Contribution of Tropical Cyclones to Precipitation around Reclaimed Islands in the South China Sea
Abstract
1. Introduction
2. Materials and Methods
2.1. Study Area
2.2. Data
2.3. Methods
2.3.1. The Monthly Precipitation Ratio (MPR)
2.3.2. Spatial Analysis and Statistics
2.3.3. Correlation Analysis
2.3.4. El Niño and La Niña Events
3. Results
3.1. Spatiotemporal Variation of TCs
3.2. Characteristics of Precipitation and ENSO
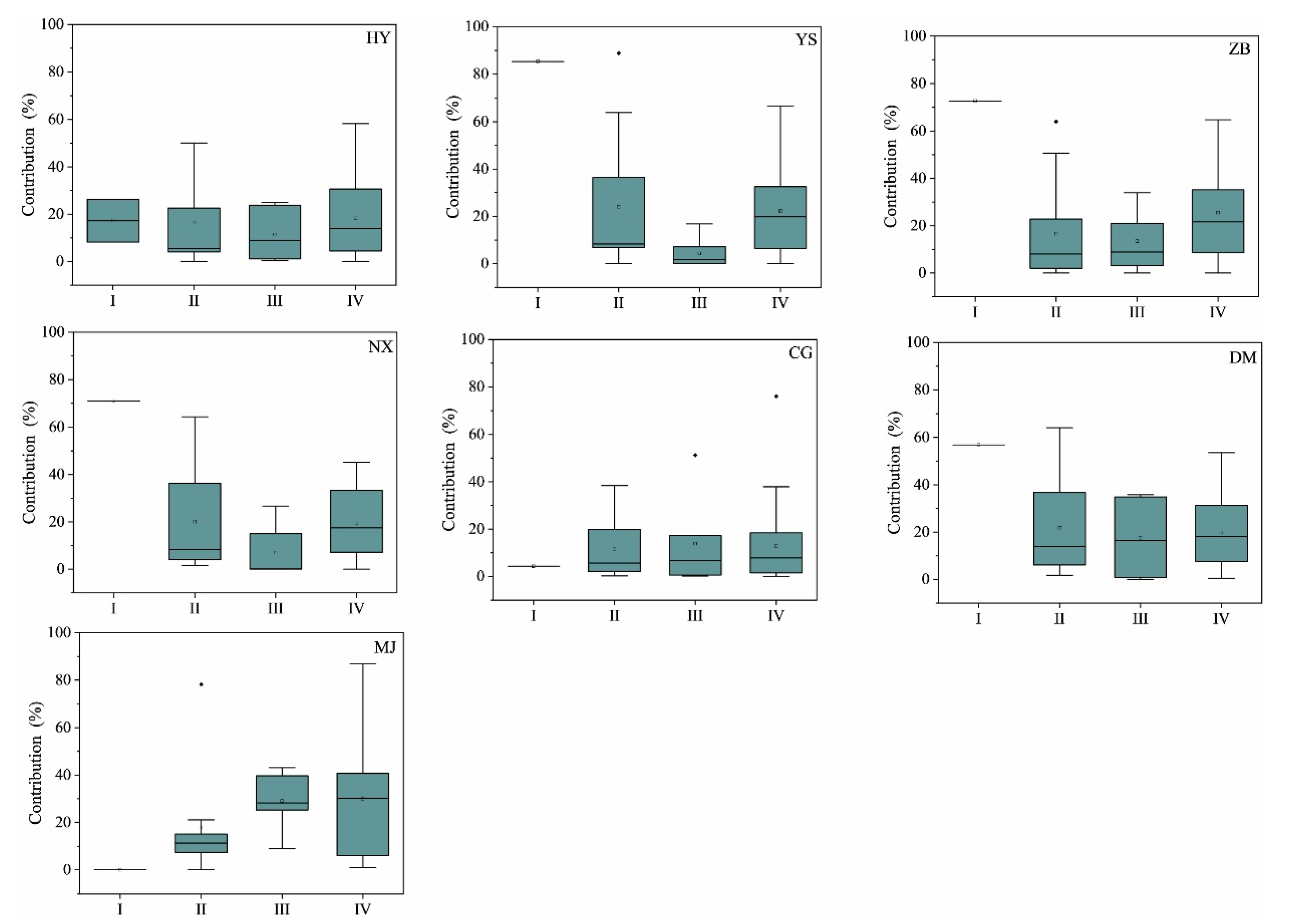
3.3. Monthly and Seasonal Contribution of TC-Induced Precipitation
3.4. Interannual Contribution of TC-induced Precipitation
4. Discussion
4.1. Influence of Radius on TC-Derived Precipitation
4.2. Track Patterns of TCs
4.3. Impact of ENSO on TC-Derived Precipitation
4.4. Uncertainty Analysis
5. Conclusions
Author Contributions
Funding
Acknowledgments
Conflicts of Interest
References
- Sánchez-Benítez, A.; García-Herrera, R.; Vicente-Serrano, S.M. Revisiting precipitation variability, trends and drivers in the Canary Islands. Int. J. Climatol. 2017, 37, 3565–3576. [Google Scholar] [CrossRef]
- Chen, J.M.; Chen, H.S.; Liu, J.S. Coherent interdecadal variability of tropical cyclone rainfall and seasonal rainfall in Taiwan during October. J. Clim. 2013, 26, 308–321. [Google Scholar] [CrossRef]
- Wu, Y.; Wu, S.; Zhai, P. The impact of tropical cyclones on Hainan Island’s extreme and total precipitation. Int. J. Climatol. 2007, 27, 1059–1064. [Google Scholar] [CrossRef]
- Yumul, G.P., Jr.; Servando, N.T.; Suerte, L.O.; Magarzo, M.Y.; Juguan, L.V.V.; Dimalanta, C.B. Tropical cyclone-southwest monsoon interaction and the 2008 floods and landslides in Panay island, central Philippines: Meteorological and geological factors. Nat. Hazards 2012, 62, 827–840. [Google Scholar] [CrossRef]
- Rodgers, E.B.; Adler, R.F.; Pierce, H.F. Contribution of tropical cyclones to the north pacific climatological rainfall as observed from satellites. J. Appl. Meteorol. 2000, 39, 1658–1678. [Google Scholar] [CrossRef]
- Breña-Naranjo, A.J.; Pedrozo-Acuña, A.; Pozos-Estrada, O.; Jiménez-López, S.A.; López-López, M.R. The contribution of tropical cyclones to rainfall in Mexico. Phys. Chem. Earth Parts A B C 2015, 83–84, 111–122. [Google Scholar] [CrossRef]
- Chen, A.; Ho, C.H.; Chen, D.; Azorin-Molina, C. Tropical cyclone rainfall in the Mekong river basin for 1983–2016. Atmos. Res. 2019, 226, 66–75. [Google Scholar] [CrossRef]
- Jiang, H.; Zipser, E.J. Contribution of tropical cyclones to the global precipitation from eight seasons of TRMM data: Regional, seasonal, and interannual variations. J. Clim. 2010, 23, 1526–1543. [Google Scholar] [CrossRef]
- Khouakhi, A.; Villarini, G.; Vecchi, G.A. Contribution of tropical cyclones to rainfall at the global scale. J. Clim. 2017, 30, 359–372. [Google Scholar] [CrossRef]
- Yao, Y.; Andrews, C.; Zheng, Y.; He, X.; Babovic, V.; Zheng, C. Development of fresh groundwater lens in coastal reclaimed islands. J. Hydrol. 2019, 573, 365–375. [Google Scholar] [CrossRef]
- Swaffer, B.A.; Habner, N.L.; Holland, K.L.; Crosbie, R.S. Applying satellite-derived evapotranspiration rates to estimate the impact of vegetation on regional groundwater flux. Ecohydrology 2020, 13, e2172. [Google Scholar] [CrossRef]
- Deng, C.; Bailey, R. A modeling approach for assessing groundwater resources of a large coral island under future climate and population conditions: Gan Island, Maldives. Water 2019, 11, 1963. [Google Scholar] [CrossRef]
- Bedekar, V.S.; Memari, S.S.; Clement, T.P. Investigation of transient freshwater storage in island aquifers. J. Contam. Hydrol. 2019, 221, 98–107. [Google Scholar] [CrossRef] [PubMed]
- Stofberg, S.F.; Essink, G.H.P.O.; Pauw, P.S.; de Louw, P.G.B.; Leijnse, A.; van der Zee, S. Fresh water lens persistence and root zone salinization hazard under temperate climate. Water Resour. Manag. 2017, 31, 689–702. [Google Scholar] [CrossRef]
- Zhang, W.; Wu, L.; Zou, X. Changes of tropical cyclone tracks in the western north pacific over 1979–2016. Adv. Clim. Change Res. 2018, 9, 170–176. [Google Scholar] [CrossRef]
- Wang, L.; Wang, L. Impact of the East Asian winter monsoon on tropical cyclone genesis frequency over the South China Sea. Int. J. Climatol. 2020, 40, 1328–1334. [Google Scholar] [CrossRef]
- Chen, J.; Wu, R.; Wen, Z. Contribution of south China Sea tropical cyclones to an increase in southern China summer rainfall around 1993. Adv. Atmos. Sci. 2012, 29, 585–598. [Google Scholar] [CrossRef]
- Feng, X.; Wu, R.; Chen, J.; Wen, Z. Factors for interannual variations of September-October rainfall in Hainan, China. J. Clim. 2013, 26, 8962–8978. [Google Scholar] [CrossRef]
- Huang, Q.; Guan, Y. Does the Asian monsoon modulate tropical cyclone activity over the South China Sea? Chin. J. Oceanol. Limnol. 2012, 30, 960–965. [Google Scholar] [CrossRef]
- Li, R.; Wang, S.Y.; Gillies, R.R.; Buckley, B.M.; Truong, L.H.; Cho, C. Decadal oscillation of autumn precipitation in Central Vietnam modulated by the East Pacific-North Pacific (EP-NP) teleconnection. Environ. Res. Lett. 2015, 10. [Google Scholar] [CrossRef]
- Zhou, C.; He, L.; Yang, Q.; Fang, Z. Three-dimensional numerical simulation of freshwater len in coral islands. J. Hydraul. Eng. 2010, 41, 560–566. (In Chinese) [Google Scholar]
- Zhao, J.; Wen, Z.; Shu, L.; Zhen, L.; Zhou, C. Formation of freshwater lens in islands and evolution rules of the upconing. Geotech. Investig. Surv. 2009, 37, 40–44. (In Chinese) [Google Scholar]
- Chen, J.; Wang, X.; Zhou, W.; Wang, C.; Xie, Q.; Li, G.; Chen, S. Unusual rainfall in Southern China in decaying August during extreme El Nino 2015/16: Role of the Western Indian Ocean and North Tropical Atlantic SST. J. Clim. 2018, 31, 7019–7034. [Google Scholar] [CrossRef]
- Hu, P.; Chen, W.; Chen, S.; Liu, Y.; Huang, R.; Dong, S. Relationship between the South China Sea summer monsoon withdrawal and September-October rainfall over southern China. Clim. Dyn. 2020, 54, 713–726. [Google Scholar] [CrossRef]
- Gao, S.; Chen, Z.; Zhang, W. Impacts of tropical North Atlantic SST on Western North Pacific landfalling tropical cyclones. J. Clim. 2018, 31, 853–862. [Google Scholar] [CrossRef]
- Lok, C.; Chan, J. Changes of tropical cyclone landfalls in South China throughout the twenty-first century. Clim. Dyn. 2018, 51, 2467–2483. [Google Scholar] [CrossRef]
- Huang, W.; Dong, S. Long-term and inter-annual variations of tropical cyclones affecting Taiwan region. Reg. Stud. Mar. Sci. 2019, 30, 2352–4855. [Google Scholar] [CrossRef]
- Ankur, K.; Busireddy, N.; Osuri, K.; Niyogi, D. On the relationship between intensity changes and rainfall distribution in tropical cyclones over the North Indian Ocean. Int. J. Climatol. 2020, 40, 2015–2025. [Google Scholar] [CrossRef]
- Ayala, J.J.H.; Matyas, C.J. Tropical cyclone rainfall over Puerto Rico and its relations to environmental and storm-specific factors. Int. J. Climatol. 2016, 36, 2223–2237. [Google Scholar] [CrossRef]
- Barth, N.A.; Villarini, G.; White, K. Contribution of eastern North Pacific tropical cyclones and their remnants on flooding in the western United States. Int. J. Climatol. 2018, 38, 5441–5446. [Google Scholar] [CrossRef]
- Hu, H.; Duan, Y.; Wang, Y.; Zhang, X. Diurnal cycle of rainfall associated with landfalling tropical cyclones in China from rain gauge observations. J. Appl. Meteorol. Climatol. 2017, 56, 2595–2605. [Google Scholar] [CrossRef]
- Liu, L.; Xu, J.; Wang, Y.; Duan, Y. Contribution of recycling of surface precipitation to landfalling tropical cyclone rainfall: A modeling study for Typhoon Utor (2013). J. Geophys. Res. Atmos. 2019, 124, 870–885. [Google Scholar] [CrossRef]
- Lonfat, M.; Marks, F.D.; Chen, S. Precipitation distribution in tropical cyclones using the Tropical Rainfall Measuring Mission (TRMM) Microwave Imager: A global perspective. Mon. Weather Rev. 2004, 132, 1645–1660. [Google Scholar]
- Englehart, P.J.; Douglas, A. The role of eastern North Pacific tropical storms in the rainfall climatology of western Mexico. Int. J. Climatol. 2001, 21, 1357–1370. [Google Scholar] [CrossRef]
- Kubota, H.; Wang, B. How much do tropical cyclones affect seasonal and interannual rainfall variability over the Western North Pacific? J. Clim. 2009, 22, 5495–5510. [Google Scholar] [CrossRef]
- Huffman, G.J.; Stocker, E.F.D.T.; Bolvin, E.J.; Nelkin, J.T. GPM IMERG Final Precipitation L3 Half Hourly 0.1 Degree x 0.1 Degree V06; Goddard Earth Sciences Data and Information Services Center (GES DISC): Greenbelt, MD, USA, 2019. [CrossRef]
- Ying, M.; Zhang, W.; Yu, H. An overview of China Meteorological Administration tropical cyclone database. J. Atmos. Ocean. Technol. 2014, 31, 287–301. [Google Scholar] [CrossRef]
- Camargo, S.J.; Sobel, A.H. Western north pacific tropical cyclone intensity and ENSO. J. Clim. 2005, 18, 2996–3006. [Google Scholar]
- Zhang, W.J.; Zhang, Y.J.; Zheng, D.; Lyu, W.T. Quantifying the contribution of tropical cyclones to lightning activity over the Northwest Pacific. Atmos. Res. 2020, 239, 104906. [Google Scholar] [CrossRef]
- Lee, H.S. General rainfall patterns in Indonesia and the potential impacts of local seas on rainfall intensity. Water 2015, 7, 1751–1768. [Google Scholar]
- Wang, C.; Wang, B.; Wu, L. Abrupt breakdown of the predictability of early season typhoon frequency at the beginning of the twenty-first century. Clim. Dyn. 2019, 52, 3809–3822. [Google Scholar] [CrossRef]
- Liu, F.; Zhang, H.; Ming, J.; Zheng, J.; Tian, D.; Chen, D. Importance of precipitation on the Upper Ocean salinity response to Typhoon Kalmaegi (2014). Water 2020, 12, 614. [Google Scholar] [CrossRef]













| Grade of TCs | Proportion (%) | Maximum Average Wind Speed (m/s) | Intensity |
|---|---|---|---|
| Tropical depression (TD) | 36.9 | 10.8–17.1 | 1 |
| Tropical storm (TS) | 29.0 | 17.2–24.4 | 2 |
| Severe tropical storm (STS) | 13.8 | 24.5–32.6 | 3 |
| Typhoon (TY) | 13.5 | 32.7–41.4 | 4 |
| Strong typhoon (STY) | 5.6 | 41.5–50.9 | 5 |
| Super typhoon (Super TY) | 1.2 | ≥51.0 | 6 |
| ENSO | HY | YS | ZB | NX | CG | DM | MJ | |
|---|---|---|---|---|---|---|---|---|
| ENSO | 1 | |||||||
| HY | −0.39 | 1 | ||||||
| YS | −0.36 | 0.97 ** | 1 | |||||
| ZB | −0.27 | 0.72 ** | 0.75 ** | 1 | ||||
| NX | −0.16 | 0.82 ** | 0.83 ** | 0.88 ** | 1 | |||
| CG | −0.36 | 0.94 ** | 0.95 ** | 0.86 ** | 0.93 ** | 1 | ||
| DM | −0.36 | 0.96 ** | 0.94 ** | 0.84 ** | 0.94 ** | 0.99 ** | 1 | |
| MJ | −0.27 | 0.71 ** | 0.67 ** | 0.92 ** | 0.85 ** | 0.79 ** | 0.81 ** | 1 |
| ENSO | TC-Induced Precipitation Contribution (%) | ||||||||
|---|---|---|---|---|---|---|---|---|---|
| Event | Time length | Peak | HY | YS | ZB | NX | CG | DM | MJ |
| El Niño | 2002.06–2003.02 | 1.3 | 0 | 0 | 0 | 0 | 0 | 0 | 0 |
| 2004.07–2005.02 | 0.7 | 0.9 | 1.4 | 34.7 | 7.8 | 1.5 | 1.2 | 36.1 | |
| 2006.09–2007.01 | 0.9 | 0 | 0.1 | 0.1 | 0 | 0 | 0 | 0 | |
| 2009.07–2010.03 | 1.6 | 0 | 0 | 0.6 | 0 | 0 | 0 | 0 | |
| 2014.11–2016.05 | 2.6 | 1.4 | 9.1 | 13.6 | 31.1 | 7.9 | 9.0 | 16.8 | |
| 2018.10–2018.12 | 0.9 | 3.1 | 11.0 | 25.9 | 17.3 | 15.9 | 9.5 | 1.2 | |
| La Niña | 2001.01–2001.02 | −0.7 | 0 | 0 | 0 | 0 | 0 | 0 | 0 |
| 2005.11–2006.03 | −0.8 | 0 | 0 | 0 | 0 | 0 | 0 | 0 | |
| 2007.07–2008.06 | −1.6 | 44.7 | 72.3 | 56.2 | 46.1 | 48.8 | 42.1 | 41.9 | |
| 2008.11–2009.03 | −0.8 | 0.6 | 7.3 | 6.2 | 1.5 | 1.3 | 0.2 | 0.1 | |
| 2010.06–2011.05 | −1.7 | 0 | 0 | 0 | 0 | 0 | 0 | 0 | |
| 2011.07–2012.03 | −1.1 | 3.9 | 2.3 | 43.8 | 31.1 | 20.1 | 19.2 | 47.3 | |
| 2016.08–2016.12 | −0.7 | 0 | 0 | 0 | 0 | 0 | 0 | 0 | |
| 2017.10–2018.03 | −1 | 57.9 | 61.3 | 44.4 | 48.8 | 48.8 | 50.3 | 51.2 | |
| Neutral | 2001.03–2002.05 | 0.4 | 0 | 0 | 28.5 | 3.3 | 0.2 | 1.9 | 0.3 |
| 2003.03–2004.06 | 0.4 | 0 | 0 | 14.8 | 9.0 | 3.0 | 3.3 | 3.8 | |
| 2005.03–2005.10 | 0.4 | 1.6 | 11.5 | 16.6 | 20.5 | 8.7 | 15.2 | 8.1 | |
| 2006.04–2006.08 | −1.7 | 0 | 0 | 22.3 | 0.0 | 0 | 0 | 0 | |
| 2007.02–2007.06 | −0.4 | 0 | 0 | 0 | 0 | 0 | 0 | 0 | |
| 2008.07–2008.10 | −0.4 | 0 | 0 | 0 | 0 | 0 | 0 | 0 | |
| 2009.04–2009.06 | 0.4 | 4.1 | 2.0 | 2.1 | 3.4 | 5.6 | 12.5 | 3.7 | |
| 2010.04–2010.05 | 0.4 | 0 | 0 | 0 | 0 | 0 | 0 | 0 | |
| 2011.06–2011.06 | −0.4 | 0 | 0 | 0 | 0 | 0 | 0 | 0 | |
| 2012.04–2014.10 | ±0.4 | 64.7 | 85.1 | 50.2 | 56.2 | 79.9 | 71.8 | 46.9 | |
| 2016.06–2016.07 | −0.3 | 0 | 0 | 0 | 0 | 0 | 0 | 0 | |
| 2017.01–2017.09 | ±0.4 | 0 | 0 | 0 | 0 | 0 | 0 | 0 | |
| 2018.04–2018.09 | ±0.4 | 0 | 0 | 0 | 0 | 0 | 0 | 0 | |
Publisher’s Note: MDPI stays neutral with regard to jurisdictional claims in published maps and institutional affiliations. |
© 2020 by the authors. Licensee MDPI, Basel, Switzerland. This article is an open access article distributed under the terms and conditions of the Creative Commons Attribution (CC BY) license (http://creativecommons.org/licenses/by/4.0/).
Share and Cite
Yao, D.; Song, X.; Yang, L.; Ma, Y. Contribution of Tropical Cyclones to Precipitation around Reclaimed Islands in the South China Sea. Water 2020, 12, 3108. https://doi.org/10.3390/w12113108
Yao D, Song X, Yang L, Ma Y. Contribution of Tropical Cyclones to Precipitation around Reclaimed Islands in the South China Sea. Water. 2020; 12(11):3108. https://doi.org/10.3390/w12113108
Chicago/Turabian StyleYao, Dongxu, Xianfang Song, Lihu Yang, and Ying Ma. 2020. "Contribution of Tropical Cyclones to Precipitation around Reclaimed Islands in the South China Sea" Water 12, no. 11: 3108. https://doi.org/10.3390/w12113108
APA StyleYao, D., Song, X., Yang, L., & Ma, Y. (2020). Contribution of Tropical Cyclones to Precipitation around Reclaimed Islands in the South China Sea. Water, 12(11), 3108. https://doi.org/10.3390/w12113108
