Estimating Soil Organic Carbon in Agricultural Gypsiferous Soils by Diffuse Reflectance Spectroscopy
Abstract
1. Introduction
2. Materials and Methods
2.1. Study Area and Soil Samples
2.2. Soil Analyses
2.3. Statistical Analyses
3. Results
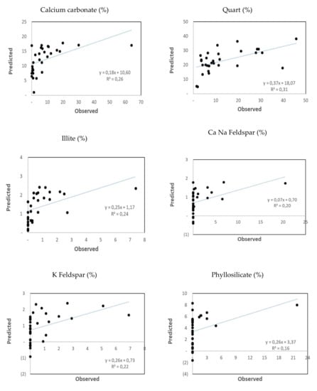
3.1. Prediction of Physical–Chemical Properties
3.2. Soil Organic Carbon and Available Water Capacity
4. Discussion
5. Conclusions
Author Contributions
Funding
Acknowledgments
Conflicts of Interest
Abbreviations
| AWC | available water content |
| C | Carbon |
| CRAD | Continuum Removed Absorption Depth |
| IPCC | Intergovernmental Panel on Climate Change |
| MSC | multiplicative signal correction |
| NDGI | Normalized Differenced Gypsum Index |
| PLSR | partial least square regression |
| RMSE | root mean square error |
| RPD | relative percent deviation |
| SD | where SD is the standard deviation |
| SOC | soil organic carbon |
| VIS/NIR | visible and near-infrared |
References
- Janik, L.J.; Merry, R.H.; Skjemstad, J.O. Can mid infrared diffuse reflectance analysis replace soil extractions? Aust. J. Exp. Agric. 1998, 38, 681–696. [Google Scholar] [CrossRef]
- Shepherd, K.D.; Walsh, M.G. Development of reflectance spectral libraries for characterization of soil properties. Soil Sci. Soc. Am. J. 2002, 66, 988–998. [Google Scholar] [CrossRef]
- Rossel, R.A.V.; Walvoort, D.J.J.; McBratney, A.B.; Janik, L.J.; Skjemstad, J.O. Visible, near infrared, mid infrared or combined diffuse reflectance spectroscopy for simultaneous assessment of various soil properties. Geoderma 2006, 131, 59–75. [Google Scholar] [CrossRef]
- Sastre, B. Estimating soil redistribution rates in an agricultural hillside by 137Cs: Case study in Central Spain on gypsiferous soil. In Empleo de Cubiertas vegetales en olivar, repercusión sobre el suelo, la erosión y la calidad del aceite de oliva virgen; Alcalá, U.D., Ed.; Universidad de Alcalá: Madrid, Spain, 2017; pp. 40–61. [Google Scholar]
- IPCC. Intergovernmental Panel on Climate Change Guidelines for National Greenhouse Gas Inventories; Eggleston, G.S., Miwa, K., Ngara, T., Tanabe, K., National Greenhouse Gas Inventories, Eds.; IGES: Kanagawa, Japan.
- Ben-Dor, E. Quantitative remote sensing of soil properties. Adv. Agron. 2002, 75, 173–243. [Google Scholar] [CrossRef]
- Ben-Dor, E.; Irons, J.R.; Epema, G.F. Soil reflectance. In Remote Sensing for the Earth Sciences: Manual of Remote Sensing; Rencz, N., Ed.; John Wiley & Sons: New York, NY, USA, 1999; Volume 3. [Google Scholar]
- Fernandes, R.B.A.; Barron, V.; Torrent, J.; Fontes, M.P.F. Quantification of iron oxides in Brazilian latosols by diffuse reflectance spectroscopy. Revista Brasileira De Ciencia Do Solo 2004, 28, 245–257. [Google Scholar] [CrossRef]
- Reeves, J.B. Near-versus mid-infrared diffuse reflectance spectroscopy for soil analysis emphasizing carbon and laboratory versus on-site analysis: Where are we and what needs to be done? Geoderma 2010, 158, 3–14. [Google Scholar] [CrossRef]
- Bellon-Maurel, V.; McBratney, A. Near-infrared (NIR) and mid-infrared (MIR) spectroscopic techniques for assessing the amount of carbon stock in soils—Critical review and research perspectives. Soil Biol. Biochem. 2011, 43, 1398–1410. [Google Scholar] [CrossRef]
- McBratney, A.B.; Minasny, B.; Rossel, R.V. Spectral soil analysis and inference systems: A powerful combination for solving the soil data crisis. Geoderma 2006, 136, 272–278. [Google Scholar] [CrossRef]
- Waiser, T.H.; Morgan, C.L.S.; Brown, D.J.; Hallmark, C.T. In situ characterization of soil clay content with visible near-infrared diffuse reflectance spectroscopy. Soil Sci. Soc. Am. J. 2007, 71, 389–396. [Google Scholar] [CrossRef]
- Clark, R.N. Spectroscopy of rocks and minerals and principles of spectroscopy. In Remote Sensing for the Earth Sciences: Manual of Remote Sensing; Rencz, N., Ed.; Johng Wiley & Sons: New York, NY, USA, 1999; Volume 3. [Google Scholar]
- Rossel, R.A.V.; Webster, R. Predicting soil properties from the Australian soil visible-near infrared spectroscopic database. Eur. J. Soil Sci. 2012, 63, 848–860. [Google Scholar] [CrossRef]
- Guerrero, C.; Mataix-Solera, J.; Arcenegui, V.; Mataix-Beneyto, J.; Gomez, I. Near-infrared spectroscopy to estimate the maximum temperatures reached on burned soils. Soil Sci. Soc. Am. J. 2007, 71, 1029–1037. [Google Scholar] [CrossRef]
- Sorensen, L.K.; Dalsgaard, S. Determination of clay and other soil properties by near infrared spectroscopy. Soil Sci. Soc. Am. J. 2005, 69, 159–167. [Google Scholar] [CrossRef]
- Reeves, J.B.; McCarty, G.W.; Reeves, V.B. Mid-infrared diffuse reflectance spectroscopy for the quantitative analysis of agricultural soils. J. Agric. Food Chem. 2001, 49, 766–772. [Google Scholar] [CrossRef] [PubMed]
- Udelhoven, T.; Emmerling, C.; Jarmer, T. Quantitative analysis of soil chemical properties with diffuse reflectance spectrometry and partial least-square regression: A feasibility study. Plant Soil 2003, 251, 319–329. [Google Scholar] [CrossRef]
- Brown, D.J.; Shepherd, K.D.; Walsh, M.G.; Mays, M.D.; Reinsch, T.G. Global soil characterization with VNIR diffuse reflectance spectroscopy. Geoderma 2006, 132, 273–290. [Google Scholar] [CrossRef]
- Pirie, A.; Singh, B.; Islam, K. Ultra-violet, visible, near-infrared, and mid-infrared diffuse reflectance spectroscopic techniques to predict several soil properties. Aust. J. Soil Res. 2005, 43, 713–721. [Google Scholar] [CrossRef]
- Minasny, B.; McBratney, A.B.; Tranter, G.; Murphy, B.W. Using soil knowledge for the evaluation of mid-infrared diffuse reflectance spectroscopy for predicting soil physical and mechanical properties. Eur. J. Soil Sci. 2008, 59, 960–971. [Google Scholar] [CrossRef]
- Rossel, R.A.V.; Behrens, T.; Ben-Dor, E.; Brown, D.J.; Dematte, J.A.M.; Shepherd, K.D.; Shi, Z.; Stenberg, B.; Stevens, A.; Adamchuk, V.; et al. A global spectral library to characterize the world’s soil. Earth Sci. Rev. 2016, 155, 198–230. [Google Scholar] [CrossRef]
- De Jong, S.M. Applications of Reflective Remote Sensing for Land Degradation Studies in a Mediterranean Environment; The royal Dutch Geographical Society; Faculty of Geographical Sciences: Utrecht, The Netherlands, 1994; p. 260. [Google Scholar]
- Leone, A.P.; Sommer, S. Multivariate analysis of laboratory spectra for the assessment of soil development and soil degradation in the southern Apennines (Italy). Remote Sens. Environ. 2000, 72, 346–359. [Google Scholar] [CrossRef]
- De Jong, S.M. Imaging spectrometry for surveying and modelling land degradation. In Imaging Spectrometry; van der Meer, F.D., de Jong, S.M., Eds.; Kluwer Academic Publishers: Dordrecht, The Netherlands, 2001; pp. 65–86. [Google Scholar]
- Dematte, J.A.M.; Campos, R.C.; Alves, M.C.; Fiorio, P.R.; Nanni, M.R. Visible-NIR reflectance: A new approach on soil evaluation. Geoderma 2004, 121, 95–112. [Google Scholar] [CrossRef]
- Shrestha, D.P.; Margate, D.E.; van der Meer, F.; Anh, H.V. Analysis and classification of hyperspectral data for mapping land degradation: An application in southern Spain. Int. J. Appl. Earth Obs. Geoinf. 2005, 7, 85–96. [Google Scholar] [CrossRef]
- Cecillon, L.; Cassagne, N.; Czarnes, S.; Gros, R.; Vennetier, M.; Brun, J.J. Predicting soil quality indices with near infrared analysis in a wildfire chronosequence. Sci. Total Environ. 2009, 407, 1200–1205. [Google Scholar] [CrossRef] [PubMed]
- Kemper, T.; Sommer, S. Estimate of heavy metal contamination in soils after a mining accident using reflectance spectroscopy. Environ. Sci. Technol. 2002, 36, 2742–2747. [Google Scholar] [CrossRef] [PubMed]
- Farifteh, J.; Van der Meer, F.D.; Atzberger, C.; Carranza, E.J.M. Quantitative analysis of salt-affected soil reflectance spectra: A comparison of two adaptive methods (PLSR and ANN). Remote Sens. Environ. 2007, 110, 59–78. [Google Scholar] [CrossRef]
- Metternicht, G.I.; Zinck, J.A. Remote sensing of soil salinity: Potentials and constraints. Remote Sens. Environ. 2003, 85, 1–20. [Google Scholar] [CrossRef]
- Latz, K.; Weismiller, R.A.; Vanscoyoc, G.E.; Baumgardner, M.F. Characteristic variations in spectral reflectance of selected eroded alfisols. Soil Sci. Soc. Am. J. 1984, 48, 1130–1134. [Google Scholar] [CrossRef]
- Weissmiller, R.A.; VanScoyoc, G.E.; Pazar, S.E.; Latz, K.; Baumgardner, M.F. Use of soil spectral properties for monitoring soil erosion. In Soil Erosion and Conservation; Soil and Water Conservation Society of America: Ankeny, IA, USA, 1985; pp. 119–127. [Google Scholar]
- De Graffenried, J.B.; Shepherd, K.D. Rapid erosion modeling in a Western Kenya watershed using visible near infrared reflectance, classification tree analysis and (137) Cesium. Geoderma 2009, 154, 93–100. [Google Scholar] [CrossRef]
- Conforti, M.; Buttafuoco, G.; Leone, A.P.; Aucelli, P.P.C.; Robustelli, G.; Scarciglia, F. Studying the relationship between water-induced soil erosion and soil organic matter using Vis-NIR spectroscopy and geomorphological analysis: A case study in southern Italy. Catena 2013, 110, 44–58. [Google Scholar] [CrossRef]
- Krishnan, P.; Alexander, J.D.; Butler, B.J.; Hummel, J.W. Reflectance technique for predicting soil organic-matter. Soil Sci. Soc. Am. J. 1980, 44, 1282–1285. [Google Scholar] [CrossRef]
- Gomez, C.; Rossel, R.A.V.; McBratney, A.B. Comparing predictions of soil organic carbon by field Vis-NIR Spectroscopy and hyper spectral remote sensing. Geophys. Res. Abstr. 2008, 10, 1–2. [Google Scholar]
- Stevens, A.; Udelhoven, T.; Denis, A.; Tychon, B.; Lioy, R.; Hoffmann, L.; van Wesemael, B. Measuring soil organic carbon in croplands at regional scale using airborne imaging spectroscopy. Geoderma 2010, 158, 32–45. [Google Scholar] [CrossRef]
- Vasques, G.M.; Grunwald, S.; Sickman, J.O. Modeling of Soil Organic Carbon Fractions Using Visible–Near-Infrared Spectroscopy. Soil Sci. Soc. Am. J. 2009, 73, 176–184. [Google Scholar] [CrossRef]
- Reeves, J.; McCarty, G.; Mimmo, T. The potential of diffuse reflectance spectroscopy for the determination of carbon inventories in soils. Environ. Pollut. 2002, 116, S277–S284. [Google Scholar] [CrossRef]
- Stevens, A.; van Wesemael, B.; Bartholomeus, H.; Rosillon, D.; Tychon, B.; Ben-Dor, E. Laboratory, field and airborne spectroscopy for monitoring organic carbon content in agricultural soils. Geoderma 2008, 144, 395–404. [Google Scholar] [CrossRef]
- Ladoni, M.; Bahrami, H.A.; Alavipanah, S.K.; Norouzi, A.A. Estimating soil organic carbon from soil reflectance: A review. Precis. Agric. 2010, 11, 82–99. [Google Scholar] [CrossRef]
- Nettleton, W.D.; Nelson, R.E.; Brasher, B.R.; Derr, P.S. Gypsiferous soils in the Western United States. In Acid Sulfate Weathering; SSSA: Madison, WI, USA, 1982; Volume 10, pp. 147–168. [Google Scholar]
- Herrero, J.; Artieda, O.; Hudnall, W.H. Gypsum, a Tricky Material. Soil Sci. Soc. Am. J. 2009, 73, 1757–1763. [Google Scholar] [CrossRef]
- Poch, R.M.; De Coster†, W.; Stoops, G. Pore space characteristics as indicators of soil behaviour in gypsiferous soils. Geoderma 1998, 87, 87–109. [Google Scholar] [CrossRef]
- Etesami, H.; Halajian, L.; Jamei, M. A qualitative land suitability assessment in gypsiferous soils of Kerman Provicen, Iran. Aust. J. Basic Appl. Sci. 2012, 6, 60–64. [Google Scholar]
- Moret-Fernandez, D.; Herrero, J. Effect of gypsum content on soil water retention. J. Hydrol. 2015, 528, 122–126. [Google Scholar] [CrossRef]
- Smith, R.; Robertson, V.C. Soil and irrigation classification of shallow soils overlying gypsum beds, northern Iraq. J. Soil Sci. 1962, 13, 106–115. [Google Scholar] [CrossRef]
- Shrestha, D.P.; Zinck, J.A. Land use classification in mountainous areas: Integration of image processing, digital elevation data and field knowledge (application to Nepal). Int. J. Appl. Earth Obs. Geoinf. 2001, 3, 78–85. [Google Scholar] [CrossRef]
- Castroviejo, S.; Porta, J. Apport a l’écologie de la végétation des zones saltes des rives de la Gigtiela (Ciudad Real-Espagne). Les vases salées, Colloques phytosociologiques de Lille 1975, 4, 115–139. [Google Scholar]
- Khayamim, F.; Wetterlind, J.; Khademi, H.; Robertson, A.H.J.; Cano, A.F.; Stenberg, B. Using Visible and near Infrared Spectroscopy to Estimate Carbonates and Gypsum in Soils in Arid and Subhumid Regions of Isfahan, Iran. J. Near Infrared Spectrosc. 2015, 23, 155–165. [Google Scholar] [CrossRef]
- Milewski, R.; Chabrillat, S.; Brell, M.; Schleicher, A.M.; Guanter, L. Assessment of the 1.75 mu m absorption feature for gypsum estimation using laboratory, air- and spaceborne hyperspectral sensors. Int. J. Appl. Earth Obs. Geoinf. 2019, 77, 69–83. [Google Scholar] [CrossRef]
- Sastre, B.; Bienes, R.; Garcia-Diaz, A. How much is soil volumetric water content influenced by cover crops in an olive grove in central Spain? In VIII International Olive Symposium; Perica, S., Selak, G.V., Klepo, T., Ferguson, L., Sebastiani, L., Eds.; ISHS: Split, Croatia, 2016; Volume 1199, pp. 345–350. [Google Scholar]
- Richards, L.A. A pressure-membrane extraction apparatus for soil solution. Soil Sci. 1941, 51, 377–386. [Google Scholar] [CrossRef]
- Schulte, E.E.; Hopkins, B.G. Estimation of Organic Matter by Weight Loss-on-Ignition. In Soil Organic Matter: Analysis and Interpretation; Magdoff, F.R., Tabatabai, M.A., Hanlon, E.A., Jr., Eds.; SSSA Special Publication: Madison, WI, USA, 1996; pp. 21–31. [Google Scholar]
- Penman, J.; Gytarsky, M.; Hiraishi, T.; Krug, T.; Kruger, D.; Pipatti, R.; Buendia, L.; Miwa, K.; Ngara, T.; Tanabe, K.; et al. Section 3. LUCF Sector Good Practice Guidance. In Good Practice Guidance for Land Use, Land-Use Change and Forestry; IPCC National Greenhouse Gas Inventories Programme; Institute for Global Environmental Strategies (IGES): Hayama, Kanagawa, Japan, 2003; pp. 3.1–3.312. Available online: https://www.ipcc.ch/site/assets/uploads/2018/03/GPG_LULUCF_FULLEN.pdf (accessed on 16 January 2020).
- Klug, H.P.; Alexander, L.E. X-ray Diffraction Procedures for Polycrystalline and Amorphous Materials, 2nd ed.; Wiley: New York, NY, USA, 1974. [Google Scholar]
- Wold, H. Systems Analysis by Partial Least Squares. In IIASA Collaborative Paper; IIASA: Laxenburg, Austria, 1983. [Google Scholar]
- Kariuki, P.C.; Woldai, T.; Meer, F.V.D. Effectiveness of spectroscopy in identification of swelling indicator clay minerals. Int. J. Remote Sens. 2004, 25, 455–469. [Google Scholar] [CrossRef]
- Martens, H.; Naes, T. Multivariate Calibration; Wiley: Chichester, UK, 1989. [Google Scholar]
- Chang, C.-W.; Laird, D.A. Near-infrared reflectance spectroscopic analysis of soil C and N. Soil Sci. 2002, 167, 110–116. [Google Scholar] [CrossRef]
- Tola, E.; Al-Gaadi, K.A.; Madugundu, R.; Kayad, A.G.; Alameen, A.A.; Edrees, H.F.; Edriss, M.K. Determination of soil organic carbon concentration in agricultural fields using a handheld spectroradiometer: Implication for soil fertility measurement. Int. J. Agric. Biol. Eng. 2018, 11, 13–19. [Google Scholar] [CrossRef]
- Van Alpen, J.G.; de los Ríos-Romero, F. Gypsiferous soils. Notes on Their Characteristics and Management; International Institute for Land Reclamation and Improvement: Wageningen, The Netherlands, 1971; p. 44. [Google Scholar]
- Gumuzzio, J.; Casas, J. Accumulations of soluble salts and gypsum in soils of the Central Region, Spain. Cahiers ORSTOM. Série Pédologie 1988, 24, 215–226. [Google Scholar]
- Ben-Dor, E.; Banin, A. Near-Infrared Analysis as a Rapid Method to Simultaneously Evaluate Several Soil Properties. Soil Sci. Soc. Am. J. 1995, 59, 364–372. [Google Scholar] [CrossRef]
- Palacios-Orueta, A.; Ustin, S.L. Remote Sensing of Soil Properties in the Santa Monica Mountains I. Spectral Analysis. Remote Sens. Environ. 1998, 65, 170–183. [Google Scholar] [CrossRef]
- Reeves, J.B.; McCarty, G.W. Quantitative analysis of agricultural soils using near infrared reflectance spectroscopy and a fibre-optic probe. J. Near Infrared Spectrosc. 2001, 9, 25–34. [Google Scholar] [CrossRef]
- Melendez-Pastor, I.; Navarro-Pedreño, J.; Gómez, I.; Koch, M. Identifying optimal spectral bands to assess soil properties with VNIR radiometry in semi-arid soils. Geoderma 2008, 147, 126–132. [Google Scholar] [CrossRef]
- Barbero-Sierra, C.; Perez, M.R.; Perez, M.J.M.; Gonzalez, A.M.A.; Macein, J.L.C. Local and scientific knowledge to assess plot quality in Central Spain. Arid Land Res. Manag. 2018, 32, 111–129. [Google Scholar] [CrossRef]
- Summers, D.; Lewis, M.; Ostendorf, B.; Chittleborough, D. Visible near-infrared reflectance spectroscopy as a predictive indicator of soil properties. Ecol. Indic. 2011, 11, 123–131. [Google Scholar] [CrossRef]
- Daniel, K.W.; Tripathi, N.K.; Honda, K.; Apisit, E. Analysis of VNIR (400-1100 nm) spectral signatures for estimation of soil organic matter in tropical soils of Thailand. Int. J. Remote Sens. 2004, 25, 643–652. [Google Scholar] [CrossRef]
- Pinheiro, E.F.M.; Ceddia, M.B.; Clingensmith, C.M.; Grunwald, S.; Vasques, G.M. Prediction of Soil Physical and Chemical Properties by Visible and Near-Infrared Diffuse Reflectance Spectroscopy in the Central Amazon. Remote Sens. 2017, 9. [Google Scholar] [CrossRef]
- Babaeian, E.; Homaee, M.; Vereecken, H.; Montzka, C.; Norouzi, A.A.; van Genuchten, M.T. A Comparative Study of Multiple Approaches for Predicting the Soil-Water Retention Curve: Hyperspectral Information vs. Basic Soil Properties. Soil Sci. Soc. Am. J. 2015, 79, 1043–1058. [Google Scholar] [CrossRef]
- Khanamani, A.; Fathizad, H.; Karimi, H.; Shojaei, S. Assessing desertification by using soil indices. Arab. J. Geosci. 2017, 10. [Google Scholar] [CrossRef]
- García-Rodríguez, M.P.; Pérez-González, M.E. Discriminación de gypsisoles mediante el sensor ETM+ del satélite LANDSAT-7. Edafología 2001, 8, 25–36. [Google Scholar]
- Rowley, M.C.; Grand, S.; Verrecchia, E.P. Calcium-mediated stabilisation of soil organic carbon. Biogeochemistry 2018, 137, 27–49. [Google Scholar] [CrossRef]
- Fernandez-Ugalde, O.; Virto, I.; Barre, P.; Gartzia-Bengoetxea, N.; Enrique, A.; Imaz, M.J.; Bescansa, P. Effect of carbonates on the hierarchical model of aggregation in calcareous semi-arid Mediterranean soils. Geoderma 2011, 164, 203–214. [Google Scholar] [CrossRef]
- Volkan Bilgili, A.; van Es, H.M.; Akbas, F.; Durak, A.; Hively, W.D. Visible-near infrared reflectance spectroscopy for assessment of soil properties in a semi-arid area of Turkey. J. Arid Environ. 2010, 74, 229–238. [Google Scholar] [CrossRef]
- Ruiz-Colmenero, M.; Bienes, R.; Marques, M.J. Soil and water conservation dilemmas associated with the use of green cover in steep vineyards. Soil Tillage Res. 2011, 117, 211–223. [Google Scholar] [CrossRef]
- Orr, B.J.; Cowie, A.L.; Castillo Sanchez, V.M.; Chasek, P.; Crossman, N.D.; Erlewein, A.; Louwagie, G.; Maron, M.; Metternicht, G.I.; Minelli, S.; et al. Scientific Conceptual Framework for Land Degradation Neutrality. A Report of the Science-Policy Interface. Available online: http://www2.unccd.int/sites/default/files/documents/LDNScientificConceptualFramework_FINAL.pdf (accessed on 1 November 2019).
- Farina, R.; Di Bene, C.; Francaviglia, R.; Napoli, R.; Marchetti, A. Towards a tier 3 approach to estimate SOC stocks at sub-regional scale in sourhern Italy. In Proceedings of the Global Symposium on Soil Organic Carbon, Rome, Italy, 21–23 March 2017; pp. 72–75. [Google Scholar]
- Moussadek, R.; Mrabet, R. Carbon management and sequestration in dryalnd soils of Morocco: Nexus approach. In Proceedings of the Global Symposium on Soil Organic Carbon, Rome, Italy, 21–23 March 2017; pp. 497–500. [Google Scholar]
- Martin, J.A.R.; Alvaro-Fuentes, J.; Gonzalo, J.; Gil, C.; Ramos-Miras, J.J.; Corbi, J.M.G.; Boluda, R. Assessment of the soil organic carbon stock in Spain. Geoderma 2016, 264, 117–125. [Google Scholar] [CrossRef]
- Gabarron-Galeore, M.A.; Trigalet, S.; van Wesemael, B. Soil organic carbon evolution after land abandonment along a precipitation gradient in southern Spain. Agric. Ecosyst. Environ. 2015, 199, 114–123. [Google Scholar] [CrossRef]
- Sastre, B.; Marques, M.J.; Garcia-Diaz, A.; Bienes, R. Three years of management with cover crops protecting sloping olive groves soils, carbon and water effects on gypsiferous soil. Catena 2018, 171, 115–124. [Google Scholar] [CrossRef]
- Barbero-Sierra, C.; Marques, M.J.; Ruiz-Perez, M.; Bienes, R.; Cruz-Macein, J.L. Farmer knowledge, perception and management of soils in the Las Vegas agricultural district, Madrid, Spain. Soil Use Manag. 2016, 32, 446–454. [Google Scholar] [CrossRef]
- Marques, M.J.; Bienes, R.; Cuadrado, J.; Ruiz-Colmenero, M.; Barbero-Sierra, C.; Velasco, A. Analysing Perceptions Attitudes and Responses of Winegrowers about Sustainable Land Management in Central Spain. Land Degrad. Dev. 2015, 26, 458–467. [Google Scholar] [CrossRef]
- Brunner, A.C.; Park, S.J.; Ruecker, G.R.; Vlek, P.L.G. Erosion modelling approach to simulate the effect of land management options on soil loss by considering catenary soil development and farmers perception. Land Degrad. Dev. 2008, 19, 623–635. [Google Scholar] [CrossRef]
- Angelakis, A.; Kosmas, C. Water resources availability in relation to the threat for further degradation in the Mediterranean region: Need for qualitative and qualitative indicators. In Proceedings of the Indicators for Assessing Desertification in the Mediterranean. Proceedings of the International Seminar, Porto Torres, Italy, 18–20 September 1998; pp. 52–65. [Google Scholar]





| Soil Property | Depth (cm) | Median | Minimum | Maximum | Lower Quartile | Upper Quartile |
|---|---|---|---|---|---|---|
| SOC (g kg−1) | 10 | 12.35 a | 0.80 | 20.81 | 10.19 | 16.60 |
| 20 | 9.85 a | 0.45 | 18.46 | 8.02 | 14.58 | |
| 30 | 5.80 b | 0.05 | 17.20 | 3.33 | 11.22 | |
| 30 cm range (Mean ± SD) | 10.1 ± 5.1 | 6.2 | 14.0 | |||
| C Stock (Mg ha−1) | 10 | 44.6 a | 3.0 | 76.4 | 31.6 | 58.4 |
| 20 | 36.4 a | 1.6 | 71.7 | 28.1 | 45.0 | |
| 30 | 25.7 b | 0.2 | 71.1 | 14.1 | 45.0 | |
| 30 cm range (Mean ± SD) | 36.8 ± 18.6 | 25.2 | 50.1 | |||
| Gypsum (%) | 10 | 81.6 a | 12.4 | 95.1 | 69.6 | 88.5 |
| 20 | 80.0 a | 3.1 | 94.6 | 59.3 | 89.6 | |
| 30 | 85.6 b | 3.1 | 97.9 | 48.1 | 93.2 | |
| 30 cm range (Mean ± SD) | 72.5 ± 23.9 | 63.2 | 90.2 | |||
| CaCO3 (%) | 10 | 6.3 a | 0.5 | 58.0 | 3.7 | 11.4 |
| 20 | 5.7 a | 0.2 | 63.9 | 2.5 | 12.4 | |
| 30 | 1.1 b | 0.0 | 57.7 | 0.5 | 8.7 | |
| 30 cm range (Mean ± SD) | 9.5 ± 12.9 | 1.0 | 11.4 | |||
| Quartz (%) | 10 | 9.8 a | 2.8 | 29.1 | 5.8 | 16.4 |
| 20 | 8.6 a | 3.3 | 37.9 | 4.4 | 19.6 | |
| 30 | 8.2 a | 1.5 | 56.5 | 5.6 | 22.2 | |
| 30 cm range (Mean ± SD) | 13.6 ± 11.6 | 5.3 | 18.8 | |||
| Illite (%) | 10 | 0.38 a | 0.00 | 4.56 | 0.00 | 0.85 |
| 20 | 0.57 a | 0.00 | 4.47 | 0.21 | 1.07 | |
| 30 | 0.00 b | 0.00 | 7.37 | 0.00 | 0.68 | |
| 30 cm range (Mean ± SD) | 0.78 ± 1.23 | 0.00 | 0.90 | |||
| Ca-Na Feldspar (%) | 10 | 0.00 a | 0.00 | 5.98 | 0.00 | 0.28 |
| 20 | 0.09 a | 0.00 | 6.75 | 0.00 | 1.33 | |
| 30 | 0.00 a | 0.00 | 20.47 | 0.00 | 0.45 | |
| 30 cm range (Mean ± SD) | 0.92 ± 2.54 | 0.00 | 0.74 | |||
| K-Feldspar (%) | 10 | 0.00 a | 0.00 | 8.69 | 0.00 | 0.85 |
| 20 | 0.42 a | 0.00 | 7.57 | 0.00 | 0.94 | |
| 30 | 0.00 a | 0.00 | 9.02 | 0.00 | 0.00 | |
| 30 cm range (Mean ± SD) | 0.85 ± 1.8 | 0.00 | 0.82 | |||
| Phyllosilicate (%) | 10 | 0.00 a | 0.00 | 22.10 | 0.00 | 1.42 |
| 20 | 0.00 a | 0.00 | 20.70 | 0.00 | 1.80 | |
| 30 | 0.00 a | 0.00 | 21.83 | 0.00 | 1.68 | |
| 30 cm range (Mean ± SD) | 1.78 ± 4.46 | 0.00 | 1.68 | |||
| WAC (g g−1) | 10 | 0.12 a | 0.07 | 0.17 | 0.10 | 0.15 |
| 20 | 0.09 b | 0.02 | 0.19 | 0.06 | 0.13 | |
| 30 | 0.06 b | 0.01 | 0.20 | 0.05 | 0.09 | |
| 30 cm range (Mean ± SD) | 0.10 ± 0.05 | 0.06 | 0.14 | |||
| Bulk density (Mg m−3) | 10 | 1.16 a | 0.80 | 1.44 | 1.05 | 1.24 |
| 20 | 1.20 a | 0.91 | 1.55 | 1.11 | 1.25 | |
| 30 | 1.38 b | 0.85 | 1.89 | 1.25 | 1.55 | |
| 30 cm range (Mean ± SD) | 1.2 ± 0.2 | 1.13 | 1.35 |
| SOC (g kg−1) | CaCO3 (%) | Quartz (%) | Ca Na Feld. (%) | K Feld. (%) | Phyllosil. (%) | Illite (%) | Gypsum (%) | |
|---|---|---|---|---|---|---|---|---|
| SOC (g kg−1) | 1.00 | |||||||
| CaCO3 (%) | 0.72 | 1.00 | ||||||
| Quartz (%) | 0.25 * | 0.18 ns | 1.00 | |||||
| Ca Na Feldspar (%) | 0.45 | 0.51 | 0.36 * | 1.00 | ||||
| K Feldspar (%) | 0.53 | 0.57 | 0.19 ns | 0.44 | 1.00 | |||
| Phyllosilicate (%) | 0.62 | 0.62 | 0.37 * | 0.58 | 0.57 | 1.00 | ||
| Illite (%) | 0.77 | 0.74 | 0.19 ns | 0.50 | 0.63 | 0.63 | 1.00 | |
| Gypsum (%) | −0.63 | −0.72 | −0.72 | −0.63 | −0.53 | −0.68 | −0.66 | 1.00 |
| Soil Parameter | PLSR Factors | Calibration | Validation | ||||||
|---|---|---|---|---|---|---|---|---|---|
| Mean ± SD | R2 | RMSE | RPD | Mean ± SD | R2 | RMSE | RPD | ||
| SOC g/kg | 3 | 10.2 ± 5.2 | 0.69 | 2.9 | 1.79 | 9.8 ± 5.0 | 0.74 | 3.40 | 1.47 |
| Gypsum % | 2 | 72.0 ± 24.7 | 0.36 | 20.24 | 1.22 | 73.7 ± 22.8 | 0.53 | 24.91 | 0.92 |
| CaCO3 (%) | 3 | 10.0 ± 13.2 | 0.34 | 10.76 | 1.23 | 8.5 ± 12.6 | 0.26 | 11.46 | 1.10 |
| Quartz (%) | 7 | 13.7 ± 11.6 | 0.31 | 9.77 | 1.19 | 13.3 ± 11.7 | 0.31 | 13.72 | 0.86 |
| Illite (%) | 2 | 0.7 ± 1.1 | 0.29 | 0.99 | 1.13 | 0.7 ± 1.5 | 0.24 | 1.35 | 1.08 |
| Ca-Na Feldspar (%) | 4 | 0.6 ± 1.2 | 0.01 | 1.160 | 1.03 | 1.6 ± 4.0 | 0.20 | 3.82 | 1.06 |
| K-Feldspar (%) | 5 | 0.8 ± 1.9 | 0.02 | 2.03 | 0.97 | 0.8 ± 1.6 | 0.22 | 1.42 | 1.15 |
| Phyllosilicate (%) | 3 | 2.1 ± 4.6 | 0.19 | 4.49 | 1.04 | 0.8 ± 1.5 | 0.16 | 4.53 | 0.90 |
© 2020 by the authors. Licensee MDPI, Basel, Switzerland. This article is an open access article distributed under the terms and conditions of the Creative Commons Attribution (CC BY) license (http://creativecommons.org/licenses/by/4.0/).
Share and Cite
Marques, M.J.; Álvarez, A.M.; Carral, P.; Esparza, I.; Sastre, B.; Bienes, R. Estimating Soil Organic Carbon in Agricultural Gypsiferous Soils by Diffuse Reflectance Spectroscopy. Water 2020, 12, 261. https://doi.org/10.3390/w12010261
Marques MJ, Álvarez AM, Carral P, Esparza I, Sastre B, Bienes R. Estimating Soil Organic Carbon in Agricultural Gypsiferous Soils by Diffuse Reflectance Spectroscopy. Water. 2020; 12(1):261. https://doi.org/10.3390/w12010261
Chicago/Turabian StyleMarques, Maria Jose, Ana María Álvarez, Pilar Carral, Iris Esparza, Blanca Sastre, and Ramón Bienes. 2020. "Estimating Soil Organic Carbon in Agricultural Gypsiferous Soils by Diffuse Reflectance Spectroscopy" Water 12, no. 1: 261. https://doi.org/10.3390/w12010261
APA StyleMarques, M. J., Álvarez, A. M., Carral, P., Esparza, I., Sastre, B., & Bienes, R. (2020). Estimating Soil Organic Carbon in Agricultural Gypsiferous Soils by Diffuse Reflectance Spectroscopy. Water, 12(1), 261. https://doi.org/10.3390/w12010261

