An Improved Integral Model for a Non-Buoyant Turbulent Jet in Wave Environment
Abstract
:1. Introduction
2. Model Descriptions
2.1. Global and Local Coordinate Systems
2.2. Introduction of Chin’s [23] Model
2.2.1. Governing Equations
2.2.2. The Assumption of Radial Velocity and Scalar Profiles
2.2.3. Initial Conditions
2.3. Modification of Chin’s [23] Model
2.3.1. Simplification of the Model for the Non-Buoyant Jet
2.3.2. Modification of x-Momentum Equation
2.3.3. Modification of the Radial Profiles of Velocity and Scalar
2.3.4. Modification of the Length of the ZFE
2.4. Normalized Governing Equations
2.5. Computational Setup and Solving Procedures
3. Experimental Setup
4. Results and Discussion
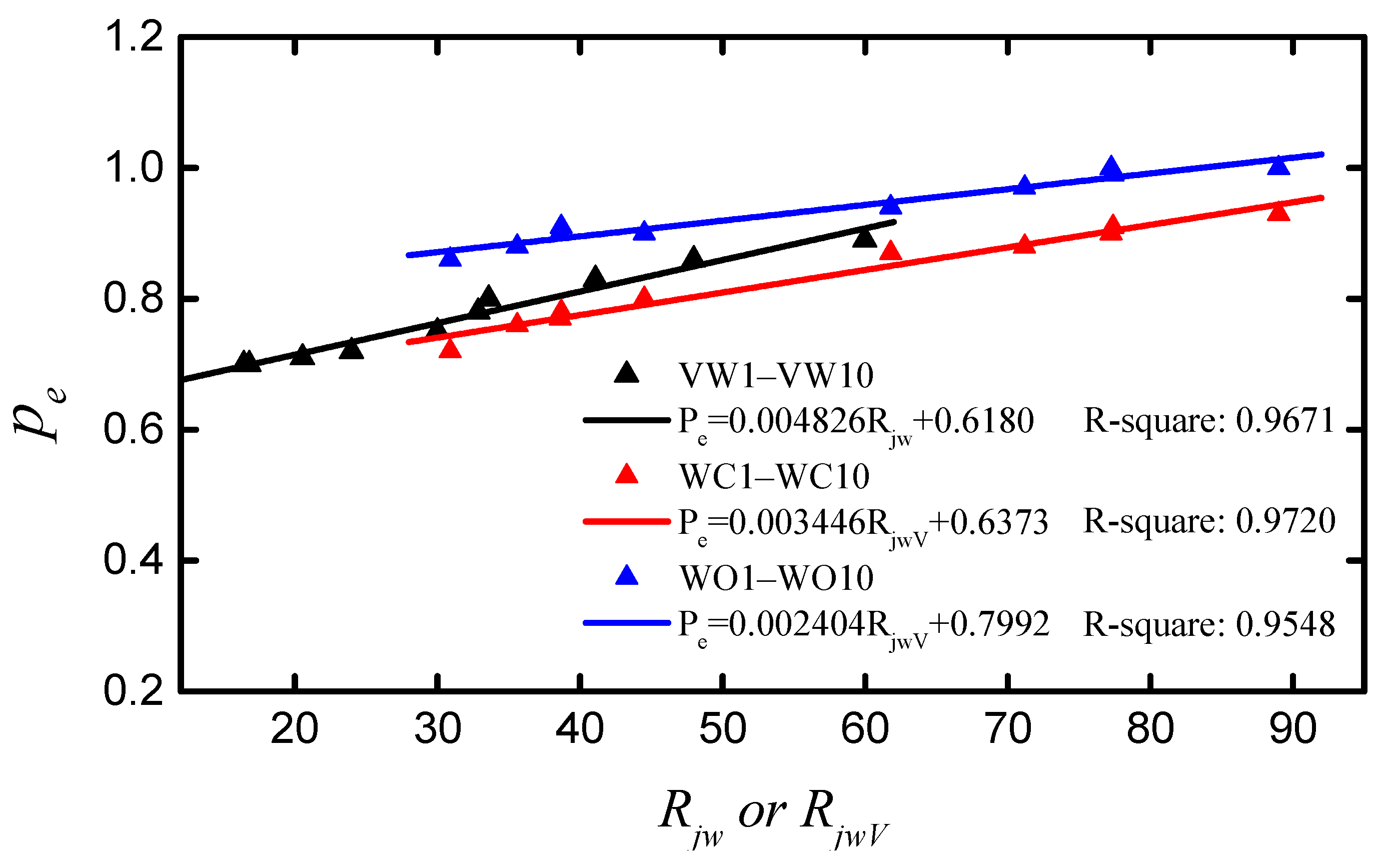
4.1. Model Calibration
4.2. Comparative Study of Vertical and Horizontal Round Jets in Wave Environment
5. Conclusions
Author Contributions
Funding
Acknowledgments
Conflicts of Interest
References
- Roberts, D.A.; Johnston, E.L.; Knott, N.A. Impacts of desalination plant discharges on the marine environment: A critical review of published studies. Water Res. 2010, 44, 5117–5128. [Google Scholar] [CrossRef] [PubMed]
- Mendonça, A.; Losada, M.; Reis, M.T.; Neves, M.G. Risk assessment in submarine outfall projects: The case of Portugal. J. Environ. Manag. 2013, 116, 186–195. [Google Scholar] [CrossRef]
- Stark, J.S.; Corbett, P.A.; Dunshea, G.; Johnstone, G.; King, C.; Mondon, J.A.; Power, M.L.; Samuel, A.; Snape, A.; Riddle, M. The environmental impact of sewage and wastewater outfalls in Antarctica: An example from Davis station, East Antarctica. Water Res. 2016, 105, 602–614. [Google Scholar] [CrossRef]
- Roberts, P.J.W. Modeling Mamala Bay outfall plumes. I: Near field. J. Hydraul. Eng. 1999, 125, 564–573. [Google Scholar] [CrossRef]
- Chyan, J.M.; Hwung, H.H. On the interaction of a turbulent jet with waves. J. Hydraul. Res. 1993, 31, 791–810. [Google Scholar] [CrossRef]
- Mossa, M. Experimental study on the interaction of non-buoyant jets and waves. J. Hydraul. Res. 2004, 42, 13–28. [Google Scholar] [CrossRef]
- Mossa, M. Behavior of non-buoyant jets in a wave environment. J. Hydraul. Eng. 2004, 130, 704–717. [Google Scholar] [CrossRef]
- Ryu, Y.; Chang, K.A.; Mori, N. Dispersion of neutrally buoyant horizontal round jet in wave environment. J. Hydraul. Eng. 2005, 131, 1088–1097. [Google Scholar] [CrossRef]
- Chang, K.A.; Ryu, Y.; Mori, N. Parameterization of neutrally buoyant horizontal round jet in wave environment. J. Waterw. Port Coast. Ocean Eng. 2009, 135, 100–107. [Google Scholar] [CrossRef]
- Hsiao, S.C.; Hsu, T.W.; Lin, J.F.; Chang, K.A. Mean and turbulence properties of a neutrally buoyant round jet in a wave environment. J. Waterw. Port Coast. Ocean Eng. 2011, 137, 109–122. [Google Scholar] [CrossRef]
- Mossa, M.; Davies, P. Some aspects of turbulent mixing of jets in the marine environment. Water 2018, 10, 522. [Google Scholar] [CrossRef]
- Chen, Y.; Hsiao, S. Numerical modeling of a buoyant round jet under regular waves. Ocean Eng. 2018, 161, 154–167. [Google Scholar] [CrossRef]
- Xiao, Y.; Huai, W.; Ji, B.; Yang, Z. Verification and validation of urans simulations of the round buoyant jet in counterflow. Water 2018, 10, 1509. [Google Scholar] [CrossRef]
- Lee, J.H.W.; Cheung, V. Generalized Lagrangian Model for Buoyant Jets in Current. J. Environ. Eng. 1990, 116, 1085–1106. [Google Scholar] [CrossRef]
- Jirka, G.H.; Doneker, R.L.; Barnwell, T.O. CORMIX: An expert system for mixing-zone analysis. Waterence Technol. 1991, 24, 267–274. [Google Scholar] [CrossRef]
- Cheung, S.K.B.; Leung, D.Y.L.; Wang, W.; Lee, J.H.W.; Cheung, V. VISJET—A Computer Ocean Outfall Modeling System. In Proceedings of the International Conference on Computer Graphics, Geneva, Switzerland, 19–24 June 2000; pp. 75–80. [Google Scholar]
- Jirka, G.H. Integral Model for Turbulent Buoyant Jets in Unbounded Stratified Flows. Part I: Single Round Jet. Environ. Fluid Mech. 2004, 4, 1–56. [Google Scholar] [CrossRef]
- Palomar, P.; Lara, J.L.; Losada, I.J.; Rodrigo, M.; Alvárez, A. Near field brine discharge modelling part 1: Analysis of commercial tools. Desalination 2012, 290, 14–27. [Google Scholar] [CrossRef]
- Palomar, P.; Lara, J.L.; Losada, I.J. Near field brine discharge modeling part 2: Validation of commercial tools. Desalination 2012, 290, 28–42. [Google Scholar] [CrossRef]
- Stamou, A.I.; Nikiforakis, I.K. Integrated modelling of single port, steady-state thermal discharges in unstratified coastal waters. Environ. Fluid Mech. 2013, 13, 309–336. [Google Scholar] [CrossRef]
- Bloutsos, A.A.; Yannopoulos, P.C. Curvilinear coordinate system for mathematical analysis of inclined buoyant jets using the integral method. Math. Probl. Eng. 2018, 2018, 3058425. [Google Scholar] [CrossRef]
- Dissanayake, A.L.; Gros, J.; Socolofsky, S.A. Integral models for bubble, droplet, and multiphase plume dynamics in stratification and crossflow. Environ. Fluid Mech. 2018, 18, 1167–1202. [Google Scholar] [CrossRef]
- Chin, D.A. Model of buoyant-jet-surface-wave interaction. J. Waterw. Port Coast. Ocean Eng. 1988, 114, 331–345. [Google Scholar] [CrossRef]
- Chin, D.A. Influence of surface wave on outfall dilution. J. Hydraul. Eng. 1987, 113, 1006–1018. [Google Scholar] [CrossRef]
- Koole, R.; Swan, C. Measurements of a 2-D non-buoyant jet in a wave environment. Coast. Eng. 1994, 24, 151–169. [Google Scholar] [CrossRef]
- Lin, Y.P.; Hsu, H.C.; Chen, Y.Y. Theoretical analysis of a buoyant jet interacting with small amplitude waves. China Ocean Eng. 2009, 23, 73–84. [Google Scholar]
- Ippen, A.T. Estuary and Coastline Hydrodynamics; McGraw-Hill Book Co.: New York, NY, USA, 1966. [Google Scholar]
- Xu, Z.S.; Chen, Y.P.; Zhang, C.K.; Li, C.W.; Wang, Y.N.; Hu, F. Comparative study of a vertical round jet in regular and random waves. Ocean Eng. 2014, 89, 200–210. [Google Scholar] [CrossRef]
- Albertson, M.L.; Dai, Y.B.; Jensen, R.A.; Rouse, H. Diffusion of submerged jets. Trans. ASCE 1950, 115, 639–664. [Google Scholar]
- Xu, Z.S.; Chen, Y.P.; Tao, J.F.; Pan, Y.; Zhang, C.K.; Li, C.W. Modelling of a non-buoyant vertical jet in waves and currents. J. Hydrodyn. 2016, 28, 778–793. [Google Scholar] [CrossRef]
- Xu, Z.S.; Chen, Y.P.; Wang, Y.N.; Zhang, C.K. Near-field dilution of a turbulent jet discharged into coastal waters: Effect of regular waves. Ocean Eng. 2017, 140, 29–42. [Google Scholar] [CrossRef]














| Case | Angle | Jet Initial Velocity, u0/m/s | Wave Period, T/s | Wave Height, H/m | ||
|---|---|---|---|---|---|---|
| VS0 | 90° (vertical) | 0.707 | — | — | — | — |
| VS1 | 90° (vertical) | 0.884 | — | — | — | — |
| VW1 | 90° (vertical) | 0.707 | 1.0 | 0.020 | 47.9659 | — |
| VW2 | 90° (vertical) | 0.707 | 1.0 | 0.040 | 23.9829 | — |
| VW3 | 90° (vertical) | 0.707 | 1.2 | 0.020 | 32.8500 | — |
| VW4 | 90° (vertical) | 0.707 | 1.2 | 0.040 | 16.4250 | — |
| VW5 | 90° (vertical) | 0.884 | 1.0 | 0.020 | 59.9743 | — |
| VW6 | 90° (vertical) | 0.884 | 1.0 | 0.040 | 29.9872 | — |
| VW7 | 90° (vertical) | 0.884 | 1.2 | 0.020 | 41.0742 | — |
| VW8 | 90° (vertical) | 0.884 | 1.2 | 0.040 | 20.5371 | — |
| VW9 | 90° (vertical) | 0.884 | 1.4 | 0.020 | 33.5891 | — |
| VW10 | 90° (vertical) | 0.884 | 1.4 | 0.040 | 16.7946 | — |
| SC0 | 0° (horizontal) | 0.707 | — | — | — | — |
| SC1 | 0° (horizontal) | 0.884 | — | — | — | — |
| WC1 | 0° (horizontal) | 0.707 | 1.0 | 0.020 | — | 71.1857 |
| WC2 | 0° (horizontal) | 0.707 | 1.0 | 0.040 | — | 35.5928 |
| WC3 | 0° (horizontal) | 0.707 | 1.2 | 0.020 | — | 61.7892 |
| WC4 | 0° (horizontal) | 0.707 | 1.2 | 0.040 | — | 30.8946 |
| WC5 | 0° (horizontal) | 0.884 | 1.0 | 0.020 | — | 89.0072 |
| WC6 | 0° (horizontal) | 0.884 | 1.0 | 0.040 | — | 44.5036 |
| WC7 | 0° (horizontal) | 0.884 | 1.2 | 0.020 | — | 77.2584 |
| WC8 | 0° (horizontal) | 0.884 | 1.2 | 0.040 | — | 38.6292 |
| WC9 | 0° (horizontal) | 0.884 | 1.4 | 0.020 | — | 77.3822 |
| WC10 | 0° (horizontal) | 0.884 | 1.4 | 0.040 | — | 38.6911 |
| SO0 | 180° (horizontal) | 0.707 | — | — | — | — |
| SO1 | 180° (horizontal) | 0.884 | — | — | — | — |
| WO1 | 180° (horizontal) | 0.707 | 1.0 | 0.020 | — | 71.1857 |
| WO2 | 180° (horizontal) | 0.707 | 1.0 | 0.040 | — | 35.5928 |
| WO3 | 180° (horizontal) | 0.707 | 1.2 | 0.020 | — | 61.7892 |
| WO4 | 180° (horizontal) | 0.707 | 1.2 | 0.040 | — | 30.8946 |
| WO5 | 180° (horizontal) | 0.884 | 1.0 | 0.020 | — | 89.0072 |
| WO6 | 180° (horizontal) | 0.884 | 1.0 | 0.040 | — | 44.5036 |
| WO7 | 180° (horizontal) | 0.884 | 1.2 | 0.020 | — | 77.2584 |
| WO8 | 180° (horizontal) | 0.884 | 1.2 | 0.040 | — | 38.6292 |
| WO9 | 180° (horizontal) | 0.884 | 1.4 | 0.020 | — | 77.3822 |
| WO10 | 180° (horizontal) | 0.884 | 1.4 | 0.040 | — | 38.6911 |
| Case | Jet Initial Velocity, u0/m/s | Wave Period, T/s | Wave Height, H/m | Rjw(RjwV) | c1 | pe |
|---|---|---|---|---|---|---|
| VW1 | 0.707 | 1.0 | 0.020 | 47.9659 | 0.115 | 0.86 |
| VW2 | 0.707 | 1.0 | 0.040 | 23.9829 | 0.125 | 0.72 |
| VW3 | 0.707 | 1.2 | 0.020 | 32.8500 | 0.120 | 0.78 |
| VW4 | 0.707 | 1.2 | 0.040 | 16.4250 | 0.135 | 0.70 |
| VW5 | 0.884 | 1.0 | 0.020 | 59.9743 | 0.110 | 0.89 |
| VW6 | 0.884 | 1.0 | 0.040 | 29.9872 | 0.120 | 0.75 |
| VW7 | 0.884 | 1.2 | 0.020 | 41.0742 | 0.115 | 0.83 |
| VW8 | 0.884 | 1.2 | 0.040 | 20.5371 | 0.130 | 0.71 |
| VW9 | 0.884 | 1.4 | 0.020 | 33.5891 | 0.115 | 0.80 |
| VW10 | 0.884 | 1.4 | 0.040 | 16.7946 | 0.140 | 0.70 |
| WC1 | 0.707 | 1.0 | 0.020 | 71.1857 | 0.100 | 0.88 |
| WC2 | 0.707 | 1.0 | 0.040 | 35.5928 | 0.120 | 0.76 |
| WC3 | 0.707 | 1.2 | 0.020 | 61.7892 | 0.105 | 0.87 |
| WC4 | 0.707 | 1.2 | 0.040 | 30.8946 | 0.125 | 0.72 |
| WC5 | 0.884 | 1.0 | 0.020 | 89.0072 | 0.095 | 0.93 |
| WC6 | 0.884 | 1.0 | 0.040 | 44.5036 | 0.110 | 0.80 |
| WC7 | 0.884 | 1.2 | 0.020 | 77.2584 | 0.090 | 0.90 |
| WC8 | 0.884 | 1.2 | 0.040 | 38.6292 | 0.115 | 0.77 |
| WC9 | 0.884 | 1.4 | 0.020 | 77.3822 | 0.090 | 0.91 |
| WC10 | 0.884 | 1.4 | 0.040 | 38.6911 | 0.115 | 0.78 |
| WO1 | 0.707 | 1.0 | 0.020 | 71.1857 | 0.095 | 0.97 |
| WO2 | 0.707 | 1.0 | 0.040 | 35.5928 | 0.110 | 0.88 |
| WO3 | 0.707 | 1.2 | 0.020 | 61.7892 | 0.095 | 0.94 |
| WO4 | 0.707 | 1.2 | 0.040 | 30.8946 | 0.110 | 0.86 |
| WO5 | 0.884 | 1.0 | 0.020 | 89.0072 | 0.090 | 1.00 |
| WO6 | 0.884 | 1.0 | 0.040 | 44.5036 | 0.100 | 0.90 |
| WO7 | 0.884 | 1.2 | 0.020 | 77.2584 | 0.090 | 1.00 |
| WO8 | 0.884 | 1.2 | 0.040 | 38.6292 | 0.105 | 0.90 |
| WO9 | 0.884 | 1.4 | 0.020 | 77.3822 | 0.090 | 0.99 |
| WO10 | 0.884 | 1.4 | 0.040 | 38.6911 | 0.105 | 0.91 |
© 2019 by the authors. Licensee MDPI, Basel, Switzerland. This article is an open access article distributed under the terms and conditions of the Creative Commons Attribution (CC BY) license (http://creativecommons.org/licenses/by/4.0/).
Share and Cite
Fang, S.; Chen, Y.; Xu, Z.; Otoo, E.; Lu, S. An Improved Integral Model for a Non-Buoyant Turbulent Jet in Wave Environment. Water 2019, 11, 765. https://doi.org/10.3390/w11040765
Fang S, Chen Y, Xu Z, Otoo E, Lu S. An Improved Integral Model for a Non-Buoyant Turbulent Jet in Wave Environment. Water. 2019; 11(4):765. https://doi.org/10.3390/w11040765
Chicago/Turabian StyleFang, Shuqiao, Yongping Chen, Zhenshan Xu, Ebenezer Otoo, and Shiqiang Lu. 2019. "An Improved Integral Model for a Non-Buoyant Turbulent Jet in Wave Environment" Water 11, no. 4: 765. https://doi.org/10.3390/w11040765
APA StyleFang, S., Chen, Y., Xu, Z., Otoo, E., & Lu, S. (2019). An Improved Integral Model for a Non-Buoyant Turbulent Jet in Wave Environment. Water, 11(4), 765. https://doi.org/10.3390/w11040765

