Monitoring Nonrevenue Water Performance in Intermittent Supply
Abstract
1. Introduction
2. Research Methodology
2.1. Overview of Sana’a Water Supply
2.2. Analysis of NRW and SIV Trends
2.3. NRW Component Assessment
2.4. NRW Performance Indicators
2.5. Normalising the NRW PIs Using w.s.p. Adjustment
Sensitivity Analysis of the Average Supply Time (Tavg)
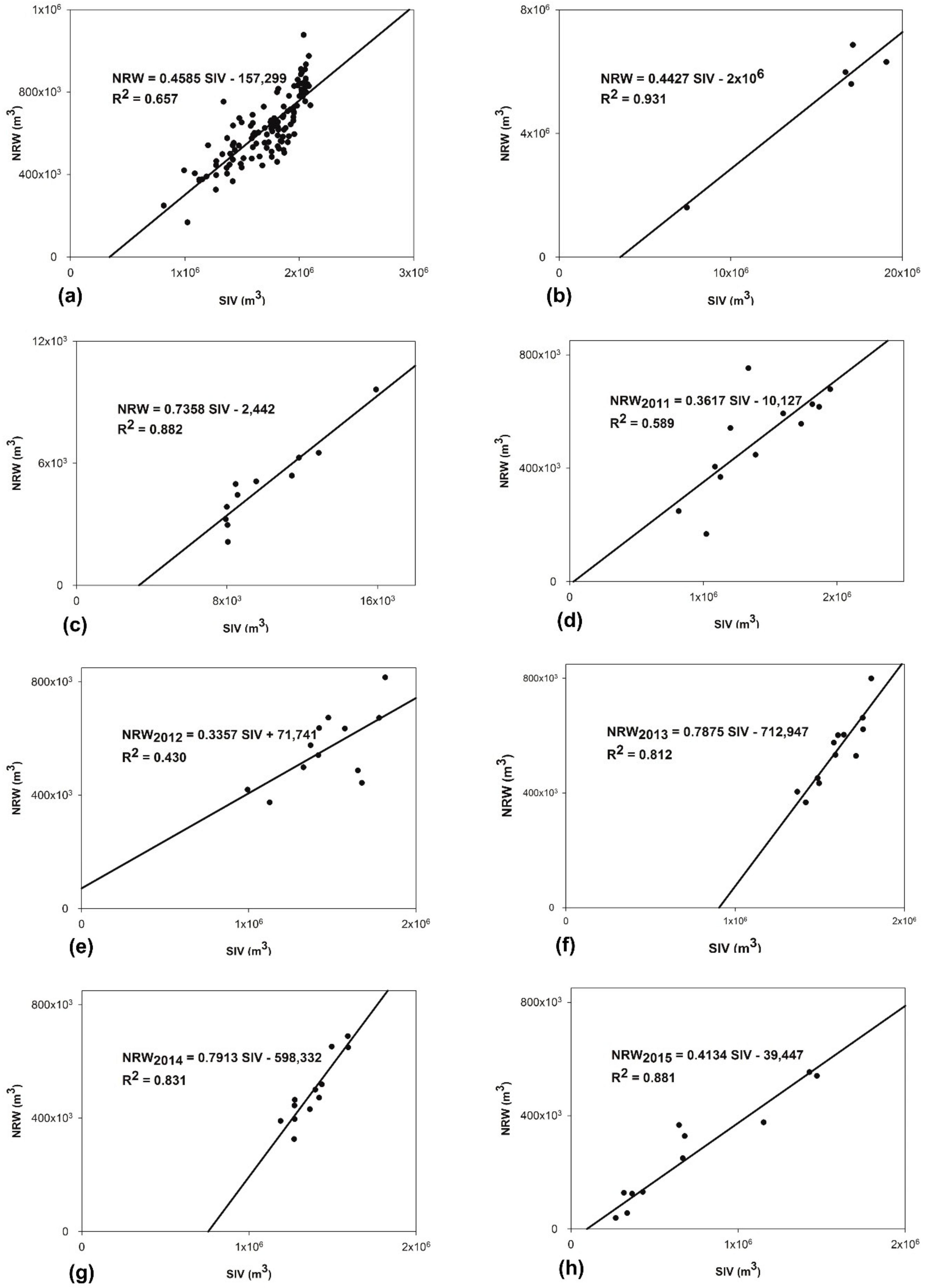
2.6. Normalising the NRW Using Regression Analysis
Extracting the Actual NRW Trend
3. Results and Discussion
3.1. Fluctuations in the NRW Volume
3.2. NRW Components
3.3. NRW PIs
3.4. Normalised NRW Using w.s.p. Adjustment
Is the NRW Status Progressing or Regressing?
3.5. Normalised NRW Using Regression Analysis
Extracted NRW Status Trend
4. Conclusions
- The volume and PIs of NRW all vary in direct proportion to the SIV. This is critical for monitoring the level and PIs of NRW for water systems with fluctuating SIV and utilities that are shifting from intermittent to continuous supplies. An increase in the NRW level does not necessarily indicate worse performance, as it could be due to an increase in the amount of supplied water. Additionally, a decrease in the NRW level does not necessarily mean better performance, as it could be due to a decrease in the supplied water. Therefore, normalisation is necessary to properly monitor and benchmark NRW PIs for intermittent supplies.
- The ’when-system-is-pressurised’ adjustment, which is often used for normalising RL indicators, could be extended to normalise the volumes of NRW, AL, RL and their PIs. However, this principle leads to an overestimation of the AL, which are still difficult to monitor. This is because, when the demand is fully met, any increase in the system input volume contributes to RL, while the AL remain the same. Another limitation of this approach is the sensitivity of the average supply time (Tavg), as its uncertainties significantly undermine the accuracy of the normalised NRW PIs, including those of the RL. In addition, this approach is likely biased towards water systems with an increasing water supply and vice versa. For water systems with a Tavg of less than 8 h/day, the results of this approach become more uncertain. Finally, it is not certain whether this approach indicates the actual extent of NRW progression or regression.
- For monitoring the NRW status of an individual water supply system, the NRW volume and PIs can be normalised through regression analysis. This approach reflects the actual behaviour of the NRW status and provides more rational progression and regression extents. However, this approach can only be used for monitoring the NRW for individual systems, and not for a comparison of different systems.
- Comparing and benchmarking a water supply system to other systems with reasonable accuracy does not appear to be possible. More analysis is required to allow proper benchmarking using ’when-system-is-pressurised’ adjustment, particularly for extending it to AL benchmarking. Until then, for more rational benchmarking through this adjustment, a correction factor curve for Tavg should be developed to enhance the monitoring of the NRW progression and reflect the situation of NRW for a given system among other systems with different supply patterns.
- Once an NRW monitoring tool is available, NRW management should start by network partitioning into DMAs, pressure management, active leakage detection surveys, active customer meter replacement policy and the detection of unauthorised uses. Moving towards a smart network is effective in NRW management, using smart metering, smart data acquisition and on-time acting and control.
Author Contributions
Funding
Acknowledgments
Conflicts of Interest
Nomenclature
| (24/7) | Continuous supply |
| θ | 95% confidence limits |
| ∆A | Uncertainty of variable A |
| AL | Apparent loss |
| ALI | Apparent loss index |
| BC | Billed consumption |
| CAAL | Current annual apparent losses |
| CARL | Current annual real losses |
| DMA | District metered area |
| ILI | Infrastructure leakage index |
| Lm | Length of mains |
| Lp | Length in m of underground connection private pipes |
| MCM | Million cubic metre |
| Nc | Number of service connections |
| NRW | Nonrevenue water |
| Pave | Average operating pressure in metres |
| PIs | Performance indicators |
| RAAL | Reference annual apparent losses |
| RA | Regression analysis |
| RL | Real losses |
| SD | Standard deviation |
| SD2 | Variance |
| SIV | System input volume |
| Tavg | Average supply time |
| UAC | Unbilled authorised consumption |
| UARL | Unavoidable annual real losses |
| UC | Unauthorised consumption |
| WL | Water loss |
| w.s.p. | When system is pressurised |
References
- Lambert, A.O.; Hirner, W.H. Losses from Water Supply Systems: Standard Terminology and Recommended Performance Measures; IWA the Blue Pages, International Water Association: London, UK, 2000; pp. 1–13. [Google Scholar]
- Liemberger, R.; Wyatt, A. Quantifying the global non-revenue water problem. Water Sci. Tech.: Water Supply 2018, 19, 831–837. [Google Scholar] [CrossRef]
- Pillot, J.; Catel, L.; Renaud, E.; Augeard, B.; Roux, P. Up to what point is loss reduction environmentally friendly? The LCA of loss reduction scenarios in drinking water networks. Water Res. 2016, 104, 231–241. [Google Scholar] [CrossRef] [PubMed]
- Erickson, J.J.; Smith, C.D.; Goodridge, A.; Nelson, K.L. Water quality effects of intermittent water supply in Arraiján, Panama. Water Res. 2017, 114, 338–350. [Google Scholar] [CrossRef] [PubMed]
- Puust, R.; Kapelan, Z.; Savic, D.; Koppel, T. A review of methods for leakage management in pipe networks. Urban Water J. 2010, 7, 25–45. [Google Scholar] [CrossRef]
- AL-Washali, T.M.; Sharma, S.K.; Kennedy, M.D.; AL-Nozaily, F.; Mansour, H. Modelling the Leakage Rate and Reduction Using Minimum Night Flow Analysis in an Intermittent Supply System. Water 2019, 11, 48. [Google Scholar] [CrossRef]
- Park, H.J. A Study to Develop Strategies for Proactive Water-Loss Management. Ph.D. Thesis, Georgia Institute of Technology, Atlanta, GA, USA, June 2007. [Google Scholar]
- Wallace, L.P. Water and Revenue Losses: Unaccounted-for Water; American Water Works Association: Denver, CO, USA, 1987. [Google Scholar]
- Male, J.W.; Noss, R.R.; Moore, I.C. Identifying and Reducing Losses in Water Distribution Systems; Noyes Publications: New Jersey, NJ, USA, 1985. [Google Scholar]
- McIntosh, A.C. Asian Water Supplies Reaching the Urban Poor; Asian Development Bank: Metro Manila, Philippines, 2003. [Google Scholar]
- European Commission. EU Reference document Good Practices on Leakage Management WFD CIS WG PoM—Main Report; European Commission: Brussels, Belgium, 2015. [Google Scholar]
- KFW. Water Loss Reduction Programme: Evaluation Report; German Bank for Development (Kreditanstalt für Wiederaufbau): Frankfurt, Germany, 2008. [Google Scholar]
- Van den Berg, C.; Danilenko, A. The IBNET Water Supply and Sanitation Performance Blue Book; World Bank Publications: Washington, DC, USA, 2010. [Google Scholar]
- AL-Washali, T.; Sharma, S.; Kennedy, M. Methods of Assessment of Water Losses in Water Supply Systems: A Review. Water Resour. Manag. 2016, 30, 4985–5001. [Google Scholar] [CrossRef]
- Mutikanga, H. Water loss management: tools and methods for developing countries. Ph.D. Thesis, IHE-Delft, Institute for Water Education, Delft, The Netherlands, 2012. [Google Scholar]
- Alegre, H.; Baptista, J.M.; Cabrera Jr, E.; Cubillo, F.; Duarte, P.; Hirner, W.; Merkel, W.; Parena, R. Performance Indicators for Water Supply Services; IWA publishing: London, UK, 2016. [Google Scholar]
- Pybus, P.; Schoeman, G. Performance indicators in water and sanitation for developing areas. Water Sci. Tech. 2001, 44, 127–134. [Google Scholar] [CrossRef]
- Al-Ansari, N.; Alibrahiem, N.; Alsaman, M.; Knutsson, S. Water Supply Network Losses in Jordan. J. Water Resour. Prot. 2014, 6, 83–96. [Google Scholar] [CrossRef][Green Version]
- Korkmaz, N.; Avci, M. Evaluation of water delivery and irrigation performances at field level: The case of the menemen left bank irrigation district in Turkey. Indian J. Sci. Tech. 2012, 5, 2079–2089. [Google Scholar]
- Ermini, R.; Ataoui, R.; Qeraxhiu, L. Performance indicators for water supply management. Water Sci. Tech.: Water Supply 2015, 15, 718–726. [Google Scholar] [CrossRef]
- Staben, N.; Hein, A.; Kluge, T. Measuring sustainability of water supply: Performance indicators and their application in a corporate responsibility report. Water Sci. Tech.: Water Supply 2010, 10, 824–830. [Google Scholar] [CrossRef]
- Cunha Marques, R.; Monteiro, A. Application of performance indicators to control losses-results from the Portuguese water sector. Water Sci. Tech.: Water Supply 2003, 3, 127–133. [Google Scholar] [CrossRef]
- Carpenter, T.; Lambert, A.; McKenzie, R. Applying the IWA approach to water loss performance indicators in Australia. Water Sci. Tech.: Water Supply 2003, 3, 153–161. [Google Scholar] [CrossRef]
- Renaud, E.; Clauzier, M.; Sandraz, A.; Pillot, J.; Gilbert, D. Introducing pressure and number of connections into water loss indicators for French drinking water supply networks. Water Sci. Tech.: Water Supply 2014, 14, 1105–1111. [Google Scholar] [CrossRef]
- Mutikanga, H.; Sharma, S.; Vairavamoorthy, K.; Cabrera, E. Using performance indicators as a water loss management tool in developing countries. J. Water Supply Res. T. 2010, 59, 471–481. [Google Scholar] [CrossRef]
- JICA (Japan International Cooperation Agency). The Study for the Water Resources Management and Rural Water Supply Improvement in the Republic of Yemen, Water Resources Management Action Plan for Sana’a Basin; Final Report; Japan International Cooperation Agency: Tokyo, Japan, 2007. [Google Scholar]
- AL-Washali, T.M.; Sharma, S.K.; Kennedy, M.D. Alternative Method for Nonrevenue Water Component Assessment. J. Water Res. Plan. Man. 2018, 144, 04018017. [Google Scholar] [CrossRef]
- Vermersch, M.; Carteado, F.; Rizzo, A.; Johnson, E.; Arregui, F.; Lambert, A. Guidance Notes on Apparent Losses and Water Loss Reduction Planning; Malta College of Arts Science and Technology: Paola, Malta, 2016. [Google Scholar]
- Farley, M.; Trow, S. Losses in Water Distribution Networks; IWA publishing: London, UK, 2003. [Google Scholar]
- Taylor, J. An Introduction to Error Analysis: The Study of Uncertainties in Physical Measurements; University Science Books: New York, NY, USA, 1997. [Google Scholar]
- Liemberger, R.; Farley, M. Developing a nonrevenue water reduction strategy Part 1: Investigating and assessing water losses. In Proceedings of the IWA Specialized Conference: The 4th IWA World Water Congress Marrakech, Marrakech, Morocco, 19–24 September 2004. [Google Scholar]
- Frauendorfer, R.; Liemberger, R. The Issues and Challenges of Reducing Non-Revenue Water; Asian Development Bank: Mandaluyong, Philippines, 2010. [Google Scholar]
- Lambert, A.; Charalambous, B.; Fantozzi, M.; Kovac, J.; Rizzo, A.; St John, S.G. 14 years’ experience of using IWA best practice water balance and water loss performance indicators in Europe. In Proceedings of the IWA Specialized Conference: Water Loss 2014, Vienna, Austria, 31 March–2 April 2014. [Google Scholar]
- Charalambous, B.; Laspidou, C. Dealing with the Complex Interrelation of Intermittent Supply and Water Losses; International Water Association: London, UK, 2017. [Google Scholar]




| Volume 2009 | θ | SD | SD2 | Volume 2015 | |
|---|---|---|---|---|---|
| m3/year | ± % | m3/year | m3/year | ||
| NRW | 8,637,692 | 5 | 227,452 | 5 × 1010 | 1,604,557 |
| UAC | 114,152 | 20 | 11,648 | 1 × 1008 | 21,205 |
| AL | 5,686,452 | 18 | 531,632 | 8 × 1010 | 1,100,093 |
| RL | 2,837,088 | 40 | 578,363 | 1 × 1011 | 483,259 |
| NRW Component | PI | 2009 | 2015 | ∆ % |
|---|---|---|---|---|
| NRW | m3/year | 8,637,692 | 1,604,557 | −81% |
| NRW | % | 39% | 22% | −44% |
| NRW | m3/c/year | 97 | 17 | −83% |
| RL | m3/year | 2,837,088 | 527,024 | −81% |
| RL | L/c/d | 87 | 15 | −83% |
| RL | L/c/d/m pressure | 9 | 2 | −83% |
| ILI | - | 9 | 2 | −82% |
| ILI | w.s.p. | 48 | 62 | +29% |
| AL | m3/year | 5,686,452 | 1,056,328 | −81% |
| AL | m3/c/year | 64 | 11 | −83% |
| ALI | - | 8 | 4 | −57% |
| Component | PI | 2009 | 2015 | ∆ % |
|---|---|---|---|---|
| Tavg | h/day | 4.40 | 0.60 | −86% |
| Tavg | day/year | 66.92 | 9.13 | −86% |
| SIV | m3/day w.s.p. | 333,106 | 815,500 | +145% |
| NRW | m3/day w.s.p. | 129,081 | 175,842 | +36% |
| NRW | m3/c/year w.s.p. | 530 | 678 | +28% |
| NRW | % w.s.p* | 39% | 22% | −44% |
| NRW | % w.s.p** | 89% | 98% | +10% |
| RL | L/c/d w.s.p. | 477 | 610 | +28% |
| RL | L/c/d/ m pres. w.s.p. | 5 | 6 | +28% |
| AL | m3/c/year w.s.p. | 349 | 446 | +28% |
| ILI | w.s.p. | 48 | 62 | +29% |
| ALI | w.s.p. | 8 | 4 | −57% |
| ALI | w.s.p.*** | 45 | 145 | +219% |
© 2019 by the authors. Licensee MDPI, Basel, Switzerland. This article is an open access article distributed under the terms and conditions of the Creative Commons Attribution (CC BY) license (http://creativecommons.org/licenses/by/4.0/).
Share and Cite
AL-Washali, T.; Sharma, S.; AL-Nozaily, F.; Haidera, M.; Kennedy, M. Monitoring Nonrevenue Water Performance in Intermittent Supply. Water 2019, 11, 1220. https://doi.org/10.3390/w11061220
AL-Washali T, Sharma S, AL-Nozaily F, Haidera M, Kennedy M. Monitoring Nonrevenue Water Performance in Intermittent Supply. Water. 2019; 11(6):1220. https://doi.org/10.3390/w11061220
Chicago/Turabian StyleAL-Washali, Taha, Saroj Sharma, Fadhl AL-Nozaily, Mansour Haidera, and Maria Kennedy. 2019. "Monitoring Nonrevenue Water Performance in Intermittent Supply" Water 11, no. 6: 1220. https://doi.org/10.3390/w11061220
APA StyleAL-Washali, T., Sharma, S., AL-Nozaily, F., Haidera, M., & Kennedy, M. (2019). Monitoring Nonrevenue Water Performance in Intermittent Supply. Water, 11(6), 1220. https://doi.org/10.3390/w11061220
