Next Article in Journal
Effects of Climate Change and Flow Regulation on the Flow Characteristics of a Low-Relief River within Southern Boreal Climate Area
Previous Article in Journal
The Influence of Urban Flooding on Residents’ Daily Travel: A Case Study of Macau with Proposed Ameliorative Strategies
Previous Article in Special Issue
The Effect of Flooding on Evaporation and the Groundwater Table for a Salt-Crusted Soil
 
 
Font Type:
Arial Georgia Verdana
Font Size:
Aa Aa Aa
Line Spacing:
Column Width:
Background:
Article

Estimation of Unsaturated Hydraulic Conductivity of Granular Soils from Particle Size Parameters

1
School of Civil Engineering, Shandong University, Jinan 250061, China
2
School of Civil Engineering, University of Leeds, Leeds LS2 9JT, UK
*
Authors to whom correspondence should be addressed.
Water 2019, 11(9), 1826; https://doi.org/10.3390/w11091826
Submission received: 26 July 2019 / Revised: 13 August 2019 / Accepted: 28 August 2019 / Published: 31 August 2019
(This article belongs to the Special Issue Soil and Water Quality: Transport through Soil)

Abstract

Estimation of unsaturated hydraulic conductivity could benefit many engineering or research problems such as water flow in the vadose zone, unsaturated seepage and capillary barriers for underground waste isolation. The unsaturated hydraulic conductivity of a soil is related to its saturated hydraulic conductivity value as well as its water retention behaviour. By following the first author’s previous work, the saturated hydraulic conductivity and water retention curve (WRC) of sandy soils can be estimated from their basic gradation parameters. In this paper, we further suggest the applicable range of the estimation method is for soils with d 10   > 0.02 mm and C u < 20, in which d 10 is the grain diameter corresponding to 10% passing and C u is the coefficient of uniformity ( C u = d 60 / d 10 ). The estimation method is also modified to consider the porosity variation effect. Then the proposed method is applied to predict unsaturated hydraulic conductivity properties of different sandy soils and also compared with laboratory and field test results. The comparison shows that the newly developed estimation method, which predicts the relative permeability of unsaturated sands from basic grain size parameters and porosity, generally has a fair agreement with measured data. It also indicates that the air-entry value is mainly relative to the mean grain size and porosity value change from the intrinsic value. The rate of permeability decline with suction is mainly associated with grain size polydispersity.

1. Introduction

Unsaturated hydraulic conductivity (or permeability) is an important parameter for the study of water flow in the vadose zone, unsaturated seepage process, underground waste isolation etc. However, measuring unsaturated hydraulic conductivity values of different sediments could be time- and cost-consuming. An estimation method of unsaturated hydraulic conductivity could be useful for early design and research processes. Normally, unsaturated hydraulic conductivity is regarded as a parameter associated with its saturated hydraulic conductivity and the soil water retention curve (WRC, the relationship between suction and degree of saturation) [1,2,3]. For sandy soils, it is also widely accepted that using grain size distribution parameters can estimate its saturated hydraulic conductivity [4,5,6,7,8] and water retention curve [9,10,11,12]. Therefore, the unsaturated conductivity properties of sandy soils may also be primarily predicted from their particle size distributions. The recent work of Wang et al. [8,12] can be extended for estimating unsaturated conductivity properties, for example, the relative permeability.
By using the dimensional analysis method and combining with regression analysis on a database, Wang’s model [8] has been developed to predict hydraulic conductivity values of saturated sandy soils from grain size parameters. The method shows the best prediction accuracy among the classic methods. Moreover, they have also developed a method to estimate water retention behaviour of sandy soils after van Genuchten’s closed-form equation [12], which is also related to the unsaturated permeability. In this paper, we will clarify the applicable soil type (range of particle size distributions) for Wang’s estimation methods by assuming that the methods are more suitable for sandy soils with unimodal pore-size distributions, which has not been covered by the previous studies. Further verification of Wang’s model [8] for saturated hydraulic conductivity predictions will be carried out on sands beyond the dataset used for the model development. Besides soil gradation parameters, as an important new contribution we will also consider the porosity variation effect on the air-entry value of relative permeability and water retention curve, which will further improve the model accuracy. Then, by embedding the van Genuchten’s closed-form equation, the relative permeability of unsaturated sandy soils can be calculated from d 60 (60% passing grain size), coefficient uniformity C u and porosity ϕ. Model validations will be carried out based on laboratory and field test results. The effect of key gradation parameters and porosity variations on unsaturated hydraulic conductivity properties will also be discussed.

2. Estimation of Saturated Hydraulic Conductivity

2.1. Estimation Equations Based on Grain Size Parameters

To predict the unsaturated hydraulic conductivity of a soil, the hydraulic conductivity at the fully saturated condition is required. Generally, the unsaturated hydraulic conductivity properties of unsaturated soils are predicted or estimated based on their saturated hydraulic conductivity values, such as:
K u = K r K ,
where K u is the unsaturated hydraulic conductivity, K is the hydraulic conductivity at the fully saturated condition and K r is the relative coefficient of permeability, which is a function of suction or degree of saturation (the function should also be associated with the soil pore structures).
It is well known that the saturated hydraulic conductivity of sandy soils can be estimated from its grain size parameters. There are several typical and widely used equations, the most well-known equation being the Hazen equation [4], in which the saturated hydraulic conductivity is expressed as a proportional relationship to the squared value of a characteristic particle size (usually d 10 ):
K = C H g v d 10 2 ,
where g is the gravitational acceleration (m/s2) and ν is the fluid kinematic viscosity (m2/s) ( ν = 0.89 × 10 6   m 2 / s at 25   ° C for water). Empirically, C H is a unitless coefficient about 6.54 × 10 4 [13]. Meter can be used as the length unit in this equation to keep the unit consistency (to obtain hydraulic conductivity value in m/s). Furthermore, the effect of particle size uniformity is considered in another equation proposed by Beyer [5], which can be written as:
K = C B g v log ( 500 C u ) d 10 2 ,
in which the empirical coefficient C B is 6 × 10 4 (unitless) and the coefficient of uniformity C u (unitless) is the ratio of grain size at 60% passing and grain size at 10% passing ( C u = d 60 d 10 ). Moreover, the Kozeny–Carman model [6,14,15,16] is another classical model with the porosity effect embedded:
K = C K g v ϕ 3 ( 1 ϕ ) 2 d 10 2 ,
where the empirical coefficient C K is 1 / 180 determined by flow in capillary tubes or beds of spheres and ϕ is the porosity.
Empirically, Chapuis [7] proposed an equation to estimate saturated hydraulic conductivity based on d 10 and void ratio e. In the international unit system (SI), it can be expressed as:
K = 0.024622 ( 10 6 d 10 2 e 3 1 e ) 0.7825
More recently, Wang et al. [8] analyzed the relationship between saturated hydraulic conductivity and particle size distribution for sandy soils by using dimensional analysis. They found that grain size uniformity coefficient and a dimensionless group term, expressed by gravitational acceleration and a characteristic grain size d 60 , are the main two determinative parameters for estimating hydraulic conductivity. In Wang’s equation [8], K can be expressed as:
K = C W C u a g ν d 60 2 ( log 10 g d 60 3 ν 2 ) 1 C W g ν d 10 2 ( log 10 g d 60 3 ν 2 ) 1 ,
where C W = 2.9 × 10 3 and a 2 . The above equation has no extra parameters comparing with other classic methods. Wang et al. [8] have proved that the above equation has higher accuracy especially for soils with hydraulic conductivity values ranging from 2 × 10−5 m/s to 2 × 10−3 m/s. From the dimensional analysis, the above equation already counts as part of the porosity effect as porosity has an intrinsic correlation with particle size uniformity C u . Following Vukovic and Soro [17], the intrinsic porosity of a sand is a function of its C u empirically as:
ϕ 0 = ω ( 1 + β C u ) ,
where ω and β are unitless constants. After a database consisting of 431 unlithified sediment samples [18] the two parameters are fitted as ω = 0.2 and β = 0.93 by Wang et al. [12]. However, the model in Equation (7) didn’t consider the porosity variation of a particular sample due to its micro-structure arrangement. Then, a modified model was proposed in which the porosity difference between the current value and its intrinsic value is considered as:
K = ( C W C u a ( log 10 g d 60 3 ν 2 ) 1 + b Δ ϕ ) g ν d 60 2 ,
where b is a fitting parameter and Δ ϕ = ϕ ϕ 0 in which ϕ is the current porosity and ϕ 0 is the intrinsic porosity calculated by Equation (7).

2.2. Applicability and Validity of the Estimation Equation

It has been proved in the literature [8] that the new models in Equations (6) and (8) have better performance than the classic models. The new models in Equations (6) and (8) are developed semi-empirically based on a database of 431 sandy soils [18]. It is required to further clarify the applicability and validity of the new models on more soils beyond the database. As the new models are proposed based on the Roasas database, the validity of the model should be restricted by a certain range of soil types. The key particle size parameters of this database is as the following range: 0.05 mm < d 10 < 0.83 mm, 0.09 mm < d 60 < 4.29 mm, 1.3 < C u < 18.3. The validity of the new models may be decreased for sediments with a particle size distribution beyond the above range. Therefore, we used the saturated hydraulic conductivity values of the UNSODA database [19] for further validation. Firstly, we compared the performance of different models for all possible soils in the UNSODA database, if the saturated hydraulic conductivity value and all required model parameters, such as d 10 and C u , are available. Figure 1 demonstrates a comparison between different models. For each subfigure, the horizontal axis is the model predicted values and the vertical axis is the measured values. If the dataset is closer to the equality line, that means the slope of the regression line is closer to 1 then the performance of the model is better. It can be seen that, if the particle size range is not considered in the model application, the overall prediction is not accurate enough for all models (although Wang’s second model is the best).
The prediction errors of the different models in Figure 1 could be induced by the fine content in some soils. The introduced estimation models in Section 2.1 are mostly based on granular soils without aggregation effect, which may mainly have single peak pore size distributions. However, if the sandy soils have a certain amount of fine particles like clay, aggregation and cementation effect may lead the soil to a dual pore structure (sketch can be seen in Figure 2). As discussed by some authors [20,21], silty and clayey soils may have bimodal shape pore size distributions, which can not be covered by the models introduced above. This means that the models presented above are more suitable for granular soils or sands with unimodal pore size distribution. Soils with other shapes of pore size distribution curve should be excluded when applying the hydraulic conductivity models.
For soils with very fine particles which could induce dual-structure pore size, the characteristic grain size d 10 could be very small and the coefficient of uniformity C u may become relatively large. Here, we restrict the two parameters as d 10 > 0.02 mm and C u < 20, as according to the particle size range of the Rosas database [18]. Soils are selected from the UNSODA database according to the above soil gradation range. Then, the model performances are compared again based on the filtered soils in Figure 3. In Figure 3c,d,f only soils with available porosity or void ratio values are compared. It can be seen that for sandy soils from the UNSODA database with d 10 > 0.02 mm and C u < 20 all models have much better prediction accuracy. Therefore, to predict the saturated hydraulic conductivity of granular soils based on particle size distribution, the different estimation methods may be more suitable for granular soils with a unimodal shape pore size distribution. To restrict the application of the models to sandy soils within a particular particle size distribution range ( d 10 > 0.02 mm and C u < 20 at the same time) is recommended.

3. Prediction of Unsaturated Relative Permeability

3.1. Van Genuchten’s Closed-Form Equation

The relative permeability ( K r ) in Equation (1) is normally regarded as a function of degree of saturation or suction. In the classic Mualem’s equation [22], the relative permeability is expressed as:
K r = S e ( 0 S e ψ 1 d S e 0 1 ψ 1 d S e ) 2 ,
in which S e is the effective degree of saturation and Ψ is suction. Normally, S e is determined as S e = ( S r S r r e s ) / ( 1 S r r e s ) in which S r is degree of saturation and S r r e s is the residual degree of saturation. According to van Genuchten’s closed-form equation [2], the effective degree of saturation has the following relationship with suction Ψ and an air-entry value related parameter α :
S e = ( 1 + ( ψ α ) n ) m ,
in which n and m are model parameters. For sandy soils, m is suggested to be equal to 1 n 1 , therefore:
S e = ( 1 + ( ψ α ) n ) 1 n 1
By substituting the above equation into Mualem’s equation (Equation (9)), we can obtain the following equation:
K r = S e [ 1 - ( 1 - S e n 1 n ) 1 1 n ] 2
And by implementing the van Genuchten’s closed form equation, the relative permeability can be rewritten as a function of   Ψ and   α :
K r = [ 1 + ( ψ α ) n ] 1 - n 2 n { 1 - ( ψ α ) n 1 [ 1 + ( ψ α ) n ] 1 n 1 } 2

3.2. Prediction of Van Genuchten’s Parameters from Particle Size Distribution

In literature, there are a number of mathematical models to predict the water retention behaviour of an unsaturated soil from its particle size distribution, which is usually called pedotransfer functions. One of the most recent models is proposed by [12] using a semi-physical (based on dimensional analysis) and semi-empirical approach after van Genuchten’s closed-form equation. The authors have proved that for sandy soils it generally has better performance than other typical empirical models, especially when the grain size is more uniform.
In this model, the following type of equation can be employed to estimate the parameter n in van Genuchten’s equation:
n = C 1 log 10 C u + 1 ,
in which C u is the coefficient of uniformity and C 1 is a model constant, which is suggested to be approximated as 1.07. For the parameter α , it is found that the dimensionless term α d 60 γ is approximately a constant C 2 which means α is inversely proportional to the mean particle size. Then α can be written as:
α = C 2 γ d 60
And C 2 is suggested to be around 12.07. By combining the estimation of α and n with the closed-form equation of relative permeability in Equation (13), the hydraulic conductivity properties of unsaturated sandy soils can also be estimated from the gradation parameters.

3.3. Effect of Porosity Variation on the Air Entry Value

Referring back to Equation (7), it can be seen that there is an average or intrinsic porosity for a sandy soil which can be estimated from its grain size uniformity coefficient. However, it is just a general form relationship between key grain size distribution and porosity. It does not consider the variation of the pore structures (due to its fabric or stress conditions) which may change the initial porosity of a sandy soil with a particular particle size distribution. Here we propose a new model to include the effect of porosity variation, which has not been considered in the original Wang’s equation. Hu et al. [23] proved that the deformation-induced void ratio change is positively correlated to the logarithm scale difference of mean pore size. Following the same spirit, as the air-entry value is associated with the mean pore size, we may also propose that the porosity change of a granular soil from its intrinsic value ( ϕ ϕ 0 ) can lead to a logarithm scale difference in air-entry value parameter α as:
( ln α ln α 0 ) ( ϕ ϕ 0 ) ,
in which α 0 represents the air-entry value parameter when ϕ = ϕ 0 . By introducing a parameter ξ to the correlation, it may be expressed as:
ln α - ln α 0 = ξ ( ϕ - ϕ 0 )
There were 70 soils samples in the original analysis of Wang et al. [12] and porosity values of 18 sands out of the 70 are available (and 17 of the 18 sands have d 10 > 0.02 mm and C u < 20). Table 1 demonstrates the gradation parameters and the water retention curve coefficients (best fitted from van Genutchten’s model) of these sands. Figure 4 shows the relationship between ϕ ϕ 0 and ln α ln α 0 . It can be seen that they are generally in a linear relationship and the parameter can be taken as ξ = 4.7 (used in Section 4). The above equation can then be reformatted as:
α = α 0 e ξ ( ϕ ϕ 0 ) ,
in which e is the natural constant. By employing Equation (15) to estimate α 0 , it can be written as:
α = C 2 γ d 60 e ξ ( ϕ ϕ 0 )
This equation estimates the air-entry value of the water retention behaviour based on not only gradation parameters but also the relative density or porosity variation. Therefore, the relative permeability of a granular soil can be calculated by Equation (13) with parameters of n and α being estimated from its gradation and porosity in Equations (14) and (19) (which also gives the water retention curve).
The performance of the corrected estimation equation on the air-entry parameter is demonstrated in Figure 5 based on the 18 sands. Figure 5a is the prediction performance of the original estimation method in Equation (15) and Figure 5b shows the results of the corrected model in Equation (19) which considers the variation of porosity for the same sand. The horizontal axis is the predicted α value by the estimation models and the vertical axis is the measured α based on the experimental values (best fitted by van Genuchten’s model). It can be seen that the R 2 value is increased by a fitted ξ = 1.61 .

4. Verification of the Estimation Model

4.1. The Effect of Porosity on Predictions of Water Retention Curve (WRC) and Relative Permeability

The proposed model can then be applied to different sediments with various initial porosity values to have a further verification. In the UNSODA database, there are three typical sandy soils with different initial porosities. They are the Wagram sand (ID: 1140, 1141, 1142), the Berlin coarse sand (ID: 1460, 1461) and the Berlin medium sand (ID: 1462, 1463), which have not been used for the calibration process in the previous section. The three typical sands are also widely used in other studies of water retention and hydraulic conductivity behaviours in the literature [23,24]. Soil gradation parameters and best-fitted water retention curve coefficients of these sandy soils are summarised in Table 2. For each sand, as the soil gradations are similar, we used the average gradation parameters for the hydraulic property estimations and regard porosity variation as the main controlling parameter. The van Genuchten’s model parameter α is estimated by Equation (19) in which both the soil gradation effect and porosity variation effect are considered ( ξ = 4.7 is used in Section 4 as it is directly fitted from the diagram). The van Genuchten’s model parameter n is predicted by Equation (14) which is only related to the coefficient of uniformity C u . The Wagram sand has only water retention curve data. Therefore, we firstly compare the measured and predicted water retention curve in Figure 6 in which the points are measured results by experiments and the lines are predicted by the model. It can be seen from Figure 6 that model predictions agree well with experimental results. With porosity decrease, the water retention curve is shifted to the right and the air-entry value becomes higher. The modified model fairly presents the effect of porosity change.
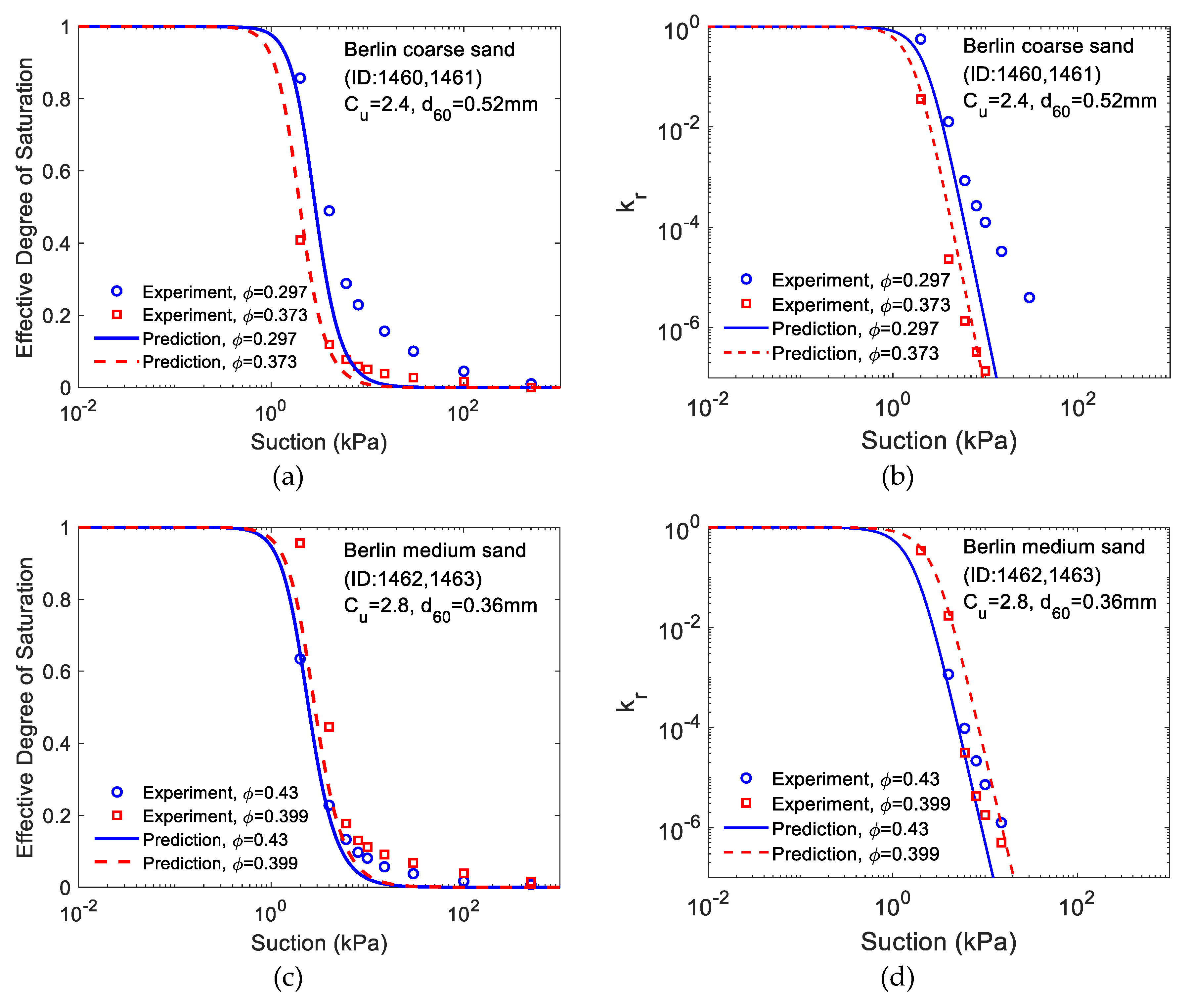
Furthermore, both of the water retention curve prediction model (Equations (11), (14) and (19)) and the relative permeability prediction model (Equations (13), (14) and (19)) are applied to Berlin coarse sands and Berlin medium sand as these sands have both water retention curve and unsaturated hydraulic conductivity data. The model performance is demonstrated in Figure 7. Figure 7a compares the estimated water retention behaviour and measured results of Berlin coarse sands. It can be seen that for the sample with ϕ = 0.373 the model fits the experimental measurements in the drying path and for the sample with ϕ = 0.297 the model catches the basic trend. Figure 7b presents model predictions of relative permeability of Berlin coarse sands. The predicted curve coincides with the laboratory data and it shows that a lower porosity leads to a higher air-entry value. It also indicates that the estimation methods normally have higher accuracy when the suction is relatively low (with a high degree of saturation). As introduced by Wang et al. [25], when the degree of saturation is lower, the morphology of liquid-air interfaces could be much more complex and more related to grain shape parameters besides grain size distribution. This partially explains the error when suction is relatively higher. The model estimations of water retention curves and relative permeability for Berlin medium sand are presented in Figure 7c–d. The estimation models have good agreement with the experimental results as the measured and predicted air-entry values are similar. It also indicates that the model prediction performance for medium sands in Figure 7c–d is better (as for Berlin coarse sand with ϕ = 0.297 there is an over-estimation of parameter n ). Comparisons between measured (best fitted) model parameters of α and n and predicted values by Equations (14) and (19) are also depicted in Figure 8. It can be seen that the predictions normally have good agreement with measured values except the Berlin coarse sand with ϕ = 0.297 (ID 1460) in which α and n are underestimated. This could because of the experiment error or inclusion of some fine contents in the sample.

4.2. Verification on a Set of Field Test Data by Instantaneous Profile Method

The model constants in the estimation model are determined based on the database (the 18 sandy soils in Table 1). The applicability of the proposed method beyond the database should also be proved. Here, we extend the application of the proposed estimation equations to other experimental data. In the UNSODA database, the field measured unsaturated hydraulic conductivity values of some sandy soils are available and the data have not been used for model calibration in Section 3. Among the different field measurements, the instantaneous profile method [26] is the most widely employed one which can be applied both in situ and in the laboratory [27]. Therefore, we carried out further model validation on these sandy soils. As we suggested in Section 2, the estimation model is more suitable for sandy soils within the range of d 10 > 0.02 mm and C u < 20 and it does not consider the hydraulic hysteresis effect. Therefore, sediments which have been measured by the instantaneous profile method in the drying path within the above grain size distribution range should be chosen for this verification. After checking throughout the UNSODA database, sandy soils with ID numbers 1014, 1023, 1024, 1241, 2105, 3134, 3162, 3163 and 3164 are eligible for these conditions. Soil gradation parameters of these sandy soils are summarised in Table 3.
Figure 9 depicts the original and corrected model predictions for the sand with ID number 1014. The experimental results are also demonstrated as circles for comparison. In the original estimation method, the air-entry value parameter is estimated based on its grain size distribution (the intrinsic porosity is 0.302 by Equation (7)). However, the measured porosity of this sand is 0.45. It can be seen that without considering the porosity variation, the original uncorrected model (Equation (15)) has an overestimation of the air-entry value which leads to a higher relative permeability. However, by applying the corrected model, the model performance is significantly enhanced as the prediction line becomes much closer to the measured data points (the parameter α is reduced from 2.53 kPa to 1.76 kPa).
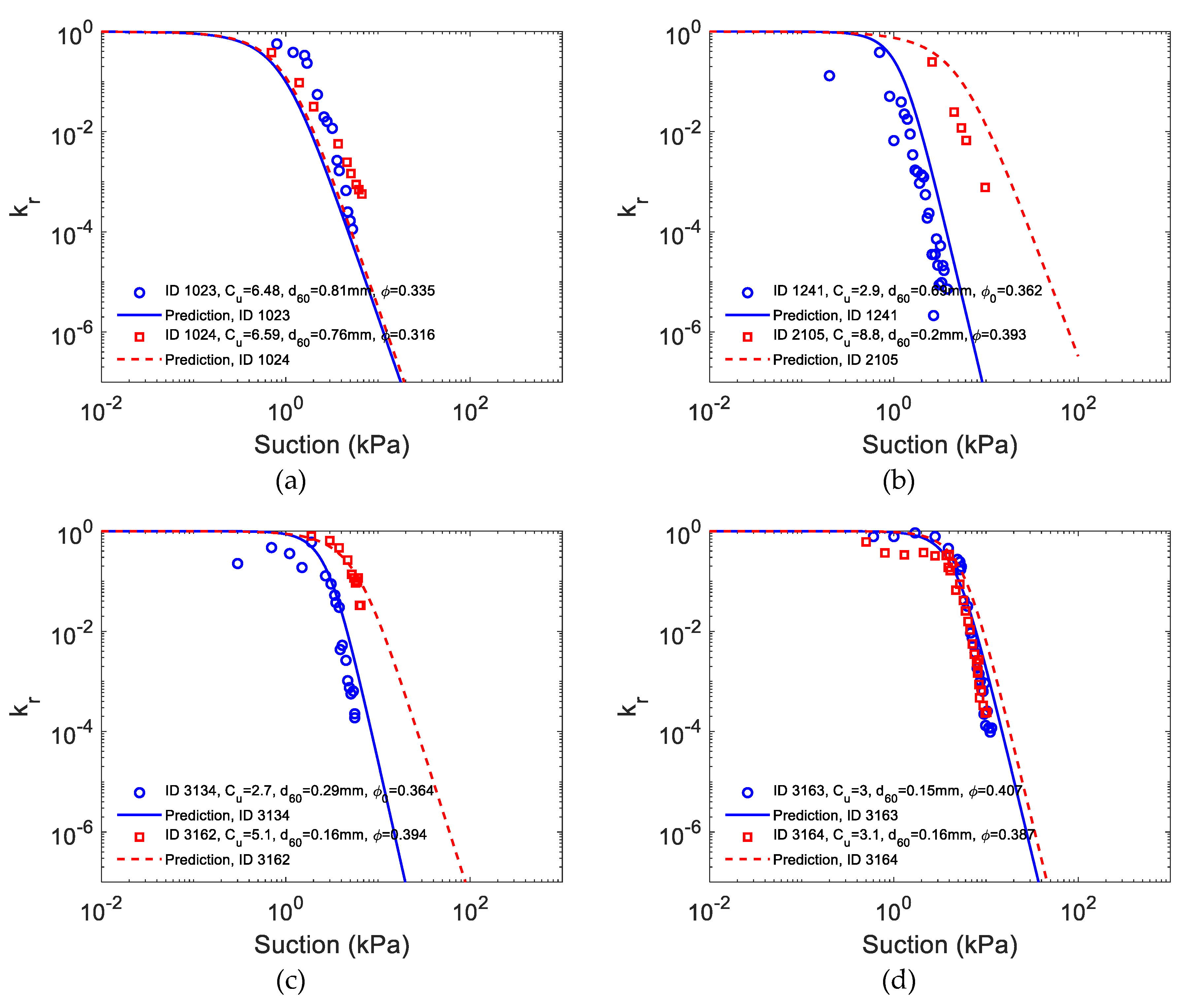
Comparisons between the corrected model prediction and measured relative permeability by the instantaneous profile method for other sands in Table 3 are presented in Figure 10. There are two sediments in each subfigure. Figure 10a shows experimental measurements of sediments 1023 and 1024. These two sediments have similar grain size distribution parameters and porosity values. Therefore, their relative permeability curves are closed to each other. It can be seen that the proposed model fairly coincides with the measurements. The slope of the relative permeability curves are almost parallel with the measured curve and the predicted air-entry parameter α is around 1kPa and the measured value is between 1 kPa and 2 kPa. In Figure 10b,c, results of 1241, 2105 and 3134, 3162 are presented respectively. It can be seen that in general model predictions match the experimental results. The air-entry parameters are basically similar to the measured data. The slopes of the predited relative permeability curves are also agrees the measurement except the number 2105 sand which under-estimates parameter n ( n 3 in the experiment and n = 2.13 in the prediction). The comparisons also indicate that a higher value of C u , which means a wider particle size distribution, will lead the sample to have a higher relative permeability at the same suction. The relative permeability decrease rate with suction is lower with larger C u . Similar to Figure 10a, the two sands in Figure 10d, with ID numbers 3163 and 3164, have similar particle size distributions. Therefore, they have similar relative permeability curves and the model predictions again fit the experiments well. The comparisons in Figure 9 and Figure 10 prove that the proposed estimation method has good applicability to different experimental measurements.

5. Conclusions

Based on the estimation method proposed by Wang et al. [8], the saturated hydraulic conductivity of sandy soils can be estimated from basic soil gradation parameters. Further verification of this model has been carried out in this paper on more sandy soils. It shows that the model has better performance than the classic models [4,5,7,14,16]. Further discussions also imply that the model is only suitable for sandy soils with unimodal pore-size distributions. We suggest that the grain size distribution should satisfy d 10 > 0.02 mm and C u < 20 at the same time when applying the estimation method in [8]. Furthermore, in this study, an estimation model to predict relative permeability of unsaturated sandy soils from basic soil gradation parameters ( d 10 and C u ) with the variation of initial porosity also being considered. In this model, the slope of the relative permeability curve is associated with C u and the air-entry value is associated with d 60 and soil porosity. Verification of the proposed relative permeability estimation method is carried out on different sands with relative permeability values measured in the laboratory and in the field. This indicates the proposed method has a fair performance, which can be employed as a primary estimation method in future studies and applications dealing with permeability properties of unsaturated sands.

Author Contributions

Conceptualization, J.-P.W.; Methodology, J.-P.W., P.-Z.Z.; Validation, J.-Y.L.; Formal Analysis, T.-H.L., Y.-R.T.; Investigation, J.-Y.L., T.-H.L., Writing—Original Draft Preparation, J.-P.W.; Writing—Review and Editing, P.-Z.Z.; Supervision, J.-P.W., J.Z.; Funding, J.-P.W., J.Z.

Funding

National Natural Science Foundation of China (Grant no. 51909139), Taishan Scholar Program of Shandong Province, China (Award no. tsqn201812009) and Shandong Provincial Natural Science Foundation, China (Nos. 2017GSF22101 and ZR2018MEE046).

Acknowledgments

The first author acknowledge the Taishan Scholar Program of Shandong Province, China and Qilu Young Scholar Program of Shandong University.

Conflicts of Interest

The authors declare no conflict of interest.

References

  1. Gardner, W.R. Calculation of Capillary Conductivity from Pressure Plate Outflow Data. Soil Sci. Soc. Am. Proc. 1956, 20, 317–320. [Google Scholar] [CrossRef]
  2. van Genuchten, M.T. A closed-form equation for predicting the hydraulic conductivity of unsaturated soils. Soil Sci. Soc. Am. J. 1980, 44, 892–898. [Google Scholar] [CrossRef]
  3. Richards, L.A. Capillary conduction through porous mediums. Physics 1931, 1, 318–333. [Google Scholar] [CrossRef]
  4. Hazen, A. Some Physical Properties of Sands and Gravels with Reference to Their Use Infiltration; Report to the Massachusetts State Board of Health: Boston, MA, USA, 1892; pp. 539–556. [Google Scholar]
  5. Beyer, W. Zur Bestimmung der Wasserdurchlassigkeit von Kieson und Sanduen aus der Kornverteilung. Wasserwirtsch. Wassertech. 1964, 14, 165–169. [Google Scholar]
  6. Kozeny, J. Das Wasser im Boden. Grundwasserbewegung. In Hydraul: Ihre Grundlagen und Praktische Anwendung; Springer: Berlin/Heidelberg, Germany, 1953; pp. 380–445. [Google Scholar]
  7. Chapuis, R.P. Predicting the saturated hydraulic conductivity of sand and gravel using effective diameter and void ratio. Can. Geotech. J. 2004, 41, 787–795. [Google Scholar] [CrossRef]
  8. Wang, J.-P.; François, B.; Lambert, P. Equations for hydraulic conductivity estimation from particle size distribution: A dimensional analysis. Water Resour. Res. 2017, 53, 8127–8134. [Google Scholar] [CrossRef]
  9. Scheinost, A.C.; Sinowski, W.; Auerswald, K. Regionalization of soil water retention curves in a highly variable soilscape, I. Developing a new pedotransfer function. Geoderma 1997, 78, 129–143. [Google Scholar] [CrossRef]
  10. Schaap, M.G.; Leij, F.J. Using neural networks to predict soil water retention and soil hydraulic conductivity. Soil Tillage Res. 1998, 47, 37–42. [Google Scholar] [CrossRef]
  11. Chiu, C.F.; Yan, W.M.; Yuen, K.-V. Estimation of water retention curve of granular soils from particle-size distribution—A Bayesian probabilistic approach. Can. Geotech. J. 2012, 49, 1024–1035. [Google Scholar] [CrossRef]
  12. Wang, J.-P.; Hu, N.; François, B.; Lambert, P. Estimating water retention curves and strength properties of unsaturated sandy soils from basic soil gradation parameters. Water Resour. Res. 2017, 53, 6069–6088. [Google Scholar] [CrossRef]
  13. Harleman, D.; Mehlhorn, P.; Rumer, R. Dispersion-permeability correlation in porous media. J. Hydraul. Div. 1963, 89, 67–85. [Google Scholar]
  14. Carman, P. Fluid flow through granular beds. Trans. Chem. Eng. 1937, 15, 150–166. [Google Scholar] [CrossRef]
  15. Carman, P.C. Flow of Gases Through Porous Media; Butterworth Scientific Publications: London, UK, 1956. [Google Scholar]
  16. Kozeny, J. Über kapillare leitung des wassers im boden: (aufstieg, versickerung und anwendung auf die bewässerung). Hölder Pichler Tempsky 1927, 136, 271–306. [Google Scholar]
  17. Vukovic, M.; Soro, A. Determination of Hydraulic Conductivity of Porous Media from Grain-Size Composition; Water Resources Publications: Littleton, CO, USA, 1992. [Google Scholar]
  18. Rosas, J.; Lopez, O.; Missimer, T.M.; Coulibaly, K.M.; Dehwah, A.H.A.; Sesler, K.; Lujan, L.R.; Mantilla, D. Determination of Hydraulic Conductivity from Grain-Size Distribution for Different Depositional Environments. Groundwater 2014, 52, 399–413. [Google Scholar] [CrossRef] [PubMed]
  19. Leij, F.J.; Alves, W.J.; van Genuchten, M.T.; Williams, J.R. The UNSODA Unsaturated Soil Hydraulic Database: User’s Manual; National Risk Management Research Laboratory, Office of Research and Development, US Environmental Protection Agency: Ada, OK, USA, 1996.
  20. Du, Y.-J.; Jiang, N.-J.; Liu, S.-Y.; Jin, F.; Singh, D.N.; Puppala, A.J. Engineering properties and microstructural characteristics of cement-stabilized zinc-contaminated kaolin. Can. Geotech. J. 2014, 51, 289–302. [Google Scholar] [CrossRef]
  21. Oualmakran, M.; Mercatoris, B.C.N.; François, B. Pore-size distribution of a compacted silty soil after compaction, saturation, and loading. Can. Geotech. J. 2016, 53, 1902–1909. [Google Scholar] [CrossRef]
  22. Mualem, Y. A new model for predicting the hydraulic conductivity of unsaturated porous media. Water Resour. Res. 1976, 12, 513–522. [Google Scholar] [CrossRef]
  23. Hu, R.; Chen, Y.-F.; Liu, H.-H.; Zhou, C.-B. A water retention curve and unsaturated hydraulic conductivity model for deformable soils: Consideration of the change in pore-size distribution. Géotechnique 2013, 63, 1389–1405. [Google Scholar] [CrossRef]
  24. Zhou, W.-H.; Yuen, K.-V.; Tan, F. Estimation of soil–water characteristic curve and relative permeability for granular soils with different initial dry densities. Eng. Geol. 2014, 179, 1–9. [Google Scholar] [CrossRef]
  25. Wang, J.-P.; Lambert, P.; De Kock, T.; Cnudde, V.; François, B. Investigation of the effect of specific interfacial area on strength of unsaturated granular materials by X-ray tomography. Acta Geotech. 2019, 1–15. [Google Scholar] [CrossRef]
  26. Watson, K.K. An instantaneous profile method for determining the hydraulic conductivity of unsaturated porous materials. Water Resour. Res. 1966, 2, 709–715. [Google Scholar] [CrossRef]
  27. Li, X.; Zhang, L.M.; Fredlund, D.G. Wetting front advancing column test for measuring unsaturated hydraulic conductivity. Can. Geotech. J. 2009, 46, 1431–1445. [Google Scholar] [CrossRef]
Figure 1. Prediction on saturated hydraulic conductivity of different models on soils from the UNSODA database. (a) Hazen model; (b) Beyer model; (c) Kozeny–Carman model; (d) Chapuis model; (e) model of Equation (6); (f) model of Equation (8).
Figure 1. Prediction on saturated hydraulic conductivity of different models on soils from the UNSODA database. (a) Hazen model; (b) Beyer model; (c) Kozeny–Carman model; (d) Chapuis model; (e) model of Equation (6); (f) model of Equation (8).
Water 11 01826 g001
Figure 2. Sketch of the fine content effect which may change the pore size distribution to a dual-structure.
Figure 2. Sketch of the fine content effect which may change the pore size distribution to a dual-structure.
Water 11 01826 g002
Figure 3. Prediction of different models on sandy soils with d 10 > 0.02 mm and C u < 20 from the UNSODA database. (a) Hazen model; (b) Beyer model; (c) Kozeny–Carman model; (d) Chapuis model; (e) model of Equation (6); (f) model of Equation (8).
Figure 3. Prediction of different models on sandy soils with d 10 > 0.02 mm and C u < 20 from the UNSODA database. (a) Hazen model; (b) Beyer model; (c) Kozeny–Carman model; (d) Chapuis model; (e) model of Equation (6); (f) model of Equation (8).
Water 11 01826 g003aWater 11 01826 g003b
Figure 4. Effect of initial porosity on air-entry value: relationship between porosity variation and logarithm scale air-entry value difference.
Figure 4. Effect of initial porosity on air-entry value: relationship between porosity variation and logarithm scale air-entry value difference.
Water 11 01826 g004
Figure 5. Prediction performance of parameter α by the original method and the corrected method. (a) original method (Equation (15)); (b) corrected method (Equation (19)).
Figure 5. Prediction performance of parameter α by the original method and the corrected method. (a) original method (Equation (15)); (b) corrected method (Equation (19)).
Water 11 01826 g005
Figure 6. Measured and predicted water retention behaviour of the Wagram sand.
Figure 6. Measured and predicted water retention behaviour of the Wagram sand.
Water 11 01826 g006
Figure 7. Prediction performance of coarse and medium Berlin sands. (a) water retention curve of Berlin coarse sand; (b) relative permeability of Berlin coarse sand; (c) water retention curve of Berlin medium sand; (d) relative permeability of Berlin medium sand.
Figure 7. Prediction performance of coarse and medium Berlin sands. (a) water retention curve of Berlin coarse sand; (b) relative permeability of Berlin coarse sand; (c) water retention curve of Berlin medium sand; (d) relative permeability of Berlin medium sand.
Water 11 01826 g007
Figure 8. Comparison between predicted and measured parameters for Berlin sands. (a) parameter α ; (b) parameter n .
Figure 8. Comparison between predicted and measured parameters for Berlin sands. (a) parameter α ; (b) parameter n .
Water 11 01826 g008
Figure 9. Comparison of model performance between using the original estimation of α (Equation (15)) and using the corrected estimation of α (Equation (19)) (experimental measurements are based on the instantaneous profile method).
Figure 9. Comparison of model performance between using the original estimation of α (Equation (15)) and using the corrected estimation of α (Equation (19)) (experimental measurements are based on the instantaneous profile method).
Water 11 01826 g009
Figure 10. Comparisons between the corrected model predictions and instantaneous profile method measured results of relative permeability of sands in the UNSODA database. (a) sands 1023 and 1024; (b) sands 1241 and 2105; (c) sands 3134 and 3162; (d) sands 3163 and 3164.
Figure 10. Comparisons between the corrected model predictions and instantaneous profile method measured results of relative permeability of sands in the UNSODA database. (a) sands 1023 and 1024; (b) sands 1241 and 2105; (c) sands 3134 and 3162; (d) sands 3163 and 3164.
Water 11 01826 g010
Table 1. Soil gradation parameters, porosity values and best fitted water retention curve (WRC) parameters of α and n for the 18 sandy soils.
Table 1. Soil gradation parameters, porosity values and best fitted water retention curve (WRC) parameters of α and n for the 18 sandy soils.
Sample ID * d 10
(mm)
d 30
(mm)
d 60
(mm)
  C u ϕFitted ParametersGoodness of Fitting
α   ( kPa ) n SSERMSER2
10110.009460.106990.1551119.7430.430.432.750.0160.0470.989
10140.020780.114540.162939.3500.450.942.660.0070.0270.995
14610.218250.309490.438872.3950.379.473.700.0500.0850.933
14620.126910.230000.308672.8180.435.703.430.0370.0680.955
14630.127330.239150.315522.8460.406.213.650.0250.0560.970
14640.100890.143560.205482.5520.376.153.130.0490.0780.950
14650.024910.073750.104635.0000.382.081.880.0050.0250.996
14660.056310.078550.098972.0340.415.444.560.0090.0340.993
14670.029320.208520.3164913.2990.312.131.580.0110.0370.989
33300.040410.203880.289258.5260.421.621.650.0240.0690.971
33310.118580.227800.297092.8610.444.532.580.0260.0720.975
33320.202840.256560.324511.7990.437.783.480.0140.0540.987
33400.126170.183150.266122.5490.463.952.260.0860.0550.973
45230.121330.165320.219882.1060.418.837.040.0720.0810.969
46500.072210.231300.319535.2010.382.202.010.0320.0370.992
46510.083830.226870.325254.6460.381.952.010.0290.0360.992
46600.064690.217090.301345.4880.460.451.480.0360.0390.986
46610.072210.229440.311325.0220.430.791.740.0150.0260.995
SSE: sum of square errors. RMSE: root-mean-square error. R2: coefficient of determination. *: numbered IDs are from the UNSODA database.
Table 2. Soil gradation parameters, porosity values and best fitted WRC parameters ( α and n ) for the three sandy soils which are employed for the model verification.
Table 2. Soil gradation parameters, porosity values and best fitted WRC parameters ( α and n ) for the three sandy soils which are employed for the model verification.
Soil Type *Sample ID ** d 10
(mm)
d 30
(mm)
d 60
(mm)
  C u ϕFitted ParametersGoodness of Fitting
α   ( kPa ) n SSERMSER2
Wagram sand11400.0510.1470.254.90.4283.7523.6570.0110.0310.995
11410.3364.3183.3400.0240.0440.989
11420.2724.8892.8810.0230.0430.989
Berlin coarse sand14600.2170.3080.5222.40.2975.5108.2363.9500.7030.444
14610.3733.1233.7020.0500.0850.933
Berlin medium sand14620.1270.2350.3602.80.433.2333.4240.0370.0680.955
14630.3993.5143.6540.0250.0560.970
SSE: sum of square errors. RMSE: root-mean-square error. R2: coefficient of determination. *: Soil gradation parameters are average values for each soil. **: numbered IDs are from the UNSODA database.
Table 3. Soil gradation parameters of sandy soils tested by the instantaneous profile method.
Table 3. Soil gradation parameters of sandy soils tested by the instantaneous profile method.
Sample ID d 10
(mm)
d 30
(mm)
d 50
(mm)
d 60
(mm)
d 90
(mm)
  C u
10140.0210.1150.1630.1940.4699.35
10230.1250.5550.7130.8081.4736.48
10240.1150.5150.6650.7551.3476.59
12410.2370.4150.5980.6891.2522.90
21050.0220.1060.1610.1980.4308.83
31340.1070.1630.2500.2890.4442.70
31620.0310.0850.1320.1600.3585.11
31630.0510.0870.1290.1540.2892.99
31640.0520.0910.1350.1610.3383.09

Share and Cite

MDPI and ACS Style

Wang, J.-P.; Zhuang, P.-Z.; Luan, J.-Y.; Liu, T.-H.; Tan, Y.-R.; Zhang, J. Estimation of Unsaturated Hydraulic Conductivity of Granular Soils from Particle Size Parameters. Water 2019, 11, 1826. https://doi.org/10.3390/w11091826

AMA Style

Wang J-P, Zhuang P-Z, Luan J-Y, Liu T-H, Tan Y-R, Zhang J. Estimation of Unsaturated Hydraulic Conductivity of Granular Soils from Particle Size Parameters. Water. 2019; 11(9):1826. https://doi.org/10.3390/w11091826

Chicago/Turabian Style

Wang, Ji-Peng, Pei-Zhi Zhuang, Ji-Yuan Luan, Tai-Heng Liu, Yi-Ran Tan, and Jiong Zhang. 2019. "Estimation of Unsaturated Hydraulic Conductivity of Granular Soils from Particle Size Parameters" Water 11, no. 9: 1826. https://doi.org/10.3390/w11091826

APA Style

Wang, J.-P., Zhuang, P.-Z., Luan, J.-Y., Liu, T.-H., Tan, Y.-R., & Zhang, J. (2019). Estimation of Unsaturated Hydraulic Conductivity of Granular Soils from Particle Size Parameters. Water, 11(9), 1826. https://doi.org/10.3390/w11091826

Note that from the first issue of 2016, this journal uses article numbers instead of page numbers. See further details here.

Article Metrics

Back to TopTop