Precipitation Estimation Methods in Continuous, Distributed Urban Hydrologic Modeling
Abstract
1. Introduction
2. Materials and Methods
2.1. Study Area
2.2. QPE Datasets
2.3. QPE Processing
- mean field bias
- precipitation depth at gauge i measured by the rain gauge (mm)
- precipitation depth at gauge i measured by uncorrected radar (mm)
- number of gauges
- corrected radar rainfall depth field at time t (mm)
- uncorrected radar rainfall depth field at time t (mm)
- MFB ratio at time t
2.4. Research Distributed Hydrologic Model
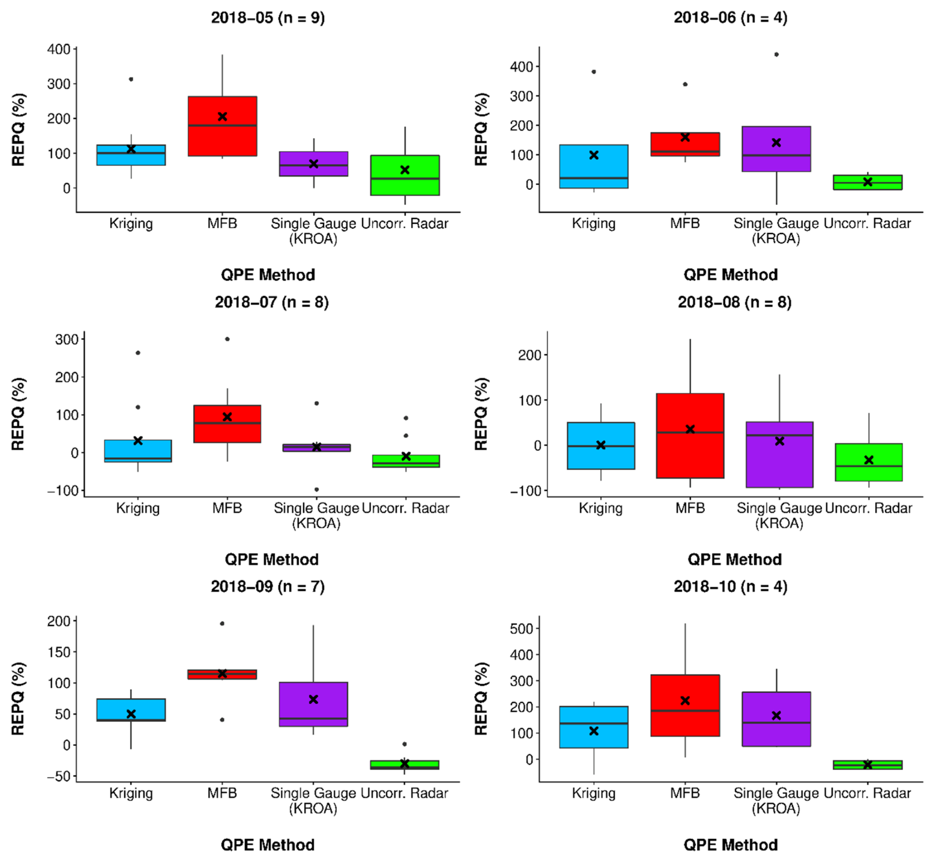
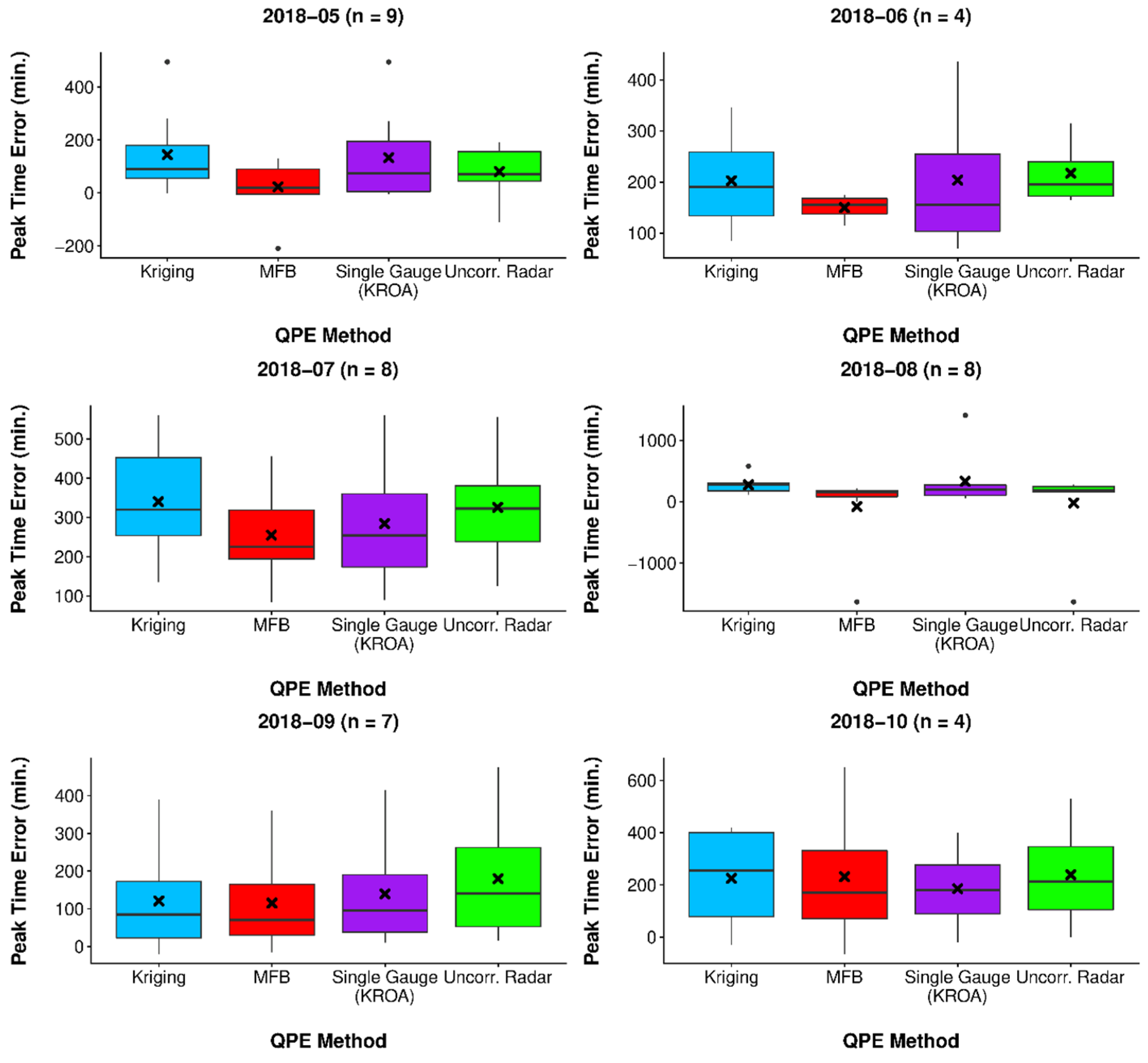
3. Results
3.1. QPE Products
3.2. Model Results
4. Discussion
5. Conclusions
Author Contributions
Funding
Conflicts of Interest
Appendix A
| Full ID | Abbreviated ID |
|---|---|
| 371840079534900 | 4900 |
| 205551460 | 1460 |
| 371339079554400 | 4400 |
| 371459079560300 | 0300 |
| 371518079591700 | 1700 |
| 371520080015100 | 5100 |
| 371657080002800 | 2800 |
| 371709079580800 | 0800 |
| 371824080002600 | 2600 |
| KROA | KROA |
| Gauge ID | # of Missing 5-min Periods | Total Missing Time (hours) | Missing Observations as % of Total Observations |
|---|---|---|---|
| 0205551460 | 565 | 47.08 | 1.07% |
| 371339079554400 | 558 | 46.50 | 1.05% |
| 371459079560300 | 161 | 13.42 | 0.30% |
| 371518079591700 | 570 | 47.50 | 1.08% |
| 371520080015100 | 560 | 46.67 | 1.06% |
| 371657080002800 | 562 | 46.83 | 1.06% |
| 371709079580800 | 559 | 46.58 | 1.05% |
| 371824080002600 | 558 | 46.50 | 1.05% |
| 371840079534900 | 559 | 46.58 | 1.05% |
References
- Fonstad, M.A.; Dietrich, J.T.; Courville, B.C.; Jensen, J.L.; Carbonneau, P.E. Topographic structure from motion: A new development in photogrammetric measurement. Earth Surf. Process. Landf. 2013, 38, 421–430. [Google Scholar] [CrossRef]
- Mayer, H. Automatic Object Extraction from Aerial Imagery—A Survey Focusing on Buildings. Comput. Vis. Image Underst. 1999, 74, 138–149. [Google Scholar] [CrossRef]
- Tokarczyk, P.; Leitao, J.P.; Rieckermann, J.; Schindler, K.; Blumensaat, F. High-quality observation of surface imperviousness for urban runoff modelling using UAV imagery. Hydrol. Earth Syst. Sci. 2015, 19, 4215–4228. [Google Scholar] [CrossRef]
- Gironás, J.; Niemann, J.D.; Roesner, L.A.; Rodriguez, F.; Andrieu, H. Evaluation of methods for representing urban terrain in stormwater modeling. J. Hydrol. Eng. 2010, 15, 1–14. [Google Scholar] [CrossRef]
- Smith, B.K.; Smith, J.A.; Baeck, M.L.; Villarini, G.; Wright, D.B. Spectrum of storm event hydrologic response in urban watersheds. Water Resour. Res. 2013, 49, 2649–2663. [Google Scholar] [CrossRef]
- Cristiano, E.; ten Veldhius, M.-C.; van de Giesen, N. Spatial and temporal variability of rainfall and their effects on hydrological response in urban areas—A review. Hydrol. Earth Syst. Sci. 2017, 21, 3859–3878. [Google Scholar] [CrossRef]
- Wang, L.P.; Ochoa-Rodríguez, S.; Van Assel, J.; Pina, R.D.; Pessemier, M.; Kroll, S.; Willems, P.; Onof, C. Enhancement of radar rainfall estimates for urban hydrology through optical flow temporal interpolation and Bayesian gauge-based adjustment. J. Hydrol. 2015, 531, 408–426. [Google Scholar] [CrossRef]
- Daniels, E.E.; Lenderink, G.; Hutjes, R.W.A.; Holtslag, A.A.M. Observed urban effects on precipitation along the Dutch West coast. Int. J. Climatol. 2016, 36, 2111–2119. [Google Scholar] [CrossRef]
- Freitag, B.M.; Nair, U.S.; Niyogi, D. Urban Modification of Convection and Rainfall in Complex Terrain. Geophys. Res. Lett. 2018, 45, 2507–2515. [Google Scholar] [CrossRef]
- National Academies of Sciences, Engineering, and Medicine. Framing the Challenge of Urban Flooding in the United States; National Academies Press: Washington, DC, USA, 2019. [Google Scholar]
- Yoon, S.S.; Lee, B. Effects of using high-density rain gauge networks and weather radar data on urban hydrological analyses. Water 2017, 9, 931. [Google Scholar] [CrossRef]
- Krajewski, W.F.; Ciach, G.J.; Habib, E. An analysis of small-scale rainfall variability in different climatic regimes. Hydrol. Sci. J. 2003, 48, 151–162. [Google Scholar] [CrossRef]
- Ogden, F.L.; Sharif, H.O.; Senarath, S.U.S.; Smith, J.A.; Baeck, M.L.; Richardson, J.R. Hydrologic analysis of the Fort Collins, Colorado, flash flood of 1997. J. Hydrol. 2000, 228, 82–100. [Google Scholar] [CrossRef]
- James, W.P.; Robinson, C.G.; Bell, J.F. Radar-Assisted Real-Time Flood Forecasting. J. Water Resour. Plan. Manag. 1993, 119, 32–44. [Google Scholar] [CrossRef]
- Pessoa, M.L.; Bras, R.L.; Williams, E.R. Use of Weather Radar for Flood Forecasting in the Sieve River Basin: A Sensitivity Analysis. J. Appl. Meteorol. 1993, 32, 462–475. [Google Scholar] [CrossRef]
- Sun, X.; Mein, R.G.; Keenan, T.D.; Elliott, J.F. Flood estimation using radar and raingauge data. J. Hydrol. 2000, 239, 4–18. [Google Scholar] [CrossRef]
- Kim, B.S.; Kim, B.K.; Kim, H.S. Flood simulation using the gauge-adjusted radar rainfall and physics-based distributed hydrologic model. Hydrol. Process. 2008, 22, 4400–4414. [Google Scholar]
- Looper, J.P.; Vieux, B.E. An assessment of distributed flash flood forecasting accuracy using radar and rain gauge input for a physics-based distributed hydrologic model. J. Hydrol. 2012, 412, 114–132. [Google Scholar] [CrossRef]
- Seo, B.-C.; Krajewski, W.F.; Quintero, F.; ElSaadani, M.; Goska, R.; Cunha, L.K.; Dolan, B.; Wolff, D.B.; Smith, J.A.; Rutledge, S.A.; et al. Comprehensive Evaluation of the IFloodS Radar Rainfall Products for Hydrologic Applications. J. Hydrometeorol. 2018, 19, 1793–1813. [Google Scholar] [CrossRef]
- Thorndahl, S.; Einfalt, T.; Willems, P.; Ellerbæk Nielsen, J.; Ten Veldhuis, M.C.; Arnbjerg-Nielsen, K.; Rasmussen, M.R.; Molnar, P. Weather radar rainfall data in urban hydrology. Hydrol. Earth Syst. Sci. 2017, 21, 1359–1380. [Google Scholar] [CrossRef]
- Ochoa-Rodriguez, S.; Wang, L.P.; Gires, A.; Pina, R.D.; Reinoso-Rondinel, R.; Bruni, G.; Ichiba, A.; Gaitan, S.; Cristiano, E.; Van Assel, J.; et al. Impact of spatial and temporal resolution of rainfall inputs on urban hydrodynamic modelling outputs: A multi-catchment investigation. J. Hydrol. 2015, 531, 389–407. [Google Scholar] [CrossRef]
- Berne, A.; Delrieu, G.; Creutin, J.D.; Obled, C. Temporal and spatial resolution of rainfall measurements required for urban hydrology. J. Hydrol. 2004, 299, 166–179. [Google Scholar] [CrossRef]
- Schilling, W. Rainfall data for urban hydrology: What do we need? Atmos. Res. 1991, 27, 5–21. [Google Scholar] [CrossRef]
- Wang, L.P.; Ochoa-Rodriguez, S.; Onof, C.; Willems, P. Singularity-sensitive gauge-based radar rainfall adjustment methods for urban hydrological applications. Hydrol. Earth Syst. Sci. 2015, 12, 1855–1900. [Google Scholar] [CrossRef]
- Wang, L.P.; Ochoa-Rodríguez, S.; Simões, N.E.; Onof, C.; Maksimović, Č. Radar-raingauge data combination techniques: A revision and analysis of their suitability for urban hydrology. Water Sci. Technol. 2013, 68, 737–747. [Google Scholar] [CrossRef] [PubMed]
- Hydrology Laboratory-Research Distributed Hydrologic Model (HL-RDHM) User Manual V. 3.0.0. Available online: https://www.cbrfc.noaa.gov/present/rdhm/RDHM_3_0_0_User_Manual.pdf (accessed on 27 June 2019).
- Dymond, R.L.; Aguilar, M.F.; Bender, P.; Hodges, C.C. Lick Run Watershed Master Plan; Virginia Tech: Blacksburg, VA, USA, 2017. [Google Scholar]
- Chen, D.; Ou, T.; Gong, L.; Xu, C.Y.; Li, W.; Ho, C.H.; Qian, W. Spatial interpolation of daily precipitation in China: 1951-2005. Adv. Atmos. Sci. 2010, 27, 1221–1232. [Google Scholar] [CrossRef]
- Shope, C.L.; Maharjan, G.R. Modeling spatiotemporal precipitation: Effects of density, interpolation, and land use distribution. Adv. Meteorol. 2015, 2015, 1–16. [Google Scholar] [CrossRef]
- Geographic Resources Analysis Support System (GRASS) Software; GRASS Development Team: Bonn, Germany, 2018.
- R: A Language and Environment for Statistical Computing; R Core Team: Vienna, Austria, 2018.
- Fulton, R. WSR-88D Polar-to-HRAP Mapping; Hydrologic Research Laboratory Office of Hydrology National Weather Service: Silver Spring, MD, USA, 1998.
- National Weather Service. The XMRG File Format and Sample Codes to Read XMRG Files. Available online: https://www.nws.noaa.gov/ohd/hrl/dmip/2/xmrgformat.html (accessed on 15 April 2019).
- Hiemstra, P.H.; Pebesma, E.J.; Twenhöfel, C.J.W.; Heuvelink, G.B.M. Real-time automatic interpolation of ambient gamma dose rates from the Dutch radioactivity monitoring network. Comput. Geosci. 2009, 35, 1711–1721. [Google Scholar] [CrossRef]
- Zhang, Z.; Koren, V.; Reed, S.; Smith, M.; Zhang, Y.; Moreda, F.; Cosgrove, B. SAC-SMA a priori parameter differences and their impact on distributed hydrologic model simulations. J. Hydrol. 2012, 420, 216–227. [Google Scholar] [CrossRef]
- Xia, Y.; Mitchell, K.; Ek, M.; Sheffield, J.; Cosgrove, B.; Wood, E.; Luo, L.; Alonge, C.; Wei, H.; Meng, J.; et al. Continental-scale water and energy flux analysis and validation for the North American Land Data Assimilation System project phase 2 (NLDAS-2): 1. Intercomparison and application of model products. J. Geophys. Res. Atmos. 2012, 117. [Google Scholar] [CrossRef]
- Krajewski, W.F.; Smith, J.A. Radar hydrology: Rainfall estimation. Adv. Water Resour. 2002, 25, 1387–1394. [Google Scholar] [CrossRef]
- Zhang, J.; Howard, K.; Langston, C.; Kaney, B.; Qi, Y.; Tang, L.; Grams, H.; Wang, Y.; Cockcks, S.; Martinaitis, S.; et al. Multi-Radar Multi-Sensor (MRMS) quantitative precipitation estimation: Initial operating capabilities. Bull. Am. Meteorol. Soc. 2016, 97, 621–638. [Google Scholar] [CrossRef]
















| Metric | QPE | ||||
|---|---|---|---|---|---|
| MFB | Kriging | Single Gauge | Uncorr. Radar | ||
| Hourly RMSE (cms) | Mean | 2.69 | 1.54 | 1.71 | 1.10 |
| Median | 0.94 | 0.95 | 0.94 | 0.70 | |
| Minimum | 0.3 | 0.3 | 0.3 | 0.30 | |
| Maximum | 368 | 26.3 | 22.5 | 12.6 | |
| REPQ (%) | Mean | 131 | 61.2 | 64.1 | −3.4 |
| Median | 110 | 45.5 | 40.9 | −21.4 | |
| Minimum | −92.7 | −78.3 | −97.6 | −93.2 | |
| Maximum | 519 | 382 | 441 | 176 | |
| PTE (hours) | Mean | 1.65 | 3.66 | 3.61 | 2.61 |
| Median | 2.08 | 3.08 | 2.75 | 3 | |
| Minimum | −27.3 | −0.5 | −0.33 | −27.3 | |
| Maximum | 10.8 | 9.67 | 23.5 | 9.25 | |
© 2019 by the authors. Licensee MDPI, Basel, Switzerland. This article is an open access article distributed under the terms and conditions of the Creative Commons Attribution (CC BY) license (http://creativecommons.org/licenses/by/4.0/).
Share and Cite
Woodson, D.; Adams, T.E., III; Dymond, R. Precipitation Estimation Methods in Continuous, Distributed Urban Hydrologic Modeling. Water 2019, 11, 1340. https://doi.org/10.3390/w11071340
Woodson D, Adams TE III, Dymond R. Precipitation Estimation Methods in Continuous, Distributed Urban Hydrologic Modeling. Water. 2019; 11(7):1340. https://doi.org/10.3390/w11071340
Chicago/Turabian StyleWoodson, David, Thomas E. Adams, III, and Randel Dymond. 2019. "Precipitation Estimation Methods in Continuous, Distributed Urban Hydrologic Modeling" Water 11, no. 7: 1340. https://doi.org/10.3390/w11071340
APA StyleWoodson, D., Adams, T. E., III, & Dymond, R. (2019). Precipitation Estimation Methods in Continuous, Distributed Urban Hydrologic Modeling. Water, 11(7), 1340. https://doi.org/10.3390/w11071340
