Flash Flood Early Warning Coupled with Hydrological Simulation and the Rising Rate of the Flood Stage in a Mountainous Small Watershed in Sichuan Province, China
Abstract
1. Introduction
2. Materials and Methods
2.1. Study Area
2.2. Data Collection
2.3. The HEC-HMS Hydrological Model
2.3.1. Soil Conservation Service (SCS) Curve Number Method
2.3.2. SCS Unit Hydrograph Method
2.3.3. Muskingum–Cunge Method
2.4. The Inverse Distance Weighting (IDW) Method
2.5. The Evaluation Criteria of Model Performance
3. Results
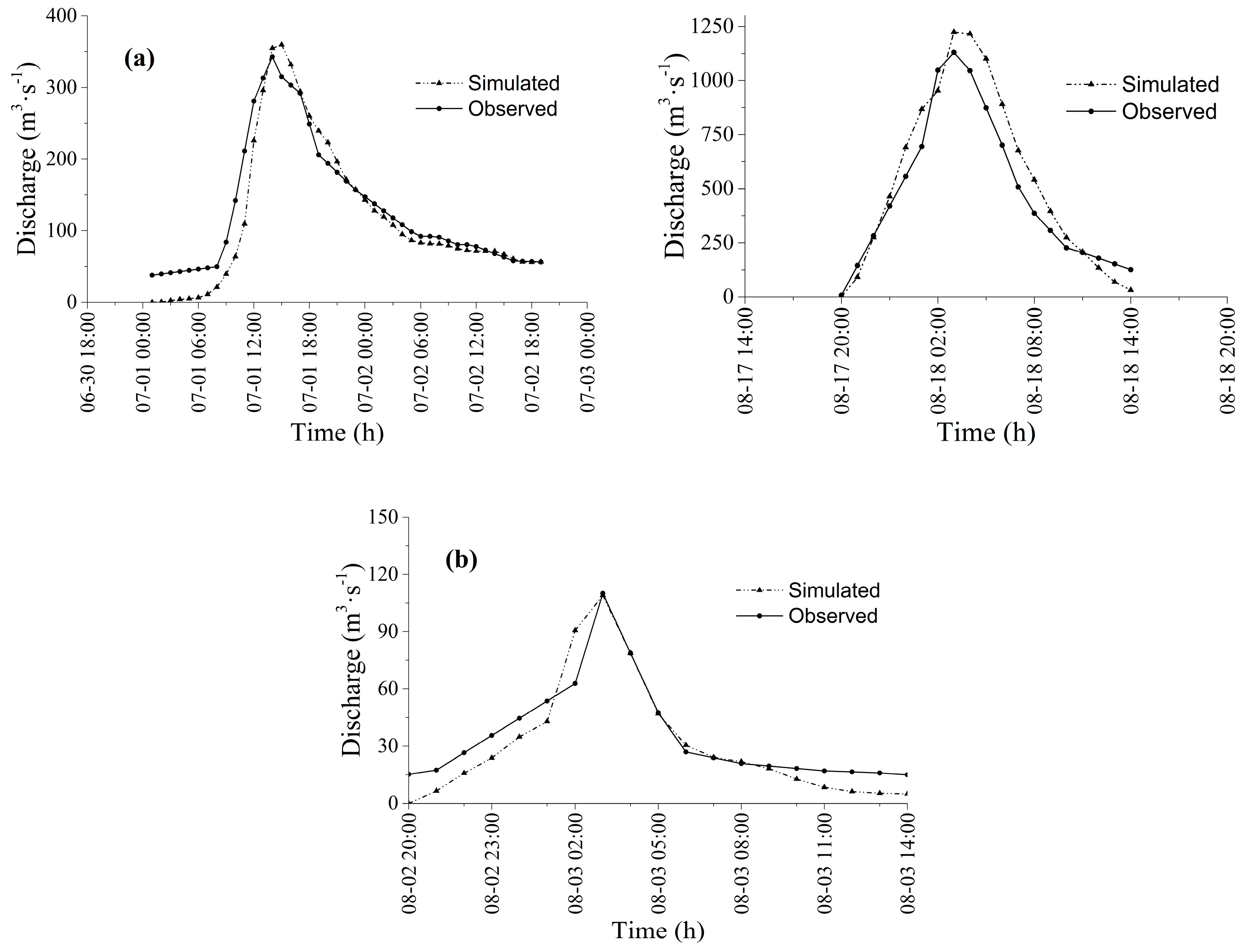
3.1. HEC-HMS Model Calibration and Validation
3.1.1. Model Setup
3.1.2. Model Calibration and Validation
3.2. Design Rainfall with Different Frequencies
3.3. Simulation Results of Flood Hydrographs
4. Discussion
5. Conclusions
- (1)
- By using the HEC-GeoHMS extension tool in ArcGIS, the characteristic information (e.g., land use, soil type, and slope) was extracted to determine the parameters for the HEC-HMS model. The results of the model calibration and validation demonstrated that the HEC-HMS model was effective for the simulation of mountain floods in the study area. The application of the HEC-HMS model to flash flood early warning should be encouraged in other watersheds in China, especially in small watersheds that lack sufficient hydrological data.
- (2)
- According to the analysis of flood hydrographs with different frequencies, the rising rates of the flood stage in the rising limb of the flood hydrographs are substantially different, and can be divided into three parts (0–5 h, 6–10 h, 11–15 h). The rising rate of flood stage increases in multiples in the three parts of the flood hydrographs. In addition, the variation in the flood stage has a more sensitive response to rainfall when the computation time step decreases.
- (3)
- The two critical early warning indicators, which are the flood stage for immediate evacuation (754.04 m) and the rising rate (1.05 m/h), were determined based on the variation in the flood stage. Therefore, flash flood early warning in mountainous areas is no longer limited to the signal index (e.g., rainfall, flow or flood stage), and the advanced time determined by the rising rate before it reaches the warning flood stage can be applied in emergency management.
Author Contributions
Funding
Acknowledgments
Conflicts of Interest
References
- Hall, J.; Arheimer, B.; Borga, M.; Brázdil, R.; Claps, P.; Kiss, A.; Kjeldsen, T.R.; Kriaučiūnienė, J.; Kundzewicz, Z.W.; Lang, M.; et al. Understanding flood regime changes in Europe: A state-of-the-art assessment. Hydrol. Earth Syst. Sci. 2014, 18, 2735–2772. [Google Scholar] [CrossRef]
- Kvočka, D.; Falconer, R.A.; Bray, M. Flood hazard assessment for extreme flood events. Nat. Hazards 2016, 84, 1569–1599. [Google Scholar] [CrossRef]
- Golian, S.; Saghafian, B.; Maknoon, R. Derivation of Probabilistic Thresholds of Spatially Distributed Rainfall for Flood Forecasting. Water Resour. Manag. 2010, 24, 3547–3559. [Google Scholar] [CrossRef]
- He, B.S.; Huang, X.L.; Guo, L. China’s mountain flood disaster prevention route and core consstuction content. China Flood Drought Manag. 2012, 22, 19–22. [Google Scholar]
- Zhai, X.; Guo, L.; Liu, R.; Zhang, Y. Rainfall threshold determination for flash flood warning in mountainous catchments with consideration of antecedent soil moisture and rainfall pattern. Nat. Hazards 2018, 94, 605–625. [Google Scholar] [CrossRef]
- Kang, A.; Zhang, K.; Liang, J.; Yan, B.; Lei, X.; Guo, J. Applying the dynamic critical precipitation method for flash flood early warning. Pol. J. Environ. Stud. 2019, 28, 1727–1733. [Google Scholar] [CrossRef]
- Jia, P.; Liu, R.; Ma, M.; Liu, Q.; Wang, Y.; Zhai, X.; Xu, S.; Wang, D. Flash flood simulation for ungauged catchments based on the distributed hydrological model. Water 2019, 11, 76. [Google Scholar] [CrossRef]
- Massazza, G.; Tamagnone, P.; Wilcox, C.; Belcore, E.; Pezzoli, A.; Vischel, T.; Panthou, G.; Ibrahim, M.H.; Tiepolo, M.; Tarchiani, V.; et al. Flood hazard scenarios of the Sirba River (Niger): Evaluation of the hazard thresholds and flooding areas. Water (Switzerland) 2019, 11, 1018. [Google Scholar] [CrossRef]
- Liu, C.; Guo, L.; Ye, L.; Zhang, S.; Zhao, Y.; Song, T. A review of advances in China’s flash flood early-warning system. Nat. Hazards 2018, 92, 619–634. [Google Scholar] [CrossRef]
- Hapuarachchi, H.A.P.; Wang, Q.J.; Pagano, T.C. A review of advances in flash flood forecasting. Hydrol. Process. 2011, 25, 2771–2784. [Google Scholar] [CrossRef]
- Petersen-Øverleir, A.; Reitan, T. Accounting for rating curve imprecision in flood frequency analysis using likelihood-based methods. J. Hydrol. 2009, 366, 89–100. [Google Scholar] [CrossRef]
- Ashrafi, M.; Chua, L.H.C.; Quek, C.; Qin, X. A fully-online Neuro-Fuzzy model for flow forecasting in basins with limited data. J. Hydrol. 2017, 545, 424–435. [Google Scholar] [CrossRef]
- Biondi, D.; De Luca, D.L. Performance assessment of a Bayesian Forecasting System (BFS) for real-time flood forecasting. J. Hydrol. 2013, 479, 51–63. [Google Scholar] [CrossRef]
- Cools, J.; Vanderkimpen, P.; El Afandi, G.; Abdelkhalek, A.; Fockedey, S.; El Sammany, M.; Abdallah, G.; El Bihery, M.; Bauwens, W.; Huygens, M. An early warning system for flash floods in hyper-arid Egypt. Nat. Hazards Earth Syst. Sci. 2012, 12, 443–457. [Google Scholar] [CrossRef]
- Wałęga, A.; Cupak, A.; Amatya, D.M.; Drożdżal, E. Comparison of Direct Outflow Calculated By Modified Scs-Cn Methods for Mountainous and Highland Catchments in Upper Vistula Basin, Poland and Lowland Catchment in South Carolina, USA. Acta Sci. Pol. Form. Circumiectus 2017, 16, 187–207. [Google Scholar] [CrossRef]
- Zoccatelli, D.; Borga, M.; Viglione, A.; Chirico, G.B.; Blöschl, G. Spatial moments of catchment rainfall: Rainfall spatial organisation, basin morphology, and flood response. Hydrol. Earth Syst. Sci. 2011, 15, 3767–3783. [Google Scholar] [CrossRef]
- Abushandi, E.; Merkel, B. Modelling Rainfall Runoff Relations Using HEC-HMS and IHACRES for a Single Rain Event in an Arid Region of Jordan. Water Resour. Manag. 2013, 27, 2391–2409. [Google Scholar] [CrossRef]
- Joo, J.; Kjeldsen, T.; Kim, H.J.; Lee, H. A comparison of two event-based flood models (ReFH-rainfall runoff model and HEC-HMS) at two Korean catchments, Bukil and Jeungpyeong. KSCE J. Civ. Eng. 2014, 18, 330–343. [Google Scholar] [CrossRef]
- Caruso, B.S.; Rademaker, M.; Balme, A.; Cochrane, T.A. Flood modelling in a high country mountain catchment, New Zealand: Comparing statistical and deterministic model estimates for ecological flows. Hydrol. Sci. J. 2013, 58, 328–341. [Google Scholar] [CrossRef]
- Oleyiblo, J.O.; Li, Z.J. Application of HEC-HMS for flood forecasting in Misai and Wan’an catchments in China. Water Sci. Eng. 2010, 3, 14–22. [Google Scholar]
- Yuan, W.; Liu, M.; Wan, F. Calculation of Critical Rainfall for Small-Watershed Flash Floods Based on the HEC-HMS Hydrological Model. Water Resour. Manag. 2019, 33, 2555–2575. [Google Scholar] [CrossRef]
- Wang, Q.; Xu, Y.; Wang, J.; Lin, Z.; Dai, X.; Hu, Z. Assessing sub-daily rainstorm variability and its effects on flood processes in the Yangtze River Delta region. Hydrol. Sci. J. 2019, 64, 1–10. [Google Scholar] [CrossRef]
- Azam, M.; Kim, H.S.; Maeng, S.J. Development of flood alert application in Mushim stream watershed Korea. Int. J. Disaster Risk Reduct. 2017, 21, 11–26. [Google Scholar] [CrossRef]
- Halwatura, D.; Najim, M.M.M. Application of the HEC-HMS model for runoff simulation in a tropical catchment. Environ. Model. Softw. 2013, 46, 155–162. [Google Scholar] [CrossRef]
- Sichuan Province Water Resources Department. Rainfall Handbook of Design Storm Flood in Medium and Small River Basins in Sichuan Province; Sichuan Province Water Resources Department: Chengdu, China, 1984. [Google Scholar]
- Geetha, K.; Mishra, S.K.; Eldho, T.I.; Rastogi, A.K.; Pandey, R.P. SCS-CN-based continuous simulation model for hydrologic forecasting. Water Resour. Manag. 2008, 22, 165–190. [Google Scholar] [CrossRef]
- Mishra, S.K.; Singh, V.P. Long-term hydrological simulation based on the Soil Conservation Service curve number. Hydrol. Process. 2004, 18, 1291–1313. [Google Scholar] [CrossRef]
- USDA Section 4: Hydrology. SCS National Engineering Handbook; USDA Soil Conservation Service: Washington, DC, USA, 1972. [Google Scholar]
- Jin, H.; Liang, R.; Wang, Y.; Tumula, P. Flood-runoff in semi-arid and sub-humid regions, a case study: A simulation of Jianghe watershed in northern China. Water (Switzerland) 2015, 7, 5155–5172. [Google Scholar] [CrossRef]
- Cunge, J.A. On the subject of a flood propagation computation method (musklngum method). J. Hydraul. Res. 1969, 7, 205–230. [Google Scholar] [CrossRef]
- Ponce, V.M.; Yevjevich, V. Muskingum-Cunge method with variable Paremeters. J. Hydraul. Div. 1978, 104, 1663–1667. [Google Scholar]
- Ruelland, D.; Ardoin-Bardin, S.; Billen, G.; Servat, E. Sensitivity of a lumped and semi-distributed hydrological model to several methods of rainfall interpolation on a large basin in West Africa. J. Hydrol. 2008, 361, 96–117. [Google Scholar] [CrossRef]
- Pingale, S.M.; Khare, D.; Jat, M.K.; Adamowski, J. Spatial and temporal trends of mean and extreme rainfall and temperature for the 33 urban centers of the arid and semi-arid state of Rajasthan, India. Atmos. Res. 2014, 138, 73–90. [Google Scholar] [CrossRef]
- Xu, W.; Zou, Y.; Zhang, G.; Linderman, M. A comparison among spatial interpolation techniques for daily rainfall data in Sichuan Province, China. Int. J. Climatol. 2015, 35, 2898–2907. [Google Scholar] [CrossRef]
- Legates, D.R.; McCabe, G.J. Evaluating the use of “goodness-of-fit” measures in hydrologic and hydroclimatic model validation. Water Resour. Res. 1999, 35, 233–241. [Google Scholar] [CrossRef]
- Jain, S.K.; Sudheer, K.P. Fitting of hydrologic models: A close look at the nash-sutcliffe index. J. Hydrol. Eng. 2008, 13, 981–986. [Google Scholar] [CrossRef]
- Ministry of Water Resources of the People’s Republic of China. Regulation for Calculating Design Flood of Water Resources and Hydropower Projects; China Water & Power Press: Beijing, China, 2006. [Google Scholar]
- Li, Z.; Zhang, H.; Singh, V.P.; Yu, R.; Zhang, S. A simple early warning system for flash floods in an ungauged catchment and application in the Loess Plateau, China. Water 2019, 11, 426. [Google Scholar] [CrossRef]










| Hydrological Model Component | Method | Parameters | Parameter Estimation Process |
|---|---|---|---|
| Loss | SCS curve number | CN | Calibration |
| Transform | SCS unit hydrograph | Lag time tlag | Calibration |
| Routing | Muskingum–Cunge | Cross section | Based on the channel characteristics’ |
| Manning’s n | calibration |
| The Evaluation Criteria | Formulas | Descriptions |
|---|---|---|
| The relative error of peak flow | and are the simulated and observed peak flow values, respectively | |
| The time difference in peak flow occurrence | and are the simulated and observed time to peak flow values, respectively | |
| NS efficiency | and are the simulated and observed discharge values at i time, respectively, is the mean observed discharge value, N is the number of data points |
| Sub-Watershed | Area (km2) | Impervious (%) | Main River Branch | Length (m) | Slope (%) |
|---|---|---|---|---|---|
| W670 | 60.63 | 0.00 | R230 | 3725.00 | 3.70 |
| W680 | 67.44 | 0.00 | R260 | 2724.40 | 1.84 |
| W690 | 26.20 | 0.00 | R270 | 332.17 | 1.84 |
| W750 | 11.04 | 0.00 | R290 | 2819.60 | 3.55 |
| W760 | 15.14 | 0.00 | R310 | 912.84 | 5.81 |
| W770 | 15.93 | 0.00 | R350 | 1686.80 | 4.74 |
| W810 | 21.84 | 0.02 | R370 | 5085.00 | 2.40 |
| W850 | 25.31 | 0.03 | R420 | 4706.90 | 1.38 |
| W860 | 13.57 | 1.40 | R460 | 4786.90 | 0.50 |
| W870 | 8.66 | 3.36 | R470 | 152.48 | 0.50 |
| W880 | 12.47 | 0.19 | R490 | 8338.30 | 0.50 |
| W890 | 14.42 | 7.06 | |||
| W910 | 31.51 | 0.88 | |||
| W920 | 10.25 | 8.37 | |||
| W980 | 20.03 | 4.13 |
| Sub-Watershed | DHD | HK | YLP | Agricultural Land | Forest | Water | Residential Area | Bare Land |
|---|---|---|---|---|---|---|---|---|
| W670 | 0.57 | 0.29 | 0.14 | 0.00 | 0.91 | 0.02 | 0.00 | 0.07 |
| W680 | 0.57 | 0.28 | 0.15 | 0.00 | 0.90 | 0.02 | 0.00 | 0.08 |
| W690 | 0.66 | 0.24 | 0.09 | 0.00 | 0.96 | 0.02 | 0.00 | 0.02 |
| W750 | 0.72 | 0.2 | 0.07 | 0.00 | 0.96 | 0.02 | 0.00 | 0.02 |
| W760 | 0.67 | 0.23 | 0.09 | 0.00 | 0.96 | 0.01 | 0.00 | 0.02 |
| W770 | 0.69 | 0.23 | 0.08 | 0.00 | 0.96 | 0.00 | 0.00 | 0.04 |
| W810 | 0.9 | 0.08 | 0.02 | 0.00 | 0.94 | 0.01 | 0.00 | 0.04 |
| W850 | 0.76 | 0.19 | 0.05 | 0.01 | 0.96 | 0.00 | 0.00 | 0.03 |
| W860 | 0.89 | 0.1 | 0.01 | 0.03 | 0.93 | 0.02 | 0.01 | 0.01 |
| W870 | 0.74 | 0.23 | 0.04 | 0.01 | 0.93 | 0.01 | 0.03 | 0.02 |
| W880 | 0.39 | 0.57 | 0.04 | 0.00 | 0.97 | 0.01 | 0.00 | 0.02 |
| W890 | 0.13 | 0.84 | 0.03 | 0.07 | 0.82 | 0.03 | 0.07 | 0.00 |
| W910 | 0.2 | 0.62 | 0.18 | 0.01 | 0.96 | 0.01 | 0.01 | 0.01 |
| W920 | 0.04 | 0.93 | 0.03 | 0.11 | 0.78 | 0.02 | 0.08 | 0.00 |
| W980 | 0.05 | 0.18 | 0.76 | 0.02 | 0.89 | 0.02 | 0.04 | 0.03 |
| State | Date | Peak Flow (m3·s−1) | The Time Difference in Peak Flow Occurrence (h) | NS Efficiency | ||
|---|---|---|---|---|---|---|
| Simulated | Observed | Relative Error (%) | ||||
| Calibration | 14 August 2010 | 213.20 | 213.00 | 0.09 | 2 | 0.918 |
| 01 July 2011 | 359.60 | 343.00 | 4.84 | 1 | 0.894 | |
| 21 August 2011 | 569.40 | 535.30 | 6.37 | 0 | 0.845 | |
| 27 July 2012 | 181.30 | 187.00 | −3.05 | 0 | 0.852 | |
| 18 August 2012 | 1224.00 | 1130.00 | 8.32 | 0 | 0.878 | |
| Validation | 08 July 2013 | 680.70 | 750.50 | −9.30 | 0 | 0.692 |
| 09 July 2014 | 384.40 | 414.00 | −7.15 | 0 | 0.951 | |
| 02 August 2015 | 109.00 | 110.00 | −0.91 | 0 | 0.835 | |
| Sub-Watershed | CN | tlag (min) | Main River Branch | n | |
|---|---|---|---|---|---|
| Initial Value | Calibrated Value | ||||
| W670 | 70 | 61 | 48 | R230 | 0.008 |
| W680 | 74 | 64 | 23 | R260 | 0.008 |
| W690 | 56 | 49 | 69 | R270 | 0.008 |
| W750 | 74 | 64 | 150 | R290 | 0.008 |
| W760 | 55 | 48 | 67 | R310 | 0.008 |
| W770 | 76 | 66 | 19 | R350 | 0.008 |
| W810 | 55 | 48 | 79 | R370 | 0.008 |
| W850 | 55 | 48 | 97 | R420 | 0.008 |
| W860 | 74 | 64 | 44 | R460 | 0.008 |
| W870 | 58 | 50 | 74 | R470 | 0.008 |
| W880 | 74 | 65 | 55 | R490 | 0.008 |
| W890 | 73 | 63 | 65 | ||
| W910 | 73 | 64 | 97 | ||
| W920 | 77 | 67 | 8 | ||
| W980 | 76 | 66 | 97 |
| Duration (h) | Statistical Parameters | Designed Rainfall with Different Frequencies (mm) | |||||
|---|---|---|---|---|---|---|---|
| Average (mm) | CV | CS/CV | 10% | 5% | 2% | 1% | |
| 1 | 40 | 0.35 | 3 | 58.77 | 66.40 | 75.89 | 82.77 |
| 6 | 100 | 0.5 | 3 | 166.67 | 197.54 | 237.16 | 266.52 |
| 24 | 130 | 0.55 | 3 | 224.84 | 270.67 | 330.01 | 374.27 |
| Duration (h) | P24 h–P12 h (%) | P12 h–P6 h (%) | P1 h (%) |
|---|---|---|---|
| 1 | 11.80 | ||
| 2 | 6.50 | ||
| 3 | 2.00 | ||
| 4 | 7.20 | ||
| 5 | 28.10 | ||
| 6 | 4.60 | ||
| 7 | 17.00 | ||
| 8 | 7.20 | ||
| 9 | 10.50 | ||
| 10 | 6.02 | ||
| 11 | 25.83 | ||
| 12 | 36.89 | ||
| 13 | 100.00 | ||
| 14 | 20.97 | ||
| 15 | 10.29 | ||
| 16 | 5.10 | ||
| 17 | 0.00 | ||
| 18 | 0.00 | ||
| 19 | 0.00 | ||
| 20 | 0.00 | ||
| 21 | 0.00 | ||
| 22 | 0.00 | ||
| 23 | 0.00 | ||
| 24 | 0.00 |
| The Computation Time Step | Designed Rainfall with Different Frequencies | Time to Preparation for Evacuation T1 (h) | Flood Stage for Preparation for Evacuation (m) | Time to Immediate Evacuation T2 (h) | Flood Stage for Immediate Evacuation (m) |
| 10 min | 1% | 11.33 | 753.64 | 12.17 | 754.26 |
| 2% | 11.33 | 753.32 | 12.33 | 754.11 | |
| 5% | 11.33 | 752.89 | 12.50 | 753.72 | |
| 10% | 11.33 | 752.51 | 12.83 | 753.34 | |
| 0.5 h | 1% | 11.00 | 753.55 | 12.00 | 754.27 |
| 2% | 11.00 | 753.24 | 12.50 | 754.54 | |
| 5% | 11.00 | 752.82 | 12.50 | 753.85 | |
| 10% | 11.00 | 752.44 | 13.00 | 753.83 | |
| 1 h | 1% | 11.00 | 753.54 | 12.00 | 754.40 |
| 2% | 11.00 | 753.23 | 13.00 | 755.39 | |
| 5% | 11.00 | 752.80 | 13.00 | 754.55 | |
| 10% | 11.00 | 752.43 | 14.00 | 755.25 | |
| The Computation Time Step | Design Rainfall Events with Different Frequencies | Rising Rate of Flood Stage at T2 (m·h−1) | Time to Disaster Stage T3 (h) | Disaster Stage (m) | Advance Time for Issuing Early Warning Signal (h) |
| 10 min | 1% | 1.28 | 13.03 | 756.00 | 0.86 |
| 2% | 1.51 | 13.35 | 1.02 | ||
| 5% | 1.51 | 13.94 | 1.44 | ||
| 10% | 1.23 | 14.51 | 1.68 | ||
| 0.5 h | 1% | 1.02 | 13.01 | 1.01 | |
| 2% | 1.34 | 13.29 | 0.79 | ||
| 5% | 1.06 | 13.82 | 1.32 | ||
| 10% | 1.07 | 14.51 | 1.51 | ||
| 1 h | 1% | 0.86 | 13.01 | 1.01 | |
| 2% | 1.38 | 13.36 | 0.36 | ||
| 5% | 1.12 | 13.94 | 0.94 | ||
| 10% | 1.37 | 15.00 | 1.00 |
© 2020 by the authors. Licensee MDPI, Basel, Switzerland. This article is an open access article distributed under the terms and conditions of the Creative Commons Attribution (CC BY) license (http://creativecommons.org/licenses/by/4.0/).
Share and Cite
Tu, H.; Wang, X.; Zhang, W.; Peng, H.; Ke, Q.; Chen, X. Flash Flood Early Warning Coupled with Hydrological Simulation and the Rising Rate of the Flood Stage in a Mountainous Small Watershed in Sichuan Province, China. Water 2020, 12, 255. https://doi.org/10.3390/w12010255
Tu H, Wang X, Zhang W, Peng H, Ke Q, Chen X. Flash Flood Early Warning Coupled with Hydrological Simulation and the Rising Rate of the Flood Stage in a Mountainous Small Watershed in Sichuan Province, China. Water. 2020; 12(1):255. https://doi.org/10.3390/w12010255
Chicago/Turabian StyleTu, Huawei, Xiekang Wang, Wanshun Zhang, Hong Peng, Qian Ke, and Xiaomin Chen. 2020. "Flash Flood Early Warning Coupled with Hydrological Simulation and the Rising Rate of the Flood Stage in a Mountainous Small Watershed in Sichuan Province, China" Water 12, no. 1: 255. https://doi.org/10.3390/w12010255
APA StyleTu, H., Wang, X., Zhang, W., Peng, H., Ke, Q., & Chen, X. (2020). Flash Flood Early Warning Coupled with Hydrological Simulation and the Rising Rate of the Flood Stage in a Mountainous Small Watershed in Sichuan Province, China. Water, 12(1), 255. https://doi.org/10.3390/w12010255

