Next Article in Journal
Experimental Study on the Influence of the Transition Section in the Middle of a Continuous Bend on the Correlation of Flow Movement in the Front and Back Bends
Previous Article in Journal
Weak Solution for 3D-Stochastic Third Grade Fluid Equations
 
 
Font Type:
Arial Georgia Verdana
Font Size:
Aa Aa Aa
Line Spacing:
Column Width:
Background:
Article

Nonlinear Interactions and Some Other Aspects of Probabilistic Sea Level Projections

by
Magnus Hieronymus
Swedish Meteorological and Hydrologial Institute, 60176 Norrköping, Sweden
Water 2020, 12(11), 3212; https://doi.org/10.3390/w12113212
Submission received: 17 August 2020 / Revised: 18 September 2020 / Accepted: 12 November 2020 / Published: 17 November 2020
(This article belongs to the Special Issue The Ocean and Cryosphere in a Changing Climate)

Abstract

Probabilistic sea level projections are frequently used to characterise the uncertainty in future sea level rise. Here, it is investigated how different modelling assumptions and process estimates affect such projections using two process-based models that add up the sea level contributions from different processes such as thermosteric expansion and ice sheet melt. A method is applied to estimate the direct contributions from the different processes as well as that of nonlinear interactions between the processes to the projections. In general, the nonlinear interaction terms are found to be small compared to the direct contributions from the processes, and only a few interaction terms give significant contributions to the projections. Apart from the process estimates, probabilistic models often also incorporate some expert judgements that inflate the uncertainty compared with that derived from climate and ice-sheet models, and the effects of some such judgements are also evaluated and found to have a considerable influence on the projections. Lastly, sea level projections are most often given contingent on representative concentration pathways for atmospheric greenhouse gases. Here, we generalize this approach by also providing projections for a probabilistic baseline scenario.

1. Introduction

Sea level rise is an ongoing and accelerating process that already affects many coastal communities around the world [1]. Projecting how the sea level might change in the future is thus an important undertaking, and regularly updated projections are offered by among others the Intergovernmental Panel on Climate Change (IPCC). Such projections are most often contingent on representative concentration pathways (RCPs), where the concentrations of atmospheric greenhouse gases are prescribed. Recently, however, some authors have focused not only on RCP based projections, but also on more loosely based sea level scenarios representing other paths, unconstrained by emissions or concentrations, see [2] for an example.
Apart from having different backstories (i.e., RCP or something else) sea level projections also differ in whether they are fully probabilistic [3,4], or just contain a range, like the likely range used by the IPCC [1,5]. Other differences between projections owe to the methodologies used like semi-empirical models [6], expert judgements [7] and process-based models [1]. Our focus here is on process-based models, which is the model type used to produce the IPCC’s projections. Process-based models are used to sum up contributions to sea level rise from different processes. The main ones acting on the global mean sea level (GMSL) are: Antarctic mass loss, Greenland mass loss, glacial mass loss, thermosteric expansion and changes in terrestrial water storage. If one looks at sea level regionally, then ocean dynamics, glacial isostatic adjustments and several other processes may also give important contributions. Process-based models give probabilistic projections using Monte Carlo methods to combine estimates of different processes. Different distributions, typically based on modelling results, are used to emulate the different processes, and different strengths of the correlations between different processes are also chosen guided by results primarily from climate models.
Sea level projections for the year 2100, which is our main concern here, diverge widely and these projections are therefore sometimes said to be “deeply” uncertain [8]. The primary reason for this is arguably that these projections are not currently testable. Noble Laureate Richard Feynman famously wrote “The principle of science, the definition, almost, is the following: The test of all knowledge is experiment. Experiment is the sole judge of scientific ‘truth’.” [9]. The experiment of concern here is ongoing, so the skill in sea level projections for the end of the 21st century is currently not testable. More precisely, they are not testable to a degree where we can exclude many projections. Following this line of reasoning, sea level projections are essentially opinions. The problem with opinions, of course, is that everyone has one and over 70 sea level projections have consequently been published [10]. Apart from the testability problem, there are at least two more reasons that strongly suggest that deep uncertainty in sea level projection will persist long into the future. Firstly, sea level science borrows methods from many different scientific disciplines, which gives rise to many diverging projections. Secondly, there are no known useful physical bounds one can put on 21st century sea level rise (e.g., knowing that melting the entire cryosphere would raise the sea level by about 65 m is hardly useful).
Dealing with the multitude of projections available can be challenging. Some authors have therefore chosen to combine information from different projections into a single one [11], while others stress the importance of using many projections to capture these diverging opinions [12,13]. The aim of this article is to implement some methodologies that allow us to unravel how differences in modelling assumptions and process estimates affect sea level projections, something which is not always immediately evident from simple comparisons of different projections. Our focus is thus not on how to best work with sea level projections. Rather, it is on how to understand them and interpret differences between them. In our analysis, we look at nonlinear interactions between different process estimates, the effects of some expert judgements on projections and scenario uncertainty.
Because of nonlinear interactions, one cannot simply estimate what would happen to, for example, the 95th percentile of a given sea level projection if its estimate of the Antarctic contribution was substituted by another. In here, we will directly quantify this effect using a technique introduced in [14]. Apart from its direct practicality for fact checking back-of-the-envelope calculations such as the aforementioned Antarctic substitution, these nonlinear interaction terms also give insights into the physics and the model assumptions that govern the uncertainty. A considerable part of the uncertainty in probabilistic models is also owing to expert judgements of different kinds. One such judgement is what sort of data that go into the different process estimates, another is a remapping of percentiles that is used by the IPCC to define their likely range. The likely range is defined as the 17th–83rd percentile range of the IPCC’s sea level projection. However, it is calculated as the 5th–95th percentile range in their process-based model. It is not clear how such a judgement could be applied to other percentiles, but the consequences of using some transformations aiming to do a similar job are investigated here.
Lastly, we attempt to look into scenario uncertainty by going beyond the RCP based projections using a probabilistic baseline scenario. That is, a scenario that depicts a future state of society in which no new environmental policies are implemented apart from those already in the pipeline today. In this case, the scenario is constrained by fossil fuel availability and estimates of climate sensitivity [15]. This approach aims to cast the probabilities of seeing a certain sea level rise in a less restrictive framework than that of the RCPs. The likely ranges for the different RCPs, in particular that from the high emission RCP8.5 scenario, is often used for planning purposes. However, the probabilities of the different RCPs coming to pass are not known. The probability of seeing a sea level rise equal to the upper likely range of, for example, RCP8.5, is thus essentially unknown. Strictly speaking, using a probabilistic baseline scenario will not remove the ambiguities inherent to putting probabilities on future climate states. However, it certainly helps contextualizing the probabilistic RCP based projections.
The overarching aim of this article is to probe how different estimates and viewpoints affect sea level projections for the year 2100. No new projections will be presented. Instead, a couple of different models are investigated to give insights into how different process estimates, expert judgements and scenario choices affect the sea level projections at different percentiles.

2. Method

Our process based probabilistic projections are done using a code written by Dewi le Bars availiable at https://github.com/dlebars/PSLP), which was used in [16,17], where the model is presented in much greater detail than here. Essentially, the model produces probability density functions (PDFs) of sea level rise for the years up to 2100 using Monte Carlo methods. These yearly sea level projections are given by a sum of random variables modelling the different sea level rise components according to
X ( t ) = X T W ( t ) + X A ( t ) + X G ( t ) + X O ( t ) + X G l ( t ) ,
where X ( t ) is the sea level projection at a given time t, X T W is the contribution from changes in terrestrial water storage, X A is the Antarctic contribution, X G is the Greenland contribution, X O is the oceanic (thermosteric) contribution and X G l is the contribution from Glaciers that are not part of the Greenland or Antarctic ice sheets. The contributions from the ice sheets can be further subdivided into components from surface mass balance and ice sheet dynamics. This sort of modelling approach is needed since no single climate model gives estimates of all the components in Equation (1), and even if such a model could be made the computational cost of running it would prohibit its usage for deriving sea level PDFs.
Several different options are available in the code to model the the different sea level components in Equation (1). One option is to model the components as in the probabilistic projection that was used to infer the likely range in IPCC’s fifth assessment report (AR5, [5]). This procedure gives a PDF, which agrees with the published AR5 percentiles to within a few cm. Two different sets of sea level components (i.e., sets of terms in Equation (1)), both covered in [17], are used here. The first is the AR5 version, which we modify slightly as described later in the section so that it can emulate the sea level projection presented in IPCC’s Special Report on the Ocean and Cryosphere in a Changing Climate (SROCC). The second is the one called the probabilistic partially correlated model in [17]. These models are hereafter refereed to as the SROCC and the LB18 model. Many components in both these models are driven by the global mean surface temperature (GMST), which is modelled as
T ( t ) = T ¯ ( t ) + γ σ ( T ( t ) ) N 1 ,
where T ( t ) is the GMST at time t, T ( t ) is a temperature distribution derived from the Coupled Model Intercomparison Project Phase 5 (CMIP5), the bar signifies an ensemble mean, σ ( T ( t ) ) is the standard deviation of that distribution, N 1 is a normally distributed random variable with zero mean and standard deviation equal to one, and γ is a parameter that can be used to manipulate the temperature uncertainty derived from the CMIP5 ensemble. This parameter is set to 1 in the AR5 model and 1.64 in the LB18 model. A γ value larger than one makes the temperature uncertainty larger than that derived from the CMIP5 ensemble, which in turn increases the uncertainty in the sea level projection. The γ value used in the LB18 model is meant to make a judgement similar to that the IPCC makes when they define their likely range (in this case, their 17th–83rd percentile range) to be equal to the 5th–95th percentile range of their process-based model [17].
Several of the sea level rise contributions, defined in Equation (1), then depend on this GMST distribution in their parametrization. X O ( t ) , for example, is given by
X O ( t ) = X O ¯ ( t ) + γ σ ( X O ( t ) ) N O ,
where X O is a distribution of the oceanic (thermosteric) contribution to sea level rise derived from a CMIP5 ensemble and N O is a random variable. The LB18 and AR5/SROCC models differ in that N O = N 1 in the AR5 and SROCC models and N O = 0.3 N 1 + N 1 1 0 . 3 2 in the LB18 model. This means that X O ( t ) and T ( t ) are perfectly correlated in the AR5 and SROCC models, while they have a Pearson correlation coefficient of 0.3 in the LB18 model. The latter value was chosen because it better represents the correlation between these two variables in the CMIP5 ensemble.
Two additions were made to the code in the process of doing this work. The first allows the emulation of the probabilistic projection used to infer the likely range in SROCC. This is done by substituting the Antarctic sea level contribution used in the AR5 projection (i.e., X A ( t ) in Equation (1)), for one that agrees closely with that used in SROCC at the 5th, 50th and 95th percentiles for the years between 2007 and 2100. The other components of the AR5 and SROCC projections are the same, so they remain unchanged. The second addition permits the different components of the sea level projection to be turned off one at the time, which allows us to quantify the nonlinear interaction terms between the different processes.
Figure 1 shows how well our emulated SROCC projection compares to the real SROCC projection at the percentiles published as extended data from the SROCC report. The difference in the full projection never exceeds 3 cm at any percentile or time, and the difference in the Antarctic contribution is always less than 0.5 cm. There is a tendency for our probabilistic projection to be biased low by about 1.5 cm, most of which can be explained by a similar bias in the probabilistic AR5 projection the code produces. This could easily be adjusted for by a translation of the whole projection. Not being aware of the root cause for this bias, I have, however, opted to keep the projection as it is.
Our emulation of the SROCC Antarctic contribution is done by drawing random numbers from a skewnormal distribution with time varying location and scale parameters. That is, in this case, we set X A ( t ) in Equation (1) according to
X A ( t ) = S k ( ξ ( t ) , ω ( t ) , α ) ,
where S k is the skewnormal distribution, ξ is the location parameter, ω is the scale parameter, and α is the time constant, but RCP dependent shape parameter. These three parameters are chosen to minimise the difference between the 5th, 50th and 95th percentiles of the X A ( t ) distribution and those given for the Antarctic sea level contribution in SROCC, see Figure 1. The skewnormal random numbers drawn to form the Antarctic contribution are independent of all other random numbers drawn to form the distributions of the other components, an assumption that is also used in the real SROCC model [1].
Process-based projections like these ones combine the estimates from different sea level rise processes in a nonlinear way. This means, for example, that the 95th percentile sea level rise estimate is in general not equal to the sum of 95th percentile contributions from the individual sea level rise processes (i.e., from terrestrial water, glaciers, Greenland, Antarctica and thermosteric expansion). Formally, one can quantify the nonlinear interactions between the different components by performing a number of simulations where the number of processes used is varied. Here, we use the method introduced in [14] to quantify the direct contributions and nonlinear interaction terms of the system. An example of applying this methodology in a sea level study is given in [18]. The method allows us to factorize the different processes so that the whole projection is equal to the sum of these factors. A simple system consisting of only two processes (a and b) can be factorized as
η a b = η ^ 0 + η ^ a + η ^ b + η ^ a b ,
where η a b is our sea level projection for a given percentile given by the model when both processes a and b and included, η ^ 0 is the value η would have if both processes a and b are excluded, η ^ a is the direct contribution from process a, η ^ b is the direct contribution from process b, and η ^ a b is the contribution from the interaction between process a and b. A general rule is that a hat variable with only one subscript shows the direct effect of a given process on the projection, while a hat variable with multiple subscripts shows the contribution to the projection from nonlinear interactions between these processes. Variables without hats refer to direct model output rather than factors. The hat variables in our simple example can be calculated from the model output according to
η ^ 0 = η 0 ,
η ^ a = η a η 0 ,
η ^ b = η b η 0 ,
η ^ a b = η a b ( η a + η b ) + η 0 .
The interested reader is directed to [14] for details on how these different terms are computed in the general case with n processes. The system grows in complexity as more processes are added, and a system with n processes requires 2 n simulations for a full factorisation. For our SROCC projection, we will consider four processes η ^ G for the Greenland contribution, η ^ A for the Antarctic contribution, η ^ O for the oceanic contribution (i.e., the thermosteric contribution) and η ^ G l for the contribution from Glaciers. The contribution from changes in terrestrial water storage will thus be contained in the η ^ 0 term.
The factorisation is applied to the SROCC and to the LB18 model. Both models contain the same physical processes, although estimated differently. However, the LB18 model also has an additional expert judgement tweak which we shall consider as a separate process here. Many of the processes in the process-based models are driven by the global mean surface temperature (GMST), and the distribution of GMST in the LB18 model is multiplied by a factor γ = 1.64 as discussed above. This “process” is here called η ^ T , and it is only included in the factorisation of the LB18 model. The SROCC model can be tweaked in a similar way and two such models, in particular one dubbed the SROCC γ ANT, are discussed in the article. For the factorisation experiment, we have, however, opted to keep the SROCC model as is, since it is unclear how and if the IPCC’s judgement of mapping the 5th–95th percentile range to the likely range should be applied to other percentiles.
It is worth noting that interaction terms in this framework typically stem from the partially correlated nature of the random variables involved. In fact, η ^ a b approaches zero for normally distributed X a and X b (the random variables modelling η a and η b ) when the correlation between X a and X b approaches one. A simple example is when X a and X b are both given by random variables with zero means, and η 0 = 0 . Evaluating η ^ a b at some percentile, p, we get from Equation (9)
η ^ a b = z a b ( p ) σ ( X a ) 2 + σ ( X b ) 2 + 2 σ ( X a ) σ ( X b ) r ( X a , X b ) z a ( p ) σ ( X a ) z b ( p ) σ ( X b ) ,
where z a b ( p ) , z a ( p ) and z b ( p ) are z-scores for the percentile p for the different distributions governing X a , X b and X a b , and r ( X a , X b ) is the Pearson correlation coefficient between X a and X b . It is plain to see that, if X a and X b are both independent normally distributed variables, then z a b ( p ) = z a ( p ) = z b ( p ) , and η ^ a b 0 by the triangle inequality. If we assume that z a b ( p ) z a ( p ) z b ( p ) , it is also clear that η ^ a b becomes increasingly negative with a diminishing correlation coefficient. It is thus quite hard to get strong positive interactions in this framework, which requires having both strongly correlated variables and favourable z ( p ) values. A special case is the η ^ T “process”, which affects the distributions of other variables, while the variance of η ^ T itself is zero. Interaction terms of the form η ^ T X are thus positive when the γ multiplication amplifies the process X.
A rough characterization of these models is that the SROCC model is a rather straightforward frequentist approach to uncertainty, typical of what is normally used in physical sciences. Basically, it shows the frequency of sea level outcomes that could be expected from current state-of-the-art models. The LB18 model is close to the SROCC model for most processes, but it has a different correlation structure, a very long Antarctic tail, and a GMST uncertainty that is inflated by expert judgements. The SROCC γ ANT is a version of the SROCC model where both GMST and Antarctic uncertainty is inflated by expert judgements. Compared to the LB18 model, the SROCC γ ANT has a fatter but not quite as long Antarctic tail. Together, the three models give a range that covers outcomes that one could reasonably expect to see in current physical models, but the estimates are smaller than what is found when the ice sheet contributions are given directly by expert judgements [7].

3. Results

3.1. Factorization of the Projections

In this section, we use the factorisation [14] to investigate how different processes contribute to the different percentiles of the LB18 and SROCC projections. Hereafter, all projections shown are for the year 2100. Figure 2, Figure 3 and Figure 4 show the results for the different RCP projections. The two models are seen to have the same direct contributions from the main processes with the exception of η ^ A , which comes from [19] in the LB18 model, and is much larger at the high percentiles than the SROCC estimate. The interaction terms are more different between the two projections than the direct contributions, at least under RCP8.5. For RCP4.5 and RCP2.6, all interaction terms are quite weak. The most prominent negative interaction term is η ^ G A . The rational is simple, if following from Equation (10) that the magnitude of negative interaction terms increase with decreasing correlation between, and increasing magnitude of, the individual process terms. Both η ^ G and η ^ A are large terms at high percentiles, and they are also weakly correlated, in fact, uncorrelated in the SROCC model. The two terms η ^ A O and η ^ A G l are also sizeable for the same reason. Generally speaking, all sea level components are either positively correlated or uncorrelated to each other. The only significant exception is the Antarctic surface mass balance which is typically anti-correlated to the other components [17]. This correlation structure is a result of many components being dependent on the GMST in their parametrisation. Here, we consider the Antarctic dynamic and surface mass balance components jointly. The correlation of our Antarctic contribution to the others, especially at high percentiles under RCP8.5, therefore becomes dominated by the dynamic contribution and is thus weakly positive and zero in the LB18 and SROCC projection, respectively.
Two strong positive interactions exist for the LB18 model: η ^ G T adding 8 cm to the 99th percentile and η ^ O T , which adds 5 cm to the 99th percentile. These two terms show the effect that the multiplication of the GMST distribution by 1.64 has on the Greenland and thermosteric terms, respectively. The magnitude of this response depends on how well correlated these terms are with GMST and of course on the magnitude of γ . The more weakly correlated Antarctic contribution gives rise to η ^ A T , which contributes only 2 cm to the projection at the 99th percentile. The SROCC model assumes a perfect correlation between GMST and the thermosteric term, while LB18 assumes a more realistic correlation coefficient of 0.3. The factor η ^ O T would thus be larger if included into the SROCC model than it is in the LB18 model, given that the γ value was the same in the two models.
Having an Antarctic contribution that is uncorrelated to GMST as is the case in the SROCC model might seem like an odd modelling assumption given that Antarctic mass loss is primarily driven by global warming just like the other components, with the exception of the terrestrial water storage. However, the assumption should not be interpreted as the Antarctic contribution and GMST being independent. The scale and location parameters of both the GMST and the Antarctic distributions used in the projections are functions of time. Without much restriction, we can assume them to be strictly monotonic and continuous functions defined on a bounded domain, implying that they are bijective. The location parameter for GMST, μ G M S T , is thus a function of that for the Antarctic distribution according to
μ G M S T = f 1 ( μ A )
where f 1 is the inverse of the function μ A = f ( t ) , and similar relationships hold between the other parameters. In other words, one might think of this dependency as assuming that the mean and spread of the Antarctic contribution is completely governed by GMST, while individual outcomes for the Antarctic contribution are assumed independent of individual outcomes for GMST. The uncertainty in individual outcomes in the SROCC model is thus thought to depend on other uncertainties such as in process understanding or in model numerics.
Overall, the interaction terms, except those owing to the γ multiplication are mostly negative and sizeable only for weakly correlated processes of large magnitude, in accordance with the simple example given in Equation (10). Moreover, we find all high order interaction terms to be unimportant, and only a few low order interaction terms to be of importance for the overall projections. In fact, with the possible exception of RCP8.5, we find that all interaction terms can be quite safely neglected, which means that these complicated 16 and 32 term decompositions can be well approximated by far fewer terms.
Figure 5 shows the sum of the interaction and process terms for the two models. The sum of the forcing terms give quite a good estimate of the total projection with a maximum mismatch of about 10 cm for the SROCC model on the 99th percentile under RCP8.5. This difference is considerably smaller than the inter model difference and completely dwarfed compared to the difference between our two model projections and very high-end model projections such as [16] and [7]. One may therefore produce rough, but useful, estimates of how these model projections would change if one estimate of a process was substituted for another by directly adding up the process terms. Now, we should keep in mind that the terrestrial water term is not included as a separate process here, rather it is contained in η ^ 0 . Since it is uncorrelated to the other terms it would give rise to a negative interaction term analogous to, but weaker than, η ^ G A if it had been treated as a separate process. This means that substituting, for example, η ^ A calculated here for some other probabilistic measure of the Antarctic contribution, which is calculated without the terrestrial water component would lead to a slightly bigger overestimation of the total projection than the direct sum of the processes in Figure 5 does.

3.2. The Influence of the Likely Range Transformation

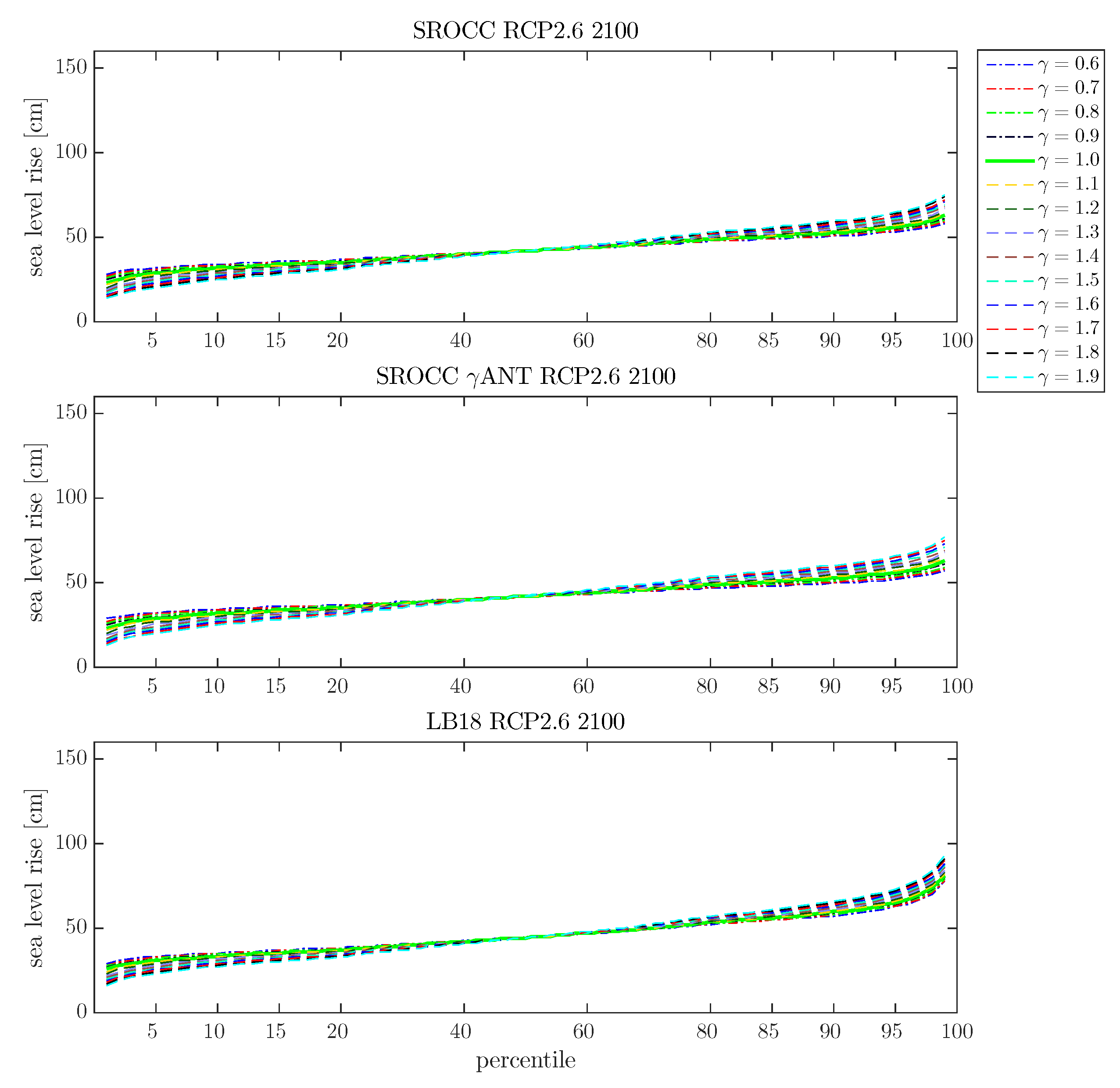
In the preceding section, it was shown that the γ multiplication in the LB18 model gives rise to some important positive interaction terms that nearly cancel the sum of the negative interactions in that model. Here, we evaluate the effect of varying γ on the projections. Figure 6, Figure 7 and Figure 8 show projections for the different RCPs, where γ is varied between 0.6 and 1.9. This is equivalent to mapping the 5th–95th GMST percentile range to between 61% and 99% of the probability, for a normally distributed GMST such as the one used in both models investigated here. The IPCC likely range as a reminder is defined as covering between 66% and 100% of the probability. An extra alternative is added for the SROCC model called γ ANT, where not only GMST but also the Antarctic contribution to sea level rise is multiplied by γ . This γ ANT modification is necessary to achieve a transformation close to what the IPCC expert judgement does. Such a transformation is achieved when γ is between 1.8 and 1.9, which gives 17th and 83th percentiles within a cm or two of those given in SROCC for all RCPs. This transformation also makes the SROCC model considerably closer to the LB18 model.
The γ ANT model highlights how much uncertainty expert judgements add to sea level projections, and indeed how subjective these uncertainty estimates really are. The 99th percentile of the γ ANT model with γ = 1.9 is 33 cm higher than when γ = 1.0 under RCP8.5. At the 99.9th percentile, the difference is 49 cm. These differences are larger than the whole Antarctic contribution at the same percentiles under RCP8.5 for the SROCC model shown in Figure 2. Another consequence of this transformation is that it makes the γ ANT model very fat tailed. The LB18 model still gives a higher estimate than the γ ANT model at the 99th percentile by 2 cm, but, for percentiles lower than that, the γ ANT model gives higher estimates. The expected cost of flood damage would thus likely be higher for the γ ANT model than for the LB18 model in most cases, given that sea level rise estimates from the γ ANT model are higher at all but the very highest percentiles. The implications of such differences in the shapes of sea level distributions are not discussed nearly as much in the literature as the values the distributions take at high percentiles are. However, we will see in the following section that, when scenario uncertainty is also considered as part of the projections, differences in shape can make a sizeable impact on the estimated probabilities.

3.3. Probabilities for a Baseline Scenario

Thus far, we have focused only on the the likelihood of seeing a certain sea level rise under a given RCP. This means, of course, that the likelihood of us experiencing a sea level rise equal to, for example, the 99 percentile under RCP8.5 is not 1%, but rather much less than that. However, the likelihood of the RCPs themselves coming to pass has not been getting much attention in the scientific literature. The recently published study [15] (hereafter CP16) is an exception to that rule that we will base our analysis here on. The authors of CP16 present cumulative probability distributions (CDFs) of global mean surface temperature (GMST) increase and radiative forcing for the year 2100 that are constrained by estimates of fossil fuel resource availability and climate sensitivity. This is thus essentially a probabilistic baseline scenario. RCP8.5 and RCP6.0 in comparison have been interpreted as 90th percentile and medium baseline scenarios, respectively [20]. CP16’s findings are quite consistent with these estimates giving an 88% probability of surpassing a 2 C increase in GMST, while the probability of exceeding the radiative forcing of RCP8.5 is found to be 12%. On the other hand, [21] have criticized the CP16 estimate for using too large estimates of recoverable coal reserves, and thus to give too high probabilities for high emission scenarios, especially for RCP8.5. Regardless of whether this is true, the constraints imposed by CP16 on GMST are tight enough to potentially be useful also to constrain future sea level rise.
To link the CDF for GMST increase by CP16 to global mean sea level (GMSL) rise, one needs a functional relationship between the two parameters. A linear relationship between GMST and GMSL has been found to hold on time scales of millennia [22,23]; however, for end of the current century projections, it is not evident what to use. Figure 9 (top) shows the GMSL projections (median and likely range) for RCPs 2.6, 4.5 and 8.5 relative to 1986–2005 from [1] plotted against the corresponding projected GMST increase relative to preindustrial from [24]. RCP6.0 is absent here because it was not considered by [1]. However, the GMSL projection for RCP6.0 given by [5] was very similar to their RCP4.5 projection, so, as a zero order estimate, one might assume that RCP6.0 has roughly the same projection as RCP4.5. The relationship between sea level rise and temperature appears to be close to linear in these projections, a second order polynomial fit is also shown for reference, and to include as a more tail-heavy estimate. It is, however, important to note that this is a plot of GMSL quantiles versus GMST quantiles, and the relationship would not necessarily be the same if we could plot instead modelled GMSL rise versus modelled GMST increase directly. The latter is, however, hard to do since no single model that estimates all the terms of the sea level budget is available. To get a sense of the uncertainties involved in this approximation, we also present a complementary set of estimates that do not rely on a GMST-GMSL relationship, but that instead make assumptions about the likelihood of the RCPs.
To produce our second set of estimates, we first assume probabilities for the three RCPs. Two cases are studied; in the first, we assume that all RCPs are equally likely to occur (giving probabilities 0.33–0.33–0.33), in the second, we assume that RCP2.6 and RCP8.5 are less likely to occur than RCP4.5. Here, we assume the probabilities 0.12, 0.76 and 0.12 for RCP2.6, RCP4.5 and RCP8.5, which is roughly similar to CP16. Probabilistic projections for these different choices are then produced by inverse transform sampling random numbers from the different sea level projection models discussed in earlier sections in quantities according to the assumed RCP probabilities. Each such projection shown in Figure 9 (bottom) is done using PDFs derived from a total of 2 × 10 7 inverse transform sampled random numbers from the three RCP based distributions of each model.
The figure shows that both the linear and quadratic CP16 based cases give much higher sea level rise than the other cases. The median GMSL rise in the reference case is 72 cm, while it is 54–57 cm in all cases where probabilities for the RCPs are assumed. The reason for this sizeable difference is that the CP16 GMST distribution represents a higher climate sensitivity than our other set of estimates. This can be seen by comparing CP16s CDFs for radiative forcing and GMST. A radiative forcing of 8.5 W/m 2 corresponding to RCP8.5 is their 88th percentile, while the 88th percentile for GMST is 5.21 C . However, the median warming in RCP8.5 relative to the preindustrial given in [24] is only 4.31 C , which is a 74th percentile in CP16. A difference of 0.9 C like that seen between the 88th percentile value and the RCP8.5 median warming translates to a 15.6 cm sea level rise, using the linear scaling shown in Figure 9. Thus, the climate sensitivity in CP16 is somewhat higher than that in the CMIP5 models and this gives rise to a sizeable difference in the projections. A higher climate sensitivity could perhaps be beneficial, however, since the next generation CMIP6 models have been found to have a higher climate sensitivity than those in CMIP5 [25].
It is interesting to note that for projections like these the scenario uncertainty (i.e., the difference between the 0.33–0.33–0.33 and the 0.12–0.76–0.12 cases) is often much larger than the model uncertainty (i.e., the difference between e.g., the LB18 and the SROCC γ ANT model). The SROCC γ ANT model, for example, is extremely close to the LB18 model in the 0.12–0.76–0.12 case. Moreover, the very long Antarctic tails common to all RCP projections with the LB18 model give very small contributions to the projections here. In fact, the SROCC γ ANT model consistently gives higher estimates in the 0.33–0.33–0.33 case than the LB18 model, suggesting that the thickness of the tail is more important than its length in these projections. In fact, in the 0.33–0.33–0.33 case, we have to go all the way up to the 99.8th percentile to get an LB18 estimate that exceeds that from the SROCC γ ANT model. Moreover, even for the more conservative 0.33–0.33–0.33 case, the risk of seeing a global mean sea level rise of 2 m is only about one in ten thousand for the SROCC γ ANT and LB18 models, while it is about one in ten million for the SROCC model. The corresponding probabilities for the CP16 based estimates cannot be determined since the discreet GMST CDF only go up to the 99.9th percentile, which gives a sea level rise of 160 cm and 172 cm, respectively, for the linear and quadratic case.

4. Discussion and Conclusions

The factorisation of these projections shows that nonlinear interaction terms give relatively modest contributions, compared to those from the direct effects of the different processes. In the bulk, this is especially true for the LB18 model, where there is a significant cancellation between the positive interactions owing to the γ = 1.64 multiplication, and the negative interactions owing primarily to η ^ G A , η ^ A O and η ^ A G l . The fact that a few two-process interaction terms are the only ones that make sizeable contributions to the projection makes the somewhat complicated 16 and 32 term factorisations easy to approximate with much fewer terms. In fact, a relatively good back-of-the-envelope calculation of the sea level rise projections for the 1st to 99th percentile for both models considered can be made by simply adding the direct contributions from the processes. Moreover, if needed, one can accurately approximate the most important two-process interactions using Equation (10), assuming that correlations between the processes are known.
It is sometimes argued that risk averse coastal planners need to look outside of the IPCC’s likely range projections for the different RCPs when planning for future sea level rise [1,12]. To what degree this is the case is obviously dependent upon how likely one estimates the different RCP scenarios to be. Currently, there are very few estimates available of the probability of the different scenarios coming to pass, and those that exist are, to the authors knowledge, only for baseline scenarios. That is, none of these estimates factor in polices for reducing emissions apart from those already implemented. This deeply uncertain nature of future emission pathways is, of course, a great hindrance for accurate future sea level projections. The sensitivity of sea level projections to different assumed scenario probabilities can, however, be estimated. Our such estimates show clearly that the risk of having a 2 m sea level rise this century, which the SROCC report mentions as a level that cannot be completely ruled out, becomes extremely small unless a relatively high probability for RCP8.5 is assumed. Moreover, our analysis also suggests that the thickness of the right tail of the sea level projection can be much more important than its length when scenario uncertainty is taken into account.
The biggest uncertainty in sea level projections is often said to come from the Antarctic contribution [1,3,26], which is arguably true if one directly compares the spread in published estimates for the different processes under a given RCP. On the other hand, it is evident that uncertainty ranges derived from current state-of-the-art ice-sheet model ensembles are considerably tighter than those from expert judgement approaches [1,7,27]. Moreover, expert judgements that currently give the largest uncertainties have typically only been used to estimate the contributions from ice-sheets. It thus seems premature to rule out that such methodologies would not also put larger uncertainties on other components. Therefore, it might be equally true to say that the biggest uncertainty in sea level projections is owing to subjective choices of methodology. Our sensitivity study to variations in the γ parameter showed, for example, that the γ range probed for the γ ANT model under RCP8.5 at the 95th percentile gives rise to a projection range that is larger than the whole Antarctic 95th percentile contribution. Moreover, when we considered the probabilistic baseline scenario, we identified climate sensitivity rather than Antarctica as the biggest uncertainty. Where the biggest uncertainties lie is thus to some extent dependent on one’s viewpoint.
In conclusion, it is evident that the uncertainty represented in current sea level projections, even if the RCP is taken as given, is not simply related to how well we understand and can model the physical processes involved in sea level rise. Much further research, perhaps especially on the dynamics of ice sheets and their inclusion into climate models, is certainly needed to further constrain uncertainties. However, as long as the projections are not testable, there will always be room for doubt, and the objective probabilities that can be calculated from models can thus disagree with the subjective probabilities perceived by various experts. Carefully probing the effects of different methodological choices, process estimates and expert judgements as we have done here cannot resolve this difficulty. However, it can inform us about which such choices and judgements most strongly affect the projections and why. Such knowledge can in turn be useful for guiding future research.

Funding

This research received no external funding.

Acknowledgments

I thank Iñigo Capellán Pérez for providing me with his CDF of 2100 GMST and Dewi Le Bars for making his code publicly available. I also thank three anonymous reviewers for their helpful comments. All other data in support of the conclusions is available through the references.

Conflicts of Interest

The author declares no conflict of interest.

References

  1. Oppenheimer, M.; Glavovic, B.; Hinkel, J.; van de Wal, R.; Magnan, A.K.; Abd-Elgawad, A.; Cai, R.; Cifuentes-Jara, M.; Deconto, R.M.; Ghosh, T.; et al. Sea Level Rise and Implications for Low Lying Islands, Coasts and Communities. In Intergovernmental Panel on Climate Change Special Report on the Ocean and Cryosphere in a Changing Climate; Technical Report; Available online: https://www.ipcc.ch/srocc/download-report-2/ (accessed on 10 January 2020).
  2. Sweet, W.V.; Kopp, R.E.; Weaver, C.P.; Obeysekera, J.; Horton, R.M.; Thieler, E.R.; Zervas, C. Global and Regional Sea Level Rise Scenarios for the United States; NOAA/NOS Center for Operational Oceanographic Products and Services: Silver Spring, MD, USA, 2017. [Google Scholar]
  3. Kopp, R.E.; Horton, R.M.; Little, C.M.; Mitrovica, J.X.; Oppenheimer, M.; Rasmussen, D.J.; Strauss, B.H.; Tebaldi, C. Probabilistic 21st and 22nd century sea-level projections at a global network of tide-gauge sites. Earth’s Future 2014, 2, 383–406. [Google Scholar] [CrossRef]
  4. Grinsted, A.; Jevrejeva, S.; Riva, R.E.M.; Dahl-Jensen, D. Sea level rise projections for northern Europe under RCP8.5. Clim. Res. 2015, 64, 15–23. [Google Scholar] [CrossRef]
  5. Church, J.; Clark, P.; Cazenave, A.; Gregory, J.; Jevrejeva, S.; Levermann, A.; Merrifield, M.; Milne, G.; Nerem, R.; Nunn, P.; et al. Sea Level Change. In Climate Change 2013: The Physical Science Basis. Contribution of Working Group I to the Fifth Assessment Report of the Intergovernmental Panel on Climate Change; Technical Report; Cambridge University Press: Cambridge, UK; New York, NY, USA, 2013. [Google Scholar]
  6. Rahmstorf, A. A semi-empirical approach to projecting future sea-level rise. Science 2007, 315, 368–370. [Google Scholar] [CrossRef]
  7. Bamber, J.L.; Oppenheimer, M.; Kopp, R.E.; Aspinall, W.P.; Cooke, R.M. Ice sheet contributions to future sea-level rise from structured expert judgment. Proc. Natl. Acad. Sci. USA 2019, 116, 11195–11200. [Google Scholar] [CrossRef]
  8. Bakker, A.M.R.; Louchard, D.; Keller, K. Sources and implications of deep uncertainty surrounding sea-level projections. Clim. Chang. 2017, 140, 339–347. [Google Scholar] [CrossRef]
  9. Feynman, R.P.; Leighton, R.B.; Sands, M. The Feynman Lectures on Physics, New Millennium ed.; Originally Published 1963–1965; Basic Books: New York, NY, USA, 2010. [Google Scholar]
  10. Garner, A.J.; Weiss, J.L.; Parris, A.; Kopp, R.E.; Horton, R.M.; Overpeck, J.T.; Horton, B.P. Evolution of 21st Century Sea Level Rise Projections. Earth’s Future 2018, 6, 1603–1615. [Google Scholar] [CrossRef]
  11. Johansson, M.M.; Pellikka, H.; Kahma, K.K.; Ruosteenoja, K. Global sea level rise scenarios adapted to the Finnish coast. J. Mar. Syst. 2014, 129, 35–46. [Google Scholar] [CrossRef]
  12. Jevrejeva, S.; Frederikse, T.; Kopp, R.E.; Jackson, G.L.C.L.P.; van de Wal, R.S.W. Probabilistic Sea Level Projections at the Coast by 2100. Surv. Geophys. 2018, 40, 1673–1696. [Google Scholar] [CrossRef]
  13. Horton, B.P.; Kopp, R.E.; Garner, A.J.; Hay, C.C.; Khan, N.S.; Roy, K.; Shaw, T.A. Mapping Sea-Level Change in Time, Space, and Probability. Annu. Rev. Environ. Resour. 2018, 43, 481–521. [Google Scholar] [CrossRef]
  14. Stein, U.; Alpert, P. Factor separation in numerical simulations. J. Atmos. Sci. 1993, 50, 2107–2115. [Google Scholar] [CrossRef]
  15. Capellán-Pérez, I.; Arto, I.; Polanco-Martínez, J.M.; González-Eguinob, M.; Neumann, M.B. Likelihood of climate change pathways under uncertainty on fossil fuel resource availability. Energy Environ. Sci. 2016, 9, 2482–2496. [Google Scholar] [CrossRef]
  16. Le Bars, D.; Drijfhout, S.; de Vries, H. A high-end sea level rise probabilistic projection including rapid Antarctic ice sheet mass loss. Environ. Res. Lett. 2017, 12, 044013. [Google Scholar] [CrossRef]
  17. Le Bars, D. Uncertainty in Sea Level Rise Projections Due to the Dependence Between Contributors. Earth’s Future 2018, 6, 1275–1291. [Google Scholar] [CrossRef]
  18. Hieronymus, M.; Hieronymus, J.; Arneborg, L. Sea Level modelling in the Baltic and the North Sea: The respective role of different parts of the forcing. Ocean Model. 2017, 118, 59–72. [Google Scholar] [CrossRef]
  19. Levermann, A.; Winkelmann, R.; Nowicki, S.; Fastook, J.L.; Frieler, K.; Greve, R.; Hellmer, H.H.; Martin, M.A.; Meinshausen, M.; Mengel, M.; et al. Projecting Antarctic ice discharge using response functions from SeaRISE ice-sheet models. Earth Syst. Dyn. 2014, 5, 271–293. [Google Scholar] [CrossRef]
  20. van Vuuren, D.P.; Edmonds, J.; Kainuma, M.; Riahi, K.; Thomson, A.; Hibbard, K.; Hurtt, G.C.; Kram, T.; Krey, V.; Lamarque, J.F.; et al. The representative concentration pathways: An overview. Clim. Chang. 2011, 109, 1–54. [Google Scholar] [CrossRef]
  21. Ritchie, J.; Dowlatabadi, H. Why do climate change scenarios return to coal? Energy 2017, 140, 1276–1291. [Google Scholar] [CrossRef]
  22. Levermann, A.; Clark, P.U.; Marzeion, B.; Milne, G.A.; Pollard, D.; Radic, V.; Robinson, A. The multimillennial sea-level commitment of global warming. Proc. Natl. Acad. Sci. USA 2013, 110, 13745–13750. [Google Scholar] [CrossRef]
  23. Hieronymus, M. An update on the thermosteric sea level rise commitment to global warming. Environ. Res. Lett. 2019, 14, 054018. [Google Scholar] [CrossRef]
  24. IPCC. Climate Change 2013: The Physical Science Basis. Contribution of Working Group I to the Fifth Assessment Report of the Intergovernmental Panel on Climate Change; Cambridge University Press: Cambridge, UK; New York, NY, USA, 2013; p. 1535. [Google Scholar] [CrossRef]
  25. Forster, P.M.; Maycock, A.C.; McKenna, C.M.; Smith, C.J. Latest climate models confirm need for urgent mitigation. Nat. Clim. Chang. 2020, 10, 7–10. [Google Scholar] [CrossRef]
  26. Kopp, R.E.; Gilmore, E.A.; Little, C.M.; Lorenzo-Trueba, J.; Ramenzoni, V.C.; Sweet, W.V. Usable Science for Managing the Risks of Sea-Level Rise. Earth’s Future 2019, 7, 1235–1269. [Google Scholar] [CrossRef] [PubMed]
  27. Seroussi, H.; Nowicki, S.; Payne, A.J.; Goelzer, H.; Lipscomb, W.H.; Abe Ouchi, A.; Agosta, C.; Albrecht, T.; Asay-Davis, X.; Barthel, A.; et al. ISMIP6 Antarctica: A multi-model ensemble of the Antarctic ice sheet evolution over the 21st century. Cryosphere Discuss. 2020, 2020, 1–54. [Google Scholar] [CrossRef]
Figure 1. The difference between the real SROCC projections and our probabilistic emulation at the published percentiles as a function of time. The left panels show the full projection and the right panels show the Antarctic contribution. The top panels show RCP8.5, the middle panels RCP4.5 and the lower panels RCP2.6.
Figure 1. The difference between the real SROCC projections and our probabilistic emulation at the published percentiles as a function of time. The left panels show the full projection and the right panels show the Antarctic contribution. The top panels show RCP8.5, the middle panels RCP4.5 and the lower panels RCP2.6.
Water 12 03212 g001
Figure 2. Factorisation of the RCP8.5 projections from the SROCC and LB18 models. Percentiles between 1 and 99 are shown. Note also that the SROCC factorisation has 16 terms, while the LB18 factorisation has 32 terms owing to the inclusion of the γ constant multiplying GMST. A hat variable with one subscript shows the direct effect of one process, while a hat variable with multiple subscripts show the effect of the interaction between these processes. The subscript 0 stands for terrestrial water change, G for Greenland, A for Antarctica, O for ocean and G l for glaciers.
Figure 2. Factorisation of the RCP8.5 projections from the SROCC and LB18 models. Percentiles between 1 and 99 are shown. Note also that the SROCC factorisation has 16 terms, while the LB18 factorisation has 32 terms owing to the inclusion of the γ constant multiplying GMST. A hat variable with one subscript shows the direct effect of one process, while a hat variable with multiple subscripts show the effect of the interaction between these processes. The subscript 0 stands for terrestrial water change, G for Greenland, A for Antarctica, O for ocean and G l for glaciers.
Water 12 03212 g002
Figure 3. Same as Figure 2, but for RCP4.5.
Figure 3. Same as Figure 2, but for RCP4.5.
Water 12 03212 g003
Figure 4. Same as Figure 2, but for RCP2.6.
Figure 4. Same as Figure 2, but for RCP2.6.
Water 12 03212 g004
Figure 5. Comparison of the sum of the interaction and forcing terms to the total projections shown in Figure 2, Figure 3 and Figure 4.
Figure 5. Comparison of the sum of the interaction and forcing terms to the total projections shown in Figure 2, Figure 3 and Figure 4.
Water 12 03212 g005
Figure 6. The sea level projections for RCP8.5 as a function of γ in the two models. In the middle panel, we introduced the γ ANT parametrisation, where not only the GMST distribution but also the Antarctic distribution is multiplied by γ . The x-axis is stretched for percentiles smaller than 20 and larger than 80. At those percentiles, the distance plotted between consecutive percentiles is twice that used in the range between the 20th and 80th percentile.
Figure 6. The sea level projections for RCP8.5 as a function of γ in the two models. In the middle panel, we introduced the γ ANT parametrisation, where not only the GMST distribution but also the Antarctic distribution is multiplied by γ . The x-axis is stretched for percentiles smaller than 20 and larger than 80. At those percentiles, the distance plotted between consecutive percentiles is twice that used in the range between the 20th and 80th percentile.
Water 12 03212 g006
Figure 7. Same as Figure 5, but for RCP4.5.
Figure 7. Same as Figure 5, but for RCP4.5.
Water 12 03212 g007
Figure 8. Same as Figure 5, but for RCP2.6.
Figure 8. Same as Figure 5, but for RCP2.6.
Water 12 03212 g008
Figure 9. Sea level rise plotted against GMST increase from the SROCC report (top), and sea level rise projections based on the probabilistic baseline scenario (bottom). The SROCC γ ANT model is used here with γ = 1.85 , which gives a close agreement with the SROCC median value and likely range.
Figure 9. Sea level rise plotted against GMST increase from the SROCC report (top), and sea level rise projections based on the probabilistic baseline scenario (bottom). The SROCC γ ANT model is used here with γ = 1.85 , which gives a close agreement with the SROCC median value and likely range.
Water 12 03212 g009
Publisher’s Note: MDPI stays neutral with regard to jurisdictional claims in published maps and institutional affiliations.

Share and Cite

MDPI and ACS Style

Hieronymus, M. Nonlinear Interactions and Some Other Aspects of Probabilistic Sea Level Projections. Water 2020, 12, 3212. https://doi.org/10.3390/w12113212

AMA Style

Hieronymus M. Nonlinear Interactions and Some Other Aspects of Probabilistic Sea Level Projections. Water. 2020; 12(11):3212. https://doi.org/10.3390/w12113212

Chicago/Turabian Style

Hieronymus, Magnus. 2020. "Nonlinear Interactions and Some Other Aspects of Probabilistic Sea Level Projections" Water 12, no. 11: 3212. https://doi.org/10.3390/w12113212

APA Style

Hieronymus, M. (2020). Nonlinear Interactions and Some Other Aspects of Probabilistic Sea Level Projections. Water, 12(11), 3212. https://doi.org/10.3390/w12113212

Note that from the first issue of 2016, this journal uses article numbers instead of page numbers. See further details here.

Article Metrics

Back to TopTop