A Unified Equation to Predict the Permeability of Rough Fractures via Lattice Boltzmann Simulation
Abstract
1. Introduction
2. Methodology
2.1. Lattice Boltzmann Method (LBM)
2.2. Characterization of Fracture Roughness
2.2.1. Joint Roughness Coefficient
2.2.2. Fractal Theory
2.3. Numerical Implement of Rough Fracture in the LBM
3. Numerical Study of Fluid Flow through Rough Fractures
3.1. Numerical Validation
3.2. Fluid Flow through a Fractured Model with Roughness
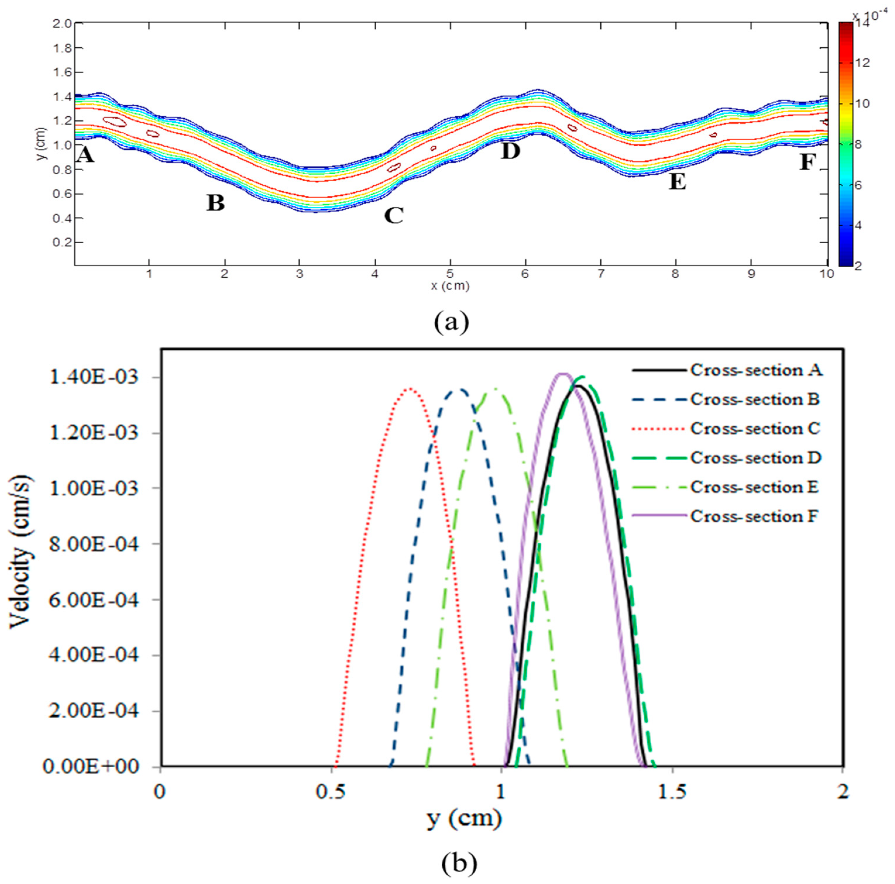
3.2.1. Rough Fracture Characterized by the JRC
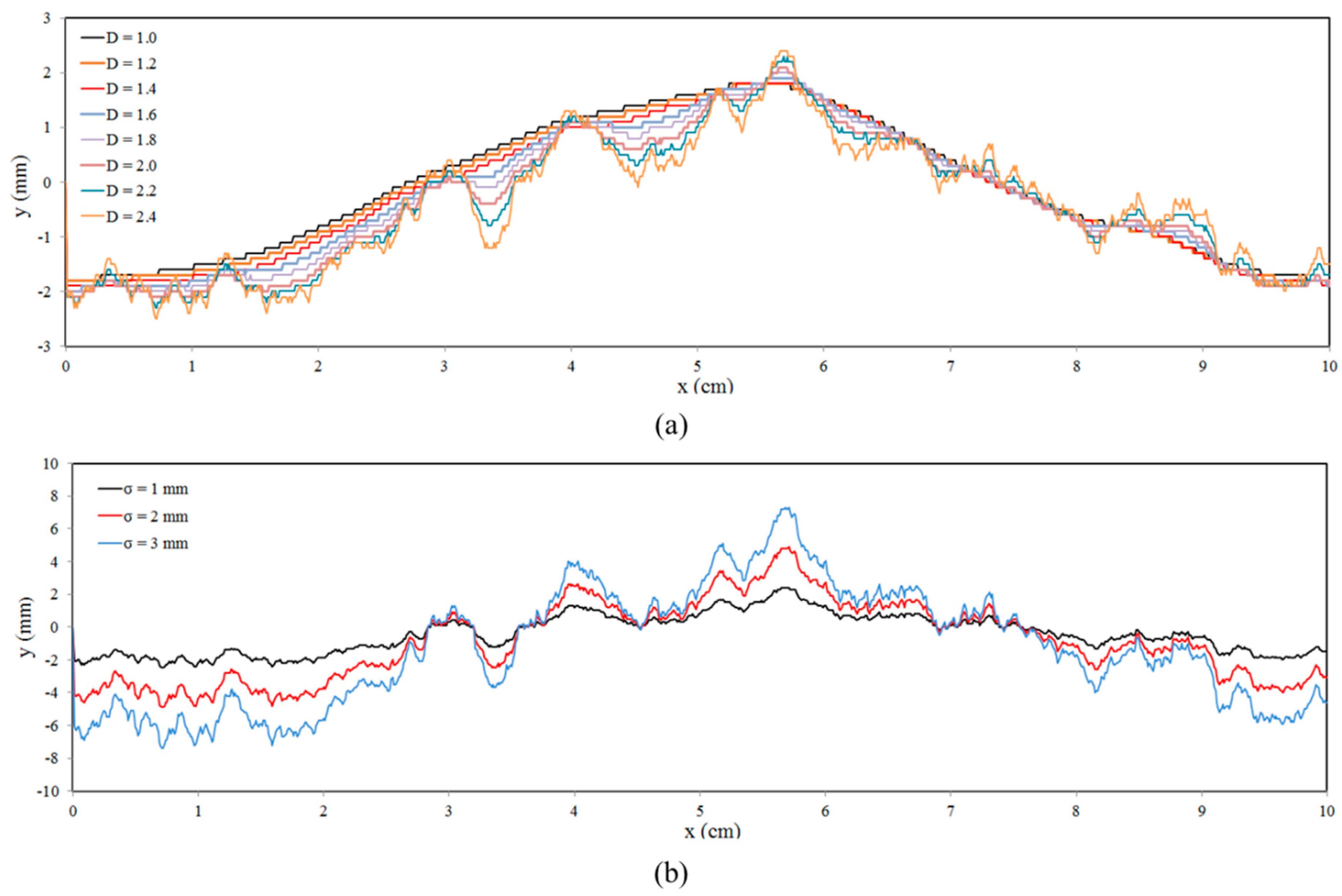
3.2.2. Rough Fracture Characterized by Fractal Dimension and Standard Deviation
4. Conclusions
- (1)
- The JRC is not an ideal choice to characterize the fluid flow in fractures and the permeability increases with the JRC at the values of 8~12 and 14~16, which is inconsistent with the roughness characterization.
- (2)
- The root mean square of the first derivative of profile (Z2) is found to be an effective parameter that shows good agreement between the roughness and permeability, and the correction factor increases with aperture and deceases with roughness represented by Z2.
- (3)
- An equation with a simple form has been proposed to estimate the permeability from aperture and Z2, and the applicability of the proposed equation is also validated from fluid flow in a synthetic fracture of a wide range of fractal dimensions and standard deviations.
- (4)
- The critical value of Z2 (0.5) on the estimation of permeability in fractures has been obtained, and the proposed equation has been improved to characterize flow behavior at a large degree of roughness.
Author Contributions
Funding
Conflicts of Interest
References
- Lomize, G.M. Flow in Fractured Rocks; Gosenergoizdat: Moscow, Russian, 1951. [Google Scholar]
- Louis, C. A study of groundwater flow in jointed rock and its influence on the stability of rock masses, Imperial College. Rock Mech. Res. Rep. 1969, 10, 1–90. [Google Scholar]
- Witherspoon, P.A.; Wang, J.S.Y.; Iwai, K.; Gale, J.E. Validity of Cubic Law for fluid flow in a deformable rock fracture. Water Resour. Res. 1908, 16, 1016–1024. [Google Scholar] [CrossRef]
- Tsang, Y.W. The effect of tortuosity on fluid flow through a single fracture. Water Resour. Res. 1984, 20, 1209–1215. [Google Scholar] [CrossRef]
- Brown, S.R. Transport of fluid and electric current through a single fracture. J. Geophys. Res. Solid Earth 1989, 94, 9429–9438. [Google Scholar] [CrossRef]
- Zimmerman, R.W.; Bodvarsson, G.S. Hydraulic conductivity of rock fractures. Transp. Por. Med. 1996, 23, 1–30. [Google Scholar] [CrossRef]
- Barton, N.; Quadros, E.F. Joint aperture and roughness in the prediction of flow and groutability of rock masses. Int. J. Rock Mech. Min. Sci. 1997, 34, 525. [Google Scholar] [CrossRef]
- Murata, S.; Saito, T. Estimation of Tortuosity of Fluid Flow Through a Single Fracture. J. Can. Pet. Technol. 2003, 42, 39–45. [Google Scholar] [CrossRef]
- Min, K.B.; Rutqvist, J.; Tsang, C.F.; Jing, L. Stress-dependent permeability of fractured rock masses: A numerical study. Int. J. Rock Mech. Min. Sci. 2004, 41, 1191–1210. [Google Scholar] [CrossRef]
- Rasouli, V.; Hosseinian, A. Correlations developed for estimation of hydraulic parameters of rough fractures through the simulation of JRC flow channels. Rock Mech. Rock Eng. 2011, 44, 447–461. [Google Scholar] [CrossRef]
- Xiong, X.; Li, B.; Jiang, Y.; Koyama, T.; Zhang, C. Experimental and numerical study of the geometrical and hydraulic characteristics of a single rock fracture during shear. Int. J. Rock Mech. Min. Sci. 2011, 48, 1292–1302. [Google Scholar] [CrossRef]
- Indraratna, B.; Kumara, C.; Zhu, S.P.; Sloan, S.W. Mathematical Modeling and Experimental Verification of Fluid Flow through Deformable Rough Rock Joints. Int. J. Geomech. 2015, 15, 04014065. [Google Scholar] [CrossRef]
- Roy, D.G.; Singh, T.N. A Numerical Study of the Effect of Surface Roughness on the Fluid Flow through Rock Joint. In Proceedings of the GEOINDIA 2015 & 3rd South Asian Geosciences Conference and Exhibition, New Delhi, India, 11–14 January 2015. [Google Scholar]
- Ma, J.; Zhao, G.; Khalili, N. A fully coupled flow deformation model for elasto-plastic damage analysis in saturated fractured porous media. Int. J. Plast. 2016, 76, 29–50. [Google Scholar] [CrossRef]
- Ma, J.; Wang, J. A Stress-Induced Permeability Evolution Model for Fissured Porous Media. Rock Mech. Rock Eng. 2016, 49, 477–485. [Google Scholar] [CrossRef]
- Chen, Y.; Liang, W.; Lian, H.; Wang, J.; Nguyen, V.P. Experimental study on the effect of fracture geometric characteristics on the permeability in deformable rough-walled fractures. Int. J. Rock Mech. Min. Sci. 2017, 98, 121–140. [Google Scholar] [CrossRef]
- Niya, S.M.R.; Selvadurai, A.P.S. Correlation of joint roughness coefficient and permeability of a fracture. Int. J. Rock Mech. Min. Sci. 2019, 113, 150–162. [Google Scholar] [CrossRef]
- Chen, S.; Dooolen, G.D. Lattice Boltzmann method for fluid flows. Annu. Rev. Fluid Mech. 1998, 30, 329–364. [Google Scholar] [CrossRef]
- Guo, Z.; Shi, B.; Wang, N. Lattice BGK model for incompressible Navier-Stokes Equation. J. Comput. Phys. 2000, 165, 288–306. [Google Scholar] [CrossRef]
- Latt, J. Choice of Units in Lattice Boltzmann Simulations. Available online: www.lbmethod.org (accessed on 15 April 2008).
- Yan, Y.; Zu, Y.; Dong, B. LBM, a useful tool for mesoscale modelling of single-phase and multiphase flow. Appl. Therm. Eng. 2011, 31, 649–655. [Google Scholar] [CrossRef]
- Eker, E.; Akin, S. Lattice Boltzmann Simulation of Fluid Flow in Synthetic Fractures. Transp. Por. Med. 2006, 65, 363–384. [Google Scholar] [CrossRef]
- Wang, M.; Chen, Y.F.; Ma, G.W.; Zhou, J.Q.; Zhou, C.B. Influence of surface roughness on nonlinear flow behaviors in 3D self-affine rough fractures: Lattice Boltzmann simulations. Adv. Water Resour. 2016, 96, 373–388. [Google Scholar] [CrossRef]
- Ju, Y.; Zhang, Q.; Zheng, J.; Chang, C.; Xie, H. Fractal model and Lattice Boltzmann method for characterization of non-Darcy flow in rough fractures. Sci. Rep. 2017, 7, 41380. [Google Scholar] [CrossRef]
- Dou, Z.; Zhou, Z. Lattice Boltzmann simulation of solute transport in a single rough fracture. Water Sci. Eng. 2014, 7, 277–287. [Google Scholar]
- Bakhshian, S.; Hosseini, S.A. Pore–scale analysis of supercritical CO2–brine immiscible displacement under fractional–wettability conditions. Adv. Water Res. 2019, 126, 96–107. [Google Scholar] [CrossRef]
- Bakhshian, S.; Hosseini, S.A.; Shokri, N. Pore-scale characteristics of multiphase flow in heterogeneous porous media using the lattice Boltzmann method. Sci. Rep. 2019, 9, 3377. [Google Scholar] [CrossRef]
- Barton, N.; Choubey, V. The shear strength of rock joints in theory and practice. Rock Mech. 1977, 10, 1–54. [Google Scholar] [CrossRef]
- Brown, S.R. Simple mathematical model of a rough fracture. J. Geophys. Res. Solid Earth 1995, 100, 5941–5952. [Google Scholar] [CrossRef]
- Ogilvie, S.R.; Isakov, E.; Glover, P.W.J. Fluid flow through rough fractures. II: A new matching model for rough rock fractures. Earth Planet Sci. Lett. 2006, 241, 454–465. [Google Scholar] [CrossRef]
- Zou, Q.; He, X. On pressure and velocity flow boundary conditions for the lattice Boltzmann BGK model. Phys. Fluids. 1996, 9, 1591–1598. [Google Scholar] [CrossRef]
- Bakhshian, S.; Sahimi, M. Computer simulation of the effect of deformation on the morphology and flow properties of porous media. Phys. Rev. E 2016, 94, 042903. [Google Scholar] [CrossRef]
- Snow, D. A Parallel Plate Model of Fractured Permeable Media. Ph.D. Thesis, University of California, Berkeley, CA, USA, 1965. [Google Scholar]
- Myers, N. Characterization of surface roughness. Wear 1962, 5, 182–189. [Google Scholar] [CrossRef]
- Li, Y.; Zhang, Y. Quantitative estimation of joint roughness coefficient using statistical parameters. Int. J. Rock Mech. Min. Sci. 2015, 77, 27–35. [Google Scholar] [CrossRef]












| Parameters | Physical Model | Dimensionless Model | Lattice Model |
|---|---|---|---|
| Reynolds number, Re | 100 | 100 | 100 |
| Model length, Lx | 10 cm | 10 | 1001 |
| Model width, Ly | 2 cm | 2 | 201 |
| Reference velocity, u | 0.01 cm/s | 0.01 | 1 |
| Density, | 1.0 g/cm3 | 1.0 | 1.0 |
| Viscosity, 1.0 | 0.01 cm/s | 0.01 | - |
| Relaxation time, | - | - | 0.53 |
| Grid spacing, dx | - | 0.01 | 1 |
| Time step, dt | - | 0.0001 | 1 |
| Pressure gradient, ∆P/L | - |
| Fractal Dimension | Standard Deviation (cm) | Aperture, h (cm) |
|---|---|---|
| 1.0; 1.2; 1.4; 1.6 1.8; 2.0;2.2;2.4 | 0.1; 0.2; 0.3 | 0.1; 0.2; 0.3; 0.4 |
© 2019 by the authors. Licensee MDPI, Basel, Switzerland. This article is an open access article distributed under the terms and conditions of the Creative Commons Attribution (CC BY) license (http://creativecommons.org/licenses/by/4.0/).
Share and Cite
Yin, P.; Zhao, C.; Ma, J.; Huang, L. A Unified Equation to Predict the Permeability of Rough Fractures via Lattice Boltzmann Simulation. Water 2019, 11, 1081. https://doi.org/10.3390/w11051081
Yin P, Zhao C, Ma J, Huang L. A Unified Equation to Predict the Permeability of Rough Fractures via Lattice Boltzmann Simulation. Water. 2019; 11(5):1081. https://doi.org/10.3390/w11051081
Chicago/Turabian StyleYin, Peijie, Can Zhao, Jianjun Ma, and Linchong Huang. 2019. "A Unified Equation to Predict the Permeability of Rough Fractures via Lattice Boltzmann Simulation" Water 11, no. 5: 1081. https://doi.org/10.3390/w11051081
APA StyleYin, P., Zhao, C., Ma, J., & Huang, L. (2019). A Unified Equation to Predict the Permeability of Rough Fractures via Lattice Boltzmann Simulation. Water, 11(5), 1081. https://doi.org/10.3390/w11051081
