Assessment of Water Quality Across Irrigation Schemes: A Case Study of Wetland Agriculture Impacts in Kilombero Valley, Tanzania
Abstract
1. Introduction
2. Materials and Methods
2.1. Description of Study Area
2.2. Sampling Design
2.3. Physical-Chemical Variables
2.4. Macroinvertebrate Analysis
2.5. Statistical Data Analyses
3. Results
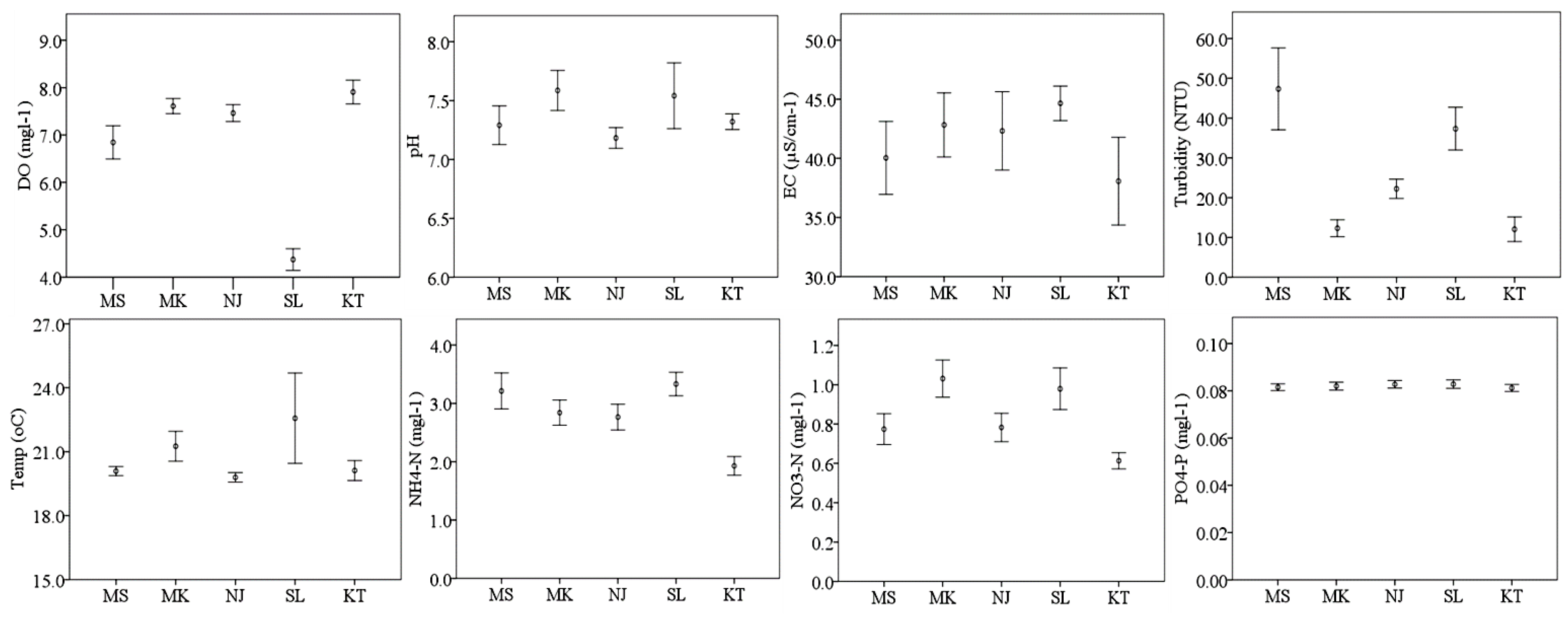
3.1. Physical-Chemical Parameters of Water Quality Among Streams
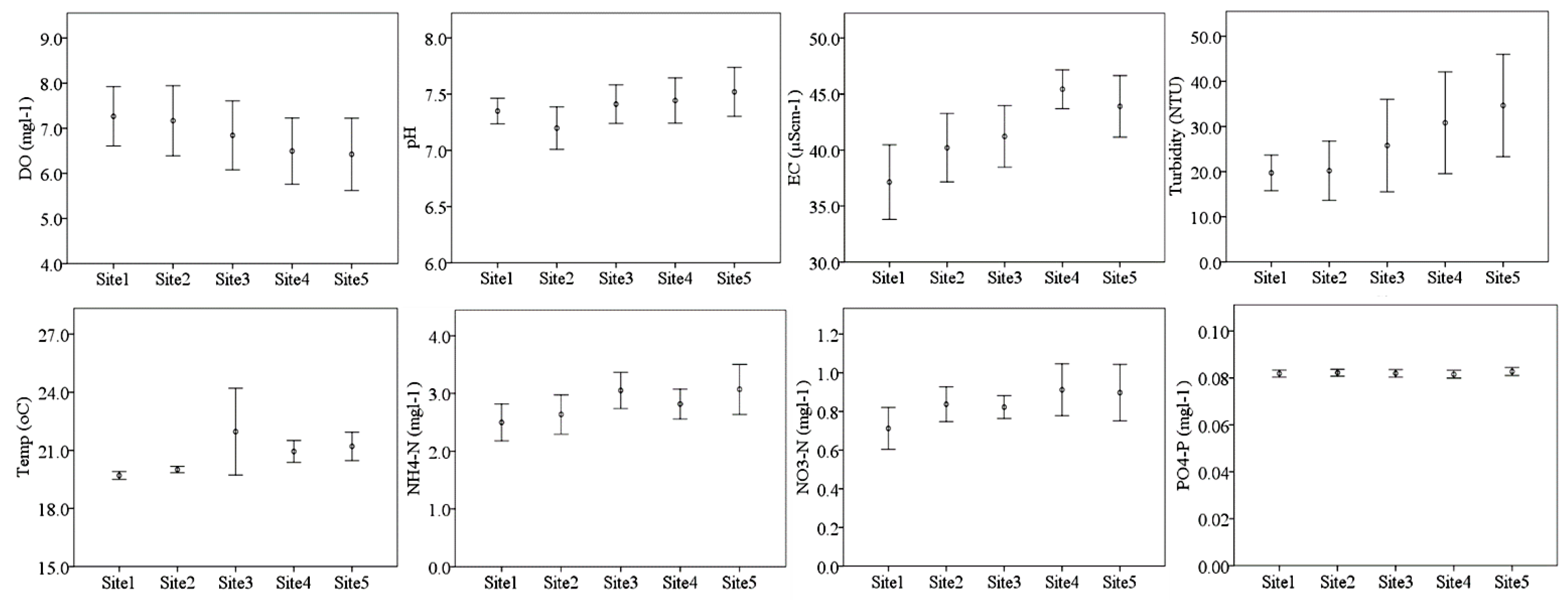
3.2. Physical-Chemical Parameters of Water Quality between Sites
3.3. Macroinvertebrate Assemblages
3.4. Relationship between Physical-Chemical Properties and Species Indices
4. Discussion
4.1. Physical-Chemical Properties of Water
4.2. Macroinvertebrates Biodiversity Indices and Water Quality
4.3. Physical-Chemical Parameters and Macroinvertebrates in Water Quality Assessment
5. Concluding Remarks
Supplementary Materials
Author Contributions
Funding
Acknowledgments
Conflicts of Interest
Appendix A
| TARISS Version 1 Scoring Sheet | Taxon | S | V | GSM | C | Taxon | S | V | GSM | C | ||
|---|---|---|---|---|---|---|---|---|---|---|---|---|
| @2019 Modified | PORIFERA (Sponges) | TRICHOPTERA (Caddisflies) | ||||||||||
| Date: | COELENTERATA (Cnidaria) | 5 | Dipseudopsidae | 10 | ||||||||
| Site Code: | TURBELLARIA (Flatworms) | 1 | Ecnomidae | 8 | ||||||||
| River: | ANNELIDA | Hydropsychidae 1 sp | 4 | |||||||||
| Ecoregion: | Oligochaeta (Earthworms) | 3 | Hydropsychidae 2 sp | 6 | ||||||||
| Slope class: | Hirudinea (Leeches) | 1 | Hydropsychidae > 2 sp | 12 | ||||||||
| Landform: | CRUSTACEA | Philopotamidae | 10 | |||||||||
| Site Description: | Amphipoda | 13 | Polycentropodidae | 12 | ||||||||
| Potamonautidae* (Crabs) | 3 | Psychomyiidae/XiphocentronkJae | 8 | |||||||||
| Atyidae (Shrimps) | 8 | Cased caddis: | ||||||||||
| Temp (°C): | Palaemonidae (Prawns) | 10 | Calamoceratidae ST | 11 | ||||||||
| pH: | HYDRACARINA (Water mites) | 8 | Hydroptilidae | 6 | ||||||||
| DO (mg/L): | PLECOPTERA (Stoneflies) | Lepidostomatidae | 10 | |||||||||
| Flow: | Notonemouridae | 14 | Leptoceridae | 6 | ||||||||
| Riparian Disturbance: | Perlidae | 12 | Pisuliidae | 10 | ||||||||
| Instream Disturbance: | EPHEMEROPTERA (Mayflies) | COLEOPTERA (Beetles) | ||||||||||
| Latitude: | Baetidae 1 sp | 4 | Dytiscidae/Noteridae* | 5 | ||||||||
| Longitude: | Baetidae 2 sp | 6 | Elmidae/Dryopidae* (Riffle beetles) | 8 | ||||||||
| UTM | Baetidae > 2 sp | 12 | Gyrinidae* (Whirligig beetles) | 5 | ||||||||
| Altitude (masl): | Caenidae (Squaregills/Cainfles) | 6 | Haliplidae* (Crawling water beetles) | 5 | ||||||||
| Cond (mS/m) | Ephemeridae | 13 | Scritidae (Marsh beetles) | 12 | ||||||||
| Clarity (cm): | Heptageniidae | 13 | Hydraenidae* (Minute moss beetles) | 8 | ||||||||
| Turbidity: | Leptophlebiidae (Prongills) | 9 | Hydrophilidae* (Water scavenger bee) | 5 | ||||||||
| Colour: | Oligoneuridae | 15 | Limnichidae | 10 | ||||||||
| Time for each sampling each biotope | Polymitarcyidae (Pale Burrowers) | 10 | Psephemdae (Water Pennies) | 10 | ||||||||
| Stones In Current (SIC) | Prosopistomatidae | 15 | DIPTERA (Flies) | |||||||||
| Stones Out Of Current (SOOC) | Ephemerythydae | 9 | Athene idae | 10 | ||||||||
| Bedrock | Tricorythidae (Stout Crawlers) | 9 | Blephariceridae (Mountain midges) | 15 | ||||||||
| Aquatic Veg | Dicercomyzidae | 10 | Ceratopogonidae (Biting midges) | 5 | ||||||||
| MargVeg In Current | ODONATA (Dragonflies & Damseflies) | Chironomidae (Midges) | 2 | |||||||||
| MargVeg Out Of Current | Calopterygidae ST.T | 10 | Culicidae* (Mosquitoes) | 1 | ||||||||
| Gravel | Chlorocyphidae | 10 | Dixidae* (Dixid midge) | 10 | ||||||||
| Sand | Synlestidae | 8 | Empididae (Dance flies) | 6 | ||||||||
| Mud | Coenagrionidae | 4 | Ephydridae (Shore flies) | 3 | ||||||||
| Lestidae (Emerald Damselflies) | 8 | Muscidae (House flies, Stable flies) | 1 | |||||||||
| Platycnemidae | 10 | Psychodidae (Moth flies) | 1 | |||||||||
| Protoneuridae | 8 | Simuliidae (Blackflies) | 5 | |||||||||
| Hand picking/Visual observation | Aeshnidae | 8 | Syrphidae* (Rat tailed maggots) | 1 | ||||||||
| Corduliidae (Cruisers) | 8 | Tabanidae (Horse flies) | 5 | |||||||||
| Gomphidae (Clubtails) | 6 | Tipulidae (Crane flies) | 5 | |||||||||
| Libellulidae (Darters) | 4 | GASTROPODA (Snails) | ||||||||||
| LEPIDOPTERA (Aquatic Caterpillars/Moths) | Ancylidae (Limpets) | 6 | ||||||||||
| Crambidae (=Pyralidae) | 12 | Bulininae* | 3 | |||||||||
| Other taxa | HEMIPTERA (Bugs) | Hydrobiidae* | 3 | |||||||||
| Belostomatidae* (Giant water bugs) | 3 | Lymnaeidae* (Pond snails) | 3 | |||||||||
| Corixidae* (Water boatmen) | 3 | Physidae* (Pouch snails) | 3 | |||||||||
| Gerridae* | 5 | Planorbinae* (Orb snails) | 3 | |||||||||
| Hydrometridae* (Water measurer | 6 | Thiaridae* (=Melanidae) | 3 | |||||||||
| Naucoridae* (Creeping water bugs) | 7 | Viviparidae* ST | 5 | |||||||||
| Comments and Observations | Nepidae* (Water scorpions) | 3 | Neritidae | 4 | ||||||||
| Notonectidae* (Backswimmers) | 3 | PELECYPODA (Bivalves) | ||||||||||
| Pleidae* (Pygmy backswimmers) | 4 | Corbiculidae | 5 | |||||||||
| Veliidae/M...veliidae* (Ripple bugs | 5 | Sphaeriidae (Pills clams) | 3 | |||||||||
| MEGALOPTERA (Fishflies, Dobsonflies & Alderflies) | Unionidae (Perly mussels) | 6 | ||||||||||
| Corydalidae (Fishflies & Dobsonfl | 8 | SASS Score | ||||||||||
| Sialidae (Alderflies) | 6 | No. of Taxa | ||||||||||
| Procedure: | ASPT | |||||||||||
| Kick SIC & bedrock for 2 mins, max. 5 mins. Kick SOOC & bedrock for 1 min. Sweep marginal vegetation (IC & OOC) for 2m total and aquatic veg 1 | ||||||||||||
| Hand picking & visual observation for 1 min - record in biotope where found (by circling estimated abundance on score sheet). Score for 15 mins/biotope | ||||||||||||
| Estimate abundances: 1 = 1, A = 2-10, B = 10-100, C = 100-1000, D = >1000 S = Stone, rock & solid objects; Veg = All vegetation; GSM = Gravel | ||||||||||||
| Rate each biotope sampled: 1=very poor (i.e. limited diversity), 5=highly suitable (i.e. wide diversity) * = air breathers | ||||||||||||
References
- Elmhagen, B.; Eriksson, O.; Lindborg, R. Implications of climate and land-use change for landscape processes, biodiversity, ecosystem services, and governance. AMBIO 2015, 44, 1–5. [Google Scholar] [CrossRef]
- Lee, E.; Sacks, W.J.; Chase, T.N.; Foley, J.A. Simulated impacts of irrigation on the atmospheric circulation over Asia. J. Geophys. Res. Atmos. 2011, 116, D08114. [Google Scholar] [CrossRef]
- Jarsjö, J.; Asokan, S.M.; Prieto, C.; Bring, A.; Destouni, G. Hydrological responses to climate change conditioned by historic alterations of land-use and water-use. Hydrol. Earth Syst. Sci. 2012, 16, 1335–1347. [Google Scholar] [CrossRef]
- Destouni, G.; Jaramillo, F.; Prieto, C. Hydroclimatic shifts driven by human water use for food and energy production. Nat. Clim. Chang. 2013, 3, 213–217. [Google Scholar] [CrossRef]
- Kartikasari, D.; Retnaningdyah, C.; Arisoesilaningsih, E. Application of water quality and ecology indices of benthic macroinvertebrate to evaluate water quality of tertiary irrigation in Malang district. J. Trop. Life Sci. 2013, 3, 193–201. [Google Scholar] [CrossRef]
- Hellar-Kihampa, H.; de Wael, K.; Lugwisha, E.; van Grieken, R. Water quality assessment in the Pangani River basin, Tanzania: Natural and anthropogenic influences on the concentrations of nutrients and inorganic ions. Int. J. River Basin Manag. 2013, 11, 55–75. [Google Scholar] [CrossRef]
- Selemani, J.R.; Zhang, J.; Muzuka, A.N.N.; Njau, K.N.; Zhang, G.; Mzuza, M.K.; Maggid, A. Nutrients’ distribution and their impact on Pangani River Basin’s ecosystem–Tanzania. Environ. Technol. (UK) 2018, 39, 702–716. [Google Scholar] [CrossRef] [PubMed]
- Mateo-Sagasta, J.; Marjani, S.; Turral, H.; Burke, J. Water Pollution from Agriculture: A Global Review; Food and Agriculture Organization of the United Nations and the International Water Management Institute: Rome, Italy, 2017. [Google Scholar]
- Rizo-Patrón, V.F.; Kumar, A.; McCoy Colton, M.B.; Springer, M.; Trama, F.A. Macroinvertebrate communities as bioindicators of water quality in conventional and organic irrigated rice fields in Guanacaste, Costa Rica. Ecol. Indic. 2013, 29, 68–78. [Google Scholar] [CrossRef]
- Munyika, S.; Kongo, V.; Kimwaga, R. River health assessment using macroinvertebrates and water quality parameters: A case of the Orange River in Namibia. Phys. Chem. Earth 2014, 76–78, 140–148. [Google Scholar] [CrossRef]
- Minaya, V.; McClain, M.E.; Moog, O.; Omengo, F.; Singer, G.A. Scale-dependent effects of rural activities on benthic macroinvertebrates and physico-chemical characteristics in headwater streams of the Mara River, Kenya. Ecol. Indic. 2013, 32, 116–122. [Google Scholar] [CrossRef]
- Elias, J.D.; Ijumba, J.N.; Mgaya, Y.D.; Mamboya, F.A. Study on Freshwater Macroinvertebrates of Some Tanzanian Rivers as a Basis for Developing Biomonitoring Index for Assessing Pollution in Tropical African Regions. J. Ecosyst. 2014, 2014, 985389. [Google Scholar] [CrossRef]
- Hauer, F.R.; Resh, V.H. Macroinvertebrates. In Methods in Stream Ecology, 3rd ed.; Academic Press: Cambridge, MA, USA, 2017; Volume 1, pp. 297–319. ISBN 9780124165588. [Google Scholar]
- Allan, J.D. Influence of land use and landscape setting on the ecological status of rivers. Limnetica 2004, 23, 187–198. [Google Scholar]
- Ward, M.H. Too much of a good thing? Nitrate from nitrogen fertilizers and cancer. Rev. Environ. Health 2009, 24, 357–363. [Google Scholar] [CrossRef]
- Munn, M.D.; Black, R.W.; Gruber, S.J. Response of benthic algae to environmental gradients in an agriculturally dominated landscape. J. N. Am. Benthol. Soc. 2002, 21, 221–237. [Google Scholar] [CrossRef]
- Castellanos Romero, K.; Pizarro Del Río, J.; Cuentas Villarreal, K.; Costa Anillo, J.C.; Pino Zarate, Z.; Gutierrez, L.C.; Franco, O.L.; Arboleda Valencia, J.W. Lentic water quality characterization using macroinvertebrates as bioindicators: An adapted BMWP index. Ecol. Indic. 2017, 72, 53–66. [Google Scholar] [CrossRef]
- Dallas, H.F. A preliminary evaluation of aspects of SASS (South African Scoring System) for the rapid bioassessment of water quality in rivers, with particular reference to the incorporation of sass in a national biomonitoring programme. S. Afr. J. Aquat. Sci. 1997, 23, 79–94. [Google Scholar] [CrossRef]
- Dickens, C.W.S.; Graham, P.M. The South African scoring system (SASS) version 5 rapid bioassessment method for rivers. Afr. J. Aquat. Sci. 2002, 27, 1–10. [Google Scholar] [CrossRef]
- Mathuriau, C.; Silva, N.M.; Lyons, J.; Rivera, L.M.M. Fish and Macroinvertebrates as Freshwater Ecosystem Bioindicators in Mexico: Current State and Perspectives. In Water Resources in Mexico; Springer: Berlin/Heidelberg, Germany, 2012; pp. 251–261. [Google Scholar]
- Kaaya, L.T.; Day, J.A.; Dallas, H.F. Tanzania River Scoring System (TARISS): A macroinvertebrate-based biotic index for rapid bioassessment of rivers. Afr. J. Aquat. Sci. 2015, 40, 109–117. [Google Scholar] [CrossRef]
- Norris, R.H.; Thoms, M.C. What is river health? Freshw. Biol. 1999, 41, 197–209. [Google Scholar] [CrossRef]
- Paulsen, S.G.; Mayio, A.; Peck, D.V.; Stoddard, J.L.; Tarquinio, E.; Holdsworth, S.M.; Van Sickle, J.; Yuan, L.L.; Hawkins, C.P.; Herlihy, A.T.; et al. Condition of stream ecosystems in the US: An overview of the first national assessment. J. N. Am. Benthol. Soc. 2008, 27, 812–821. [Google Scholar] [CrossRef]
- Metcalfe, J.L. Biological water quality assessment of running waters based on macroinvertebrate communities: History and present status in Europe. Environ. Pollut. 1989, 60, 101–139. [Google Scholar] [CrossRef]
- Hering, D.; Moog, O.; Sandin, L.; Verdonschot, P.F.M. Overview and application of the AQEM assessment system. Hydrobiologia 2004, 516, 1–20. [Google Scholar] [CrossRef]
- Smith, M.J.; Kay, W.R.; Edward, D.H.D.; Papas, P.J.; Richardson, K.S.J.; Simpson, J.C.; Pinder, A.M.; Cale, D.J.; Horwitz, P.H.J.; Davis, J.A.; et al. AusRivAS: Using macroinvertebrates to assess ecological condition of rivers in Western Australia. Freshw. Biol. 1999, 41, 269–282. [Google Scholar] [CrossRef]
- Ollis, D.J.; Dallas, H.F.; Esler, K.J.; Boucher, C. Bioassessment of the ecological integrity of river ecosystems using aquatic macroinvertebrates: An overview with a focus on South Africa. Afr. J. Aquat. Sci. 2006, 31, 205–227. [Google Scholar] [CrossRef]
- Damanik-Ambarita, M.N.; Lock, K.; Boets, P.; Everaert, G.; Nguyen, T.H.T.; Forio, M.A.E.; Musonge, P.L.S.; Suhareva, N.; Bennetsen, E.; Landuyt, D.; et al. Ecological water quality analysis of the Guayas river basin (Ecuador) based on macroinvertebrates indices. Limnologica 2016, 57, 27–59. [Google Scholar] [CrossRef]
- Shimba, M.J.; Jonah, F.E. Macroinvertebrates as bioindicators of water quality in the Mkondoa River, Tanzania, in an agricultural area. Afr. J. Aquat. Sci. 2016, 41, 453–461. [Google Scholar] [CrossRef]
- Lowe, S.; Dallas, H.; Kennedy, M.; Taylor, J.; Gibbins, C.; Lang, P.; Sichingabula, H.; Saili, K.; Ntobolo, C.; Kabangu, K.; et al. SAFRASS Methodology Manual. SAFRASS Deliverable Report to African, Caribbean and Pacific Group of States ACP Group Science and Technology Program; Contract No. AFS/2009/219013; University of Glasgow: Glasgow, Scotland, 2012. [Google Scholar]
- Palmer, R.W.; Taylor, E.D. The Namibian Scoring System (NASS) version 2 rapid bio-assessment method for rivers. Afr. J. Aquat. Sci. 2004, 29, 229–234. [Google Scholar] [CrossRef]
- Dallas, H. Wetland Monitoring Using Aquatic Macroinvertebrates; Technical Report, Report 5/2009, Prepared for the Biokavango Project, Harry Oppenheimer Okavango Research Centre, University of Botswana; The Freshwater Consulting Group, University of Cape Town: Cape Town, South Africa, 2009. [Google Scholar]
- Kilonzo, F.; Masese, F.O.; Van Griensven, A.; Bauwens, W.; Obando, J.; Lens, P.N.L. Spatial-temporal variability in water quality and macro-invertebrate assemblages in the Upper Mara River basin, Kenya. Phys. Chem. Earth 2014, 67–69, 93–104. [Google Scholar] [CrossRef]
- RAMSAR Information Sheet on Ramsar Wetland: The Kilombero Valley Floodplain; Wildlife Division, Ministry of Natural Resources and Tourism: Dodoma, Tanzania, 2002; pp. 1–17.
- Massawe, B.H.J. Digital Soil Mapping and GIS-based Land Evaluation for Rice Suitability in Kilombero Valley, Tanzania. Ph.D. Thesis, The Ohio State University, Columbus, OH, USA, 2015. [Google Scholar]
- Alavaisha, E.; Manzoni, S.; Lindborg, R. Different agricultural practices affect soil carbon, nitrogen and phosphorous in Kilombero -Tanzania. J. Environ. Manage. 2019, 234, 159–166. [Google Scholar] [CrossRef] [PubMed]
- Yawson, D.K.; Kongo, V.M.; Kachroo, R.K. Application of linear and nonlinear techniques in river flow forecasting in the Kilombero River basin, Tanzania / Application de techniques linéaires et non-linéaires à la prévision des débits dans le bassin de la Rivière Kilombero, en Tanzanie. Hydrol. Sci. J. 2005, 50, 783–796. [Google Scholar] [CrossRef]
- Senkondo, W.; Tumbo, M.; Lyon, S.W. On the evolution of hydrological modelling for water resources in Eastern Africa. CAB Rev. 2018, 13, 1–26. [Google Scholar] [CrossRef]
- Nindi, S.J.; Maliti, H.; Bakari, S.; Kija, H.; Machoke, M. Conflicts Over Land and Water Resources in the Kilombero Valley Floodplain, Tanzania. Rev. Afr. Polit. Econ. 2014, 173–190. [Google Scholar]
- Gerber, A.; Gabriel, M.J.M. Aquatic Invertebrates of South African Rivers Field Guide; Department of Water Affairs and Forestry, Resource Quality Services: Pretoria, South Africa, 2002; 78p. [Google Scholar]
- Reynoldson, T.B.; Bailey, R.C.; Day, K.E.; Norris, R.H. Biological guidelines for freshwater sediment based on BEnthic Assessment of SedimenT (the BEAST) using a multivariate approach for predicting biological state. Aust. J. Ecol. 1995, 20, 198–219. [Google Scholar] [CrossRef]
- Gabriels, W.; Lock, K.; De Pauw, N.; Goethals, P.L.M. Multimetric Macroinvertebrate Index Flanders (MMIF) for biological assessment of rivers and lakes in Flanders (Belgium). Limnologica 2010, 40, 199–207. [Google Scholar] [CrossRef]
- APHA. Standard Methods for the Examination of Water and Wastewater, 20th ed.; American Public Health Association: Washington, DC, USA, 1998. [Google Scholar]
- Margalef, R. Information theory in ecology. Gen. Syst. 1958, 3, 36–71. [Google Scholar]
- Simpson, E. Measurement of diversity. Nature 1949, 163, 688. [Google Scholar] [CrossRef]
- Dallas, H.F.; Day, J.A. Natural variation in macroinvertebrate assemblages and the development of a biological banding system for interpreting bioassessment data—A preliminary evaluation using data from upland sites in the south-western Cape, South Africa. Hydrobiologia 2007, 575, 231–244. [Google Scholar] [CrossRef]
- Kaaya, L. Biological Assessment of Tropical Riverine Systems Using Aquatic Macroinvertebrates in Tanzania East Africa. Ph.D. Thesis, University of Cape Town, Cape Town, South Africa, 2014. [Google Scholar]
- Ayers, R.S.; Westcot, D.W. Water Quality for Agriculture; Food and Agriculture Organization of the United Nations: Rome, Italy, 1994; Volume 29. [Google Scholar]
- Tanzania Bureau of Standards (TBS). National Environmental Standards Compendium; Tanzania Bureau of Standards (TBS): Dar es Salaam, Tanzania, 2017; 78p. [Google Scholar]
- WHO. Guidelines for Drinking-Water Quality, 4th ed.; Incorporating the First Addendums; World Health Organization: Geneva, Switzerland, 2017; ISBN 9789241549950. [Google Scholar]
- WHO. A Global Overview of National Regulations and Standards for Drinking-Water Quality; World Health Organization: Geneva, Switzerland, 2018; ISBN 978-92-4-151376-0. [Google Scholar]
- Seitzinger, S.P.; Harrison, J.A.; Dumont, E.; Beusen, A.H.W.; Bouwman, A.F. Sources and delivery of carbon, nitrogen, and phosphorus to the coastal zone: An overview of Global Nutrient Export from Watersheds (NEWS) models and their application. Glob. Biogeochem. Cycles 2005, 19. [Google Scholar] [CrossRef]
- Mohamed, J.; Murimi, S.; Kihampa, C. Degradation of Water Resources by Agricultural Pesticides and Nutrients, Weruweru, Tanzania. Iran. J. Energy Environ. 2014, 5, 192–201. [Google Scholar] [CrossRef]
- Pullanikkatil, D.; Palamuleni, L.G.; Ruhiiga, T.M. Impact of land use on water quality in the Likangala catchment, southern Malawi. Afr. J. Aquat. Sci. 2015, 40, 277–286. [Google Scholar] [CrossRef]
- Eady, B.R.; Rivers-Moore, N.A.; Hill, T.R. Relationship between water temperature predictability and aquatic macroinvertebrate assemblages in two South African streams. Afr. J. Aquat. Sci. 2013, 38, 163–174. [Google Scholar] [CrossRef]
- Li, F.; Cai, Q.; Jiang, W.; Qu, X. Macroinvertebrate relationships with water temperature and water flow in subtropical monsoon streams of Central China: Implications for climate change. Fundam. Appl. Limnol./Arch. Hydrobiol. 2012, 180, 221–231. [Google Scholar] [CrossRef]
- Yan, Y.; Zhao, C.; Wang, C.; Shan, P.; Zhang, Y.; Wu, G. Ecosystem health assessment of the Liao River Basin upstream region based on ecosystem services. Acta Ecol. Sin. 2016, 36, 294–300. [Google Scholar] [CrossRef]
- Sharma, P.; Meher, P.K.; Kumar, A.; Gautam, Y.P.; Mishra, K.P. Changes in water quality index of Ganges river at different locations in Allahabad. Sustain. Water Qual. Ecol. 2014, 3–4, 67–76. [Google Scholar] [CrossRef]
- Hamner, S.; Tripathi, A.; Mishra, R.K.; Bouskill, N.; Broadaway, S.C.; Pyle, B.H.; Ford, T.E. The role of water use patterns and sewage pollution in incidence of water-borne/enteric diseases along the Ganges River in Varanasi, India. Int. J. Environ. Health Res. 2006, 16, 113–132. [Google Scholar] [CrossRef] [PubMed]
- Bonada, N.; Prat, N.; Resh, V.H.; Statzner, B. Developments in Aquatic Insect Biomonitoring: A Comparative Analysis of Recent Approaches. Annu. Rev. Entomol. 2006, 51, 495–523. [Google Scholar] [CrossRef]
- Harikumar, P.S.P.; Deepak, R.; Ramachandran, A. Water Quality Assessment of Valapattanam River Basin in Kerala, India, using Macro-Invertebrates as Biological Indicators. Open Environ. Biol. Monit. J. 2014, 2014, 1–9. [Google Scholar] [CrossRef]
- Sharma, M.P.; Sharma, S.; Goel, V.; Sharma, P.; Kumar, A. Water quality assessment of Ninglad stream. Life Sci. 2008, 5, 67–72. [Google Scholar]
- Dallas, H.F. The influence of biotope availability on macroinvertebrate assemblages in South African rivers: Implications for aquatic bioassessment. Freshw. Biol. 2007, 52, 370–380. [Google Scholar] [CrossRef]
- Lock, K.; Asenova, M.; Goethals, P.L.M. Benthic macroinvertebrates as indicators of the water quality in Bulgaria: A case-study in the Iskar river basin. Limnologica 2011, 41, 334–338. [Google Scholar] [CrossRef]
- Xu, M.; Wang, Z.; Duan, X.; Pan, B. Effects of pollution on macroinvertebrates and water quality bio-assessment. Hydrobiologia 2014, 729, 247–259. [Google Scholar] [CrossRef]
- Matthaei, C.D.; Werthmüller, D.; Frutiger, A. Invertebrate recovery from a bed-moving spate: The role of drift versus movements inside or over the substratum. Fundam. Appl. Limnol. 1997, 140, 221–235. [Google Scholar] [CrossRef]
- Suleiman, K.; Abdullahi, I.L. Biological Assessment of Water Quality: A Study of Challawa River Water Kano, Nigeria. Bayero J. Pure Appl. Sci. 2011, 4, 121–127. [Google Scholar] [CrossRef]
- Lyon, S.W.; DiBlasio, M.; Creveling, E. On using initial monitoring data to communicate restoration potentials and limitations. Appl. Environ. Educ. Commun. 2019. [Google Scholar] [CrossRef]
- Boyle, T.P.; Fraleigh, H.D. Natural and anthropogenic factors affecting the structure of the benthic macroinvertebrate community in an effluent-dominated reach of the Santa Cruz River, AZ. Ecol. Indic. 2003, 3, 93–117. [Google Scholar] [CrossRef]
- Marques, M.M.G.S.M.; Barbosa, F.A.R.; Callisto, M. Distribution and abundance of Chironomidae (Diptera, Insecta) in an impacted watershed in South-east Brazil. Revista Brasileira de Biologia 1999, 59, 553–561. [Google Scholar] [CrossRef] [PubMed]
- Odume, O.N.; Muller, W.J.; Arimoro, F.O.; Palmer, C.G. The impact of water quality deterioration on macroinvertebrate communities in the Swartkops River, South Africa: A multimetric approach. Afr. J. Aquat. Sci. 2012, 37, 191–200. [Google Scholar] [CrossRef]
- Osmulski, P.A.; Leyko, W. Structure, function and physiological role of chironomus haemoglobin. Comp. Biochem. Physiol. 1986, 85, 701–722. [Google Scholar] [CrossRef]
- Fabrizi, A.; Goretti, E.; Compin, A.; Céréghino, R. Influence of Fish Farming on the Spatial Patterns and Biological Traits of River Invertebrates in an Appenine Stream System (Italy). Int. Rev. Hydrobiol. 2010, 95, 410–427. [Google Scholar] [CrossRef]
- Pallottini, M.; Cappelletti, D.; Fabrizi, A.; Gaino, E.; Goretti, E.; Selvaggi, R.; Céréghino, R. Macroinvertebrate Functional Trait Responses to Chemical Pollution in Agricultural–Industrial Landscapes. River Res. Appl. 2017, 33, 505–513. [Google Scholar] [CrossRef]
- Mauricio da Rocha, J.R.; De Almeida, J.R.; Lins, G.A.; Durval, A. Insects as Indicators of Environmental Changing and Pollution: A Review of Appropriate Species and Their Monitoring. Holos Environ. 2010, 10, 250–262. [Google Scholar] [CrossRef]
- Egler, M.; Buss, D.; Moreira, J.; Baptista, D. Influence of agricultural land-use and pesticides on benthic macroinvertebrate assemblages in an agricultural river basin in southeast Brazil. Braz. J. Biol. 2012, 72, 437–443. [Google Scholar] [CrossRef] [PubMed]
- Chow, Y.S.; Gupta, V.K.; Nicolson, S.W.; Brown, H.P.; Resh, V.H.; Rosenberg, D.M.; Ross, E.S.; Showler, A.T.; Spafford, H.; McFadyen, R.; et al. Water Pollution and Insects. In Encyclopedia of Entomology; Springer: Dordrecht, The Netherlands, 2008; pp. 4158–4168. [Google Scholar]
- De Troyer, N.; Mereta, S.; Goethals, P.; Boets, P.; De Troyer, N.; Mereta, S.T.; Goethals, P.L.M.; Boets, P. Water Quality Assessment of Streams and Wetlands in a Fast Growing East African City. Water 2016, 8, 123. [Google Scholar] [CrossRef]
- Karaouzas, I.; Smeti, E.; Vourka, A.; Vardakas, L.; Mentzafou, A.; Tornés, E.; Sabater, S.; Muñoz, I.; Skoulikidis, N.T.; Kalogianni, E. Assessing the ecological effects of water stress and pollution in a temporary river - Implications for water management. Sci. Total Environ. 2018, 618, 1591–1604. [Google Scholar] [CrossRef] [PubMed]
- Chételat, J.; Pick, F.R.; Morin, A.; Hamilton, P.B. Periphyton biomass and community composition in rivers of different nutrient status. Can. J. Fish. Aquat. Sci. 1999, 56, 560–569. [Google Scholar] [CrossRef]
- Niyogi, D.K.; Koren, M.; Arbuckle, C.J.; Townsend, C.R. Stream Communities Along a Catchment Land-Use Gradient: Subsidy-Stress Responses to Pastoral Development. Environ. Manag. 2007, 39, 213–225. [Google Scholar] [CrossRef] [PubMed]
- Song, M.-S.; Lee, S.; Park, J.; Park, J.; Kim, B.; Koh, S.; Lee, K.; Park, Y.-S.; Chon, T.-S. Comparative Community Analysis of Benthic Macroinvertebrates and Microorganisms Across Different Levels of Organic Pollution in a Stream by Using Artificial Neural Networks. WSEAS Trans. Biol. Biomed. 2005, 3, 257–268. [Google Scholar]
- Usseglio-Polatera, P.; Bournaud, M.; Richoux, P.; Tachet, H. Biological and ecological traits of benthic freshwater macroinvertebrates: Relationships and definition of groups with similar traits. Freshw. Biol. 2000, 43, 175–205. [Google Scholar] [CrossRef]






| Stream | Sampling Site | TARISS Score | No. of Taxa | ASPT | Margalef Index | Simpson’s Index | TARISS Score | No. of Taxa | ASPT | Margalef Index | Simpson’s Index |
|---|---|---|---|---|---|---|---|---|---|---|---|
| MS | MS1 | 92 | 10 | 9.20 | 1.73 | 0.59 | 136 | 18 | 7.56 | 3.15 | 0.82 |
| MS2 | 70 | 8 | 8.75 | 1.55 | 0.58 | ||||||
| MS3 | 89 | 12 | 7.42 | 2.47 | 0.75 | ||||||
| MS4 | 47 | 7 | 6.71 | 1.82 | 0.81 | ||||||
| MS5 | 46 | 7 | 6.57 | 1.43 | 0.61 | ||||||
| MK | MK1 | 128 | 17 | 7.53 | 3.00 | 0.83 | 135 | 19 | 7.11 | 3.84 | 0.89 |
| MK2 | 107 | 13 | 8.23 | 2.35 | 0.80 | ||||||
| MK3 | 53 | 10 | 5.30 | 2.27 | 0.71 | ||||||
| MK4 | 51 | 9 | 5.67 | 2.08 | 0.57 | ||||||
| MK5 | 28 | 7 | 4.00 | 1.56 | 0.73 | ||||||
| NJ | NJ1 | 60 | 9 | 6.67 | 2.78 | 0.83 | 184 | 28 | 6.57 | 4.13 | 0.85 |
| NJ2 | 74 | 12 | 6.17 | 2.63 | 0.84 | ||||||
| NJ3 | 74 | 13 | 5.69 | 2.15 | 0.77 | ||||||
| NJ4 | 66 | 12 | 5.50 | 1.68 | 0.75 | ||||||
| NJ5 | 42 | 8 | 5.25 | 1.84 | 0.74 | ||||||
| SL | SL1 | 28 | 6 | 4.67 | 1.20 | 0.58 | 121 | 22 | 5.50 | 3.83 | 0.80 |
| SL2 | 43 | 9 | 4.78 | 1.86 | 0.64 | ||||||
| SL3 | 40 | 10 | 4.00 | 1.08 | 0.65 | ||||||
| SL4 | 63 | 12 | 5.25 | 1.23 | 0.59 | ||||||
| SL5 | 62 | 13 | 4.77 | 1.21 | 0.59 | ||||||
| KT | KT1 | 121 | 14 | 8.64 | 2.89 | 0.85 | 212 | 29 | 7.31 | 4.99 | 0.94 |
| KT2 | 134 | 16 | 8.38 | 3.34 | 0.86 | ||||||
| KT3 | 82 | 13 | 6.31 | 2.80 | 0.89 | ||||||
| KT4 | 54 | 9 | 6.00 | 2.43 | 0.84 | ||||||
| KT5 | 55 | 9 | 6.11 | 2.77 | 0.91 |
| pH | DO | EC | Turbidity NTU | Temp | NH4+–N | NO3−–N | PO43–P | Margalef Index | Simpson’s Index | ASPT | |
|---|---|---|---|---|---|---|---|---|---|---|---|
| pH | 1 | −0.247 | 0.097 | −0.155 | 0.404* | 0.084 | 0.542** | 0.180 | −0.271 | −0.313 | −0.169 |
| DO | 1 | −0.472* | −0.601** | −0.473* | −0.670** | −0.423* | -0.288 | 0.742** | 0.657** | 0.584** | |
| EC | 1 | 0.268 | 0.278 | 0.528** | 0.466* | 0.003 | −0.300 | −0.146 | −0.742** | ||
| Turbidity NTU | 1 | 0.162 | 0.728** | 0.089 | 0.147 | −0.537** | −0.430* | −0.123* | |||
| Temp | 1 | 0.310 | 0.240 | −0.091 | −0.455* | −0.278 | −0.517** | ||||
| NH4+–N | 1 | 0.505** | −0.068 | −0.556** | −0.533** | −0.417* | |||||
| NO3−–N | 1 | 0.012 | −0.361 | −0.325 | −0.457* | ||||||
| PO43–P | 1 | −0.191 | −0.005 | −0.110 | |||||||
| Margalef index | 1 | 0.837** | 0.630* | ||||||||
| Simpson’s index | 1 | 0.475* | |||||||||
| ASPT | 1 |
© 2019 by the authors. Licensee MDPI, Basel, Switzerland. This article is an open access article distributed under the terms and conditions of the Creative Commons Attribution (CC BY) license (http://creativecommons.org/licenses/by/4.0/).
Share and Cite
Alavaisha, E.; Lyon, S.W.; Lindborg, R. Assessment of Water Quality Across Irrigation Schemes: A Case Study of Wetland Agriculture Impacts in Kilombero Valley, Tanzania. Water 2019, 11, 671. https://doi.org/10.3390/w11040671
Alavaisha E, Lyon SW, Lindborg R. Assessment of Water Quality Across Irrigation Schemes: A Case Study of Wetland Agriculture Impacts in Kilombero Valley, Tanzania. Water. 2019; 11(4):671. https://doi.org/10.3390/w11040671
Chicago/Turabian StyleAlavaisha, Edmond, Steve W. Lyon, and Regina Lindborg. 2019. "Assessment of Water Quality Across Irrigation Schemes: A Case Study of Wetland Agriculture Impacts in Kilombero Valley, Tanzania" Water 11, no. 4: 671. https://doi.org/10.3390/w11040671
APA StyleAlavaisha, E., Lyon, S. W., & Lindborg, R. (2019). Assessment of Water Quality Across Irrigation Schemes: A Case Study of Wetland Agriculture Impacts in Kilombero Valley, Tanzania. Water, 11(4), 671. https://doi.org/10.3390/w11040671

