The Effect of Flooding on Evaporation and the Groundwater Table for a Salt-Crusted Soil
Abstract
1. Introduction
2. Materials and Method
2.1. Study Area
2.2. Experiment Design
2.3. Soil Properties
3. Results
3.1. Evaporation
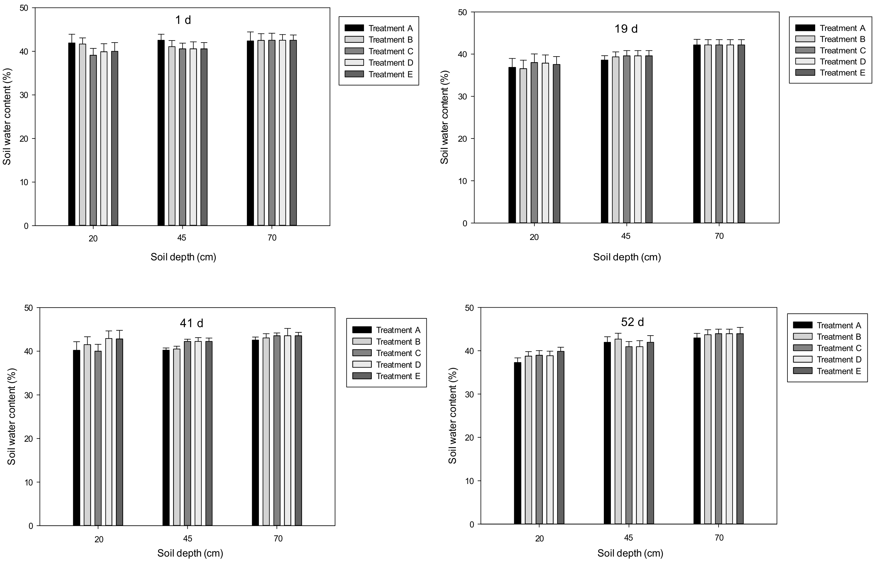
3.2. Groundwater Table and Soil Water Content
4. Discussion
5. Conclusions
Author Contributions
Funding
Conflicts of Interest
References
- Gran, M.; Carrera, J.; Massana, J.; Saaltink, M.W.; Olivella, S.; Ayora, C.; Lloret, A. Dynamics of water vapor flux and water separation processes during evaporation from a salty dry soil. J. Hydrol. 2011, 396, 215–220. [Google Scholar] [CrossRef]
- Shimojima, E.; Yoshioka, R.; Tamagawa, I. Salinization owing to evaporation from bare-soil srufaces and its infuluence on the evaporation. J. Hydrol. 1996, 178, 109–136. [Google Scholar] [CrossRef]
- Rose, D.A.; Konukcu, F.; Gowing, J.W. Effect of watertable depth on evaporation and salt accumulation from saline groundwater. Aust. J. Soil Res. 2005, 43. [Google Scholar] [CrossRef]
- Howari, F.M.; Goodell, P.C.; Miyamoto, S. Spectral properties of salt crusts formed on saline soils. J. Environ. Qual. 2002, 31, 1453–1461. [Google Scholar] [CrossRef]
- Nachshon, U. Cropland Soil Salinization and Associated Hydrology: Trends, Processes and Examples. Water 2018, 10, 1030. [Google Scholar] [CrossRef]
- Singer, A.; Banin, A.; Poberejzsky, L.; Gilenko, M. Soil Crusts in the Amudarya River Delta: Properties and Formation. In Sustainable Land Use in Deserts; Breckle, S.-W., Veste, M., Wucherer, W., Eds.; Springer-Verlag: Berlin/Heidelberg, Germany, 2001. [Google Scholar]
- Argaman, E.; Singer, A.; Tsoar, H. Erodibility of some crust forming soils/sediments from the Southern Aral Sea Basin as determined in a wind tunnel. Earth Surf. Process. Landf. 2006, 31, 47–63. [Google Scholar] [CrossRef]
- Langston, G.; Neuman, C.M. An experimental study on the susceptibility of crusted surfaces to wind erosion: A comparison of the strength properties of biotic and salt crusts. Geomorphology 2005, 72, 40–53. [Google Scholar] [CrossRef]
- Kampf, S.K.; Tyler, S.W.; Ortiz, C.A.; Munoz, J.F.; Adkins, P.L. Evaporation and land surface energy budget at the Salar de Atacama, Northern Chile. J. Hydrol. 2005, 310, 236–252. [Google Scholar] [CrossRef]
- Tyler, S.W.; Kranz, S.; Parlange, M.B.; Albertson, J.; Katul, G.G.; Cochran, G.F.; Lyles, B.A.; Holder, G. Estimation of groundwater evaporation and salt flux from Owens lake, California, USA. J. Hydrol. 1997, 200, 110–135. [Google Scholar] [CrossRef]
- Nachshon, U.; Weisbrod, N.; Dragila, M.I.; Grader, A. Combined evaporation and salt precipitation in homogeneous and heterogeneous porous media. Water Resour. Res. 2011, 47. [Google Scholar] [CrossRef]
- Fujimaki, H.; Shimano, T.; Inoue, M.; Nakane, K. Effect of a salt crust on evaporation from a bare saline soil. Vadose Zone J. 2006, 5, 1246–1256. [Google Scholar] [CrossRef]
- Yang, J.-L.; Zhang, G.-L.; Yang, F.; Yang, R.-M.; Yi, C.; Li, D.-C.; Zhao, Y.-G.; Liu, F. Controlling effects of surface crusts on water infiltration in an arid desert area of Northwest China. J. Soils Sediments 2016, 16, 2408–2418. [Google Scholar] [CrossRef]
- Srivastava, D.S.; Jefferies, R.L. A Positive Feedback: Herbivory, Plant Growth, Salinity, and the Desertification of an Arctic Salt-Marsh. J. Ecol. 1996, 84, 31. [Google Scholar] [CrossRef]
- Duan, Z.; He, Y.; Zhao, A.; Zhang, X. Study on Soil Salinity Change Under Irrigation in Takelamagan Desert. J. Arid Land Resour. Environ. 2000, 14, 65–70. [Google Scholar] [CrossRef]
- Eloukabi, H.; Sghaier, N.; Ben Nasrallah, S.; Prat, M. Experimental study of the effect of sodium chloride on drying of porous media: The crusty–patchy efflorescence transition. Int. J. Heat Mass Transf. 2013, 56, 80–93. [Google Scholar] [CrossRef]
- Nachshon, U.; Shahraeeni, E.; Or, D.; Dragila, M.; Weisbrod, N. Infrared thermography of evaporative fluxes and dynamics of salt deposition on heterogeneous porous surfaces. Water Resour. Res. 2011, 47. [Google Scholar] [CrossRef]
- Nachshon, U.; Weisbrod, N. Beyond the Salt Crust: On Combined Evaporation and Subflorescent Salt Precipitation in Porous Media. Transp. Porous Media 2015, 110, 295–310. [Google Scholar] [CrossRef]
- Maestre, F.T.; Bowker, M.A.; Canton, Y.; Castillo-Monroy, A.P.; Cortina, J.; Escolar, C.; Escudero, A.; Lazaro, R.; Martinez, I. Ecology and functional roles of biological soil crusts in semi-arid ecosystems of Spain. J. Arid Environ. 2011, 75, 1282–1291. [Google Scholar] [CrossRef]
- Li, X.; Feng, G.; Zhao, C.; Shi, F. Characteristics of soil infiltration in the Tarim River floodplain. Environm. Earth Sci. 2016, 75, 782. [Google Scholar] [CrossRef]
- Belnap, J. Comparative Structure of Physical and Biological Soil Crusts; Belnap, J., Lange, O.L., Eds.; Springer: Berlin/Heidelberg, Germany, 2001. [Google Scholar]
- Levy, G.J. Crusting. In Soil Management: Building a Stable Base for Agriculture; Hatfield, J.L., Sauer, T.J., Eds.; American Society of Agronomy and Soil Science Society of America: Madison, WI, USA, 2011. [Google Scholar]
- Chen, X.Y. Evaporation from a Salt-Encrusted Sediment Surface—Field and Laboratory Studies. Aust. J. Soil Res. 1992, 30, 429–442. [Google Scholar] [CrossRef]
- Zhang, J.G.; Xu, X.W.; Lei, J.Q.; Li, S.Y.; Hill, R.L.; Zhao, Y. The effects of soil salt crusts on soil evaporation and chemical changes in different ages of Taklimakan Desert Shelterbelts. J. Soil Sci. Plant Nutr. 2013, 13, 1019–1028. [Google Scholar] [CrossRef]
- Malek, E.; Bingham, G.E. Comparison of the Bowen ratio energy balance and the water balance methods for the measurement of evaporation. J. Hydrol. 1993, 146, 209–220. [Google Scholar] [CrossRef]
- Parlange, M.B.; Eichenger, W.L.; Albertson, J.D. Regional scale evaporation and the atmospheric boundary layer. Rev. Geophys. 1995, 33, 99–124. [Google Scholar] [CrossRef]
- Groeneveld, D.P.; Huntington, J.L.; Barz, D.D. Floating brine crusts, reduction of evaporation and possible replacement of fresh water to control dust from Owens Lake bed, California. J. Hydrol. 2010, 392, 211–218. [Google Scholar] [CrossRef]
- Hernández-López, M.F.; Gironás, J.; Braud, I.; Suárez, F.; Muñoz, J.F. Assessment of evaporation and water fluxes in a column of dry saline soil subject to different water table levels. Hydrol. Process. 2014, 28, 3655–3669. [Google Scholar] [CrossRef]
- Nachshon, U.; Weisbrod, N.; Katzir, R.; Nasser, A. NaCl Crust Architecture and Its Impact on Evaporation: Three-Dimensional Insights. Geophys. Res. Lett. 2018, 45, 6100–6108. [Google Scholar] [CrossRef]
- Dai, S.; Shin, H.; Santamarina, J.C. Formation and development of salt crusts on soil surfaces. Acta Geotech. 2015, 11, 1103–1109. [Google Scholar] [CrossRef]
- Sghaier, N.; Prat, M. Effect of Efflorescence Formation on Drying Kinetics of Porous Media. Transp. Porous Media 2009, 80, 441–454. [Google Scholar] [CrossRef]
- Zhang, G.; Feng, G.; Li, X.; Xie, C.; Pi, X. Flood Effect on Groundwater Recharge on a Typical Silt Loam Soil. Water 2017, 9, 523. [Google Scholar] [CrossRef]
- Lowenstein, T.K.; Hardie, L.A. Criteria for the recognition of salt-pan evaporites. Sedinientology 1985, 32, 327–644. [Google Scholar] [CrossRef]
- Olivella, S.; Carrera, J.; Gens, A.; Alonso, E.E. Porosity Variations in Saline Media Caused by Temperature Gradients Coupled to Multiphase Flow and Dissolution/Precipitation. Transp. Porous Media 1996, 25, 1–25. [Google Scholar] [CrossRef]
- Goodall, T.M.; North, C.P.; Glennie, K.W. Surface and subsurface sedimentary structures produced by salt crusts. Sedimentology 2000, 47, 99–118. [Google Scholar] [CrossRef]
- Weisbrod, N.; Dragila, M.I. Potential impact of convective fracture venting on salt-crust buildup and ground-water salinization in arid environments. J. Arid Environ. 2006, 65, 386–399. [Google Scholar] [CrossRef]
- Malek, E. Comparison of the Bowen Ratio-Energy Balance and Stability-Corrected Aerodynamic Methods for Measurement of Evapotranspiration. Theor. Appl. Climatol. 1993, 48, 167–178. [Google Scholar] [CrossRef]
- Li, Z.; Liu, Z. Distribution of the Soil Moisture (0–15 cm) During the Soil Drifting in the Lower Reach of Tarim River. Sci. Geogr. Sin. 2012, 32, 511–515. [Google Scholar] [CrossRef]
- Li, X.H.; Feng, G.L.; Zhao, C.Y.; Zheng, Z.H. Fine-Particle Emission Potential From Overflowing Areas of the Tarim River. Soil Sci. 2013, 178, 556–567. [Google Scholar] [CrossRef]
- Klute, S.; Dirksen, C. Hydraulic Conductivity and Diffusivity: Laboratory Methods; ASA and SSSA: Madison, WI, USA, 1986. [Google Scholar]
- Chen, Y.N.; Li, W.H.; Xu, C.C.; Ye, Z.X.; Chen, Y.P. Desert riparian vegetation and groundwater in the lower reaches of the Tarim River basin. Environ. Earth Sci. 2015, 73, 547–558. [Google Scholar] [CrossRef]
- Idso, S.B.; Reginato, R.J.; Jackson, R.D.; Kimball, B.; Nakayama, F.S. The three stages of drying of a field soil. Soil Sci. Soc. Am. Proc. 1974, 38, 831–837. [Google Scholar] [CrossRef]
- Konukcu, F.; Istanbulluoglu, A.; Kocaman, I. Determination of water content in drying soils: Incorporating transition from liquid phase to vapour phase. Soil Res. 2004, 42. [Google Scholar] [CrossRef]
- Gowing, J.W.; Konukcu, F.; Rose, D.A. Evaporative flux from a shallow watertable: The influence of a vapour–liquid phase transition. J. Hydrol. 2006, 321, 77–89. [Google Scholar] [CrossRef]
- Espinosa, R.M.; Franke, L.; Deckelmann, G. Phase changes of salts in porous materials: Crystallization, hydration and deliquescence. Constr. Build. Mater. 2008, 22, 1758–1773. [Google Scholar] [CrossRef]
- Shokri-Kuehni, S.M.S.; Vetter, T.; Webb, C.; Shokri, N. New insights into saline water evaporation from porous media: Complex interaction between evaporation rates, precipitation, and surface temperature. Geophys. Res. Lett. 2017, 44, 5504–5510. [Google Scholar] [CrossRef]
- Xu, H.; Zhang, P.; Zhao, X.; Zhang, P.; Ling, H. Effect of River-flooding on soil salinity in Lower Reaches of Tarim River. Bull. Soil Water Conserv. 2016, 36, 1–6. [Google Scholar] [CrossRef]
- Saito, H.; Simunek, J.; Mohanty, B.P. Numerical analysis of coupled water, vapor, and heat transport in the vadose zone. Vadose Zone J. 2006, 5, 784–800. [Google Scholar] [CrossRef]
- Sakai, M.; Toride, N.; Simunek, J. Water and Vapor Movement with Condensation and Evaporation in a Sandy Column. Soil Sci. Soc. Am. J. 2009, 73, 707–717. [Google Scholar] [CrossRef]
- Li, X.P.; Chang, S.X.; Salifu, K.F. Soil texture and layering effects on water and salt dynamics in the presence of a water table: A review. Environ. Rev. 2014, 22, 41–50. [Google Scholar] [CrossRef]
- Gardner, W.R. Some steady-state solutions of the unsaturated moisture flow with applications to evaporation from a water table. Soil Sci. 1958, 85, 228–232. [Google Scholar] [CrossRef]
- Hu, S.; Zhao, R.; Tian, C.; Song, Y. Empirical models of calculating phreatic evaporation from bare soil in Tarim river basin, Xinjiang. Environ. Earth Sci. 2009, 59, 663–668. [Google Scholar] [CrossRef]
- Gran, M.; Carrera, J.; Olivella, S.; Saaltink, M.W. Modeling evaporation processes in a saline soil from saturation to oven dry conditions. Hydrol. Earth Syst. Sci. 2011, 15, 2077–2089. [Google Scholar] [CrossRef]






© 2019 by the authors. Licensee MDPI, Basel, Switzerland. This article is an open access article distributed under the terms and conditions of the Creative Commons Attribution (CC BY) license (http://creativecommons.org/licenses/by/4.0/).
Share and Cite
Li, X.; Shi, F. The Effect of Flooding on Evaporation and the Groundwater Table for a Salt-Crusted Soil. Water 2019, 11, 1003. https://doi.org/10.3390/w11051003
Li X, Shi F. The Effect of Flooding on Evaporation and the Groundwater Table for a Salt-Crusted Soil. Water. 2019; 11(5):1003. https://doi.org/10.3390/w11051003
Chicago/Turabian StyleLi, Xinhu, and Fengzhi Shi. 2019. "The Effect of Flooding on Evaporation and the Groundwater Table for a Salt-Crusted Soil" Water 11, no. 5: 1003. https://doi.org/10.3390/w11051003
APA StyleLi, X., & Shi, F. (2019). The Effect of Flooding on Evaporation and the Groundwater Table for a Salt-Crusted Soil. Water, 11(5), 1003. https://doi.org/10.3390/w11051003
