray | 90.22 | 16.24 | 1997 | 94.59 | 25.01 | 1996 | 
| Moonie | 19.54 | 7.72 | 1992 | 43.55 | 26.59 | 2011 | 
| Model Parameter p | RMSE (Smaller is Better) | NSE (1 is Optimal) | 
|---|---|---|
| 2 = regression | 2.27 | 0.77 | 
| 3 | 2.14 | 0.80 | 
| 4 | 2.08 | 0.81 | 
| 5 | 2.04 | 0.82 | 
| 7 | 1.39 | 0.91 | 
| 8 | 1.38 | 0.92 | 
| Case Study | Winter-Summer (Week) | Summer-Winter (Week) | ||||
|---|---|---|---|---|---|---|
| Median | 20th Percentile | 80th Percentile | Median | 20th Percentile | 80th Percentile | |
| Glenelg | 45 | 44 | 46 | 10 | 5 | 11 | 
| Lachlan | 42 | 41 | 43 | 14 | 13 | 15 | 
| Lower Murray | 39 | 39 | 40 | 17 | 17 | 18 | 
| Mid-Murray | 42 | 41 | 47 | 11 | 6 | 12 | 
| Moonie | 46 | 37 | 48 | 14 | 10 | 18 | 
Publisher’s Note: MDPI stays neutral with regard to jurisdictional claims in published maps and institutional affiliations.  | 
© 2020 by the authors. Licensee MDPI, Basel, Switzerland. This article is an open access article distributed under the terms and conditions of the Creative Commons Attribution (CC BY) license (http://creativecommons.org/licenses/by/4.0/).
Share and Cite
Joehnk, K.D.; Graham, K.; Sengupta, A.; Chen, Y.; Aryal, S.K.; Merrin, L.; Durr, P.A. The Role of Water Temperature Modelling in the Development of a Release Strategy for Cyprinid Herpesvirus 3 (CyHV-3) for Common Carp Control in Southeastern Australia. Water 2020, 12, 3217. https://doi.org/10.3390/w12113217
Joehnk KD, Graham K, Sengupta A, Chen Y, Aryal SK, Merrin L, Durr PA. The Role of Water Temperature Modelling in the Development of a Release Strategy for Cyprinid Herpesvirus 3 (CyHV-3) for Common Carp Control in Southeastern Australia. Water. 2020; 12(11):3217. https://doi.org/10.3390/w12113217
Chicago/Turabian StyleJoehnk, Klaus D., Kerryne Graham, Ashmita Sengupta, Yun Chen, Santosh K. Aryal, Linda Merrin, and Peter A. Durr. 2020. "The Role of Water Temperature Modelling in the Development of a Release Strategy for Cyprinid Herpesvirus 3 (CyHV-3) for Common Carp Control in Southeastern Australia" Water 12, no. 11: 3217. https://doi.org/10.3390/w12113217
APA StyleJoehnk, K. D., Graham, K., Sengupta, A., Chen, Y., Aryal, S. K., Merrin, L., & Durr, P. A. (2020). The Role of Water Temperature Modelling in the Development of a Release Strategy for Cyprinid Herpesvirus 3 (CyHV-3) for Common Carp Control in Southeastern Australia. Water, 12(11), 3217. https://doi.org/10.3390/w12113217
        
