Regional Response to Global Warming: Water Temperature Trends in Semi-Natural Mountain River Systems
Abstract
1. Introduction
2. Materials and Methods
2.1. Study Area and Data
2.2. Methods
3. Results
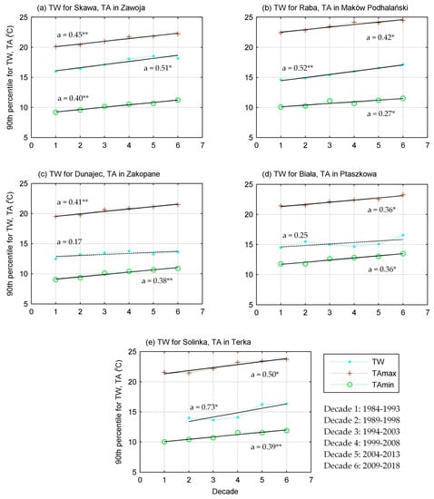
3.1. Trends in Water Temperature
3.2. Trends in Air Temperature
4. Discussion
Funding
Acknowledgments
Conflicts of Interest
References
- Delpla, I.; Jung, A.V.; Baures, E.; Clement, M.; Thomas, O. Impacts of climate change on surface water quality in relation to drinking water production. Environ. Int. 2009, 35, 1225–1233. [Google Scholar] [CrossRef] [PubMed]
- Regier, H.A.; Holmes, J.A.; Pauly, D. Influence of temperature change on aquatic ecosystems: An interpretation of empirical data. Trans. Am. Fish. Soc. 1990, 119, 374–389. [Google Scholar] [CrossRef]
- Caissie, D. The thermal regime of rivers: A review. Freshw. Biol. 2006, 51, 1389–1406. [Google Scholar] [CrossRef]
- Allan, J.D.; Castillo, M.M. Stream Ecology. Structure and Function of Running Waters, 2nd ed.; Springer: Dordrecht, The Netherlands, 2007. [Google Scholar]
- Mohseni, O.; Stefan, H.G.; Eaton, J.G. Global warming and potential changes in fish habitat in US streams. Clim. Chang. 2003, 59, 389–409. [Google Scholar] [CrossRef]
- Sinokrot, B.A.; Stefan, H.G. Stream temperature dynamics: measurements and modeling. Water Resour. Res. 1993, 29, 2299–2312. [Google Scholar] [CrossRef]
- Poole, G.C.; Berman, C.H. An ecological perspective on in-stream temperature: natural heat dynamics and mechanisms of human-caused thermal degradation. Environ. Manag. 2001, 27, 787–802. [Google Scholar] [CrossRef]
- Durance, I.; Ormerod, S.J. Trends in water quality and discharge confound long-term warming effects on river macroinvertebrates. Freshw. Biol. 2009, 54, 388–405. [Google Scholar] [CrossRef]
- Betts, R.A.; Falloon, P.D.; Goldewijk, K.K.; Ramankutty, N. Biogeopysical effects of land use on climate: model simulations of radiative forcing and large-scale temperature change. Agric. For. Meteorol. 2007, 142, 216–233. [Google Scholar] [CrossRef]
- Intergovernmental Panel on Climate Change (IPCC). Climate Change 2013: The Physical Science Basis. Contribution of Working Group I to the Fifth Assessment Report of the Intergovernmental Panel on Climate Change; Stocker, T.F., Qin, D., Plattner, G.-K., Tignor, M., Allen, S.K., Boschung, J., Nauels, A., Xia, Y., Bex, V., Midgley, P.M., Eds.; Cambridge University Press: Cambridge, UK; New York, NY, USA, 2013. [Google Scholar]
- Intergovernmental Panel on Climate Change (IPCC). Summary for policymakers. In Global Warming of 1.5°C; Masson-Delmotte, V., Zhai, P., Pörtner, H.-O., Roberts, D., Skea, J., Shukla, P.R., Pirani, A., Moufouma-Okia, W., Péan, C., Pidcock, R., et al., Eds.; IPCC: Geneva, Switzerland, 2018; in press. [Google Scholar]
- European Environment Agency. Available online: https://www.eea.europa.eu/data-and-maps/indicators/global-and-european-temperature-9/assessment (accessed on 1 October 2019).
- Van Heerwaarden, C.C.; de Arellado, J.V.G.; Teuling, A.J. Land-atmosphere coupling explains the link between pan evaporation and actual evapotranspiration trends in a changing climate. Geophys. Res. Lett. 2010, 37, L21401. [Google Scholar] [CrossRef]
- Kaushal, S.S.; Likens, G.E.; Jaworski, N.A.; Pace, M.L.; Sides, A.M.; Seekel, D.; Belt, K.T.; Secor, D.H.; Wintage, R.L. Rising stream and river temperatures in the United States. Front. Ecol. Environ. 2010, 8, 461–466. [Google Scholar] [CrossRef]
- Arismendi, I.; Johnson, S.L.; Dunham, J.B.; Haggerty, R.; Hockman-Wert, D. The paradox of cooling streams in a warming world: Regional climate trends do not parallel variable local trends in stream temperature in the Pacific continental United States. Geophys. Res. Lett. 2012, 39, L10401. [Google Scholar] [CrossRef]
- Wagner, T.; Midway, S.R.; Whittier, J.B.; DeWeber, J.T.; Paukert, C.P. Annual changes in seasonal river water temperatures in the eastern and western United States. Water 2017, 9, 90. [Google Scholar] [CrossRef]
- European Environment Agency. Water Temperature. 2016. Available online: https://www.eea.europa.eu/data-and-maps/indicators/water-temperature-2/assessment (accessed on 1 October 2019).
- North, R.P.; Livingstone, D.M.; Hari, R.E.; Köster, O.; Niederhauser, P.; Kipfer, R. The physical impact of the late 1980s climate regime shift on Swiss rivers and lakes. Inland Waters 2013, 3, 341–350. [Google Scholar] [CrossRef]
- Michel, A.; Brauchli, T.; Lehning, M.; Schaefli, B.; Huwald, H. Stream temperature and discharge evolution in Switzerland over the last 50 years: annual and seasonal behaviour. Hydrol. Earth Syst. Sci. 2020, 24, 115–142. [Google Scholar] [CrossRef]
- Woolway, R.I.; Dokulil, M.T.; Marszelewski, W.; Schmidt, M.; Bouffard, D.; Merchant, C.J. Warming of Central European lakes and their response to the 1980s climate regime shift. Clim. Chang. 2017, 142, 505–520. [Google Scholar] [CrossRef]
- Reid, P.C.; Hari, R.E.; Beaugrand, G.; Livingstone, D.M.; Marty, C.; Straile, D.; Barichivich, J.; Goberville, E.; Adrian, R.; Aono, Y.; et al. Global impacts of the 1980s regime shift. Glob. Chang. Biol. 2016, 22, 682–703. [Google Scholar] [CrossRef]
- Marszelewski, W.; Pius, B. Long-term changes in temperature of river waters in the transitional zone of the temperate climate: A case study of Polish rivers. Hydrol. Sci. J. 2016, 61, 1430–1442. [Google Scholar] [CrossRef]
- Orr, H.G.; Simpson, G.L.; des Clers, S.; Watts, G.; Hughes, M.; Hannaford, J.; Dunbar, M.J.; Laizé, C.L.R.; Wilby, R.L.; Battarbee, R.W.; et al. Detecting changing river temperatures in England and Wales. Hydrol. Process. 2015, 29, 752–766. [Google Scholar] [CrossRef]
- Węcławik, S. Geological structure. In The Upper Vistula Basin, Part I; Dynowska, I., Maciejewski, M., Eds.; PWN: Warsaw, Poland, 1991; pp. 30–41. (In Polish) [Google Scholar]
- Niedźwiedź, T.; Obrębska-Starklowa, B. Climate. In The Upper Vistula Basin, Part I; Dynowska, I., Maciejewski, M., Eds.; PWN: Warsaw, Poland, 1991; pp. 68–83. (In Polish) [Google Scholar]
- Chełmicki, W. Location, classification and characteristics of the basin. In The Upper Vistula Basin, Part I; Dynowska, I., Maciejewski, M., Eds.; PWN: Warsaw, Poland, 1991; pp. 15–29. (In Polish) [Google Scholar]
- Mann, H.B. Nonparametric tests against trend. Econometrica 1945, 13, 245–259. [Google Scholar] [CrossRef]
- Kendall, M.G. Rank Correlation Methods, 4th ed.; Charles Griffin: London, UK, 1975. [Google Scholar]
- Yue, S.; Pilon, P.; Phinney, B.; Cavadias, G. The influence of autocorrelation on the ability to detect trend in hydrological series. Hydrol. Process. 2002, 16, 1807–1829. [Google Scholar] [CrossRef]
- Yue, S.; Wang, C.Y. Applicability of prewhitening to eliminate the influence of serial correlation on the Mann–Kendall test. Water Resour. Res. 2002, 38, 41–47. [Google Scholar] [CrossRef]
- Theil, H. A rank-invariant method of linear and polynomial regression analysis I, II, III. Proc. R. Neth. Acad. Arts Sci. 1950, 53, 386–392, 521–525, 1397–1412. [Google Scholar]
- Sen, P.K. Estimates of the regression coefficient based on Kendall’s tau. J. Am. Stat. Assoc. 1968, 63, 1379–1389. [Google Scholar] [CrossRef]
- Jonkers, A.R.T.; Sharkey, K.J. The differential warming response of Britain’s rivers (1982–2011). PLoS ONE 2016, 11, e0166247. [Google Scholar] [CrossRef] [PubMed]
- Isaak, D.J.; Wollrab, S.; Horan, D.; Chandler, G. Climate change effects on stream and river temperatures across the northwest U.S. from 1980–2009 and implications for salmonid fishes. Clim. Chang. 2012, 113, 499–524. [Google Scholar] [CrossRef]
- Kędra, M.; Wiejaczka, Ł. Climatic and dam-induced impacts on river water temperature: Assessment and management implications. Sci. Total Environ. 2018, 626, 1474–1483. [Google Scholar] [CrossRef]
- Chen, D.; Hu, M.; Guo, Y.; Dahlgren, R.D. Changes in river water temperature between 1980 and 2012 in Yongan watershed, eastern China: Magnitude, drivers and models. J. Hydrol. 2016, 533, 191–199. [Google Scholar] [CrossRef]
- Lepori, F.; Pozzoni, M.; Pera, S. What drives warming trends in streams? A case study from the Alpine foothills. River Res. Appl. 2015, 31, 663–675. [Google Scholar] [CrossRef]
- Hari, R.E.; Livingstone, D.M.; Siber, R.; Burkhardt-Holm, P.; Güttinger, H. Consequences of climatic change for water temperature and brown trout populations in Alpine rivers and streams. Glob. Chang. Biol. 2006, 12, 10–26. [Google Scholar] [CrossRef]
- Benateau, S.; Gaudard, A.; Stamm, C.; Altermatt, F. Climate Change and Freshwater Ecosystems: Impacts on Water Quality and Ecological Status; Hydro-Ch2018 Project; Federal Office for the Environment (FOEN): Bern, Switzerland, 2019; 110p. [Google Scholar]
- Esau, I.; Zilitinkevich, S. On the role of the planetary boundary layer in the climate system. Adv. Sci. Res. 2010, 4, 63–69. [Google Scholar] [CrossRef]
- McNider, R.T.; Christy, J.R.; Biazar, A. A stable boundary layer perspective on global temperature trends. IOP C. Ser. Earth. Environ. 2010, 13, 012003. [Google Scholar] [CrossRef]
- Shi, X.; McNider, R.T.; England, D.E.; Friedman, M.J.; Lapenta, W.; Norris, W.B. On the behavior of the stable boundary layer and the role of initial conditions. Pure Appl. Geophys. 2005, 162, 1811–1829. [Google Scholar] [CrossRef]
- Taylor, C.A.; Stefan, H.G. Shallow groundwater temperature response to climate change and urbanization. J. Hydrol. 2009, 375, 601–612. [Google Scholar] [CrossRef]
- Webb, B.W.; Hannah, D.M.; Moore, R.D.; Brown, L.E.; Nobilis, F. Recent advances in stream and river temperature research. Hydrol. Proc. 2008, 22, 902–918. [Google Scholar] [CrossRef]
- Kędra, M.; Szczepanek, R. Land cover transitions and changing climatic conditions in the Polish Carpathians: Assessment and management implications. Land Degrad. Dev. 2019, 30, 1040–1051. [Google Scholar] [CrossRef]
- Piccolroaz, S.; Toffolon, M.; Robinson, C.; Siviglia, A. Exploring and quantifying river thermal response to heatwaves. Water 2018, 10, 1098. [Google Scholar] [CrossRef]
- Kędra, M. Muli-annual hydro-climatic trends in the Dunajec Basin (Polish Carpathians). IOP C. Ser. Earth Environ. 2019, 214, 012067. [Google Scholar] [CrossRef]
- Degirmendžić, J.; Kożuchowski, K.; Żmudzka, E. Changes of air temperature and precipitation in Poland in the period 1951–2000 and their relationship to atmospheric circulation. Int. J. Climatol. 2004, 24, 291–310. [Google Scholar] [CrossRef]
- Kędra, M. Altered precipitation and flow patterns in the Dunajec River Basin. Water 2017, 9, 22. [Google Scholar] [CrossRef]
- Spinoni, J.; Szalai, S.; Szentimrey, T.; Lakatos, M.; Bihari, Z.; Nagy, A.; Nemeth, A.; Kovacs, T.; Mihic, D.; Dacic, M.; et al. Climate of the Carpathian Region in the period 1961–2010: Climatologies and trends of 10 variables. Int. J. Climatol. 2015, 35, 1322–1341. [Google Scholar] [CrossRef]
- Kędra, M. Altered precipitation characteristics in two Polish Carpathian basins, with implications for water resources. Clim. Res. 2017, 72, 251–265. [Google Scholar] [CrossRef]
- Bieniarz, K.; Epler, P. Ichthyofauna. In The Upper Vistula Basin, Part II; Dynowska, I., Maciejewski, M., Eds.; PWN: Warsaw, Poland, 1991; pp. 69–81. (In Polish) [Google Scholar]
- Wyżga, B.; Amirowicz, A.; Radecki-Pawlik, A.; Zawiejska, J. Hydromorphological conditions, potential fish habitats and the fish community in a mountain river subjected to variable human impacts, the Czarny Dunajec, Polish Carpathians. River Res. Appl. 2009, 25, 517–536. [Google Scholar] [CrossRef]
- Barson, N.J.; Haugen, T.O.; Vøllestad, L.A.; Primmer, C.R. Contemporary isolation-by-distance, but not isolation-by-time, among demes of European grayling (Thymallus thymallus) with recent common ancestors. Evolution 2008, 63, 549–556. [Google Scholar] [CrossRef] [PubMed]
- Oomen, R.A.; Hutchings, J.A. Variation in spawning time promotes genetic variability in population responses to environmental change in a marine fish. Cons. Physiol. 2015, 3, cov027. [Google Scholar] [CrossRef]
- Wedekind, C.; Küng, C. Shift of spawning season and effects of climate warming on development stages of a grayling (Salmonidae). Conserv. Biol. 2010, 24, 1418–1423. [Google Scholar] [CrossRef]
- Wedekind, C.; Evanno, G.; Székely, T.; Pompini, M.; Darbellay, O.; Guthruf, J. Persistent unequal sex ratio in a population of grayling (Salmonidae) and possible role of temperature increase. Cons. Biol. 2013, 27, 229–234. [Google Scholar] [CrossRef]
- Mitchell, N.; Janzen, F.J. Temperature-dependent sex determination and contemporary climate change. Sex Dev. 2010, 4, 121–140. [Google Scholar] [CrossRef]





| Catchment/Streamflow Station | Catchment Area (km2) | Catchment Length (km) | Median Altitude (m a.s.l.) | Mean Catchment Slope (‰) | Aspect | Mean Discharge (m3∙s−1) | Time Period 1984–2018 | TW (°C) | ||
|---|---|---|---|---|---|---|---|---|---|---|
| Min | Max | Mean | ||||||||
| Skawa/Wadowice | 835 | 44.4 | 536 | 33 | NW | 12.9 | 1984–2016 (33 yr) | 0.0 | 20.8 | 8.8 |
| Raba/Stróża | 644 | 32.4 | 581 | 30 | N | 10.1 | 1984–2018 (35 yr) | 0.1 | 20.4 | 7.9 |
| Dunajec/Nowy Targ-Kowaniec | 681 | 37.6 | 836 | 46 | NE | 14.5 | 1984–2018 (35 yr) | 0.1 | 16.6 | 6.8 |
| Biała/Grybów | 210 | 25.2 | 549 | 27 | NW | 2.8 | 1989–2018 (30 yr) | 0.0 | 19.3 | 7.2 |
| Solinka/Terka | 310 | 25.4 | 764 | 34 | NW | 8.3 | 199–2017 (27 yr) | 0.0 | 20.6 | 6.4 |
| Mean | 536 | 33.0 | 653 | 34 | NW | 9.7 | 1986–2017 (32 yr) | 0.0 | 19.5 | 7.5 |
| Weather Station | Latitude (N) | Longitude (E) | Altitude (m a.s.l.) | Catchment | Time Period 1984–2018 | TAmin (°C) | TAmax (°C) | ||||
|---|---|---|---|---|---|---|---|---|---|---|---|
| Min | Max | Mean | Min | Max | Mean | ||||||
| Zawoja | 49°36′42″ | 19°31′07″ | 697 | Skawa | 1984–2018 (35 yr) | −15.1 | 12.7 | 2.2 | −5.8 | 27.0 | 11.6 |
| Maków Podhalański | 49°43′33″ | 19°41′17″ | 360 | Skawa | 1984–2014 (31 yr) | −15.9 | 13.2 | 2.5 | −5.6 | 28.8 | 13.3 |
| Zakopane | 49°17′38″ | 19°57′37″ | 855 | Dunajec | 1984–2018 (35 yr) | −14.9 | 12.8 | 1.6 | −5.3 | 25.3 | 10.9 |
| Ptaszkowa | 49°36′02″ | 20°53′07″ | 520 | Dunajec | 1986–2018 (33 yr) | −14.2 | 15.8 | 3.9 | −6.9 | 27.3 | 12.0 |
| Terka | 49°17′48″ | 22°25′40″ | 445 | Solinka | 1984–2018 (35 yr) | −16.0 | 13.5 | 2.7 | −6.2 | 27.5 | 12.3 |
| Mean | 575 | 1984–2017 (34 yr) | −15.2 | 13.6 | 2.6 | −6.0 | 27.2 | 12.0 | |||
| Catchment/Streamflow Station | January | February | March | April | May | June | July | August | September | October | November | December | Winter (DJF) | Spring (MAM) | Summer (JJA) | Autumn (SON) | Year |
|---|---|---|---|---|---|---|---|---|---|---|---|---|---|---|---|---|---|
| Skawa/Wadowice | 0.16 | 0.22 | 0.77 * | 1.15 ** | 1.11 ** | 1.25 ** | 1.20 ** | 1.20 ** | 1.13 ** | 0.59 * | 1.04 ** | 0.52 * | 0.29 * | 0.95 ** | 1.17 ** | 0.95 ** | 0.87 ** |
| Raba/Stróża | −0.05 | −0.02 | 0.09 | 0.24 | 0.67* | 1.10 ** | 1.05 ** | 0.91 ** | 0.83 ** | 0.71 ** | 0.90 ** | 0.01 | −0.02 | 0.28 | 0.94 ** | 0.78 ** | 0.51 ** |
| Dunajec/Nowy Targ-Kowaniec | 0.20 * | 0.16 | 0.24 | 0.19 | 0.11 | 0.33 | 0.22 | 0.38 | 0.64 * | 0.31 | 0.62 * | 0.35 * | 0.28 * | 0.18 | 0.30 | 0.51 ** | 0.33 ** |
| Biała/Grybów | 0.13 | 0.11 | 0.05 | 0.73 * | 0.42 | 1.03 * | 0.71 | 0.62 | 0.24 | 0.14 | 0.68 * | 0.35 * | 0.25 * | 0.42 | 0.75 * | 0.25 | 0.36 * |
| Solinka/Terka | 0.12 | 0.12 | 0.24 | 0.91 * | 1.19 | 1.54 * | 0.79 | 0.64 | 1.29 * | 0.72 | 0.76 | 0.27 | 0.21 | 0.82 * | 1.15 * | 1.08 * | 0.92 ** |
| Weather Station | January | February | March | April | May | June | July | August | September | October | November | December | Winter (DJF) | Spring (MAM) | Summer (JJA) | Autumn (SON) | Year |
|---|---|---|---|---|---|---|---|---|---|---|---|---|---|---|---|---|---|
| Zawoja | 0.20 | 0.53 | 0.54 | 0.56 * | 0.47 * | 0.91 ** | 0.70 ** | 0.58 ** | 0.31 | 0.28 | 1.09 * | 0.64 | 0.55 | 0.65 * | 0.71 ** | 0.68 * | 0.61 ** |
| Maków Podhalański | 0.19 | 0.31 | 0.01 | 0.14 | 0.24 | 0.61 * | 0.68 ** | 0.39 | −0.17 | 0.02 | 0.69 | 0.29 | 0.24 | 0.15 | 0.50 ** | 0.17 | 0.34 * |
| Zakopane | 0.02 | 0.61 | 0.34 | 0.46 * | 0.43 * | 0.96 ** | 0.72 ** | 0.66 ** | 0.44 * | 0.14 | 0.68 | 0.45 | 0.43 | 0.47 * | 0.80 ** | 0.58 * | 0.54 ** |
| Ptaszkowa | −0.01 | 0.48 | 0.40 | 0.67 * | 0.61 * | 0.82 ** | 0.65 ** | 0.73 ** | 0.67 * | 0.46 | 0.91 * | 0.77 | 0.14 | 0.64 * | 0.76 ** | 0.69 ** | 0.60 ** |
| Terka | 0.13 | 0.88 | 0.43 | 0.37 | 0.34 | 0.76 ** | 0.79 ** | 0.46 | 0.25 | 0.26 | 0.60 | 0.90 * | 0.64 | 0.38 * | 0.63 ** | 0.42 * | 0.54 ** |
| Weather Station | January | February | March | April | May | June | July | August | September | October | November | December | Winter (DJF) | Spring (MAM) | Summer (JJA) | Autumn (SON) | Year |
|---|---|---|---|---|---|---|---|---|---|---|---|---|---|---|---|---|---|
| Zawoja | −0.14 | 0.53 | 0.63 | 0.90 * | 0.45 | 1.00 ** | 0.73 * | 0.83 ** | 0.59 | 0.08 | 1.08 * | 0.52 | 0.27 | 0.68 * | 0.87 ** | 0.60 * | 0.66 ** |
| Maków Podhalański | −0.30 | 0.41 | 0.40 | 0.85 * | 0.07 | 0.77 * | 0.91 * | 0.63 * | 0.57 | 0.12 | 1.40 * | 0.31 | 0.13 | 0.34 | 0.72 * | 0.63 * | 0.44 * |
| Zakopane | −0.20 | 0.37 | 0.34 | 0.89 * | 0.41 | 0.91 ** | 0.63 * | 0.84 ** | 0.51 | 0.07 | 1.05 * | 0.43 | 0.14 | 0.59 * | 0.75 ** | 0.53 * | 0.56 ** |
| Ptaszkowa | −0.21 | −0.13 | 0.49 | 0.81 * | 0.39 | 0.67 * | 0.60 | 0.81 * | 0.64 | 0.14 | 0.96 | 0.69 | 0.10 | 0.56 * | 0.74 ** | 0.62 * | 0.53 ** |
| Terka | −0.04 | 0.52 | 0.50 | 0.82 ** | 0.48 | 0.90 ** | 0.79 * | 0.84 * | 0.66 | 0.17 | 1.01 * | 0.47 | 0.34 | 0.65 * | 0.92 * | 0.71 * | 0.65 ** |
© 2020 by the author. Licensee MDPI, Basel, Switzerland. This article is an open access article distributed under the terms and conditions of the Creative Commons Attribution (CC BY) license (http://creativecommons.org/licenses/by/4.0/).
Share and Cite
Kędra, M. Regional Response to Global Warming: Water Temperature Trends in Semi-Natural Mountain River Systems. Water 2020, 12, 283. https://doi.org/10.3390/w12010283
Kędra M. Regional Response to Global Warming: Water Temperature Trends in Semi-Natural Mountain River Systems. Water. 2020; 12(1):283. https://doi.org/10.3390/w12010283
Chicago/Turabian StyleKędra, Mariola. 2020. "Regional Response to Global Warming: Water Temperature Trends in Semi-Natural Mountain River Systems" Water 12, no. 1: 283. https://doi.org/10.3390/w12010283
APA StyleKędra, M. (2020). Regional Response to Global Warming: Water Temperature Trends in Semi-Natural Mountain River Systems. Water, 12(1), 283. https://doi.org/10.3390/w12010283

