Rice Irrigation Schedule Optimization Based on the AquaCrop Model: Study of the Longtouqiao Irrigation District
Abstract
:1. Introduction
2. Materials and Methods
2.1. Study Area
2.2. AquaCrop Model and Parameters
2.3. Irrigation Scenario Setting and Optimization Model
2.3.1. Irrigation Scenario Simulation Setting
2.3.2. Cloud Model Optimization Based on the Entropy Method
2.4. Data Source and Technology Roadmap
3. Results and Analysis
3.1. Calibration and Validation of the AquaCrop Model
3.2. Analysis of the Rice Irrigation Schedule Simulation Results Under the Different Scenarios
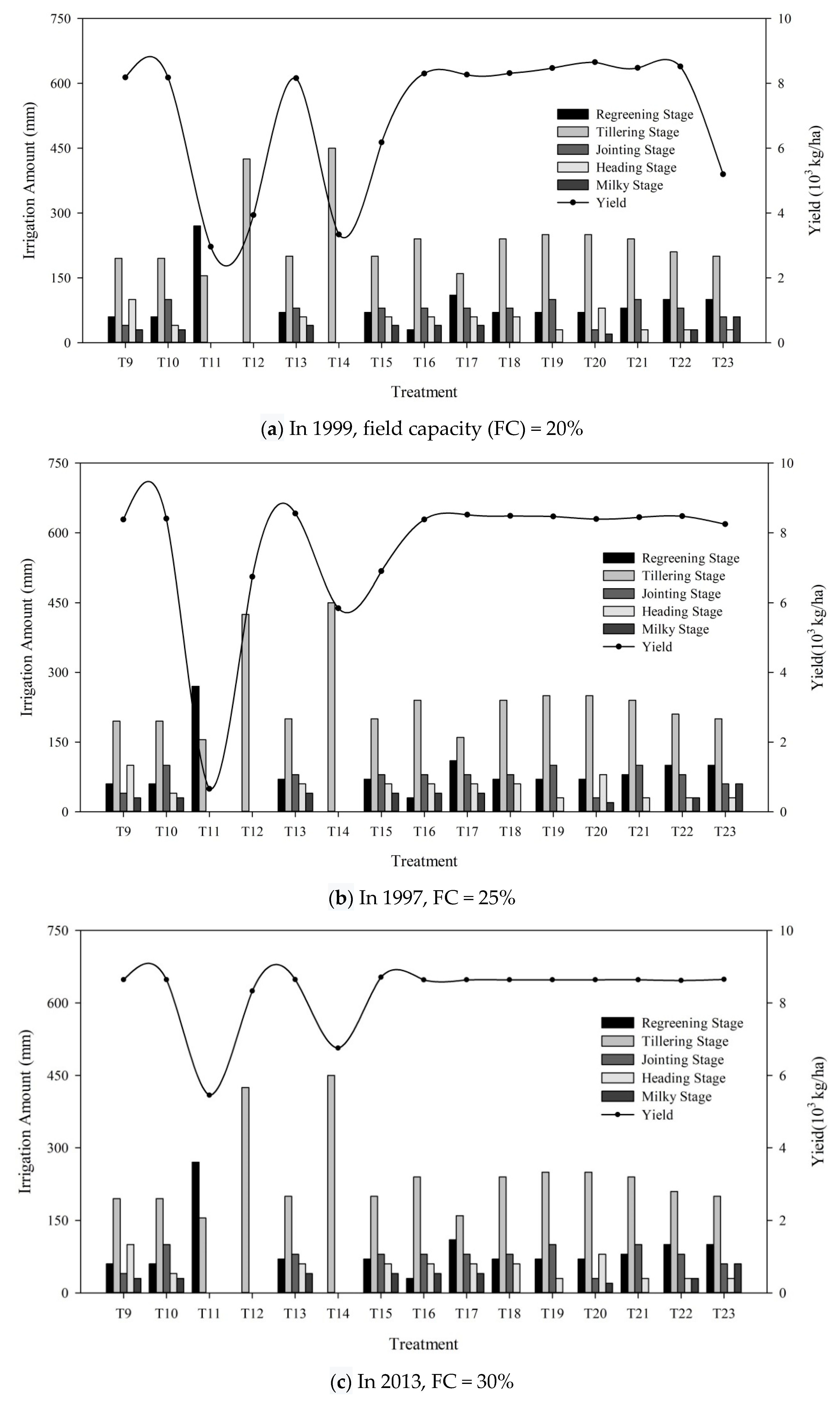
3.2.1. Effect of the Irrigation Amount on the Rice Yield during the Growth Period
3.2.2. Effect of the Total Irrigation Amount on the Crop Yield
3.3. Rice Irrigation Schedule Optimization and Program Evaluation
4. Discussion
5. Conclusions
- (1)
- The applicability of the AquaCrop model in northeast China was verified. After calibration and verification of the AquaCrop model parameters, the NRMSE and R2 values of the yield were 9.949% and 0.993, respectively, proving that the AquaCrop model has a high precision in northeast China, thus providing the basis for the next step of using this model for rice growth simulation to propose rice irrigation schedule optimization methods.
- (2)
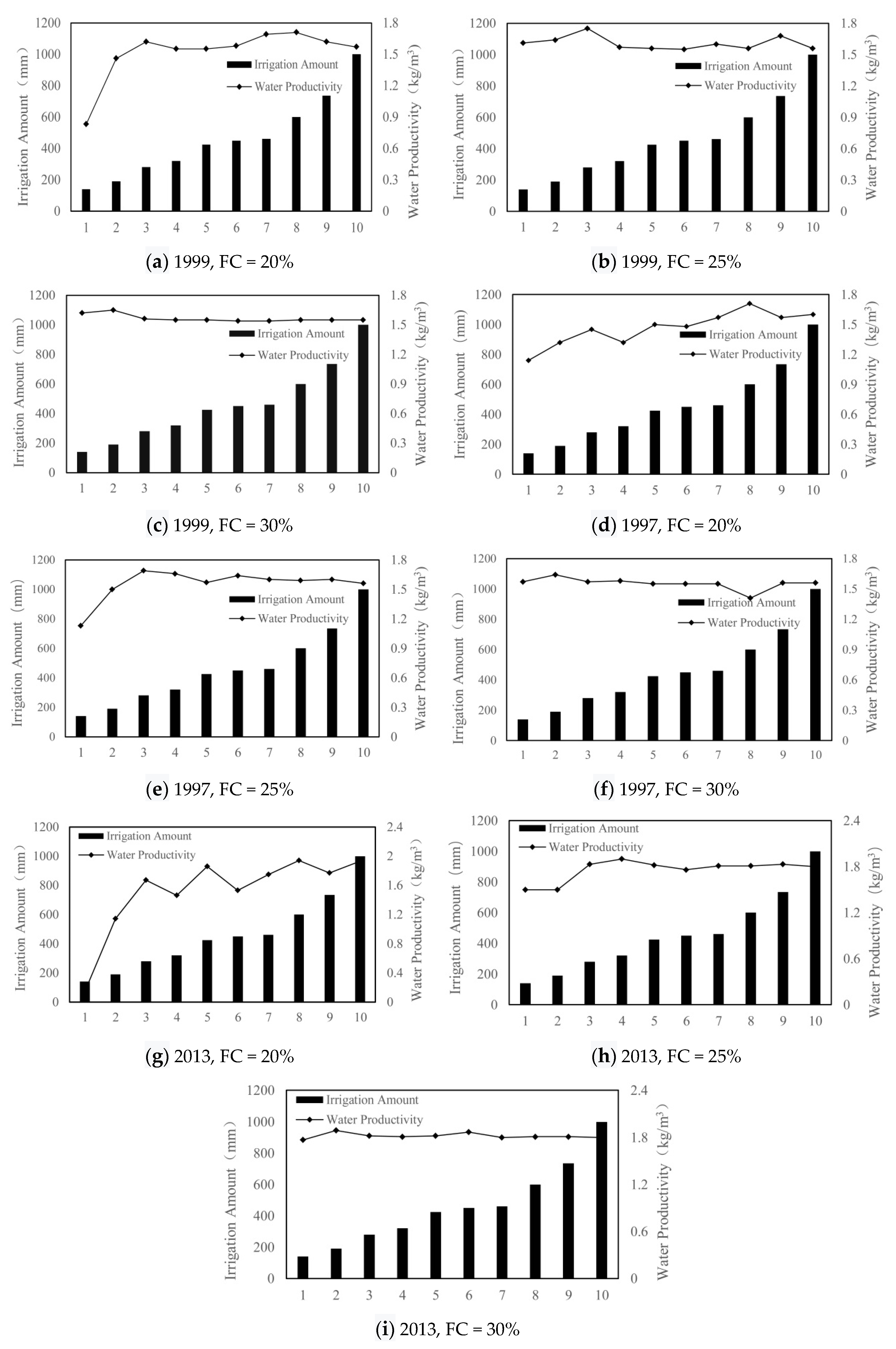
- The rice yield increase potential of irrigation in different precipitation years was simulated. Irrigation has the greatest potential to increase the rice yield in dry years, which requires 600 mm of irrigation. The yield increases by approximately 1440 kg/ha for every 100 mm of supplementary irrigation on average. In normal years, rice requires an irrigation amount of approximately 450 mm to reach the maximum yield level, and the yield can be increased approximately 1892 kg/ha for every 100 mm of supplementary irrigation. In wet years, approximately 450 mm of supplementary irrigation is required to reach the maximum rice yield range, and the yield can be increased by approximately 2032 kg/ha for every 100 mm of supplementary irrigation.
- (3)
- To maximize the yield, abundant irrigation should be carried out at the tillering stage, while little irrigation should be carried out at the regreening stage. During the rest of the rice growth period, irrigation should be carried out according to the growth period rainfall. When the rainfall in the growth period is high, irrigation should be carried out to a lesser degree, and when the rainfall is low, irrigation should be increased.
- (4)
- The optimal irrigation schedule was as follows: in dry years, at an FC of 25%, the total irrigation water amount is 425 mm, and irrigation should be conducted 17 times; in normal years, at an FC of 25%, the total irrigation water amount is 450 mm, and irrigation should be conducted 14 times; in wet years, at an FC of 25%, the total irrigation water amount is 425 mm, and irrigation should be conducted 17 times.
Author Contributions
Funding
Conflicts of Interest
References
- Zhang, C.; Chen, X.X.; Li, Y.; Ding, W.; Fu, G.T. Water-energy-food nexus: Concepts, questions and methodologies. J. Clean. Prod. 2018, 195, 625–639. [Google Scholar] [CrossRef]
- Bouman BA, M.; Humphreys, E.; Tuong, T.P.; Barker, R. Rice and water. Adv. Agron. 2007, 92, 187–237. [Google Scholar]
- Cui, Z.L.; Zhang, H.Y.; Chen, X.; Zhang, C.; Ma, W.; Huang, C.; Zhang, W.; Mi, G.; Miao, Y.; Li, X.; et al. Pursuing sustainable productivity with millions of smallholder farmers. Nature 2018, 555, 363–366. [Google Scholar] [CrossRef] [PubMed]
- Yao, F.; Huang, J.; Cui, K.; Nie, L.; Xiang, J.; Liu, X.; Wu, W.; Chen, M.; Peng, S. Agronomic performance of high-yielding rice variety grown under alternate wetting and drying irrigation. Field Crops Res. 2012, 126, 16–22. [Google Scholar] [CrossRef]
- Fu, Q.; Li, L.; Li, M.; Li, T.; Liu, D.; Hou, R.; Zhou, Z. An interval parameter conditional value-at-risk two-stage stochastic programming model for sustainable regional water allocation under different representative concentration pathways scenarios. J. Hydrol. 2018, 564, 115–124. [Google Scholar] [CrossRef]
- Zhang, C.; Li, Y.; Chu, J.; Fu, G.; Tang, R.; Qi, W. Use of many-objective visual analytics to analyze water supply objective trade-offs with water transfer. J. Water Resour. Plann. Manag. 2017, 143, 05017006. [Google Scholar] [CrossRef]
- Zhang, R.P.; Ma, J.; Wang, H.Z.; Li, Y.; Li, X.Y. Effects of different irrigation methods on growth and development characteristics and water use efficiency in paddy rice. Chin. Agric. Sci. Bull. 2005, 21, 144–150. [Google Scholar]
- Hall, W.A.; Butcher, W.S. Optimal timing of irrigation. J. Irrig. Drain. Div. 1968, 94, 267–278. [Google Scholar]
- Dudley, N.J.; Howell, D.T.; Musgrave, W.F. Optimal intraseasonal irrigation water allocation. Water Resour. Res. 1968, 7, 770–788. [Google Scholar] [CrossRef]
- Lorber, A.; Wangen, L.E.; Kowalski, B.R. A theoretical foundation for the PLS algorithm. J. Chemom. 1987, 1, 19–31. [Google Scholar] [CrossRef]
- Sun, J.S.; Kang, S.Z.; Zhang, J.Y.; Hao, J.; Duan, A.W.; Yu, X.G.; Xiao, J.F. Schedules of irrigation for the high-yield and water-saving cultivation of winter wheat and summer maize in Huoquan irrigation district of Shanxi province. Trans. Chin. Soc. Agric. Eng. 2000, 16, 50–53. [Google Scholar]
- Cui, Y.L.; Li, Y.H.; Mao, Z. The optimal allocation of irrigation water with diversified crops under limited water supply. J. Hydraul. Eng. 1997, 3, 37–42. [Google Scholar]
- Fu, Q.; Wang, L.K.; Men, B.H.; Jin, J.L. A new method of optimizing irrigation system under non-sufficient irrigation—Multi-dimensional dynamic planning based on RAGA. J. Hydraul. Eng. 2003, 1, 123–128. [Google Scholar]
- Tian, F.Q.; Hu, H.P.; Yang, S.X. Computer simulation of irrigation water requirement for paddy rice. Trans. Chin. Soc. Agric. Eng. 1999, 15, 100–103. [Google Scholar]
- Yu, Z.J.; Shang, S.H. Multi-objective optimization method for irrigation scheduling of crop rotation system and its application in North China. J. Hydraul. Eng. 2016, 47, 1188–1196. [Google Scholar]
- Osama, S.; Elkholy, M.; Kansoh, R.M. Optimization of the cropping pattern in Egypt. Alex. Eng. J. 2017, 56, 557–566. [Google Scholar] [CrossRef]
- Dang, T.; Pedroso, R.; Laux, P.; Kunstmann, H. Development of an integrated hydrological-irrigation optimization modeling system for a typical rice irrigation scheme in Central Vietnam. Agric. Water Manag. 2018, 208, 193–203. [Google Scholar] [CrossRef]
- Li, M.; Fu, Q.; Singh, V.P.; Ji, Y.; Liu, D.; Zhang, C.; Li, T. An optimal modelling approach for managing agricultural water-energy-food nexus under uncertainty. Sci. Total Environ. 2019, 651, 1416–1434. [Google Scholar] [CrossRef]
- Li, M.; Fu, Q.; Singh, V.P.; Liu, D. An interval multi-objective programming model for irrigation water allocation under uncertainty. Agric. Water Manag. 2018, 196, 24–36. [Google Scholar] [CrossRef]
- Liu, X.; Guo, P.; Li, F.; Zheng, W. Optimization of planning structure in irrigated district considering water footprint under uncertainty. J. Clean. Prod. 2019, 210, 1270–1280. [Google Scholar] [CrossRef]
- Geerts, S.; Raes, D.; Garcia, M.; Taboada, C.; Miranda, R.; Cusicanqui, J.; Mhizha, T.; Vacher, J. Modeling the potential for closing quinoa yield gaps under varying water availability in the Bolivian Altiplano. Agric. Water Manag. 2009, 96, 1652–1658. [Google Scholar] [CrossRef]
- Dubey, S.K.; Sharma, D. Assessment of climate change impact on yield of major crops in the Banas River Basin, India. Sci. Total Environ. 2018, 635, 10–19. [Google Scholar] [CrossRef] [PubMed]
- Zhang, W.; Liu, W.; Xue, Q.; Chen, J.; Han, X. Evaluation of the AquaCrop model for simulating yield response of winter wheat to water on the southern Loess Plateau of China. Water Sci.Technol. 2013, 68, 821. [Google Scholar] [CrossRef] [PubMed]
- Evett, S.R.; Tolk, J.A. Introduction: Can water use efficiency be modeled well enough to impact crop management. Agron. J. 2009, 101, 423–425. [Google Scholar] [CrossRef]
- Jin, X.L.; Feng, H.K.; Zhu, X.K.; Li, Z.H.; Song, S.N.; Song, X.Y.; Yang, G.; Xu, X.; Guo, W. Assessment of the AquaCrop model for use in simulation of irrigated winter wheat canopy cover, biomass, and grain yield in the North China plain. PLoS ONE 2014, 9, e86938. [Google Scholar] [CrossRef] [PubMed]
- Ni, L.; Feng, H.; Ren, X.C.; Hao, Z.P. Applicable evaluation of crop model AquaCrop for summer maize production in Loess Plateau region. Agric. Res. Arid Areas 2015, 33, 40–45. [Google Scholar]
- Sun, A.H. Study on Water-Fertilizer Effect and Irrigation Models of Rice in Sanjiang Plain. Ph.D. Thesis, Northeast Agricultural University, Harbin, China, 2011. [Google Scholar]
- Boudhina, N.; Masmoudi, M.M.; Alaya, I.; Jacob, F.; Mechlia, N.B. Use of AquaCrop model for estimating crop evapotranspiration and biomass production in hilly topography. Arab. J. Geosci. 2019, 12, 259. [Google Scholar] [CrossRef]
- Seyed, R.R.; Soufizadeh, S.; Amiri Larijani, B.; AghaAlikhani, M.; Kambouzia, J. Simulation of growth and yield of various irrigated rice (Oryza sativa L.) genotypes by AquaCrop under different seedling ages. Nat. Resour. Model. 2018, 31, e12162. [Google Scholar] [CrossRef]
- Manivasagam, V.S.; Nagarajan, R. Rainfall and crop modeling-based water stress assessment for rainfed maize cultivation in peninsular India. Theor. Appl. Climatol. 2018, 132, 529–542. [Google Scholar] [CrossRef]
- Cai, Q.K.; Li, E.J.; Tao, L.L.; Jiang, R.B. Farmland soil moisture retrieval using PROSAIL and water cloud model. Trans. Chinese Soc. Agric. Eng. 2018, 34, 117–123. [Google Scholar]
- Li, J.; Fang, H.; Song, W.Y. Sustainable supplier selection based on SSCM practices: A rough cloud TOPSIS approach. J. Clean. Prod. 2019, 222, 606–621. [Google Scholar] [CrossRef]
- Cheng, K.; Fu, Q.; Ren, Y.T.; Guo, J.; Lu, X.P. Evaluation of bearing capacity of water resources in Heilongjiang province based on entropy weight and cloud model. J. Northeast Agric. Univ. 2015, 46, 75–80. [Google Scholar]
- Hu, Y.L.; Chen, Z.G.; Liu, Z.G. Study of the utilization efficiency of water resources in Hebei province based on the entropy method. Chin. J. Agric. Res. Reg. Plan. 2015, 36, 136–142. [Google Scholar]
- Mrabet, E.; Guedri, M.; Ichchou, M.N.; Ghanmi, S.; Soula, M. A new reliability based optimization of tuned mass damper parameters using energy approach. J. Vib. Control 2018, 24, 153–170. [Google Scholar] [CrossRef]
- Das, B.; Nair, B.; Reddy, V.K.; Venkatesh, P. Evaluation of multiple linear, neural network and penalised regression models for prediction of rice yield based on weather parameters for west coast of India. Int. J. Biometeorol. 2018, 62, 109–1822. [Google Scholar] [CrossRef] [PubMed]
- Song, J.; Li, J.; Yang, Q.H.; Mao, X.M.; Yang, J.; Wang, K. Multi-objective optimization and its application on irrigation scheduling based on AquaCrop and NSGA-II. J. Hydraul. Eng. 2018, 49, 1284–1295. [Google Scholar]
- Pirmoradian, N.; Davatgar, N. Simulating the effects of climatic fluctuations on rice irrigation water requirement using AquaCrop. Agric. Water Manag. 2019, 213, 97–106. [Google Scholar] [CrossRef]
- Guangming, L.; Jinsong, Y.; Yan, J.; Xiuyong, Z. Optimized rice irrigation schedule based on controlling irrigation theory. Trans. Chin. Soc. Agric. Eng. 2005, 21, 29–33. [Google Scholar]
- Fu, H. Effects of Different Water-Saving Irrigation Methods on Form of Medium Hybrid Rice Production in Longquan Mountain Irrigation Area. Ph.D. Thesis, Sichuan Agricultural University, Chengdu, China, 2013. [Google Scholar]
- Shao, D.G.; Le, Z.H.; Xu, B.L.; Hu, N.J.; Tian, Y.N. Optimization of irrigation scheduling for organic rice based on AquaCrop. Trans. Chin. Soc. Agric. Eng. 2018, 34, 114–122. [Google Scholar]







| Treatment | Regreening Stage | Tillering Stage | Jointing Stage | Heading Stage | Milky Stage | Irrigation Schedule | ||||||
|---|---|---|---|---|---|---|---|---|---|---|---|---|
| Amount of Irrigation (mm) | Times of Irrigation | Amount of Irrigation (mm) | Times of Irrigation | Amount of Irrigation (mm) | Times of Irrigation | Amount of Irrigation (mm) | Times of Irrigation | Amount of Irrigation (mm) | Times of Irrigation | Amount of Irrigation (mm) | Times of Irrigation | |
| T1 | 0 | 0 | 80 | 4 | 20 | 1 | 20 | 1 | 0 | 0 | 120 | 6 |
| T2 | 0 | 0 | 100 | 5 | 0 | 0 | 20 | 1 | 20 | 2 | 140 | 8 |
| T3 | 20 | 1 | 70 | 3 | 30 | 1 | 40 | 1 | 30 | 1 | 190 | 7 |
| T4 | 60 | 3 | 120 | 4 | 30 | 1 | 40 | 1 | 30 | 1 | 276 | 10 |
| T5 | 60 | 3 | 120 | 6 | 80 | 4 | 60 | 3 | 0 | 0 | 320 | 16 |
| T6 | 30 | 1 | 180 | 9 | 30 | 1 | 50 | 2 | 0 | 0 | 330 | 13 |
| T7 | 0 | 0 | 180 | 9 | 80 | 4 | 60 | 3 | 30 | 1 | 350 | 17 |
| T8 | 60 | 3 | 150 | 6 | 80 | 4 | 60 | 3 | 0 | 0 | 350 | 16 |
| T9 | 60 | 3 | 195 | 8 | 40 | 2 | 100 | 4 | 30 | 1 | 425 | 18 |
| T10 | 60 | 3 | 195 | 8 | 100 | 3 | 40 | 2 | 30 | 1 | 425 | 17 |
| T11 | 270 | 9 | 155 | 5 | 0 | 0 | 0 | 0 | 0 | 0 | 425 | 14 |
| T12 | 0 | 0 | 425 | 9 | 0 | 0 | 0 | 0 | 0 | 0 | 425 | 9 |
| T13 | 70 | 2 | 200 | 6 | 80 | 2 | 60 | 2 | 40 | 2 | 450 | 14 |
| T14 | 0 | 0 | 450 | 13 | 0 | 0 | 0 | 0 | 0 | 0 | 450 | 13 |
| T15 | 70 | 1 | 200 | 6 | 80 | 2 | 60 | 1 | 40 | 1 | 450 | 11 |
| T16 | 30 | 1 | 240 | 7 | 80 | 2 | 60 | 2 | 40 | 2 | 450 | 14 |
| T17 | 110 | 3 | 160 | 5 | 80 | 2 | 60 | 2 | 40 | 2 | 450 | 14 |
| T18 | 70 | 2 | 240 | 7 | 80 | 2 | 60 | 2 | 0 | 0 | 450 | 13 |
| T19 | 70 | 2 | 250 | 5 | 100 | 2 | 30 | 1 | 0 | 0 | 450 | 10 |
| T20 | 70 | 2 | 250 | 8 | 30 | 1 | 80 | 2 | 20 | 1 | 450 | 14 |
| T21 | 80 | 2 | 240 | 4 | 100 | 2 | 30 | 1 | 0 | 0 | 450 | 9 |
| T22 | 100 | 3 | 210 | 5 | 80 | 2 | 30 | 1 | 30 | 1 | 450 | 12 |
| T23 | 100 | 3 | 200 | 6 | 60 | 1 | 30 | 1 | 60 | 1 | 450 | 12 |
| T24 | 110 | 3 | 190 | 5 | 80 | 2 | 60 | 2 | 20 | 1 | 460 | 13 |
| T25 | 115 | 3 | 300 | 8 | 85 | 3 | 100 | 3 | 0 | 0 | 600 | 17 |
| T26 | 70 | 2 | 325 | 8 | 85 | 3 | 70 | 2 | 50 | 2 | 600 | 17 |
| T27 | 145 | 4 | 190 | 5 | 230 | 6 | 110 | 3 | 60 | 2 | 735 | 20 |
| T28 | 220 | 6 | 420 | 10 | 180 | 5 | 140 | 3 | 40 | 1 | 1000 | 25 |
| Model Parameter | Description | Recommended Value | Calibration Value |
|---|---|---|---|
| CGC | Canopy growth rate (%/growing degree day (GDD)) | 0.05–0.07 | 0.065 |
| CDC | Canopy decay rate (%/GDD) | 0.004 | 0.004 |
| CCmax | Maximum canopy coverage (%) | 80–99 | 99 |
| Zx | Maximum effective root depth (m) | 1.5 | 1.6 |
| Kctr,x | Crop coefficient | 1.1 | 1.2 |
| HI0 | Reference harvest index (%) | 45–50 | 48 |
| WP* | Normalized water production efficiency (g/m2) | 15–20 | 19 |
| CC0 | Canopy coverage at 90% emergence (%) | 1.5 | 1.5 |
| Psen | Premature aging threshold (%) | 0.85 | 0.76 |
| Bredep | Respiratory depression point (%) | 5 | 10 |
| Stbio | The minimum daily growth degree of biomass accumulation without stress (°C/day) | 13–15 | 20 |
| Tteme | sowing to emergence (GDD) | 13 | |
| Ttmrp | sowing to maximum rooting depth (GDD) | 369 | |
| Ttsen | sowing to start of canopy senescence (GDD) | 1153 | |
| Ttmat | sowing to maturity (GDD) | 1167 | |
| Tflo | sowing to flowering (GDD) | 836 | |
| Length building up of HI (GDD) | 283 |
| Treatment | Canopy Cover | Transpiration | Yield | ||||||
|---|---|---|---|---|---|---|---|---|---|
| NRMSE (%) | NSE | R2 | NRMSE (%) | NSE | R2 | NRMSE (%) | NSE | R2 | |
| Controlled Irrigation | 6.410 | 0.968 | 0.974 | 8.110 | 0.956 | 0.984 | 9.495 | 0.793 | 0.993 |
| Wet Irrigation | 9.522 | 0.940 | 0.992 | 9.586 | 0.978 | 0.996 | |||
| Basin Irrigation | 9.303 | 0.941 | 0.997 | 7.185 | 0.984 | 0.981 | |||
| Model Year | Comprehensive Evaluation Value | FC (%) | Treatment | Irrigation Quota (mm) | Irrigation Times | Yield (103 kg/ha) |
|---|---|---|---|---|---|---|
| Wet Year | 8.3 | 25% | T10 | 425 | 17 | 8.637 |
| 8.2 | 30% | T10 | 425 | 17 | 8.64 | |
| 8.1 | 40% | T12 | 425 | 17 | 8.64 | |
| 8.1 | 25% | T16 | 450 | 14 | 8.834 | |
| 8.1 | 25% | T17 | 450 | 14 | 8.781 | |
| Normal Year | 8.1 | 25% | T20 | 450 | 14 | 8.392 |
| 8.05 | 25% | T13 | 450 | 14 | 8.55 | |
| 8.05 | 25% | T17 | 450 | 14 | 8.516 | |
| 7.9 | 25% | T10 | 425 | 17 | 8.404 | |
| 7.8 | 25% | T5 | 320 | 16 | 8.368 | |
| Dry Year | 7.98 | 25% | T10 | 425 | 17 | 8.64 |
| 7.9 | 30% | T11 | 425 | 14 | 6.669 | |
| 7.8 | 25% | T15 | 450 | 11 | 8.76 | |
| 7.75 | 25% | T17 | 450 | 14 | 8.62 | |
| 7.75 | 35% | T11 | 425 | 14 | 8.123 |
© 2019 by the authors. Licensee MDPI, Basel, Switzerland. This article is an open access article distributed under the terms and conditions of the Creative Commons Attribution (CC BY) license (http://creativecommons.org/licenses/by/4.0/).
Share and Cite
Zhai, B.; Fu, Q.; Li, T.; Liu, D.; Ji, Y.; Li, M.; Cui, S. Rice Irrigation Schedule Optimization Based on the AquaCrop Model: Study of the Longtouqiao Irrigation District. Water 2019, 11, 1799. https://doi.org/10.3390/w11091799
Zhai B, Fu Q, Li T, Liu D, Ji Y, Li M, Cui S. Rice Irrigation Schedule Optimization Based on the AquaCrop Model: Study of the Longtouqiao Irrigation District. Water. 2019; 11(9):1799. https://doi.org/10.3390/w11091799
Chicago/Turabian StyleZhai, Biying, Qiang Fu, Tianxiao Li, Dong Liu, Yi Ji, Mo Li, and Song Cui. 2019. "Rice Irrigation Schedule Optimization Based on the AquaCrop Model: Study of the Longtouqiao Irrigation District" Water 11, no. 9: 1799. https://doi.org/10.3390/w11091799
APA StyleZhai, B., Fu, Q., Li, T., Liu, D., Ji, Y., Li, M., & Cui, S. (2019). Rice Irrigation Schedule Optimization Based on the AquaCrop Model: Study of the Longtouqiao Irrigation District. Water, 11(9), 1799. https://doi.org/10.3390/w11091799

