Dynamics of Infiltration Rate and Field-Saturated Soil Hydraulic Conductivity in a Wastewater-Irrigated Cropland
Abstract
1. Introduction
2. Materials and Methods
2.1. Study Sites
2.2. Field-Saturated Soil Hydraulic Conductivity Measurements by DHIs
2.2.1. Field Measurements
2.2.2. Quality Controls
2.2.3. Calculation of Kfs
2.2.4. Viscosity Correction of Kfs
2.3. Measurement of Kfs by DRIs
2.4. Statistical Analysis
3. Results and Discussion
3.1. The Influence of DHI Holding Time
3.2. Comparison of Kfs Measured by DHIs and DRIs
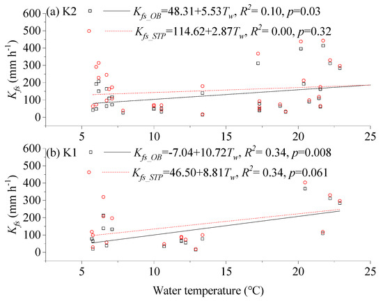
3.3. Seasonal Dynamics of IRs and Kfs, and Their Influencing Factors
3.4. Long-Term Effects of Wastewater Irrigation on Kfs
4. Summary and Conclusions
- (1)
- For the silt loam soil in our study site, the optimized DHI procedure, with one long cycle, achieved steadier pressure heads and infiltration rates and, therefore, yielded more credible Kfs values than the original two short-cycle default setting.
- (2)
- The values of Kfs measured by the DHI were, for the most part, similar to those measured by DRI, but were higher under some conditions. This is likely due to the smaller infiltration area of the DRI we used, which possibly missed soil macropores.
- (3)
- The values of viscosity-corrected Kfs from irrigated croplands were higher than those from non-irrigated croplands, but the difference was statistically insignificant (p = 0.357) due to high spatiotemporal variability and small sample sizes. Nevertheless, these results do suggest that the long-term application of wastewater irrigation at the site enhanced Kfs. Measured IR and Kfs values were all much higher than the actual spray irrigation rate under all conditions (4.25 mm∙h−1). From this perspective, the current application of treated wastewater irrigation does not seem to be at high risk of causing overland flow, even under winter conditions with frozen ground.
- (4)
- Values of IR and Kfs were lower during winter than during summer, as soil conditions tend to be cold and wet in the winter and warm and dry in the summer. Infiltration processes during winter should, therefore, receive extra attention when implementing wastewater irrigation systems, such as the one investigated here at Penn State’s living filter.
- (5)
- Values of IR and Kfs showed great spatiotemporal variability and some uncertainty, but they were clearly influenced by antecedent soil moisture and temperature conditions. Surprisingly, snow cover, cold air, and frozen soil did not show particularly significant impacts on winter IR and Kfs in this study. This is probably attributable to warmer soil temperatures associated with the thick layers of effluent that tend to build up on frozen soils after long periods of intense irrigation. This aids in preventing runoff in the living filter system by encouraging locally permeable frozen surfaces. The depth and temporal extent of frozen conditions, as well as the infiltration status and subsurface water fluxes under frozen conditions, require further investigation.
Author Contributions
Funding
Acknowledgments
Conflicts of Interest
References
- Rawls, W.J.; Nemes, A.; Pachepsky, Y. Effect of soil organic carbon on soil hydraulic properties. In Developments in Soil Science; Elsevier: Amsterdam, The Netherlands, 2004; pp. 95–114. [Google Scholar] [CrossRef]
- Tejedor, M.; Neris, J.; Jiménez, C. Soil properties controlling infiltration in volcanic soils (Tenerife, Spain). Soil Sci. Soc. Am. J. 2013, 77, 202. [Google Scholar] [CrossRef]
- Kumar, P. Studying Variability in Observed Soil Infiltration Rates as Influenced by Infiltrometers of Varied Configurations. Master’s Thesis, Anand Agricultural University, Godhra, India, 2015. [Google Scholar]
- Lin, H.S.; Mcinnes, K.J.; Wilding, L.P.; Hallmark, C.T. Macroporosity and initial moisture effects on infiltration rates in vertisols and vertic intergrades. Soil Sci. 1998, 163, 2–8. [Google Scholar] [CrossRef]
- Briggs, L.J. The Mechanics of Soil Moisture, USDA; Division of Soils: Washington, DC, USA, 1897. [Google Scholar]
- Hopmans, J.W.; Dane, J.H. Temperature dependence of soil hydraulic properties. Soil Sci. Soc. Am. J. 1986, 50, 4–9. [Google Scholar] [CrossRef]
- Ruggenthaler, R.; Mei, L.G.; Geitner, C.; Leitinger, G.; Endstrasser, N.; Sch Berl, F. Investigating the impact of initial soil moisture conditions on total infiltration by using an adapted double-ring infiltrometer. Hydrol. Sci. J. 2016, 61, 1217–1263. [Google Scholar] [CrossRef]
- Turner, D.P.; Sumner, M.E. The influence of initial soil moisture content on field measured infiltration rates. Water SA 1978, 4, 18–24. [Google Scholar]
- Wu, G.; Yang, Z.; Cui, Z.; Liu, Y.; Fang, N.; Shi, Z. Mixed artificial grasslands with more roots improved mine soil infiltration capacity. J. Hydrol. 2016, 535, 54–60. [Google Scholar] [CrossRef]
- Thompson, S.E.; Harman, C.J.; Heine, P.; Katul, G.G. Vegetation-infiltration relationships across climatic and soil type gradients. J. Geophys. Res. Biogeosci. 2010, 115. [Google Scholar] [CrossRef]
- Wu, G.; Liu, Y.; Yang, Z.; Cui, Z.; Deng, L.; Chang, X.; Shi, Z. Root channels to indicate the increase in soil matrix water infiltration capacity of arid reclaimed mine soils. J. Hydrol. 2017, 546, 133–139. [Google Scholar] [CrossRef]
- Cerdà, A. Seasonal changes of the infiltration rates in a Mediterranean scrubland on limestone. J. Hydrol. 1997, 198, 209–225. [Google Scholar] [CrossRef]
- Hardie, M.A.; Doyle, R.B.; Cotching, W.E.; Mattern, K.; Lisson, S. Influence of antecedent soil moisture on hydraulic conductivity in a series of texture-contrast soils. Hydrol. Process. 2012, 26, 3079–3091. [Google Scholar] [CrossRef]
- Cerdà, A.; Keesstra, S.; Burguet, M.; Pereira, P.; Lucasborja, M.E.; Martinezmurillo, J.F. Seasonal changes of the infiltration rates in urban parks of Valencia city, eastern Spain. Geophysical Research Abstracts. In Proceedings of the EGU General Assembly Conference, Vienna, Austria, 17–22 April 2016; p. 18110. [Google Scholar]
- Emerson, C.H.; Traver, R.G. Multiyear and seasonal variation of infiltration from storm-water best management practices. J. Irrig. Drain. Eng. 2008, 134, 598–605. [Google Scholar] [CrossRef]
- Fouli, Y.; Cade-Menun, B.J.; Cutforth, H.W. Freeze-thaw cycles and soil water content effects on infiltration rate of three Saskatchewan soils. Can. J. Soil Sci. 2013, 93, 485–496. [Google Scholar] [CrossRef]
- Iwata, Y.; Nemoto, M.; Hasegawa, S.; Yanai, Y.; Kuwao, K.; Hirota, T. Influence of rain, air temperature, and snow cover on subsequent spring-snowmelt infiltration into thin frozen soil layer in northern japan. J. Hydrol. 2011, 401, 165–176. [Google Scholar] [CrossRef]
- Bdour, A.N.; Hamdi, M.R.; Tarawneh, Z. Perspectives on sustainable wastewater treatment technologies and reuse options in the urban areas of the Mediterranean region. Desalination 2009, 237, 162–174. [Google Scholar] [CrossRef]
- Coppola, A.; Santini, A.; Botti, P.; Vacca, S. Urban wastewater effects on water flow and solute transport in soils. J. Environ. Sci. Health Part A 2003, 38, 1469–1478. [Google Scholar] [CrossRef]
- Hati, K.; Biswas, A.; Bandyopadhyay, K.; Misra, A. Soil properties and crop yields on a vertisol in India with application of distillery effluent. Soil Tillage Res. 2007, 92, 60–68. [Google Scholar] [CrossRef]
- Vogeler, I. Effect of long-term wastewater application on physical soil properties. Water Air Soil Pollut. 2009, 196, 385–392. [Google Scholar] [CrossRef]
- Bhardwaj, A.K.; Goldstein, D.; Azenkot, A.; Levy, G.J. Irrigation with treated wastewater under two different irrigation methods: Effects on hydraulic conductivity of a clay soil. Geoderma 2007, 140, 199–206. [Google Scholar] [CrossRef]
- Sparling, G.P.; Williamson, J.C.; Magesan, G.N.; Schipper, L.A.; Lloyd-Jones, A.R. Hydraulic conductivity in soils irrigated with wastewaters of differing strengths: Field and laboratory studies. Soil Res. 1999, 37, 391–402. [Google Scholar] [CrossRef]
- Menneer, J.C.; Mclay, C.D.A.; Lee, R. Effects of sodium-contaminated wastewater on soil permeability of two New Zealand soils. Soil Res. 2001, 39, 877–891. [Google Scholar] [CrossRef]
- Wang, Z.; Chang, A.C.; Wu, L.; Crowley, D. Assessing the soil quality of long-term reclaimed wastewater-irrigated cropland. Geoderma 2003, 114, 261–278. [Google Scholar] [CrossRef]
- Coppola, A.; Santini, A.; Botti, P.; Vacca, S.; Comegna, V.; Severino, G. Methodological approach for evaluating the response of soil hydrological behavior to irrigation with treated municipal wastewater. J. Hydrol. 2004, 292, 114–134. [Google Scholar] [CrossRef]
- Gharaibeh, M.A.; Eltaif, N.I.; Al-Abdullah, B. Impact of field application of treated wastewater on hydraulic properties of vertisols. Water Air Soil Pollut. 2007, 184, 347–353. [Google Scholar] [CrossRef]
- Lado, M.; Benhur, M. Effects of irrigation with different effluents on saturated hydraulic conductivity of arid and semiarid soils. Soil Sci. Soc. Am. J. 2010, 74, 23–32. [Google Scholar] [CrossRef]
- Walker, C.; Lin, H.S. Soil property changes after four decades of wastewater irrigation: A landscape perspective. Catena 2008, 73, 63–74. [Google Scholar] [CrossRef]
- National Research Council (NRC). Water Reuse: Expanding the Nation’s Water Supply Through Reuse of Municipal Wastewater; National Academies: Washington, DC, USA, 2012. [Google Scholar]
- Fox, P.; Houston, S.; Westerhoff, P.; Drewes, J.E.; Nellor, M.; Yanko, W.; Baird, R.; Rincon, M.; Arnold, R.; Lansey, K.; et al. Soil Aquifer Treatment for Sustainable Water Reuse; American Water Works Association Research Foundation: Denver, CO, USA, 2001. [Google Scholar]
- Parizek, R.R. Opportunities to enhance management of karstic aquifers. Environ. Geol. 2007, 51, 731–735. [Google Scholar] [CrossRef]
- Penn State University Office of Physical Plant (PSUOPP). Annual Report of the Penn State’s Living Filter; PSUOPP: University Park, PA, USA, 2011. [Google Scholar]
- Angulo-Jaramillo, R.; Vandervaere, J.; Roulier, S.; Thony, J.; Gaudet, J.; Vauclin, M. Field measurement of soil surface hydraulic properties by disc and ring infiltrometers: A review and recent developments. Soil Till. Res. 2000, 55, 1–29. [Google Scholar] [CrossRef]
- Reynolds, W.D.; Elrick, D.E.; Youngs, E.G.; Amoozegar, A.; Booltink, H.; Bouma, J. Saturated and field-saturated water flow parameters. In Methods of Soil Analysis. Part 4. Physical Methods; Dane, J.H., Topp, G.C., Eds.; SSSA: Madison, WI, USA, 2002; pp. 797–801. [Google Scholar]
- Decagon Devices. Dualhead Infiltrometer Operator’s Manual; Decagon Devices: Pullman, WA, USA, 2015. [Google Scholar]
- Nimmo, J.R.; Schmidt, K.M.; Perkins, K.S.; Stock, J.D. Rapid measurement of field-saturated hydraulic conductivity for areal characterization. Vadose Zone J. 2009, 8, 142. [Google Scholar] [CrossRef]
- Ravi, S.; Wang, L.; Kaseke, K.F.; Buynevich, I.V.; Marais, E. Ecohydrological interactions within “fairy circles” in the Namib Desert: Revisiting the self-organization hypothesis. J. Geophys. Res. Biogeosci. 2017, 122, 405–414. [Google Scholar] [CrossRef]
- Demirtas, I. Effects of Post-Fire Salvage Logging on Compaction, Infiltration, Water Repellency, and Sediment Yield and the Effectiveness of Subsoiling on Skid Trails. Master’s Thesis, Michigan Technological University, Houghton, MI, USA, 2017. [Google Scholar]
- Gonzales, H.B.; Ravi, S.; Li, J.; Sankey, J.B. Ecohydrological implications of aeolian sediment trapping by sparse vegetation in drylands. Ecohydrology 2018, 11, e1986. [Google Scholar] [CrossRef]
- Sopper, W.E.; Richenderfer, J.L. Effects of Spray Irrigation of Municipal Wastewater on the Physical Properties of the Soil, Institute for Research on Land and Water Resources; The Pennsylvania State University: University Park, PA, USA, 1978. [Google Scholar]
- Hopkins, I.; Gall, H.; Lin, H. Natural and anthropogenic controls on the frequency of preferential flow occurrence in a wastewater spray irrigation field. Agric. Water Manag. 2016, 178, 248–257. [Google Scholar] [CrossRef]
- Ferguson, B.K. Environmental planning for wastewater land application: Lessons from Penn State’s living filter. Landsc. Plan. 1983, 10, 205–218. [Google Scholar] [CrossRef]
- Parizek, R.; Nemitz, J.; Moret, G. Flow and Water Quality Monitoring Data for Toftrees Resort and Country Club, Office of the Physical Plant.; The Pennsylvania State University: State College, PA, USA, 2006. [Google Scholar]
- USDA-NRCS. Available online: https://wcc.sc.egov.usda.gov/nwcc/site?sitenum=2036 (accessed on 6 June 2018).
- Shi, S. General Theory of Statistics; Tsinghua University Press: Beijing, China, 2007. (In Chinese) [Google Scholar]
- Reynolds, W.D.; Elrick, D.E. Ponded infiltration from a single ring: I. Analysis of steady flow. Soil Sci. Soc. Am. J. 1990, 54, 1233–1241. [Google Scholar] [CrossRef]
- Hillel, D. Environmental Soil Physics: Fundamentals, Applications, and Environmental Considerations; Academic Press: San Diego, CA, USA, 1998. [Google Scholar]
- Clancy, K.; Alba, V.M. Temperature and time of day influence on double-ring infiltrometer steady-state infiltration rates. Soil Sci. Soc. Am. J. 2011, 75, 241–245. [Google Scholar] [CrossRef]
- Philip, J.R. The theory of infiltration: 1. The infiltration equation and its solution. Soil Sci. 1957, 83, 345–358. [Google Scholar] [CrossRef]
- Brutsaert, W. The concise formulation of diffusive sorption of water in a dry soil. Water Resour. Res. 1976, 12, 1118–1124. [Google Scholar] [CrossRef]
- Youngs, E.G. An estimation of sorptivity for infiltration studies from moisture moment considerations. Soil Sci. 1968, 106, 157–163. [Google Scholar] [CrossRef]
- Lai, J.; Ren, L. Assessing the size dependency of measured hydraulic conductivity using double-ring infiltrometers and numerical simulation. Soil Sci. Soc. Am. J. 2007, 71, 1667. [Google Scholar] [CrossRef]
- Schulze Makuch, D.; Carlson, D.A.; Cherkauer, D.S.; Malik, P. Scale dependency of hydraulic conductivity in heterogeneous media. Groundwater 1999, 37, 904–919. [Google Scholar] [CrossRef]
- Filipovic, V.; Weninger, T.; Filipovic, L.; Schwen, A.; Bristow, K.L.; Zechmeister-Boltenstern, S.; Leitner, S. Inverse estimation of soil hydraulic properties and water repellency following artificially induced drought stress. J. Hydrol. Hydromech. 2018, 66, 170–180. [Google Scholar] [CrossRef]
- Farrick, K.K.; Akweli, Z.; Wuddivira, M.N. Influence of manure, compost additions and temperature on the water repellency of tropical soils. Soil Res. 2018, 56, 685–695. [Google Scholar] [CrossRef]
- Gamie, R.; De Smedt, F. Experimental and statistical study of saturated hydraulic conductivity and relations with other soil properties of a desert soil. Eur. J. Soil Sci. 2018, 69, 256–264. [Google Scholar] [CrossRef]
- Graham, C.; Lin, H.S. Real-Time Soil Temperature and Moisture Monitoring at the Penn State Living Filter—Astronomy Site; Penn State University Office of Physical Plant: University Park, PA, USA, 2010. [Google Scholar]
- Hopkins, I.; Lin, H.S. Continued Real-Time Soil Temperature and Moisture Monitoring at the Penn State Living Filter—Astronomy Site; Penn State University Office of Physical Plant: University Park, PA, USA, 2012. [Google Scholar]
- Duke, H.R. Water temperature fluctuations and effect on irrigation infiltration. Trans. ASAE 1992, 35, 193–199. [Google Scholar] [CrossRef]
- Levy, G.J.; Smith, H.J.C.; Agassi, M. Water temperature effect on hydraulic conductivity and infiltration rate of soils. S. Afr. J. Plant Soil 1989, 6, 240–244. [Google Scholar] [CrossRef]
- Constantz, J.; Herkelrath, W.N.; Murphy, F. Air encapsulation during infiltration. Soil Sci. Soc. Am. J. 1988, 52, 10–16. [Google Scholar] [CrossRef]
- Bond, W.J.; Collisgeorge, N. Ponded infiltration into simple soil systems 1. The saturation and transition zones in the moisture-content profiles. Soil Sci. 1981, 131, 202–209. [Google Scholar] [CrossRef]
- Philip, J.R. The theory of infiltration: 5. The influence of the initial moisture content. Soil Sci. 1957, 84, 329–340. [Google Scholar] [CrossRef]
- Doerr, S.H.; Thomas, A.D. The role of soil moisture in controlling water repellency: New evidence from forest soils in Portugal. J. Hydrol. 2000, 231–232, 134–147. [Google Scholar] [CrossRef]
- Wang, Z.; Wu, L.; Wu, Q.J.; Ritsema, C.J.; Dekker, L.W.; Feyen, J. Effects of soil water repellency on infiltration rate and flow instability. J. Hydrol. 2000, 231–232, 265–276. [Google Scholar] [CrossRef]
- Vandervaere, J.P.; Peugeot, C.; Vauclin, M.; Angulo Jaramillo, R.; Lebel, T. Estimating hydraulic conductivity of crusted soils using disc infiltrometers and minitensiometers. J. Hydrol. 1997, 188, 203–223. [Google Scholar] [CrossRef]
- Hopkins, I. Soil Hydrology at the Living Filter: Analysis of Preferential Flow and Moisture-Temperature Dynamics under Wastewater Irrigation. Master’s Thesis, The Pennsylvania State University, State College, PA, USA, 2016. [Google Scholar]
- Walker, C.W. Enhanced Techniques for Determining Changes to Soils Receiving Wastewater Irrigation for over Forty Years. Ph.D. Thesis, The Pennsylvania State University, State College, PA, USA, 2006. [Google Scholar]
- Larson, Z.M. Long-Term Treated Wastewater Irrigation Effects on Hydraulic Conductivity and Soil Quality at Penn State’s Living Filter; The Pennsylvania State University: State College, PA, USA, 2010. [Google Scholar]
- Liu, M.; Wu, D.; Wu, S.; Liao, L. Characteristic of soil macropores under various types of forest coverage and their influence on saturated hydraulic conductivity in the Three Gorges Reservoir Area. Acta Ecol. Sin. 2016, 36, 3189–3196. [Google Scholar] [CrossRef]
- Cameira, M.R.; Fernando, R.M.; Pereira, L.S. Soil macropore dynamics affected by tillage and irrigation for a silty loam alluvial soil in southern Portugal. Soil Tillage Res. 2003, 70, 131–140. [Google Scholar] [CrossRef]
- Bronick, C.J.; Lal, R. Soil structure and management: A review. Geoderma 2005, 124, 3–22. [Google Scholar] [CrossRef]
- Oades, J.M. Soil organic matter and structural stability: Mechanisms and implications for management. Plant. Soil 1984, 76, 319–337. [Google Scholar] [CrossRef]
- Frey, S.D.; Elliott, E.T.; Paustian, K. Bacterial and fungal abundance and biomass in conventional and no-tillage agroecosystems along two climatic gradients. Soil Biol. Biochem. 1999, 31, 573–585. [Google Scholar] [CrossRef]









| Parameter (Unit) | Values |
|---|---|
| Total alkalinity (mg∙L−1 as CaCO3) | 179 |
| Biological oxygen demand (mg∙L−1) | 8 |
| Specific conductance (μmhos∙cm−1) | 1109 |
| Total hardness (mg∙L−1 as CaCO3) | 245 |
| pH | 7 |
| Total suspended solids (mg∙L−1) | 5 |
| Nitrate (mg∙L−1 as N) | 12 |
| Parameters and Statistics | Default (Original) Setting | Optimized (Modified) Setting | |
|---|---|---|---|
| Parameters | Soak time (min) | 15 | 15 |
| Low pressure head (cm) | 5 | 5 | |
| High pressure head (cm) | 10 | 15 | |
| Hold time at each pressure head (min) | 15 | 35 | |
| Pressure cycles | 2 | 1 | |
| Total run time (min) | 75 | 85 | |
| Statistics | CV_PH (%) | 4.0 ± 3.2 a | 0.9 ± 1.1 b |
| CV_PL (%) | 1.1 ± 0.4 a | 1.2 ± 0.8 a | |
| CV_IH (%) | 7.1 ± 4.5 a | 3.0 ± 1.5 b | |
| CV_IL (%) | 6.0 ± 3.9 a | 4.5 ± 3.8 a | |
| |Slp_H| (mm∙h−2) | 75.5 ± 42.3 a | 50.9 ± 61.9 a | |
| |Slp_L| (mm∙h−2) | 29.2 ± 33.7 a | 17.6 ± 18.4 a | |
| Number of test datasets used (see Figure 4) | 8 | 8 | |
| Number | Measurement Date | Site # | Effective Repetition | Ta | Ts | VWC | IR_H | IR_LL | Kfs |
|---|---|---|---|---|---|---|---|---|---|
| °C | °C | m3∙m−3 | mm∙h−1 | mm∙h−1 | mm∙h−1 | ||||
| 1 | 13 January 2017 | K2 | 1 | 4.7 | −0.6 | 0.33 | 103.7 | 61.3 | 41.8 |
| 2 | 27 January 2017 | K2 | 1 | 1.6 | 1.5 | 0.32 | 67.3 | 32.2 | 32.4 |
| 3 | 27 January 2017 | K2 | 2 | 1.6 | 1.5 | 0.32 | 103.6 | 44.4 | 51.1 |
| 4 | 3 February 2017 | K2 | 1 | −2.6 | 0.0 | 0.30 | 213.4 | 96.7 | 117.4 |
| 5 | 3 February 2017 | K2 | 2 | −2.6 | 0.0 | 0.30 | 215.3 | 137.0 | 73.1 |
| 6 | 10 February 2017 | K2 | 1 | −1.5 | 0.7 | 0.31 | 56.7 | 38.4 | 26.1 |
| 7 | 26 February 2017 | K2 | 1 | 0.9 | 3.0 | 0.33 | 83.6 | 70.0 | 13.8 |
| 8 | 26 February 2017 | K2 | 2 | 0.9 | 3.0 | 0.33 | 287.2 | 120.3 | 140.4 |
| 9 | 17 March 2017 | K2 | 1 | 8.6 | 0.3 | 0.32 | 230.2 | 152.1 | 64.8 |
| 10 | 13 January 2017 | K1 | 1 | 3.7 | 0.6 | 0.21 | 19.1 | 37.3 | 16.1 |
| 11 | 13 January 2017 | K1 | 2 | 3.7 | 0.6 | 0.21 | 64.8 | 119.2 | 35.6 |
| 12 | 3 February 2017 | K1 | 1 | −0.1 | −0.3 | 0.20 | 133.2 | 298.3 | 142.3 |
| 13 | 3 March 2017 | K1 | 2 | 3.4 | 3.9 | 0.22 | 34.7 | 91.6 | 46.5 |
| 14 | 17 March 2017 | K1 | 1 | 8.2 | 0.2 | 0.20 | 38.5 | 72.6 | 28.4 |
| 15 | 7 June 2017 | K2 | 1 | 14.7 | 17.3 | 0.27 | 49.3 | 94.8 | 50.8 |
| 16 | 7 June 2017 | K2 | 2 | 14.7 | 17.3 | 0.27 | 78.8 | 168.8 | 90.8 |
| 17 | 7 June 2017 | K2 | 3 | 14.1 | 17.3 | 0.27 | 38.5 | 80.6 | 42.7 |
| 18 | 26 June 2017 | K2 | 1 | 18.8 | 19.1 | 0.31 | 30.2 | 113.0 | 79.9 |
| 19 | 26 June 2017 | K2 | 2 | 20.4 | 20.8 | 0.31 | 90.0 | 191.9 | 73.8 |
| 20 | 29 June 2017 | K2 | 1 | 22.6 | 20.4 | 0.30 | 65.5 | 139.2 | 70.5 |
| 21 | 29 June 2017 | K2 | 2 | 19.8 | 18.7 | 0.30 | 193.0 | 460.8 | 245.2 |
| 22 | 7 June 2017 | K3 | 1 | 15.1 | 17.2 | 0.27 | 116.6 | 274.5 | 148.4 |
| 23 | 29 June 2017 | K3 | 1 | 24.4 | 22.5 | 0.30 | 40.0 | 107.5 | 65.4 |
| 24 | 7 June 2017 | K1 | 1 | 14.3 | 17.2 | 0.33 | 137.5 | 235.9 | 83.4 |
| 25 | 12 June 2017 | K1 | 1 | 26.7 | 24.8 | 0.26 | 33.2 | 66.5 | 31.6 |
| 26 | 21 June 2017 | K1 | 1 | 20.8 | 19.8 | 0.31 | 20.4 | 37.2 | 16.3 |
| 27 | 21 June 2017 | K1 | 2 | 20.8 | 19.8 | 0.31 | 173.5 | 284.4 | 98.8 |
| 28 | 26 June 2017 | K1 | 1 | 17.6 | 18.3 | 0.31 | 35.4 | 70.9 | 32.9 |
| 29 | 26 June 2017 | K1 | 2 | 18.8 | 19.1 | 0.31 | 58.0 | 80.8 | 23.5 |
| 30 | 29 June 2017 | K1 | 1 | 19.8 | 18.7 | 0.29 | 18.8 | 24.0 | 7.1 |
| 31 | 29 June 2017 | K1 | 2 | 19.1 | 18.3 | 0.29 | 29.7 | 57.5 | 26.5 |
| 32 | 3 June 2016 | K2 | 1 | 7.1 | 22.9 | 0.18 | 311.4 | 680.1 | 304.9 |
| 33 | 3 June 2016 | K2 | 2 | 6.0 | 22.2 | 0.18 | 284.0 | 643.0 | 325.0 |
| 34 | 12 June 2017 | K2 | 1 | 26.7 | 26.2 | 0.18 | 13.2 | 45.0 | 40.6 |
| 35 | 12 June 2017 | K2 | 2 | 26.7 | 26.2 | 0.18 | 45.4 | 86.6 | 48.7 |
| 36 | 12 June 2017 | K3 | 1 | 26.7 | 26.0 | 0.18 | 72.0 | 184.3 | 116.1 |
| 37 | 3 June 2016 | K1 | 1 | 7.1 | 22.9 | 0.23 | 284.0 | 643.0 | 325.0 |
| 38 | 3 June 2016 | K1 | 2 | 4.6 | 20.5 | 0.23 | 367.2 | 730.5 | 284.4 |
| Conditions | Number of Times | Ta | Ts | VWC | IR_H | IR_L | Kfs_OB | Kfs_STP |
|---|---|---|---|---|---|---|---|---|
| °C | °C | m3∙m−3 | mm∙h−1 | mm∙h−1 | mm∙h−1 | mm∙h−1 | ||
| Winter, dry soil | 6 | 4.7 ± 4.9 a | 1.5 ± 1.9 ad | 0.21 ± 0.02 a | 133.6 ± 94.3 a | 56.4 ± 45.8 a | 70.7 ± 46.3 a | 88.3 ± 60.3 a |
| Winter, wet soil | 9 | 2.7 ± 3.3 a | 2.1 ± 1.3 a | 0.31 ± 0.01 b | 151.2 ± 85 a | 83.6 ± 44.7 a | 62.2 ± 45.0 a | 88.0 ± 57.6 a |
| Summer, dry soil | 7 | 17.1 ± 10.5 b | 23.8 ± 2.3 b | 0.19 ± 0.03 a | 423.0 ± 286.2 b | 207.1 ± 122.1 b | 184.8 ± 141.0 b | 206.8 ± 147.7 b |
| Summer, wet soil | 17 | 18.9 ± 2.7 b | 19.2 ± 1.5 c | 0.30 ± 0.01 b | 160.3 ± 119.4 a | 74.7 ± 61.3 a | 77.5 ± 57.4 a | 90.1 ± 63.9 a |
| With snow | 6 | 1.7 ± 5.3 a | 0.2 ± 0.4 d | 0.27 ± 0.06c | 181.1 ± 95.5 ab | 99.2 ± 54.4 ab | 75.1 ± 45.2 a | 111.8 ± 62.8 a |
| Ta < 0 °C | 4 | −1.7 ± 1.2 a | 0.1 ± 0.4 a | 0.28 ± 0.05 b | 193.3 ± 87.6 ab | 96.7 ± 44.3 ab | 88.5 ± 47.3 a | 123.3 ± 63.3 ab |
| Ts < 0 °C | 4 | −0.1 ± 3.4 a | −0.2 ± 0.3 d | 0.28 ± 0.06 b | 207.7 ± 79.8 ab | 109.4 ± 37.9 ab | 88.5 ± 47.4 a | 135.6 ± 60.9 ab |
© 2019 by the authors. Licensee MDPI, Basel, Switzerland. This article is an open access article distributed under the terms and conditions of the Creative Commons Attribution (CC BY) license (http://creativecommons.org/licenses/by/4.0/).
Share and Cite
Zhang, S.-Y.; Hopkins, I.; Guo, L.; Lin, H. Dynamics of Infiltration Rate and Field-Saturated Soil Hydraulic Conductivity in a Wastewater-Irrigated Cropland. Water 2019, 11, 1632. https://doi.org/10.3390/w11081632
Zhang S-Y, Hopkins I, Guo L, Lin H. Dynamics of Infiltration Rate and Field-Saturated Soil Hydraulic Conductivity in a Wastewater-Irrigated Cropland. Water. 2019; 11(8):1632. https://doi.org/10.3390/w11081632
Chicago/Turabian StyleZhang, Si-Yi, Isaac Hopkins, Li Guo, and Henry Lin. 2019. "Dynamics of Infiltration Rate and Field-Saturated Soil Hydraulic Conductivity in a Wastewater-Irrigated Cropland" Water 11, no. 8: 1632. https://doi.org/10.3390/w11081632
APA StyleZhang, S.-Y., Hopkins, I., Guo, L., & Lin, H. (2019). Dynamics of Infiltration Rate and Field-Saturated Soil Hydraulic Conductivity in a Wastewater-Irrigated Cropland. Water, 11(8), 1632. https://doi.org/10.3390/w11081632

