Necessity of Acknowledging Background Pollutants in Management and Assessment of Unique Basins
Abstract
1. Introduction
2. Materials and Methods
2.1. Study Area
2.2. Data Source
2.3. Model Structure
2.4. Management and Assessment Method
3. Results and Discussion
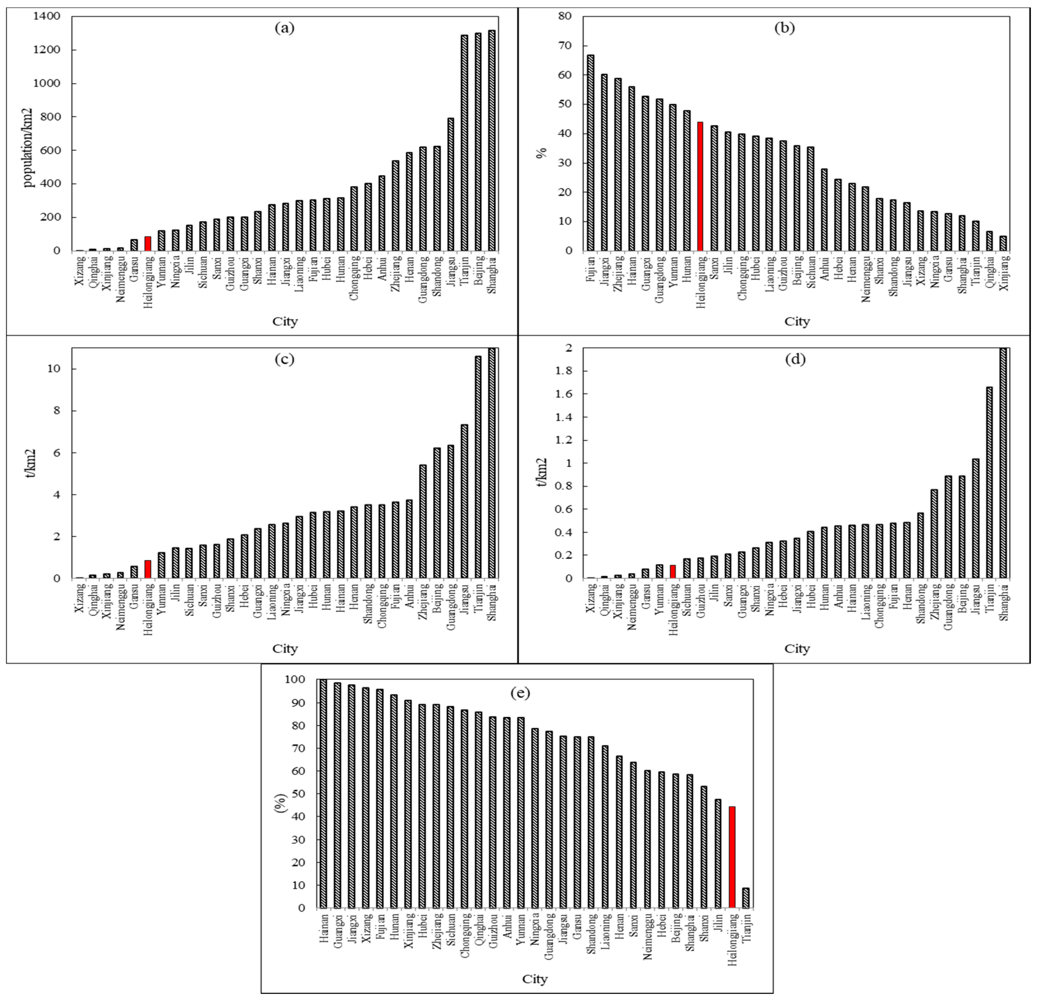
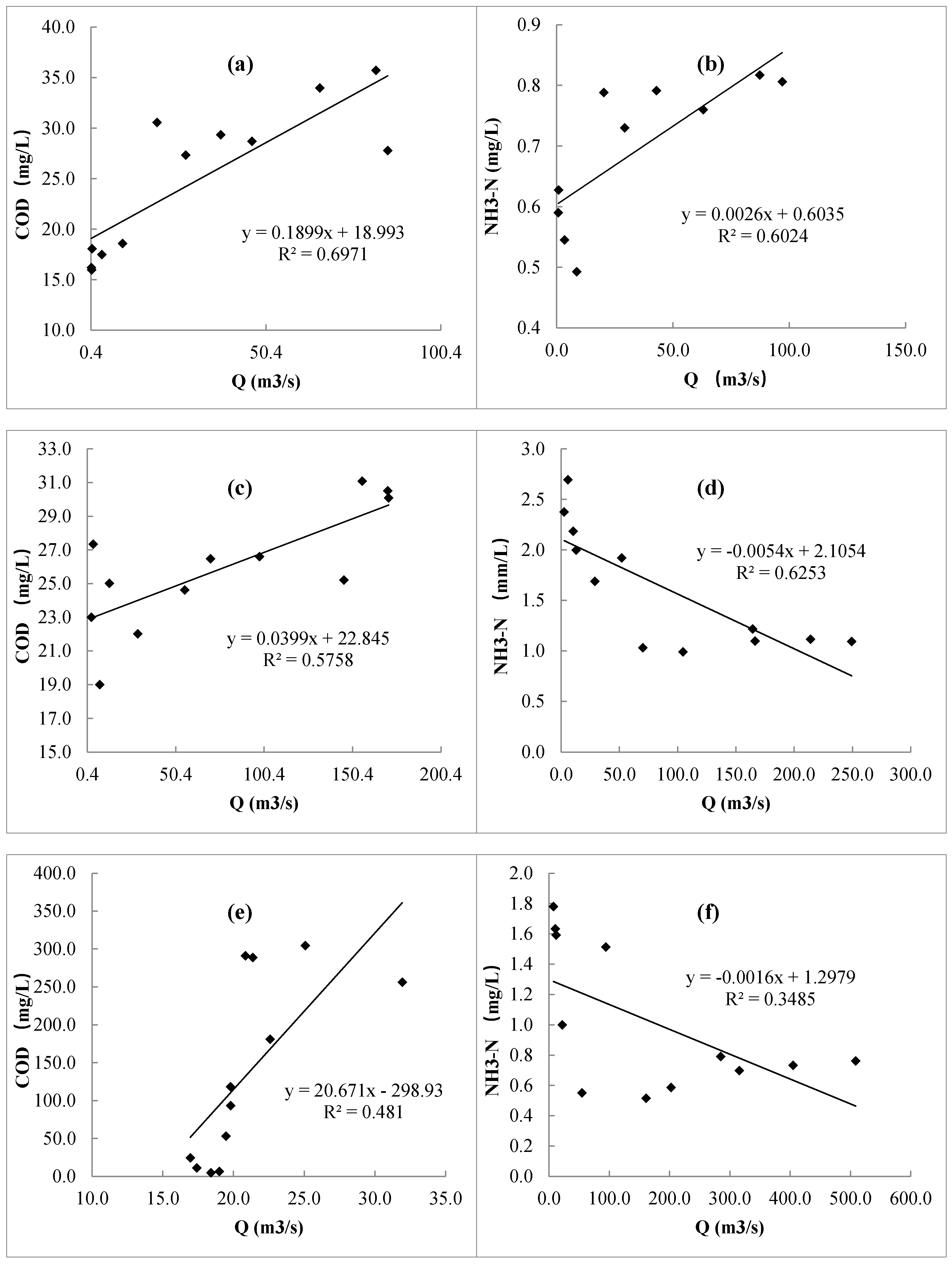
3.1. Impact of Background Pollutants
3.2. Pollutant Yield Coefficient
3.3. Pollutant Load and Management
3.4. Assessment Method Considering Background Value
4. Conclusions
Author Contributions
Funding
Acknowledgments
Conflicts of Interest
References
- Butler, J.R.A.; Wong, G.Y.; Metcalfe, D.J.; Honzák, M.; Pert, P.L.; Rao, N.; van Grieken, M.E.; Lawson, T.; Bruce, C.; Kroon, F.J.; et al. An analysis of trade-offs between multiple ecosystem services and stakeholders linked to land use and water quality management in the Great Barrier Reef, Australia. Agric. Ecosyst. Environ. 2013, 180, 176–191. [Google Scholar] [CrossRef]
- Yan, D.H.; Wang, H.; Li, H.H.; Wang, G.; Qin, T.L.; Wang, D.Y.; Wang, L.H. Quantitative analysis on the environmental impact of large-scale water transfer project on water resource area in a changing environment. Hydrol. Earth Syst. Sci. 2012, 16, 2685–2702. [Google Scholar] [CrossRef]
- Hassan, N.E.; Ali, S.A.M. Screening and analysis of water quality of Zea River in Kurdistan region, Iraq. Int. J. Adv. Appl. Sci. 2016, 3, 61–67. [Google Scholar] [CrossRef]
- Fan, X.; Cui, B.; Zhao, H.; Zhang, Z.; Zhang, H. Assessment of river water quality in Pearl River Delta using multivariate statistical techniques. Proc. Environ. Sci. 2010, 2, 1220–1234. [Google Scholar] [CrossRef]
- Cassanego, M.B.B.; Droste, A. Assessing the spatial pattern of a river water quality in southern Brazil by multivariate analysis of biological and chemical indicators. Braz. J. Biol. 2016, 77, 118–126. [Google Scholar] [CrossRef] [PubMed][Green Version]
- Cheng, X.; Chen, L.; Sun, R.; Jing, Y. An improved export coefficient model to estimate non-point source phosphorus pollution risks under complex precipitation and terrain conditions. Environ. Sci. Pollut. Res. Int. 2018, 25, 20946–20955. [Google Scholar] [CrossRef]
- Ding, X.; Shen, Z.; Hong, Q.; Yang, Z.; Wu, X.; Liu, R. Development and test of the Export Coefficient Model in the Upper Reach of the Yangtze River. J. Hydrol. 2010, 383, 233–244. [Google Scholar] [CrossRef]
- Lai, Y.C.; Yang, C.P.; Hsieh, C.Y.; Wu, C.Y.; Kao, C.M. Evaluation of non-point source pollution and river water quality using a multimedia two-model system. J. Hydrol. 2011, 409, 583–595. [Google Scholar] [CrossRef]
- Yang, S.; Dong, G.; Zheng, D.; Xiao, H.; Gao, Y.; Lang, Y. Coupling Xinanjiang model and SWAT to simulate agricultural non-point source pollution in Songtao watershed of Hainan, China. Ecol. Modell. 2011, 222, 3701–3717. [Google Scholar] [CrossRef]
- Ye, Y.; Jia, K. A water quality assessment method based on sparse autoencoder. In Proceedings of the IEEE International Conference on Signal Processing, Communications and Computing, Ningbo, China, 19–22 September 2015. [Google Scholar]
- Liu, S.; Lou, S.; Kuang, C.; Huang, W.; Chen, W.; Zhang, J.; Zhong, G. Water quality assessment by pollution-index method in the coastal waters of Hebei Province in western Bohai Sea, China. Mar. Pollut. Bull. 2011, 62, 2220–2229. [Google Scholar] [CrossRef]
- Jähnig, S.C.; Cai, Q. River water quality assessment in selected Yangtze tributaries: Background and method development. J. Earth Sci. 2010, 21, 876–881. [Google Scholar] [CrossRef]
- Hinman, J.J. American standards for quality of water. J. Chem. Technol. Biotechnol. 1921, 40, R325–R327. [Google Scholar] [CrossRef]
- New York State Department of Environmental Conservation, Part 701 Classifications-Surface Waters and Ground Waters. Available online: https://docplayer.net/. (accessed on 1 December 2018).
- Lumb, A.; Halliwell, D.; Sharma, T. Application of CCME water quality index to monitor water quality: A Case of the Mackenzie River Basin, Canada. Environ. Monit. Assess. 2006, 113, 411–429. [Google Scholar] [CrossRef] [PubMed]
- Rosemond, S.D.; Duro, D.C.; Dubé, M. Comparative analysis of regional water quality in Canada using the Water Quality Index. Environ. Monit. Assess. 2009, 156, 223–240. [Google Scholar] [CrossRef]
- Campos, M.L.; Pierangeli, M.A.P.; Guilherme, L.R.G.; Marques, J.J.; Curi, N. Baseline Concentration of Heavy Metals in Brazilian Latosols. Commun. Soil Sci. Plant Anal. 2003, 34, 547–557. [Google Scholar] [CrossRef]
- Reimann, C.; Caritat, P.D. Distinguishing between natural and anthropogenic sources for elements in the environment: Regional geochemical surveys versus enrichment factors. Sci. Total Environ. 2005, 337, 91–107. [Google Scholar] [CrossRef] [PubMed]
- Cobelo-Garcia, A.; Prego, R. Heavy metal sedimentary record in a Galician Ria (NW Spain): Background values and recent contamination. Mar. Pollut. Bull. 2003, 46, 1253–1262. [Google Scholar] [CrossRef]
- Rodríguez, J.G.; Tueros, I.; Borja, A.; Belzunce, M.J.; Franco, J.; Solaun, O.; Valencia, V.; Zuazo, A. Maximum likelihood mixture estimation to determine metal background values in estuarine and coastal sediments within the European Water Framework Directive. Sci. Total Environ. 2006, 370, 278–293. [Google Scholar] [CrossRef]
- Li, J.; Wu, Y. Historical changes of soil metal background values in select areas of China. Water Air Soil Pollut. 1991, 57–58, 755–761. [Google Scholar] [CrossRef]
- Nsouli, B.; Darwish, T.; Thomas, J.P.; Zahraman, K.; Roumié, M. Ni Cu Zn and Pb background values determination in representative Lebanese soil using the thick target PIXE technique. Nucl. Instrum. Methods Phys. Res. B 2003, 219, 181–186. [Google Scholar] [CrossRef]
- Ward, R.C. Development and use of water quality criteria and standards in the United States. Reg. Environ. Chang. 2001, 2, 66–72. [Google Scholar] [CrossRef]
- Chen, J.; He, D.; Zhang, Y. Is COD a suitable parameter to evaluate the water pollution in the Yellow river? Environ. Chem. 2003, 22, 611–614. (In Chinese) [Google Scholar]
- Chen, J.; Zhang, Y.; Yu, T.; He, D. A study on dissolution and bio-degradation of organic matter in sediments from the Yellow River. Acta Sci. Circumstantiae 2004, 24, 1–5. (In Chinese) [Google Scholar]
- Chen, J.; Zhang, Y.; Yu, T.; He, D. Influences of the suspended matter on the water quality parameters including COD, Potassium Permanganate Index and BOD 5 in the Yellow River, China. Acta Sci. Circumstantiae 2004, 24, 369–375. (In Chinese) [Google Scholar]
- Chen, J.; Zhang, Y.; Yu, T.; He, D. Problem and solution in assessing the oxygen-demanding organic matters of the Yellow River, China. Acta Sci. Circumstantiae 2005, 25, 279–284. (In Chinese) [Google Scholar]
- Jacinthe, P.A.; Lal, R.; Owens, L.B.; Hothem, D.L. Transport of labile carbon in runoff as affected by land use and rainfall characteristics. Soil Tillage Res. 2004, 77, 111–123. [Google Scholar] [CrossRef]
- Jordán, A.; Martínez-Zavala, L. Soil loss and runoff rates on unpaved forest roads in southern Spain after simulated rainfall. For. Ecol. Manag. 2008, 255, 919. [Google Scholar] [CrossRef]
- Du, Z.; Cai, Y.; Wang, X.; Yan, Y.; Lu, X.; Liu, S. Research progress on the effects of soil freeze-thaw on plant physiology and ecology. Chin. J. Eco-Agric. 2014, 22, 1–9. [Google Scholar] [CrossRef]
- Zhu, J.; He, X.; Wu, F.; Yang, W.; Tan, B. Decomposition of Abies faxoniana litter varies with freeze–thaw stages and altitudes in subalpine/alpine forests of southwest China. Scand. J. For. Res. 2012, 27, 11. [Google Scholar] [CrossRef]
- Wu, F.; Yang, W.; Zhang, J.; Deng, R. Litter decomposition in two subalpine forests during the freeze–thaw season. Can. J. For. Res. 2010, 36, 135–140. [Google Scholar] [CrossRef]
- Liu, R.M.; Yang, Z.F.; Shen, Z.Y.; Yu, S.L.; Ding, X.W.; Wu, X.; Liu, F. Estimating Nonpoint Source Pollution in the Upper Yangtze River Using the Export Coefficient Model, Remote Sensing, and Geographical Information System. J. Hydraul. Eng. 2009, 135, 698–704. [Google Scholar] [CrossRef]
- Wu, L.; Li, P.; Ma, X.Y. Estimating nonpoint source pollution load using four modified export coefficient models in a large easily eroded watershed of the loess hilly–gully region, China. Environ. Earth Sci. 2016, 75, 1056. [Google Scholar] [CrossRef]
- Wu, Q.; Liu, M.; Wang, X.; Di, L.; Kang, L.; Lin, L. Assessing the water environmental capacity of pollution consumption in Jiulong River Basin. In Proceedings of the Fourth International Conference on Agro-geoinformatics, Istanbul, Turkey, 20–24 July 2015. [Google Scholar]
- Zhang, R.; Qian, X.; Yuan, X.; Ye, R.; Xia, B.; Wang, Y. Simulation of Water Environmental Capacity and Pollution Load Reduction Using QUAL2K for Water Environmental Management. Int. J. Environ. Res. Public Health 2012, 9, 4504–4521. [Google Scholar] [CrossRef]
- Chen, Y.; Yuan, Q.; Han, F.; Zhou, L.; Hong, S. Estimation of Non-point Source Pollution Load of Yangtze Watershed Based on Improved Export Coefficient Model. J. Geomat. 2017, 42, 96–99. (In Chinese) [Google Scholar]
- Zhang, C.; Liu, Z.; Zhang, G. A Study of the Agricultural Non-point Sources of Ammonia Nitrogen Load in Henan Province Based on the Export Coefficient Method. China Rural Water Hydropower 2017, 10, 35–39. (In Chinese) [Google Scholar]










| Number | Type | Standard | Permissible Maximum Value (mg/L) | Remarks | |
|---|---|---|---|---|---|
| COD | NH3-N | ||||
| a | River source water reserve | Ⅱ | 15 | 0.5 | a: Delimited waters of great significance for the protection of water resources, natural ecosystems and rare and endangered species; b,e: Water demarcated to meet industrial water use and agricultural irrigation needs; c,f,h,i: Water delimited for the purpose of accepting production and discharge from sewage outlets of domestic wastewater; the wastewater accepted does not have a significant adverse impact on the water environment; d,g: Water area delimited to meet the transition water quality standards in lines connecting adjacent water functional zones with great differences in water quality. |
| b | Agricultural and industrial water use zoning | Ⅳ | 30 | 1.5 | |
| c | Discharge control zoning | / | |||
| d | Transition zoning | Ⅳ | 30 | 1.5 | |
| e | Industrial water use zoning | Ⅳ | 30 | 1.5 | |
| f | Discharge control zoning | / | |||
| g | Transition zoning | Ⅴ | 40 | 2 | |
| h | Discharge control zoning | / | |||
| i | Discharge control zoning | / | |||
| Data Types | Purpose | Sources |
|---|---|---|
| Land-use types | Model structure | Landsat 8 OLI interpretation of satellite remote sensing images |
| Precipitation | Analysis of rainfall impact | National Meteorological Information Centre (http://data.cma.cn/) |
| Topographic data | Terrain division and watershed division | National Geographic Centre; Geospatial data cloud (http://www.gscloud.cn/sources/) |
| Water quality and quantity data | Estimation of pollutant output and evaluation of water quality | Yichun Water Environment Monitoring Centre (H1–H3); Heilongjiang Hydrological Bureau (S1–S9); Project Research Group (1–18) |
| Socio-economic data | Statistics of sewage discharge data | Statistical yearbook |
| Year | Area | Forest and Grassland (t/km2a) | Farmland (t/km2a) | ||
|---|---|---|---|---|---|
| COD | NH3-N | COD | NH3-N | ||
| 2011 | Upstream reaches | 31.7 | 0.52 | / | / |
| 2012 | 22.6 | 0.51 | / | / | |
| 2013 | 29.9 | 0.37 | / | / | |
| 2011 | Middle reaches | 28.1 | 0.47 | 15.5 | 1.93 |
| 2012 | 28.1 | 0.47 | 14.4 | 3.07 | |
| 2013 | 28.1 | 0.47 | 23.7 | 1.02 | |
| 2011 | Lower reaches | 28.1 | 0.47 | 7.2 | 0.54 |
| 2012 | 28.1 | 0.47 | 21.3 | 2.96 | |
| 2013 | 28.1 | 0.47 | 12.5 | 1.08 | |
| Average | 28.1 | 0.47 | 15.8 | 1.77 | |
© 2019 by the authors. Licensee MDPI, Basel, Switzerland. This article is an open access article distributed under the terms and conditions of the Creative Commons Attribution (CC BY) license (http://creativecommons.org/licenses/by/4.0/).
Share and Cite
Duan, M.; Du, X.; Peng, W.; Zhang, S.; Yan, L. Necessity of Acknowledging Background Pollutants in Management and Assessment of Unique Basins. Water 2019, 11, 1103. https://doi.org/10.3390/w11051103
Duan M, Du X, Peng W, Zhang S, Yan L. Necessity of Acknowledging Background Pollutants in Management and Assessment of Unique Basins. Water. 2019; 11(5):1103. https://doi.org/10.3390/w11051103
Chicago/Turabian StyleDuan, Maoqing, Xia Du, Wenqi Peng, Shijie Zhang, and Liuqing Yan. 2019. "Necessity of Acknowledging Background Pollutants in Management and Assessment of Unique Basins" Water 11, no. 5: 1103. https://doi.org/10.3390/w11051103
APA StyleDuan, M., Du, X., Peng, W., Zhang, S., & Yan, L. (2019). Necessity of Acknowledging Background Pollutants in Management and Assessment of Unique Basins. Water, 11(5), 1103. https://doi.org/10.3390/w11051103
