Removal of Diesel Oil in Soil Microcosms and Implication for Geophysical Monitoring
Abstract
1. Introduction
- bioaugmentation: The addition of enriched microbial cultures (autochthonous or allochthonous degraders) to the soil [3];
2. Materials and Methods
2.1. Soil Properties
2.2. Soil Microcosms
- Control abiotic microcosm (A): Sterilized soil, spiked with 15 g of commercial diesel oil and hydrated with 37 mL of sterilized water to obtain a soil moisture level of about 15 % by weight; the sterilization was carried out in an autoclave, at 120 °C for 2 h;
- control biotic microcosm (C): Soil hydrated with 37 mL of Mineral Salt Medium for Bacteria (MSMB);
- biostimulated microcosm (BIOS): Soil treated with 15 g of diesel oil and hydrated with 37 mL of MSMB;
- biostimulated microcosm with added glucose (BIOS-G): The addition of 0.74 g of glucose to 200 g of soil treated with 15 g of diesel oil and hydrated with 37 mL of MSMB; after 143 days, the same amount of glucose was added again.
2.3. Respirometric Measurements
2.4. Microbial Counts
2.5. Residual Diesel Oil Concentration
- The chromatogram from 0 to 8 min was not considered due to the presence of solvent peaks.
- The final part, from 35 to 45 min, was also excluded due to the presence of very small and not well-defined peaks.
- The residual retention time, from 8 to 35 min, was divided into three equal periods, and the corresponding species were classified as:
- ○
- Low retention (LR species), in the period 8–17 min.
- ○
- Medium retention (MR species), in the period 17–26 min.
- ○
- High retention (HR species), in the period 26–35 min.
2.6. Kinetic Modeling
2.6.1. First-Order Reaction Rate
2.6.2. Second-Order Reaction Rate
2.7. Geophysical Features for Future Monitoring and Preliminary Measurements
- Average porosity: 0.38–0.4;
- soil density: 2700 kg m−3;
- diesel oil density: 800 kg m−3;
- water saturation: 0.4;
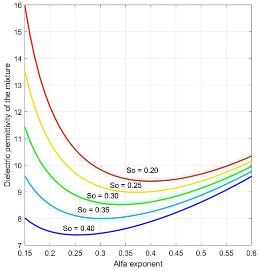
- diesel oil concentration equal to 76,000 mg kg−1 of soil, equivalent to diesel oil volume of 0.25 m3 m−3 of the total volume (the mixture oil-water-soil-air);
- water relative electrical permittivity equal to 78 (the water salinity was not considered).
3. Results
3.1. Respirometric Measurements
- The control abiotic microcosm (A) had no respirometric activity, as expected.
- The control biotic microcosm (C) had the highest respirometric activity in the first 35–40 days, with an exponential trend, then, the daily CO2 production continued but with a reduced amount (Figure 2). After 40 days, the cumulative CO2 quantity grew with an almost linear tendency, demonstrating that the daily production was almost constant and in the order of 0.014 g CO2 kg−1 of soil day−1. In both cases, the regression coefficient R2 had values very close to 1.
- For the BIOS-G microcosm, a slight deviation from linearity occurred at the beginning of the run, when the microbial activity was probably enhanced by the glucose presence, due to the quick use of this primary carbon source with respect to the use of more complex molecules.
- Both biostimulated microcosms, namely without (BIOS) and with glucose (BIOS-G), had cumulative production of CO2 with linear growth, around 0.058 g CO2 kg−1 of soil day−1 and 0.080 g CO2 kg−1 of soil day−1, respectively. These amounts contained the biotic quantity measured in microcosm C, to say the amount naturally produced by the microbial activity in the absence of diesel oil and glucose.
- Comparing the CO2 production of the BIOS and BIOS-G microcosms, the system with added glucose (BIOS-G) produced a higher amount, especially at the beginning of the test, and the difference increased until about 110 days, when the value was in the order of 2.4–2.5 g CO2 kg−1 of soil (Figure 3). This trend was also found after the second addition of glucose to BIOS-G at t = 143 days, when the BIOS-G microcosm started to produce CO2 more quickly than the BIOS microcosm (this feature ended at 163–165 days).
- Without any external addition of carbon sources (microcosm C), the soil had relevant microbial activity: Compared to the cumulative amount achieved in the others, its weight was around 25% of the amount produced when just diesel oil was present (BIOS) and around 17% of the cumulative quantity produced in BIOS-G.
3.2. Microbial Counts
3.3. Diesel Oil Removal
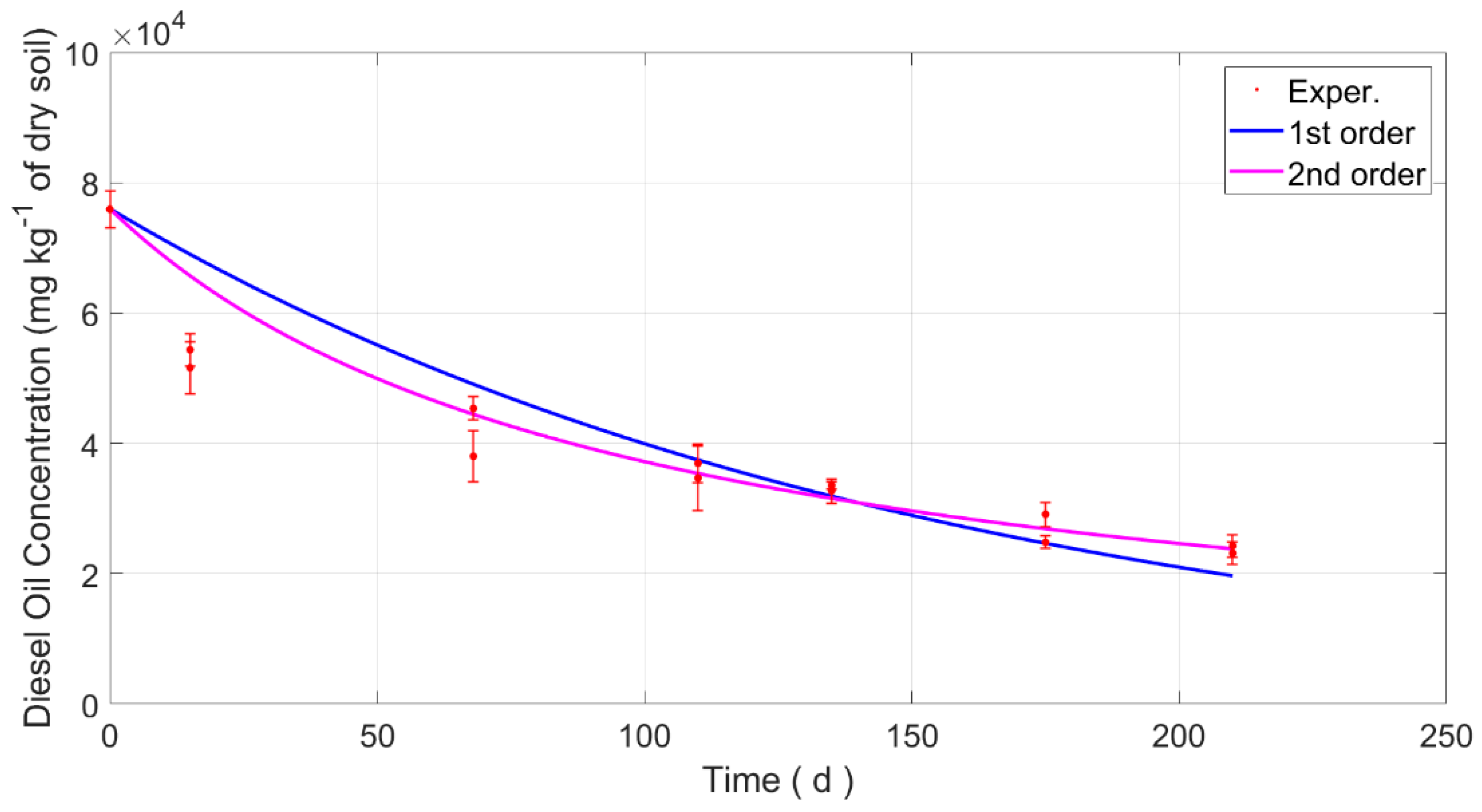
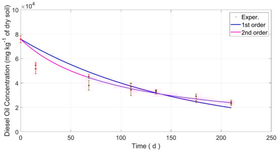
- At the end of the test (t = 203 days), in the abiotic microcosm the residual concentration was around 50,000 mg kg−1 of soil, corresponding to a removal efficiency in the order of 30%.
- After 200 days, for the BIOS and BIOS-G microcosms the removal efficiency was very similar and almost 70%, suggesting that the presence of a primary carbon source had no effect on the diesel oil biodegradation. This confirmed the results obtained in a previous work [13] carried out in the same conditions (i.e., biostimulation) but with a different microcosm volume.
- The data shown for the BIOS and BIOS-G microcosms included the abiotic contribution (value obtained in microcosm A); therefore, the net diesel oil removal due to biodegradation was the difference between the overall and abiotic values.
- For the BIOS and BIOS-G microcosms, the trend of residual diesel oil concentration was still decreasing after 200 days; however, this became almost negligible and not substantial in real-case applications.
- For LR species, after 15 days their concentration was greatly reduced, and after 68 days, the value remained about constant, at around 2000 mg kg−1 of soil. The trend was similar to that shown by the abiotic system, but the constant value was much lower, evidencing that part of these compounds were metabolized by the diesel oil-degrading microorganisms (the LR species contained more quickly biodegradable molecules).
- The removal of MR species was slower and with a lag phase, which could be estimated at two months, since after only 68 days the MR species concentration started to slowly decrease with a trend still continuing at t = 203 days.
- Regarding HR species, the removal was not consistent and seemed to occur slowly with long time durations.
- LR species: About 46% by weight.
- MR species: About 35% by weight.
- HR species: About 19% by weight.
3.4. Kinetic Modeling
3.4.1. First-Order Reaction Rate
3.4.2. Second-Order Reaction Rate
3.5. Geophysical Features for Future Monitoring and Preliminary Measurements
4. Discussion
Author Contributions
Funding
Conflicts of Interest
References
- Kalantari, R.R.; Mohseni-Bandpi, A.; Esrafili, A.; Nasseri, S.; Ashmagh, F.R.; Jorfi, S.; Ja’fari, M. Effectiveness of biostimulation through nutrient content on the bioremediation of phenanthrene contaminated soil. J. Environ. Health Sci. Eng. 2014, 12, 143. [Google Scholar] [CrossRef]
- Simpanen, S.; Dahli, M.; Gerlach, M.; Mikkonen, A.; Malk, V.; Mikola, J.; Romantschuk, M. Biostimulation proved to be the most efficient method in the comparison of in situ soil remediation treatments after a simulated oil spill accident. Environ. Sci. Pollut. Res. 2016, 23, 25024–25038. [Google Scholar] [CrossRef] [PubMed]
- Poi, G.; Aburto-Medina, A.; Mok, P.C.; Ball, A.S.; Shahsavari, E. Large scale bioaugmentation of soil contaminated with petroleum hydrocarbons using a mixed microbial consortium. Ecol. Eng. 2017, 102, 64–71. [Google Scholar] [CrossRef]
- Fan, M.Y.; Xie, R.-J.; Qin, G. Bioremediation of petroleum-contaminated soil by a combined system of biostimulation–bioaugmentation with yeast. Environ. Technol. 2014, 35, 391–399. [Google Scholar] [CrossRef] [PubMed]
- Wu, M.; Dick, W.A.; Li, W.; Wang, X.; Yang, Q.; Wang, T.; Xu, L.; Zhang, M.; Chen, L. Bioaugmentation and biostimulation of hydrocarbon degradation and the microbial community in a petroleum-contaminated soil. Int. Biodeterior. Biodegrad. 2016, 107, 158–164. [Google Scholar] [CrossRef]
- Guarino, C.; Spada, V.; Sciarrillo, R. Assessment of three approaches of bioremediation (Natural attenuation, Landfarming and Bioagumentation-Assistited Landfarming) for a petroleum hydrocarbons contaminated soil. Chemosphere 2017, 170, 10–16. [Google Scholar] [CrossRef] [PubMed]
- Liu, X.; Selonen, V.; Steffen, K.; Surakka, M.; Rantalainen, A.-L.; Romantschuk, M.; Sinkkonen, A. Meat and bone meal as a novel biostimulation agent in hydrocarbon contaminated soils. Chemosphere 2019, 225, 574–578. [Google Scholar] [CrossRef]
- Safdari, M.-S.; Kariminia, H.-R.; Rahmati, M.; Fazlollahi, F.; Polasko, A.; Mahendra, S.; Wilding, W.V.; Fletcher, T.H. Development of bioreactors for comparative study of natural attenuation, biostimulation, and bioaugmentation of petroleum-hydrocarbon contaminated soil. J. Hazard. Mater. 2018, 342, 270–278. [Google Scholar] [CrossRef]
- Wu, M.; Li, W.; Dick, W.A.; Ye, X.; Chen, K.; Kost, D.; Chen, L. Bioremediation of hydrocarbon degradation in a petroleum-contaminated soil and microbial population and activity determination. Chemosphere 2017, 169, 124–130. [Google Scholar] [CrossRef]
- Lopes Julio, A.D.; Rocha Fernandes, R.d.C.; Dutra Costa, M.; Lima Neves, J.C.; Montes Rodrigues, E.; Rogerio Totola, M. A new biostimulation approach based on the concept of remaining P for soil bioremediation. J. Environ. Manag. 2018, 207, 417–422. [Google Scholar] [CrossRef]
- Polyak, Y.M.; Bakina, L.G.; Chugunova, M.V.; Mayachkina, N.; Gerasimov, A.; Bure, V.M. Effect of remediation strategies on biological activity of oil-contaminated soil—A field study. Int. Biodeterior. Biodegrad. 2018, 126, 57–68. [Google Scholar] [CrossRef]
- Casale, A.; Bosco, F.; Chiampo, F.; Franco, D.; Ruffino, B.; Godio, A. Soil microcosm set up for a bioremediation study. Int. J. Appl. Sci. Environ. Eng. 2018, 1, 277–280. [Google Scholar]
- Bosco, F.; Casale, A.; Mazzarino, I.; Godio, A.; Ruffino, B.; Mollea, C.; Chiampo, F. Microcosm evaluation of bioaugmentation and biostimulation efficacy on diesel-contaminated soil. J. Chem. Technol. Biotechnol. 2019. [Google Scholar] [CrossRef]
- Arato, A.; Weher, M.; Bíró, B.; Godio, A. Integration of geophysical, geochemical and microbiological data for a comprehensive small-scale characterization of an aged LNAPL-contaminated site. Environ. Sci. Pollut. Res. 2014, 1, 8948–8963. [Google Scholar] [CrossRef]
- Koroma, S.; Arato, A.; Godio, A. Analyzing geophysical signature of a hydrocarbon-contaminated soil using geoelectrical surveys. Environ. Earth Sci. 2015, 74, 2937–2948. [Google Scholar] [CrossRef]
- Atekwana, E.A.; Werkema, D.D.; Atekwana, E.A. Biogeophysics: The effects of microbial processes on geophysical properties of the shallow subsurface. Appl. Hydrogeophys. 2006, 71, 161–193. [Google Scholar] [CrossRef]
- Or, D.; Wraith, J.M. Temperature effects on soil bulk dielectric permittivity measured by time domain reflectometry: A physical model. Water Resour. Res. 1999, 35, 371–383. [Google Scholar] [CrossRef]
- Lazebnik, M.; Converse, M.; Booske, J.H.; Hagness, S.C. Ultra-wideband Temperature-Dependent Dielectric Properties of Animal Liver Tissue in the Microwave Frequency Range. Phys. Med. Biol. 2006, 51, 1941–1955. [Google Scholar] [CrossRef]
- Godio, A. Open ended-coaxial Cable Measurements of Saturated Sandy Soils. Am. J. Environ. Sci. 2007, 3, 175–182. [Google Scholar] [CrossRef]
- Endres, A.L.; Redman, D.J. Modeling the electrical properties of porous rocks and soils containing immiscible contaminants. J. Environ. Eng. Geophys. 2009, 105–112. [Google Scholar] [CrossRef]
- Carcione, J.M.; Seriani, G. An electromagnetic modelling tool for the detection of hydrocarbons in the subsoil. Geophys. Prospect. 2000, 48, 231–256. [Google Scholar] [CrossRef]
- Sen, P.N.; Scala, C.; Cohen, M.H. A self-similar model for sedimentary rocks with applications to the dielectric constant of fused glass beads. Geophysics 1981, 46, 781–795. [Google Scholar] [CrossRef]
- Feng, S.; Sen, P.N. Geometrical model of conductive and dielectric properties of partially saturated rocks. J. Appl. Phys. 1985, 58, 3236–3243. [Google Scholar] [CrossRef]
- Knight, R.; Endres, A. A new concept in modeling the dielectric response of sandstones: Defining a wetted rock and bulk water system. Geophysics 1990, 55, 586–594. [Google Scholar] [CrossRef]
- Comegna, A.; Coppola, A.; Dragonetti, G.; Sommella, A. Dielectric response of a variable saturated soil contaminated by Non-Aqueous Phase Liquids (NAPLs). Procedia Environ. Sci. 2013, 19, 701–710. [Google Scholar] [CrossRef]
- Adesodun, J.K.; Mbagwu, J.S.C. Biodegradation of waste-lubricating petroleum oil in a tropical alfisol as mediated by animal droppings. Bioresour. Technol. 2008, 99, 5659–5665. [Google Scholar] [CrossRef]
- Agarry, S.E.; Aremu, M.O.; Aworanti, A. Kinetic Modelling and Half-Life Study on Bioremediation of Soil Co-Contaminated with Lubricating Motor Oil and Lead Using Different Bioremediation Strategies. Soil Sediment Contam. Int. J. 2013, 22, 800–816. [Google Scholar] [CrossRef]
- Komilis, D.P.; Vrohidou, A.E.K.; Voudrias, E.A. Kinetics of aerobic bioremediation of a diesel-contaminated sandy soil: Effect of nitrogen addition. Water Air Soil Pollut. 2010, 208, 193–208. [Google Scholar] [CrossRef]
- Nwankwegu, A.S.; Onwosi, C.O. Bioremediation of gasoline contaminated agricultural soil by bioaugmentation. Environ. Technol. Innov. 2017, 7, 1–11. [Google Scholar] [CrossRef]
- Sarkar, D.; Ferguson, M.; Datta, R.; Birnbaum, S. Bioremediation of petroleum hydrocarbons in contaminated soils: Comparison of biosolids addition, carbon supplementation, and monitored natural attenuation. Environ. Pollut. 2005, 136, 187–195. [Google Scholar] [CrossRef]
- Chen, F.; Li, X.; Zhu, Q.; Ma, J.; Hou, H.; Zhang, S. Bioremediation of petroleum-contaminated soil enhanced by aged refuse. Chemosphere 2019, 222, 98–105. [Google Scholar] [CrossRef]
- Ani, K.A.; Ochin, E. Response surface optimization and effects of agricultural wastes on total petroleum hydrocarbon degradation. Beni-Suef Univ. J. Basic Appl. Sci. 2018, 7, 564–574. [Google Scholar] [CrossRef]
- Ortega, M.F.; García-Martínez, M.-J.; Bolonio, D.; Canoira, L.; Llamas, J.F. Weighted linear models for simulation and prediction of biodegradation in diesel polluted soils. Sci. Total Environ. 2019, 686, 580–589. [Google Scholar] [CrossRef]
- Seyfried, S.S.; Grant, L.E. Temperature Effects on Soil Dielectric Properties Measured at 50 MHz. Vadose Zone J. 2007, 6, 759–765. [Google Scholar] [CrossRef]
- Atekwana, E.A.; Slater, L. Biogeophysics: A new frontier in Earth science research. Rev. Geophys. 2009, 47, RG4004. [Google Scholar] [CrossRef]
- Cassiani, G.; Binley, A.; Kemna, A.; Wehrer, M.; Flores Orozco, A.; Deiana, R.; Boaga, J.; Rossi, M.; Dietrich, P.; Werban, U.; et al. Noninvasive characterization of the Trecate (Italy) crude-oil contaminated site: Links between contamination and geophysical signals. Environ. Sci. Pollut. Res. 2014, 21, 8914–8931. [Google Scholar] [CrossRef]
- Godio, A.; Arato, A.; Stocco, S. Geophysical characterization of a non aqueous-phase liquid-contaminated site. Environ. Geosci. 2010, 17, 141–162. [Google Scholar] [CrossRef]











| Chemical Parameter | Value |
| pH | 7.32 ± 0.04 |
| Soluble bicarbonate (mg kg−1 of dry soil) | 66.9 ± 10.8 |
| Soluble chlorides (mg kg−1 of dry soil) | 26.2 ± 0.3 |
| Soluble sulphates (mg kg−1 of dry soil) | 211 ± 3 |
| Ammonia (mg kg−1 of dry soil) | 2.18 ± 0.11 |
| Nitrates (mg kg−1 of dry soil) | 68.0 ± 0.4 |
| Geophysical Parameter | Value |
| Porosity (% volume) | 40–42 |
| Density (kg m−3) | 2700 |
| Dielectric permittivity for dry soil | 2.5–3 |
| Dielectric permittivity for saturated soil | 25–30 |
| Phase | Relative Dielectric Permittivity | Method |
|---|---|---|
| Solid (grains) | 3.2 +/− 0.2 | Estimated according to Complex Refractive Index Model (CRIM) formula on saturated specimen (Time Domain Reflectometry (TDR) probe) [24] |
| Water | 78.5 +/− 0.2 (at 25 °C) | Measured with TDR probe [25] |
| Diesel oil | 2.2 +/− 0.1 | Measured with Open-Ended-Coaxial cable [19] |
© 2019 by the authors. Licensee MDPI, Basel, Switzerland. This article is an open access article distributed under the terms and conditions of the Creative Commons Attribution (CC BY) license (http://creativecommons.org/licenses/by/4.0/).
Share and Cite
Bosco, F.; Casale, A.; Chiampo, F.; Godio, A. Removal of Diesel Oil in Soil Microcosms and Implication for Geophysical Monitoring. Water 2019, 11, 1661. https://doi.org/10.3390/w11081661
Bosco F, Casale A, Chiampo F, Godio A. Removal of Diesel Oil in Soil Microcosms and Implication for Geophysical Monitoring. Water. 2019; 11(8):1661. https://doi.org/10.3390/w11081661
Chicago/Turabian StyleBosco, Francesca, Annalisa Casale, Fulvia Chiampo, and Alberto Godio. 2019. "Removal of Diesel Oil in Soil Microcosms and Implication for Geophysical Monitoring" Water 11, no. 8: 1661. https://doi.org/10.3390/w11081661
APA StyleBosco, F., Casale, A., Chiampo, F., & Godio, A. (2019). Removal of Diesel Oil in Soil Microcosms and Implication for Geophysical Monitoring. Water, 11(8), 1661. https://doi.org/10.3390/w11081661

