Evaluating the Risk-Based Performance of Bioinfiltration Facilities under Climate Change Scenarios
Abstract
:1. Introduction
1.1. Impacts Due to Climate Change
1.2. Green Infrastructure Adaptation
2. Methods
2.1. Climate Projections
2.2. Bioinfiltration Modeling
2.3. Risk Determination
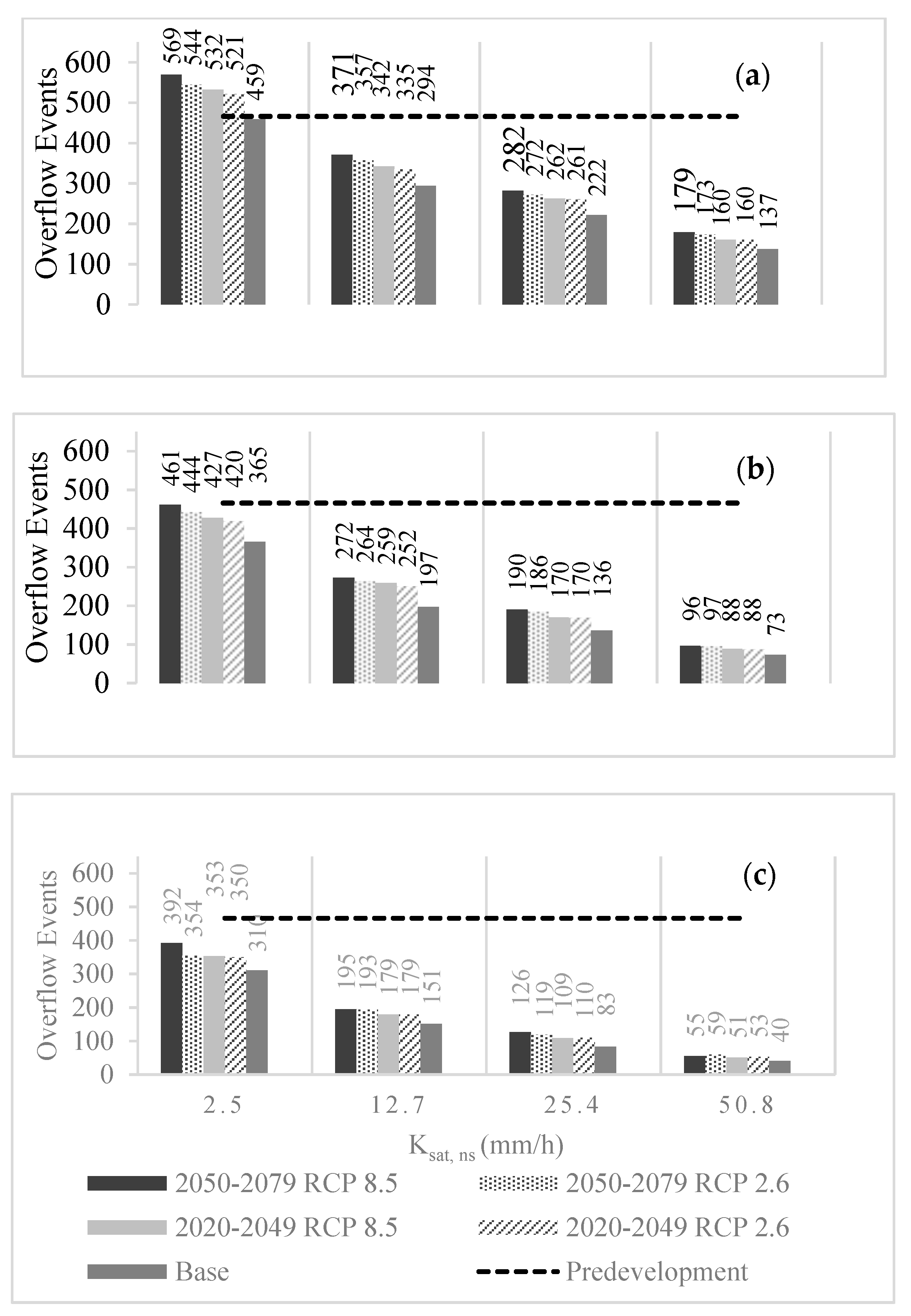
3. Results
3.1. Climate Modeling
3.2. Simulated Bioinfiltration Sites
- 17% and 43% for the 2020–2049 RCP 2.6 scenario with a range of 9.9 mm/year to 42.6 mm/year;
- 18% and 39% for the 2020–2049 RCP 8.5 scenario with a range of 9.0 mm/year to 44.1 mm/year;
- 25% and 64% for the 2050–2079 RCP 2.6 scenario with a range of 14.7 mm/year to 61.3 mm/year;
- 31% to 42% for the 2050–2079 RCP 8.5 scenario with a range of 9.3 mm/year to 76.6 mm/year.
3.3. Treatment Train
4. Discussion
5. Summary and Conclusions
6. Acknowledgements and Data Availability
Author Contributions
Funding
Conflicts of Interest
References
- Melillo, J.M.; Richmond, T.C.; Yohe, G.W. (Eds.) Climate Change Impacts in the United States: The Third National Climate Assessment; U.S. Global Change Research Program: Washington, DC, USA, 2014; p. 841. [CrossRef]
- IPCC. Climate Change (2014). Impacts, Adaptation, and Vulnerability. Part A: Global and Sectoral Aspects. Contribution of Working Group II to the Fifth Assessment Report of the Intergovernmental Panel on Climate Change; Field, C.B., Barros, V.R., Dokken, D.J., Mach, K.J., Mastrandrea, M.D., Bilir, T.E., Chatterjee, M., Ebi, K.L., Estrada, Y.O., Genova, R.C., et al., Eds.; Cambridge University Press: Cambridge, UK; New York, NY, USA, 2014; p. 1132. [Google Scholar]
- IPCC. Climate Change 2007: Synthesis Report. Contribution of Working Groups I, II and III to the Fourth Assessment Report of the Intergovernmental Panel on Climate Change; Pachauri, R.K., Reisinger, A., Eds.; IPCC: Geneva, Switzerland, 2007; p. 104. [Google Scholar]
- Arnell, N.W.; Gosling, S.N. The impacts of climate change on river flood risk at the global scale. Clim. Chang. 2016, 134, 387. [Google Scholar] [CrossRef]
- U.S Environmental Protection Agency (EPA). Being Prepared for Climate Change a Workbook for Developing Risk Based Adaption Plans. Office of Water. EPA 842-K-14-002. Available online: https://www.epa.gov/sites/production/files/2014-09/documents/being_prepared_workbook_508.pdf. (accessed on 8 August 2014).
- U.S. Army Corps of Engineers (USACE). USACE Climate Change Adaption Plan. and Report 2011; USACE: Washington, DC, USA, 2011.
- Francis, R.; Bekera, B. A metric and frameworks for resilience analysis of engineered and infrastructure systems. Reliab. Eng. Syst. Saf. 2014, 121, 90–103. [Google Scholar] [CrossRef]
- USACE. Risk Analysis for Flood Damage Reduction Studies ER 1105-2-101.; Department of the Army: Washington, DC, USA, 2006.
- IPET. Performance Evaluation of the New Orleans and Southeast Louisiana Hurricane Protection System Final Report of the Interagency Performance Evaluation Task Force; USACE: Washington, DC, USA, 2009. [Google Scholar]
- Karl, T.R.; Melillo, J.M.; Peterson, T.C. (Eds.) Global Climate Change Impacts in the United States; Cambridge University Press: Cambridge, UK, 2009. [Google Scholar]
- Kunkel, K.E.; Stevens, L.E.; Stevens, S.E.; Sun, L.; Janssen, E.; Wuebbles, D. Regional Climate Trends and Scenarios for the U.S. National Climate Assessment Part 1. Climate of the Northeast, U.S.; National Oceanic and Atmospheric Administration: Washington, DC, USA, 2013.
- European Environment Agency (EEA). Urban Adaptation to Climate Change in Europe 2016: Transforming Cities in a Changing Climate; Technical Report No. 12/2016; European Environment Agency: Copenhagen, Denmark, 2016; ISSN 1977-8449. [Google Scholar]
- Hejazi, M.I.; Markus, M. Impact of urbanization and climate variability on flood in Northeastern Illinois. J. Hydrol. Eng. 2009, 14, 606–616. [Google Scholar] [CrossRef]
- Faber, M.H.; Stewart, M.G. Risk assessment for civil engineering facilities: Critical overview and discussion. Reliab. Eng. Syst. Saf. 2003, 80, 173–184. [Google Scholar] [CrossRef]
- District of Columbia Water and Sewer Authority (DCWSA). Long Term Control Plan Modification for Green Infrastructure; District of Columbia Water and Sewer Authority: Washington, DC, USA, 2014.
- New York City Department of Environmental Protection (NYCDEP). NYC Green Infrastructure Plan 2011. Available online: http://www.nyc.gov/html/dep/pdf/green_infrastructure/gi_annual_report_2012.pdf. (accessed on 10 October 2015).
- Philadelphia Water Department (PWD). Green City Clean Waters the City of Philadelphia’s Program for Combined Sewer Overflow; Philadelphia Water Department: Philadelphia, PA, USA, 2011.
- Toronto Environment Office (TEO). Ahead of the Storm. Preparing Toronto for Climate Change; Toronto Environment Office: Toronto, ON, Canada, 2008.
- Kirshen, P.; Caputo, L.; Vogel, R.M.; Mathisen, P.; Rosner, A.; Renaud, T. Adapting urban infrastructure to climate change: A drainage case study. J. Water Resour. Plann. Manag. 2015, 141, 04014064. [Google Scholar] [CrossRef]
- Pyke, C.; Warren, M.P.; Johnson, T.; LaGro Jr, J.; Scharfenberg, J.; Groth, P.; Main, E. Assessment of low impact development for managing stormwater with changing precipitation due to climate change. Landsc. Urban Plan 2011, 103, 166–173. [Google Scholar] [CrossRef]
- EPA. Summary of State Stormwater Standards. Office of Water; US Environmental Protection Agency: Washington, DC, USA, 2011.
- National Research Council (NRC). Urban. Stormwater Management in the United States; The National Academies Press: Washington, DC, USA, 2009. [Google Scholar]
- Water Environment Federation (WEF). Rainfall to Results: The Future of Stormwater; Water Environment Federation: Alexandria, VA, USA, 2015. [Google Scholar]
- Maryland Department of the Environment (MDE). Maryland Stormwater Design Manual; Maryland Department of the Environment: Baltimore, MD, USA, 2009.
- PA Department of Environmental Protection (PADEP). Pennsylvania Best Management Practices Manual; Bureau of Watershed Management: Harrisburg, PA, USA, 2006.
- Philadelphia Water Department (PWD). Philadelphia Water (PWD) Stormwater Management Guidance Manual. Available online: https://www.pwdplanreview.org/upload/pdf/Full%20Manual%20(Manual%20Version%202.1).pdf (accessed on 8 April 2014).
- Davis, A.P. Field performance of bioretention: Hydrology impacts. J. Hydrol. Eng. 2008, 13, 90–95. [Google Scholar] [CrossRef]
- Horst, M.; Welker, A.L.; Traver, R.G. Multiyear performance of a pervious concrete infiltration basin BMP. J. Irrig. Drain. 2011, 137, 352–358. [Google Scholar] [CrossRef]
- Lord, L.E.; Komlos, J.; Traver, R. Role of volume reduction and attenuation in the loss of nitrogen from a bioinfiltration SCM. In Proceedings of the 2013 International Low Impact Development Symposium, St. Paul, MI, USA, 18–22 August 2013. [Google Scholar]
- Luell, S.K.; Hunt, W.F.; Winston, R.J. Evaluation of undersized bioretention stormwater control measures for treatment of highway bridge deck runoff. Water Sci. Technol. 2011, 64, 974–979. [Google Scholar] [CrossRef]
- Lewellyn, C.; Lyons, C.; Traver, R.; Wadzuk, B. Evaluation of seasonal and large storm runoff volume capture of an infiltration green infrastructure system. J. Hydrol. Eng. 2015, 21, 04015047. [Google Scholar] [CrossRef]
- Tang, S.; Luo, W.; Jia, Z.; Liu, W.; Li., S.; Wu, Y. Evaluating Retention Capacity of Infiltration Rain Gardens and Their Potential Effect on Urban Stormwater Management in the Sub-Humid Loess Region of China. Water Resour. Management 2015, 30, 983–1000. [Google Scholar] [CrossRef]
- Zahmatkesh, Z.; Burian, S.J.; Karamouz, M.; Tavakol-Davani, H.; Goharian, E. Low-Impact Development Practices to Mitigate Climate Change Effects on Urban Stormwater Runoff: Case Study of New York City. J. Irrig. Drain. 2014, 141, 04014043. [Google Scholar] [CrossRef]
- Franczyk, J.; Chang, H. The effects of climate change and urbanization on the runoff of the Rock Creek basin in the Portland metropolitan area, Oregon, USA. Hydrol. Proc. 2009, 23, 805–815. [Google Scholar] [CrossRef]
- Hathaway, J.M.; Brown, R.A.; Fu, J.S.; Hunt, W.F. Bioretention function under climate change scenarios in North Carolina, USA. J. Hydrol. 2014, 519, 503–511. [Google Scholar] [CrossRef]
- Brekke, L.D.; Maurer, E.P.; Anderson, J.D.; Dettinger, M.D.; Townsley, E.S.; Harrison, A.; Pruitt, T. Assessing reservoir operations risk under climate change. Water Resour. Res. 2009, 45, W04411. [Google Scholar] [CrossRef]
- Davis, D.W.; Goldman, D.M.; Eiker, E.E. Application of Risk-Based Analysis to Planning Reservoir and Levee Flood Damage Reduction Systems; Technical Report No. 160; Hydrologic Engineering Center: St Davis, CA, USA, 2000. [Google Scholar]
- Tung, Y.; Mays, L.W. Risk Models for Flood Levee Design. Water Resour. Res. 1981, 14, 833–841. [Google Scholar] [CrossRef]
- Yohe, G.; Leichenko, R. Chapter 2: Adopting a Risk-Based Approach. New York City Panel on Climate Change 2010 Report. Ann. N.Y. Acad. Sci. 2010, 1196, 29–40. [Google Scholar] [CrossRef]
- Lewellyn, C.; Wadzuk, B. Risk-based methodology for evaluation of bioinfiltration design and performance. J. Sustain. Water Built Environ. 2018, 5. [Google Scholar] [CrossRef]
- Atchison, D.; Severson, A. RECARGA User’s Manual, Version 2.3; University of Wisconsin—Madison: Madison, WI, USA, 2004. [Google Scholar]
- Latham, M.; Carter, C. Storm Water Management Model (SWMM); EPA/600/F-16/246; US EPA Office of Research and Development: Washington, DC, USA, 2016. [Google Scholar]
- Horton, R.M.; Bader, D.A.; Rosenzeig, C.; DeGaetano, A.T.; Solecki, W. Climate Change in New York State: Updating the 011 ClimAID Climate Risk Information Supplement to NYSERDA Report 11-18; New York State Energy Research: Albany, NY, USA, 2014.
- Miller, R.; Choate, A.; Wong, A.; Snow, C.; Snyder, J.; Jaglom, W.; Biggar, S.; Schultz, P. Useful Climate Information for Philadelphia: Past and Future; Philadelphia Mayor’s Office of Sustainability: Philadelphia, PA, USA, 2014.
- Reclamation. Downscaled CMIP3 and CMIP5 Climate and Hydrology Projections: Release of Hydrology Projections, Comparison with preceding Information, and Summary of User Needs; U.S. Department of the Interior, Bureau of Reclamation, Technical Services Center: Denver, CO, USA, 2014; p. 110.
- Diaz-Nieto, J.; Wilbey, R.L. A comparison of statistical downscaling and climate change factor methods: Impacts on lowflows in the River Thames, United Kingdom. Clim. Chang. 2005, 69, 245–268. [Google Scholar] [CrossRef]
- Anandhi, A.; Frei, A.; Pierson, D.C.; Schneiderman, E.M.; Zion, M.S.; Lounsbury, D.; Matonse, A.H. Examination of change factor methodologies for climate change impact assessment. Water Resour. Res. 2011, 47, W03501. [Google Scholar] [CrossRef]
- Akhtar, M.; Ahmad, N.; Booji, M.J. The impact of climate change on the water resources of Hindukush-Karakorum-Himalaya region under different glacier coverage scenarios. J. Hydrol. 2008, 255, 148–163. [Google Scholar] [CrossRef]
- Hay, L.E.; Wilby, R.L.; Leavesly, G.H. A comparison of delta change and downscaled GCM scenarios for three mountainous basins in the United States. J. Am. Water Resour. Assoc. 2000, 36, 387–397. [Google Scholar] [CrossRef]
- Kilsby, C.G.; Jones, P.D.; Burton, A.; Ford, A.C.; Fowler, H.J.; Harpham, C.; Wilby, R.L. A daily weather generator for use in climate change studies. Env. Model. Softw. 2007, 22, 1705–1719. [Google Scholar] [CrossRef]
- Maurer, E.P.; Brekke, L.; Pruitt, T.; Duffy, P.B. Fine-resolution climate projections enhance regional climate change impact studies. Eos Trans. Agu. 2007, 88, 504. [Google Scholar] [CrossRef]
- Van Vuuren, D.P.; Edmonds, J.; Kainuma, M.; Riahi, K.; Thomson, A.; Hibbard, K.; Masui, T. The representative concentration pathways: An overview. Clim. Chang. 2011, 109, 5–31. [Google Scholar] [CrossRef]
- National Oceanic and Atmospheric Administration. Climate Data Online Search. Available online: http://www.ncdc.noaa.gov/cdoweb/search?datasetid=GHCNDMS (accessed on 3 October 2015).
- Hargreaves, G.H.; Semani, Z.A. Reference crop evapotranspiration from temperature. Appl. Eng. Agric. 1985, 1, 96–99. [Google Scholar] [CrossRef]
- Montgomery Associates. LA_RECARGA User’s Manual; City of Los Angeles: Los Angeles, CA, USA, 2009.
- Prince George’s County Department of Environmental Resources (PGDER). Bioretention Manual. Available online: https://www.ct.gov/deep/lib/deep/p2/raingardens/bioretention_manual_2009_version.pdf (accessed on 23 April 2018).
- Minnesota Pollution Control Agency (MPCA). Design Criteria for Bioretention. Available online: https://stormwater.pca.state.mn.us/index.php?title=Design_criteria_for_bioretention. (accessed on 23 April 2018).
- Soil Conservation Service (SCS, now NRCS). National Engineering Handbook. Section 4-Hydrology; Soil Conservation Service: Washington, DC, USA, 1985.
- Minnesota Pollution Control Agency (MPCA). What is the Pre-Development Condition. Available online: https://stormwater.pca.state.mn.us/index.php/What_is_the_pre-development_condition (accessed on 11 August 2019).
- Thomsen, B.W.; Porcello, J.J. Predevlopment Hydrology of the Salt River Indian Reservation, East Salt River Valley, Arizona. U.S. Geol. Surv. Water-Resour. Investig. Rep. 1991, 91, 4132. [Google Scholar] [CrossRef]
- Washington State Department of Ecology (WSDE). Stormwater Management Manual for Western Washington. Publication number 14-10-055. Available online: http://www.ecy.wa.gov/programs/wq/stormwater/manual/2014SWMMWWinteractive/Content/Resources/DocsForDownload/2014SWMMWW.pdf (accessed on 23 April 2018).
- Thompson, A.; Barnes, J.; Pierce, D.; Dickson, L.; Beauvais, N.; Ghosh, I.; Brahim, N.; Hagan, K. Climate Projections and Scenario Development Climate Change Adaptation Plan for the District of Columbia. RFA: 2013-9-OPS; Department of Energy and Environment: Washington, DC, USA, 2015.
- North Carolina Department of Environment and Natural Resources (NCDENR). Stormwater Best Management Practices Manual; North Carolina Department of Environment and Natural Resources: Raleigh, NC, USA, 2009.




| Modeling Center (or Group) | Institute ID | Model Name |
|---|---|---|
| Commonwealth Scientific and Industrial Research Organization (CSIRO) and Bureau of Meteorology (BOM), Australia | CSIRO-BOM | ACCESS1.0 |
| Beijing Climate Center, China Meteorological Administration | BCC | BCC-CSM1.1 |
| BCC-CSM1.1 (m) | ||
| Canadian Centre for Climate Modelling and Analysis | CCCMA | CanESM2 |
| National Center for Atmospheric Research | NCAR | CCSM4 |
| Community Earth System Model Contributors | NSF-DOE-NCAR | CESM1-BGC |
| CESM1-CAM5 | ||
| Centro Euro-Mediterraneo per I Cambiamenti Climatici | CMCC | CMCC-CM |
| Centre National de Recherches Météorologiques/Centre Européen de Recherche et Formation Avancée en Calcul Scientifique | CNRM-CERFACS | CNRM-CM5 |
| Commonwealth Scientific and Industrial Research Organization in collaboration with Queensland Climate Change Centre of Excellence | CSIRO-QCCCE | CSIRO-Mk3.6.0 |
| The First Institute of Oceanography, SOA, China | FIO | FIO-ESM |
| NOAA Geophysical Fluid Dynamics Laboratory | NOAA GFDL | GFDL-CM3 |
| GFDL-ESM2G | ||
| GFDL-ESM2M | ||
| NASA Goddard Institute for Space Studies | NASA GISS | GISS-E2-R |
| GISS-E2-R-CC | ||
| Met Office Hadley Centre (additional HadGEM2-ES realizations contributed by Instituto Nacional de Pesquisas Espaciais) | MOHC | HadGEM2-AO |
| HadGEM2-ES | ||
| Institute for Numerical Mathematics | INM | INM-CM4 |
| Institut Pierre-Simon Laplace | IPSL | IPSL-CM5A-MR |
| IPSL-CM5B-LR | ||
| Japan Agency for Marine-Earth Science and Technology, Atmosphere and Ocean Research Institute (The University of Tokyo), and National Institute for Environmental Studies | MIROC | MIROC-ESM |
| MIROC-ESM-CHEM | ||
| Atmosphere and Ocean Research Institute (The University of Tokyo), National Institute for Environmental Studies, and Japan Agency for Marine-Earth Science and Technology | MIROC | MIROC5 |
| Max-Planck-Institut für Meteorologie (Max Planck Institute for Meteorology) | MPI-M | MPI-ESM-MR |
| MPI-ESM-LR | ||
| Meteorological Research Institute | MRI | MRI-CGCM3 |
| Norwegian Climate Centre | NCC | NorESM1-M |
| Ponding Depth (mm) | Media Depth (mm) | Saturated Hydraulic Conductivity (mm/h) |
|---|---|---|
| 76 | 864 | 2.5 |
| 12.7 | ||
| 25.4 | ||
| 50.8 | ||
| 152 | 610 | 2.5 |
| 12.7 | ||
| 25.4 | ||
| 50.8 | ||
| 229 | 356 | 2.5 |
| 12.7 | ||
| 25.4 | ||
| 50.8 |
| Scenario | Total Rainfall (mm) | Average Annual Rainfall (mm) | Average Max Daily Temp (°C) | Average Min Daily Temp (°C) |
|---|---|---|---|---|
| Base | 31,714 | 1057 | 17.9 | 8.0 |
| 2020–2049 RCP 2.6 | 35,350 | 1178 | 19.6 | 10.0 |
| 2020–2049 RCP 8.5 | 35,512 | 1184 | 19.9 | 10.2 |
| 2050–2079 RCP 2.6 | 36,350 | 1212 | 19.8 | 10.3 |
| 2050–2079 RCP 8.5 | 36,700 | 1223 | 21.5 | 12.0 |
| Scenario | Overflow Events | Difference from Base (Events) | Cumulative Annual Risk (mm/Year) | Difference from Base (mm/Year) |
|---|---|---|---|---|
| Base (1970–1999) | 234 | - | 46.9 | - |
| 2020–2049 RCP 2.6 | 281 | 47 | 60.2 | 13.3 |
| 2020–2049 RCP 8.5 | 283 | 49 | 65.3 | 18.4 |
| 2050–2079 RCP 2.6 | 289 | 55 | 67.1 | 20.2 |
| 2050–2079 RCP 8.5 | 308 | 74 | 73.9 | 27.0 |
© 2019 by the authors. Licensee MDPI, Basel, Switzerland. This article is an open access article distributed under the terms and conditions of the Creative Commons Attribution (CC BY) license (http://creativecommons.org/licenses/by/4.0/).
Share and Cite
Lewellyn, C.; Wadzuk, B. Evaluating the Risk-Based Performance of Bioinfiltration Facilities under Climate Change Scenarios. Water 2019, 11, 1765. https://doi.org/10.3390/w11091765
Lewellyn C, Wadzuk B. Evaluating the Risk-Based Performance of Bioinfiltration Facilities under Climate Change Scenarios. Water. 2019; 11(9):1765. https://doi.org/10.3390/w11091765
Chicago/Turabian StyleLewellyn, Conor, and Bridget Wadzuk. 2019. "Evaluating the Risk-Based Performance of Bioinfiltration Facilities under Climate Change Scenarios" Water 11, no. 9: 1765. https://doi.org/10.3390/w11091765
APA StyleLewellyn, C., & Wadzuk, B. (2019). Evaluating the Risk-Based Performance of Bioinfiltration Facilities under Climate Change Scenarios. Water, 11(9), 1765. https://doi.org/10.3390/w11091765

