Application of the Mathematical Simulation Methods for the Assessment of the Wastewater Treatment Plant Operation Work Reliability
Abstract
1. Introduction
2. Research Object
3. Materials and Methods
3.1. Preliminary Data Analysis
3.2. Statistical Distributions Fitting
- κ—shape parameter;
- α—scale parameter;
- ξ—location parameter.
- K—number of components;
- —weights such that
- —multivariate Gaussian distribution
- —parameters of the log-normal distribution: variance and mean value, respectively.
- —variance value;
- μ—mean value.
- a—lower limit;
- m—mode;
- b—upper limit.
- n—number of observations;
- F—theoretical cumulative distribution;
- Xi—ordered data.
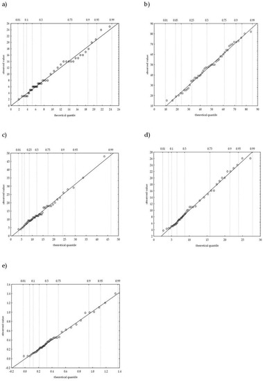
3.3. The Best Statistical Distributions Fitting
- n—size of the observation series;
- Oi—observed value;
- Pi—predicted value;
- —mean of observed values;
- —mean of predicted values.
3.4. Pollutants Indicators Modeling
4. Results and Discussion
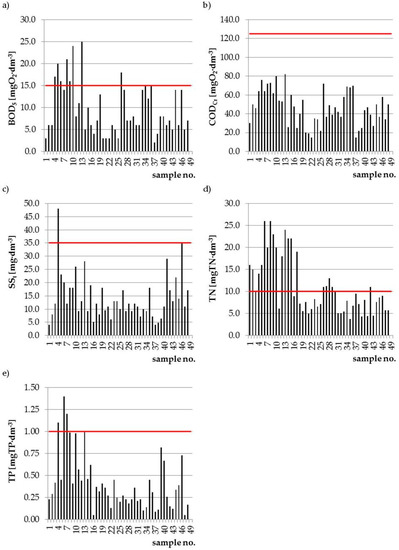
4.1. Preliminary Analysis of Pollutants Indicators
4.2. The Results of Theoretical and Empirical Distributions Fitting
4.3. Selection of the Best-Fitting Statistical Distribution
4.4. Determination of the Wastewater Treatment Plant Operation Work Reliability Coefficients
5. Summary
Author Contributions
Funding
Conflicts of Interest
References
- Psomopoulos, C.S.; Barkas, D.; Ioannidis, G.C. The Recycling Potential of Submersible Sewage Pumps in the EU. Recycling 2018, 3, 14. [Google Scholar] [CrossRef]
- Bergel, T.; Bugajski, P.; Pawełek, J. Analysis of the sewage system expandability in Mściwojów commune. GLL 2013, 2, 7–14. [Google Scholar] [CrossRef]
- Bugajski, P.; Chmielowski, K.; Kaczor, G. Influence of the size of flow of rainwater on the composition of raw wastewater in small sewer system. Acta Sci. Pol. Formatio Circumiectus 2016, 15, 3–11. [Google Scholar] [CrossRef]
- Młyński, D.; Chmielowski, K.; Młyńska, A. Analysis of hydraulic load of a wastewater treatment plant in Jasło. J. Water Land Dev. 2016, 28, 61–67. [Google Scholar] [CrossRef]
- Nowak, J.; Chmielowski, K.; Chmielowska, B.; Bedla, D. The efficiency of pollutant elimination in the Dobra treatment plant. Infrastruct. Ecol. Rural Areas 2016, 3, 737–747. [Google Scholar]
- Todeschini, S. Hydrologic and environmental impacts of imperviousness in an industrial catchment of Northern Italy. J. Hydrol. Eng. 2016, 21. [Google Scholar] [CrossRef]
- Gizińska-Górna, M.; Jóźwiakowski, K.; Marzec, M.; Pytka, A.; Sosnowska, B.; Różańska-Boczula, M.; Listosz, A. Analysis of the influence of a hybrid constructed wetland wastewater treatment plant on the water quality of the receiver. Rocz. Ochr. Sr. 2017, 19, 370–393. [Google Scholar]
- Młyński, D.; Kurek, K.; Bugajski, P. An analysis of seasonal waste draining for the urban agglomeration using statistical methods. Water 2018, 10, 976. [Google Scholar] [CrossRef]
- Angelakis, A.N.; Gikas, P. Water reuse: Overview of current practices and trends in the world with emphasison eu states. Water Util. J. 2014, 8, 67–78. [Google Scholar]
- Taheriyoun, M.; Moradinejad, S. Reliability analysis of a wastewater treatment plant using fault tree analysis and Monte Carlo simulation. Environ. Monit. Assess. 2015, 187, 4186–4199. [Google Scholar] [CrossRef]
- Psarrou, E.; Tsoukalas, I.; Makropoulos, E. A Monte-Carlo-based method for the optimal placement and operation scheduling of sewer mining units in urban wastewater networks. Water 2018, 10, 200. [Google Scholar] [CrossRef]
- Olyaei, M.A.; Karamouz, M.; Asce, F.; Farmani, R. Framework for assessing flood reliability and resilience of wastewater treatment plants. J. Environ. Eng. 2018, 144, 1–14. [Google Scholar] [CrossRef]
- Trigo, A.P.; Tinetti, B.; Falkner, H.; Jugdoyal, K.; Pahal, S.; Mudgal, S. ENER Lot 28—Pumps for Private and Public Wastewater and for Fluids with High Solids Content—Task 3—Consumer Behaviour and Local Infrastructure Working Document; Report for the European Commission: Paris, France, 2014. [Google Scholar]
- Yang, Y.; Yu, K.; Xia, Y.; Lau, F.T.K.; Tang, D.T.W.; Fung, W.C.; Fang, H.H.P.; Zhang, T. Metagenomicanalysis of sludge from full-scale anaerobic digesters operated in municipal wastewater treatment plants. Appl. Microbiol. Biotechnol. 2014, 98, 5709–5718. [Google Scholar] [CrossRef]
- Bayo, J.; López-Castellanos, J. Principal factor and hierarchical cluster analyses for performance assessment of an urban wastewater treatment plant in the Southeast of Spain. Chemosphere 2016, 155, 152–162. [Google Scholar] [CrossRef]
- Wąsik, E.; Chmielowski, K.; Operacz, A. PCA as a data mining tools characterizing the work of nitrification reactors in the sewage treatment plant in Trepcza. Acta Sci. Pol. Formatio Circumiectus 2016, 16, 209–222. [Google Scholar] [CrossRef]
- Snip, L.J.P.; Boiocchi, R.; Flores-Alsina, X.; Jeppsson, U.; Gernaey, K.V. Challenges encounteredwhen expanding activated sludge models: A case studybased on N2O production. Water Sci. Technol. 2014, 70, 1251–1260. [Google Scholar] [CrossRef]
- Wu, X.; Yanga, Y.; Wu, G.; Mao, J.; Zhou, T. Simulation and optimization of a coking wastewater biological treatment process by activated sludge models (ASM). J. Environ. Manag. 2016, 165, 235–242. [Google Scholar] [CrossRef] [PubMed]
- Machado, V.C.; Lafuente, J.; Baeza, J.A. Activated sludge model 2d calibration with full-scale WWTP data: Comparing model parameter identifiability with influent and operational uncertainty. Bioprocess Biosyst. Eng. 2014, 37, 1271–1287. [Google Scholar] [CrossRef] [PubMed][Green Version]
- Alikhani, J.; Takacs, I.; Al-Omari, A.; Murthy, S.; Massoudieh, A. Evaluation of the information content of long-term wastewater characteristics data in relation to activated sludge model parameters. Water Sci. Technol. 2017, 75, 1370–1389. [Google Scholar] [CrossRef] [PubMed]
- Guo, L.; Vanrolleghem, P.A. Calibration andvalidation of an activated sludge model for greenhouse gases no. 1 (ASMG1): Prediction of temperature-dependent N2O emission dynamics. Bioprocess Biosyst. Eng. 2014, 37, 151–163. [Google Scholar] [CrossRef]
- Bugajski, P.; Chmielowski, K.; Kaczor, G. Reliability of a collective wastewater treatment plant. J. Ecol. Eng. 2016, 17, 143–147. [Google Scholar] [CrossRef][Green Version]
- Marzec, M. Reliability of removal of selected pollutants in different technological solutions of household wastewater treatment plants. J. Water Land Dev. 2017, 35, 141–148. [Google Scholar] [CrossRef]
- Jóźwiakowski, K.; Bugajski, P.; Mucha, Z.; Wójcik, W.; Jucherski, A.; Nastwany, M.; Siwiec, T.; Mazur, A.; Obroślak, R.; Gajewska, M. Reliability and efficiency of pollution removal during long-term operation of a one-stage constructed wetland system with horizontal flow. Sep. Purif. Technol. 2017, 187, 60–66. [Google Scholar] [CrossRef]
- Sun, X.; Lall, U. Spatially coherent trends of annual maximum daily precipitation in the United States. Geophys. Res. Lett. 2015, 42, 9781–9789. [Google Scholar] [CrossRef]
- Delignette-Muller, M.L.; Dutang, C. An R package for fitting distributions. J. Stat. Softw. 2015, 64, 1–34. [Google Scholar] [CrossRef]
- Rozporządzenie Ministra Środowiska z dnia 18 listopada 2014 r. w sprawie warunków, jakie należy spełnić przy wprowadzaniu ścieków do wód lub do ziemi, oraz w sprawie substancji szczególnie szkodliwych dla środowiska wodnego (Dz.U. 2014 poz. 1800). Available online: http://prawo.sejm.gov.pl/isap.nsf/DocDetails.xsp?id=WDU20140001800 (accessed on 26 April 2019).
- Glickman, T.S.; Xu, F. The distribution of the product of two random variables. Stat. Probab. Lett. 2008, 78, 2821–2826. [Google Scholar] [CrossRef]
- Wang, X. Vehicle Noise and Vibration Refinement; Woodhead Publishing: Cambridge, UK, 2010. [Google Scholar]
- Zoran, D.; Weiss, Y. From learning models of natural image patches to whole image restoration. In Proceedings of the International Conference on Computer Vision, Tokyo, Japan, 25–27 May 2011; pp. 479–486. [Google Scholar]
- Yu, G.; Sapiro, G.; Mallat, S. Solving inverse problems with piecewise linear estimators: From gaussian mixture models to structured sparsity. IEEE Trans. Image Process. 2012, 21, 2481–2499. [Google Scholar]
- Wałęga, A.; Rutkowska, A.; Policht-Latawiec, A. Sensitivity of beta and Weibull synthetic unit hydrographs to input parameter changes. Pol. J. Environ. Stud. 2014, 1, 221–229. [Google Scholar]
- Alam, M.A.; Emuro, K.; Farnham, C.; Yuan, J. Best-fit probability distributions and return periods for maximum monthly rainfall in Bangladesh. Climate 2018, 6, 9. [Google Scholar] [CrossRef]
- Zeng, X.; Wang, D.; Wu, J. Evaluating the three methods of goodness of fit test for frequency analysis. JRACR 2015, 5, 178–187. [Google Scholar] [CrossRef]
- Evans, D.L.; Drew, J.H.; Leemis, L.M. The distribution of the Kolmogorov–Smirnov, Cramer–von Mises, and Anderson–Darling test statistics for exponential populations with estimated parameters. Comput. Probab. Appl. 2017, 247, 165–190. [Google Scholar]
- Jäntschi, L.; Bolboacă, S.D. Computation of probability associated with Anderson–Darling statistic. Mathematics 2018, 6, 88. [Google Scholar] [CrossRef]
- Młyński, D.; Wałęga, A.; Petroselli, A.; Tauro, F.; Cebulska, M. Estimating maximum daily precipitation in the upper Vistula basin, Poland. Atmosphere 2019, 10, 43. [Google Scholar] [CrossRef]
- Wałęga, A.; Książek, L. Influence of rainfall data on the uncertainty of flood simulation. Soil Water Res. 2016, 11, 277–284. [Google Scholar] [CrossRef]
- Wałęga, A. The importance of calibration parameters on the accuracy of the floods description in the Snyder’s model. J. Water Land Dev. 2016, 28, 19–25. [Google Scholar] [CrossRef]
- Halton, J.H. A retrospective and prospective survey of the Monte Carlo method. SIAM Rev. 1970, 12, 1–63. [Google Scholar] [CrossRef]
- Schauberger, G.; Piringer, M.; Baumann-Stanzer, K.; Knauder, W.; Petz, E. Use of a Monte Carlo technique to complete a fragment set of H2S emission rates from a wastewater treatment plant. J. Hazard. Mater. 2013, 263, 694–701. [Google Scholar] [CrossRef]
- Hendren, C.O.; Badireddy, A.R.; Casman, E.; Wiesner, M.R. Modeling nanomaterial fate in wastewater treatment: Monte Carlo simulation of silver nanoparticles (nano-Ag). Sci. Total Environ. 2013, 449, 418–425. [Google Scholar] [CrossRef]
- Barton, L.E.; Auffan, M.; Durenkamp, M.; McGrath, S.; Bottero, J.; Wiesner, M.R. Monte Carlo simulations of the transformation and removal of Ag, TiO2, and ZnO nanoparticles in wastewater treatment and land application of biosolids. Sci. Total Environ. 2015, 511, 535–543. [Google Scholar] [CrossRef]
- Andraka, D.; Dzienis, L. Modeling of risk in the operation of wastewater treatment plants. Rocz. Ochr. Sr. 2013, 15, 1111–1125. [Google Scholar]
- Wałęga, A.; Chmielowski, K.; Młyński, D. Influence of the hybrid sewage treatment plant’s exploitation on its operation effectiveness in rural areas. Sustainability 2018, 10, 2689. [Google Scholar] [CrossRef]
- Wąsik, E.; Chmielowski, K. Evaluation of the operation of the sewage treatment plant, Kujawy in Cracow. Teka. Kom. Ochr. Kszt. Środ. Przyr. 2013, 10, 481–488. [Google Scholar]
- Kaczor, G.; Bergel, T.; Bugajski, P.; Pijanowski, J. Aspects of sewage disposal from tourist facilities in national parks and other protected areas. Pol. J. Environ. Stud. 2015, 24, 107–114. [Google Scholar] [CrossRef]
- Bugajski, P.; Almeida, M.A.A.; Kurek, K. Reliablity of sewage treatment plants processing sewage from school buldings located in non-urban areas. Infrastruct. Ecol. Rural Areas 2016, 4, 1547–1557. [Google Scholar]
- Chmielowski, K.; Wąsik, E.; Operacz, A.; Bugajski, P.; Kaczor, G.; Jurik, L. Analysis of sewage susceptibility to biodegradation on an example of sewage treatment plant in Wodzisław Śląski. Infrastruct. Ecol. Rural Areas 2017, 4, 1427–1443. [Google Scholar]
- Stein, W.; Keblis, M. A new method to simulate the triangular distribution. Math. Comput. Model. 2009, 49, 1143–1147. [Google Scholar] [CrossRef]
- Pereira, E.J.S.; Pinho, J.T.; Galhardo, M.A.B.; Macêdo, W.M. Methodology of risk analysis by Monte Carlo Method applied to power generation with renewable energy. Renew. Energy 2014, 69, 347–355. [Google Scholar] [CrossRef]
- Yu, J. A nonlinear kernel Gaussian mixture model based inferential monitoring approach for fault detection and diagnosis of chemical processes. Chem. Eng. Sci. 2012, 68, 506–519. [Google Scholar] [CrossRef]
- Bouzenad, K.; Ramdani, R. Multivariate statistical process control using enhanced bottleneck neural network. Algorithms 2017, 10, 49. [Google Scholar] [CrossRef]
- Saculinggan, N.; Balase, E.A. Empirical power comparison of goodness of fit tests for normality in the presence of outliers. J. Phys. Conf. Ser. 2012, 435, 1–12. [Google Scholar] [CrossRef]
- Meijer, D.; Van Bijnen, M.; Langeveld, J.; Korving, H.; Post, J.; Clemens, F. Identifying Critical Elements in Sewer Networks Using Graph-Theory. Water 2018, 10, 136. [Google Scholar] [CrossRef]
- Korving, H.; Ottenhoff, E.C. Analysis of the causes of pump failure and differences of failure characteristics. Water Sci. Technol. 2008, 57, 1271–1276. [Google Scholar] [CrossRef] [PubMed]
- Korving, H.; Langeveld, J.G. Uniform registration of failures in wastewater systems—Experiences from pilot projects. In Proceedings of the 11th International Conference on Urban Drainage, Edinburgh, Scotland, UK, 31 August–5 September 2008; pp. 1–10. [Google Scholar]
- Bugajski, P.; Chmielowski, K.; Kaczor, G. Optimizing the percentage of sewage from septic tanks for stable operation of a wastewater treatment plant. Pol. J. Environ. Stud. 2016, 4, 1421–1425. [Google Scholar] [CrossRef]
- Bugajski, P.; Satora, S. The balance of sewage inflowing and brought to the treatment plant based on example of the chosen object. Infrastruct. Ecol. Rural Areas 2009, 5, 73–82. (In Polish) [Google Scholar]
- Zdebik, D.; Głodniok, M.; Zawartka, P. Anaerobic digestion model analysis of the fermentation process in psychrophilic and mesophilic chamber in accordance with the amount of biogas sourced. Inżynieria Ekologiczna 2015, 42, 63–71. (In Polish) [Google Scholar] [CrossRef][Green Version]
- Wałęga, A.; Chmielowski, K.; Młyński, D. Nitrogen and phosphorus removal from sewage in biofilter—Activated sludge combined systems. Pol. J. Environ. Stud. 2019, 28, 1939–1947. [Google Scholar] [CrossRef]
- Wąsik, E.; Bugajski, P.; Chmielowski, K.; Nowak, A.; Mazur, R. Crystallization of struvite and hydroxyapatite during removal of biogenic compounds on the filter bed. Przem. Chem. 2017, 96, 1739–1743. (In Polish) [Google Scholar]
- Van Riel, W.; Van Bueren, E.; Langeveld, J.; Herder, P.; Clemens, F. Decision-making for sewer asset management: Theory and practice. Urban Water J. 2015, 13, 57–68. [Google Scholar] [CrossRef]
- Van Riel, W.; Langeveld, J.; Herder, P.; Clemens, F. Valuing information for sewer replacement decisions. Water Sci. Technol. 2016, 74, 796–804. [Google Scholar] [CrossRef] [PubMed]



| Pollutants Indicators | Descriptive Statistics | ||||
|---|---|---|---|---|---|
| Min. | Mean | Max. | S | Cs | |
| BOD5 [mgO2·dm−3] | 2.0 | 9.6 | 25.0 | 5.8 | 0.61 |
| CODCr [mgO2·dm−3] | 15.0 | 46.7 | 82.0 | 18.2 | 0.39 |
| SSt [mg·dm−3] | 4.0 | 14.2 | 48.0 | 8.3 | 0.59 |
| TN [mg TN·dm−3] | 3.7 | 11.1 | 26.0 | 6.4 | 0.57 |
| TF [mg TP·dm−3] | 0.1 | 0.4 | 1.4 | 0.3 | 0.76 |
| Statistical Distributions | BOD5 | CODCr | SSt | TN | TP | |||||
|---|---|---|---|---|---|---|---|---|---|---|
| A–D | p | A–D | p | A–D | p | A–D | p | A–D | p | |
| GEV | 0.786 | 0.491 | 0.322 | 0.920 | 0.258 | 0.966 | 0.401 | 0.847 | 0.233 | 0.979 |
| GMM | 0.445 | 0.803 | 0.187 | 0.993 | 0.351 | 0.895 | 0.224 | 0.982 | 0.193 | 0.992 |
| Log-normal | 0.696 | 0.561 | 0.730 | 0.534 | 0.288 | 0.947 | 0.709 | 0.550 | 0.352 | 0.894 |
| Normal | 2.053 | 0.086 | 0.307 | 0.932 | 2.013 | 0.091 | 2.386 | 0.057 | 2.421 | 0.055 |
| Pareto | 1.684 | 0.138 | 3.405 | 0.017 | 3.734 | 0.012 | 6.463 | 0.001 | 1.098 | 0.309 |
| Rayleigh | 1.700 | 0.135 | 1.346 | 0.218 | 1.195 | 0.269 | 1.707 | 0.134 | 4.697 | 0.004 |
| Triangular | 2.428 | 0.054 | 5.673 | 0.001 | 9.783 | 0.000 | 5.147 | 0.002 | 11.083 | 0.000 |
| Weibull | 0.969 | 0.373 | 0.277 | 0.954 | 1.033 | 0.340 | 1.392 | 0.204 | 0.555 | 0.690 |
| Statistical Distributions | PWRMSE | ||||
|---|---|---|---|---|---|
| BOD5 | CODCr | SSt | TN | TP | |
| GEV | 2.369 | 2.266 | 1.222 | 5.211 | 0.100 |
| GMM | 0.802 | 1.511 | 1.733 | 0.545 | 0.028 |
| Log-normal | 1.825 | 7.344 | 1.780 | 1.780 | 0.119 |
| Normal | 1.748 | 29.476 | 4.124 | 4.124 | 0.631 |
| Pareto | 1.283 | - | - | - | 0.065 |
| Rayleigh | 1.413 | 6.297 | 1.413 | 1.940 | - |
| Triangular | 1.263 | - | - | - | - |
| Weibull | 1.083 | 2.193 | 3.100 | 3.100 | 0.071 |
| Reliability Parameters | Reliability Coefficients | ||||
|---|---|---|---|---|---|
| BOD5 | CODCr | SSt | TN | TP | |
| R | 0.947 | 1.000 | 0.995 | 0.909 | 0.977 |
| CR | 0.651 | 0.371 | 0.397 | 1.100 | 0.435 |
| Re | 0.810 | 0.000 | 0.000 | 1.000 | 0.160 |
© 2019 by the authors. Licensee MDPI, Basel, Switzerland. This article is an open access article distributed under the terms and conditions of the Creative Commons Attribution (CC BY) license (http://creativecommons.org/licenses/by/4.0/).
Share and Cite
Młyński, D.; Bugajski, P.; Młyńska, A. Application of the Mathematical Simulation Methods for the Assessment of the Wastewater Treatment Plant Operation Work Reliability. Water 2019, 11, 873. https://doi.org/10.3390/w11050873
Młyński D, Bugajski P, Młyńska A. Application of the Mathematical Simulation Methods for the Assessment of the Wastewater Treatment Plant Operation Work Reliability. Water. 2019; 11(5):873. https://doi.org/10.3390/w11050873
Chicago/Turabian StyleMłyński, Dariusz, Piotr Bugajski, and Anna Młyńska. 2019. "Application of the Mathematical Simulation Methods for the Assessment of the Wastewater Treatment Plant Operation Work Reliability" Water 11, no. 5: 873. https://doi.org/10.3390/w11050873
APA StyleMłyński, D., Bugajski, P., & Młyńska, A. (2019). Application of the Mathematical Simulation Methods for the Assessment of the Wastewater Treatment Plant Operation Work Reliability. Water, 11(5), 873. https://doi.org/10.3390/w11050873

