Reliable Future Climatic Projections for Sustainable Hydro-Meteorological Assessments in the Western Lake Erie Basin
Abstract
1. Introduction
2. Materials and Methods
2.1. Study Site and Climatology
2.2. Data Acquisition
2.3. Data Analysis
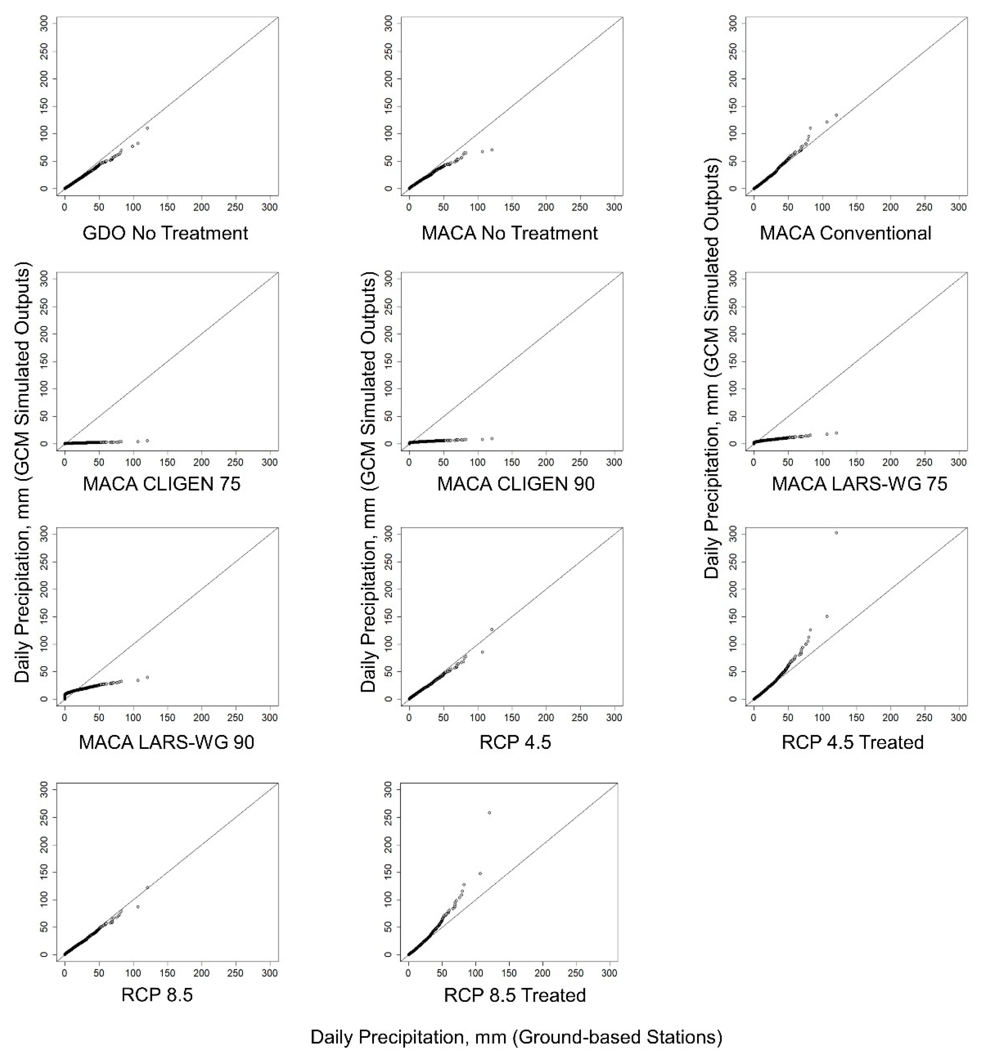
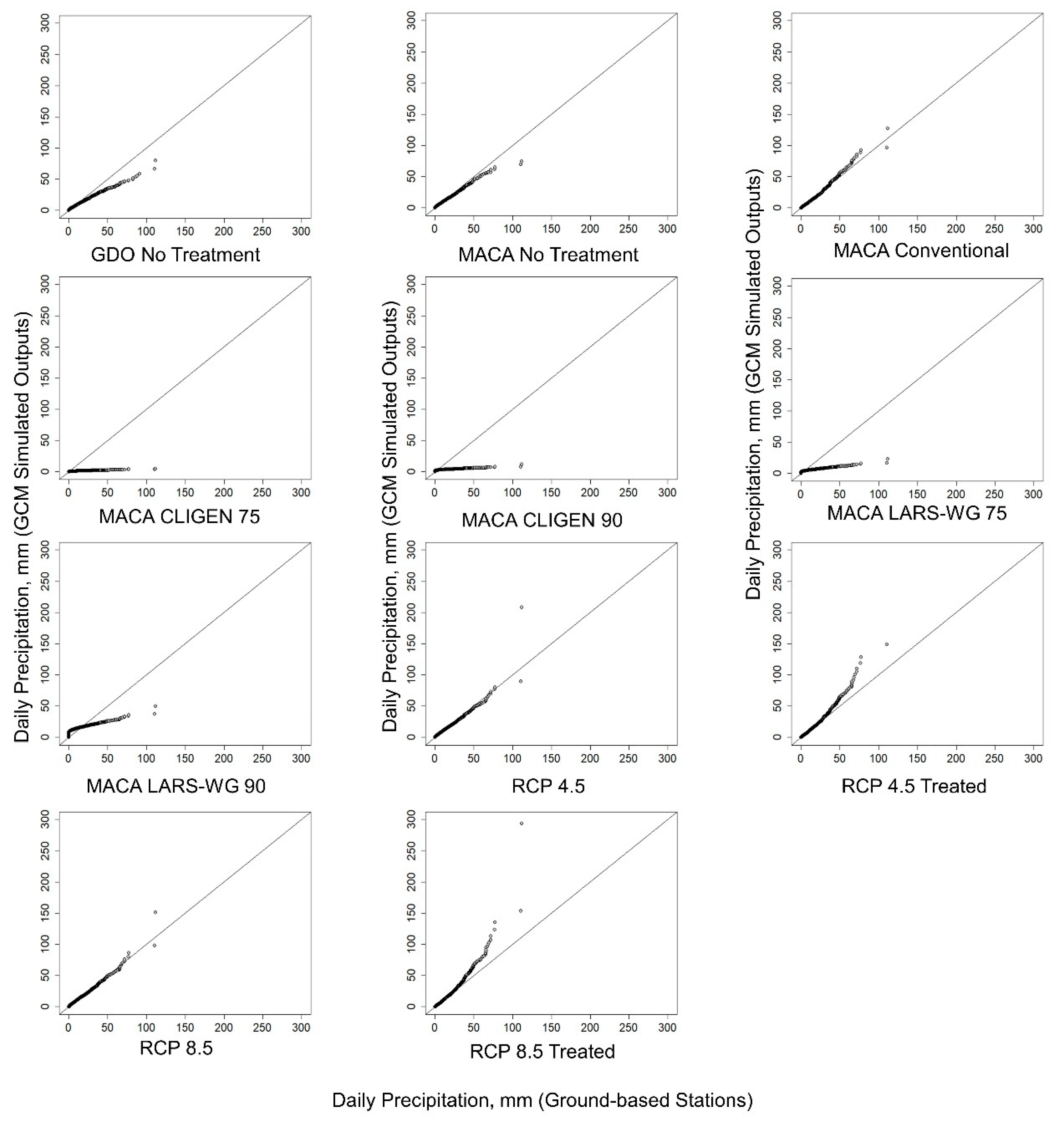
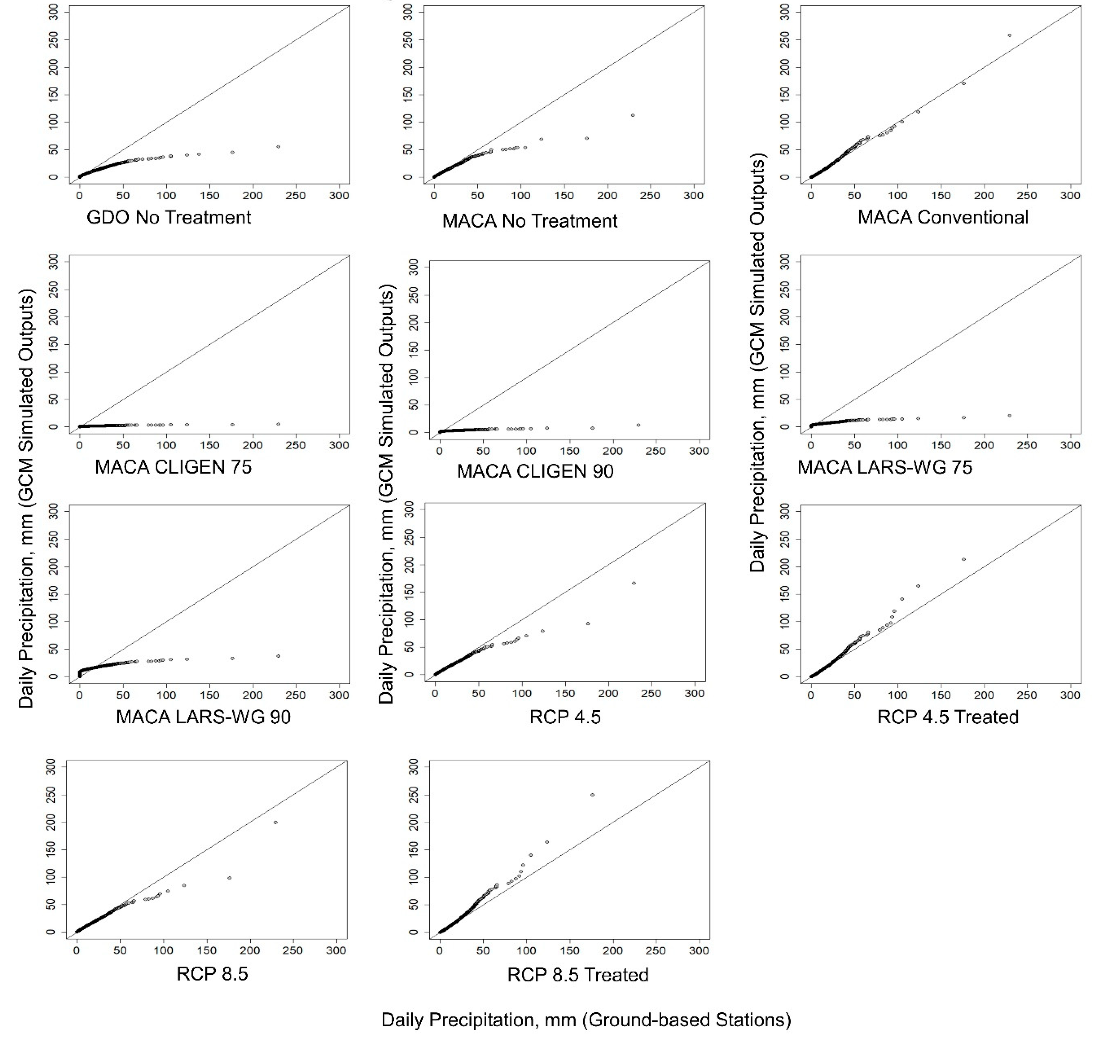
3. Results
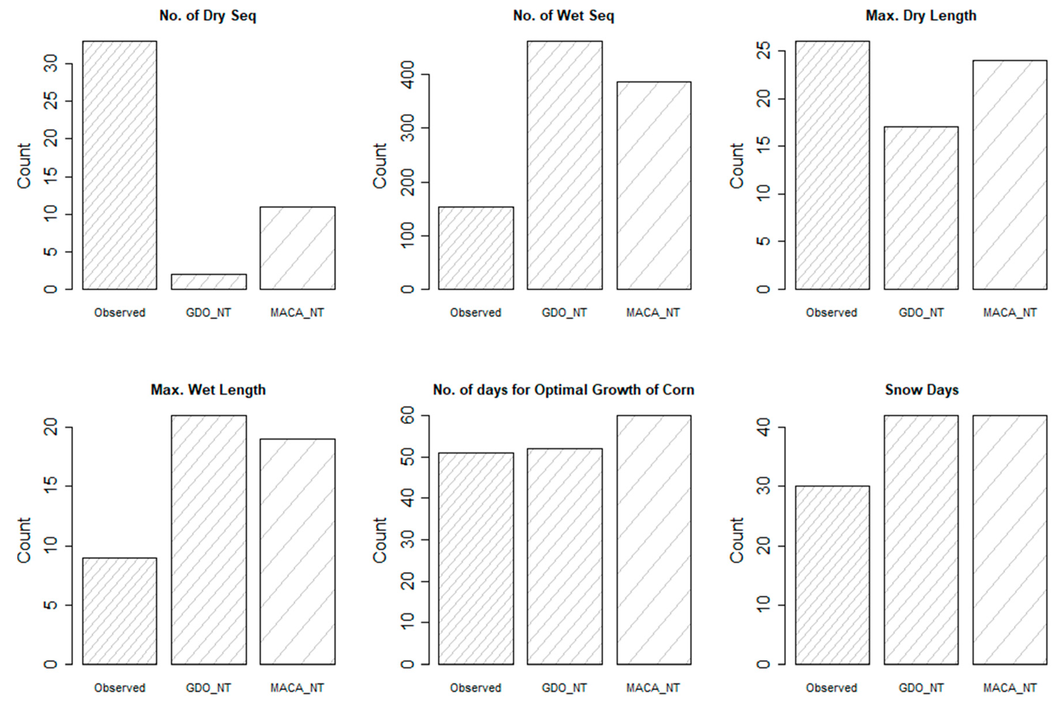
3.1. Comparison of Data from Two Different Sources of Climate Projections (GDO and MACA)
3.2. Evaluation of Different Bias Correction Methods for the Historic Period
3.3. Analysis of Climate Projections for Western Lake Erie Basin
3.4. Basin-Wide Projections
4. Discussion
5. Conclusions
6. Data Availability
Supplementary Materials
Author Contributions
Funding
Acknowledgments
Conflicts of Interest
References
- Obled, C.; Wendling, J.; Beven, K. The sensitivity of hydrological models to spatial rainfall patterns, an evaluation using observed data. J. Hydrol. 1994, 159, 305–333. [Google Scholar] [CrossRef]
- Kouwen, N.; Danard, M.; Bingeman, A.; Luo, W.; Seglenieks, F.R.; Soulis, E.D. Case study, watershed modeling with distributed weather model data. J. Hydrol. Eng. 2005, 10, 23–38. [Google Scholar] [CrossRef]
- Shrestha, R.; Tachikawa, Y.; Takara, K. Performance analysis of different meteorological data and resolutions using MaScOD hydrological model. Hydrol. Process. 2004, 18, 3169–3187. [Google Scholar] [CrossRef]
- Whitehead, P.G.; Wilby, R.L.; Butterfield, D.; Wade, A.J. Impacts of climate change on in-stream nitrogen in a lowland chalk stream, an appraisal of adaptation strategies. Sci. Total Environ. 2006, 365, 260–273. [Google Scholar] [CrossRef]
- Wilby, R.L.; Wigley, T.M.L. Downscaling general circulation model output, a review of methods and limitations. Prog. Phys. Geogr. 1997, 21, 530–548. [Google Scholar] [CrossRef]
- Wilby, R.L.; Wigley, T.M.L. Future changes in the distribution of daily precipitation totals across North America. Geophys. Res. Lett. 2002, 29, 39-1–39-4. [Google Scholar] [CrossRef]
- Wilby, R.L.; Charles, S.P.; Zorita, E.; Timbal, B.; Whetton, P.; Mearns, L.O. Guidelines for Use of Climate Scenarios Developed from Statistical Downscaling Methods. 2004. Available online: http://www.ipcc-data.org/guidelines/dgm_no2_v1_09_2004.pdf (accessed on 12 March 2019).
- Bosshard, T.; Kotlarski, S.; Zappa, M.; Schär, C. Hydrological climate-impact projections for the Rhine River, GCM-RCM uncertainty and separate temperature and precipitation effects. J. Hydrometeorol. 2014, 15, 697–713. [Google Scholar] [CrossRef]
- Wild, M.; Grieser, J.; Schär, C. Combined surface solar brightening and increasing greenhouse effect support recent intensification of the global land-based hydrological cycle. Geophys. Res. Lett. 2008, 35. [Google Scholar] [CrossRef]
- Winkler, J.A.; Arritt, R.W.; Pryor, S.C. Climate Projections for the Midwest, Availability, Interpretation and Synthesis; US National Climate Assessment Midwest Technical Input Report; Great Lakes Integrated Sciences and Assessments Center (GLISA): Ann Arbor, MI, USA, 2012; Available online: http://glisa.msu.edu/docs/NCA/MTIT_Future.pdf (accessed on 19 March 2019).
- Maurer, E.P.; Brekke, L.; Pruitt, T.; Thrasher, B.; Long, J.; Duffy, P.; Dettinger, M.; Cayan, D.; Arnold, J. An enhanced archive facilitating climate impacts and adaptation analysis. Bull. Am. Meteorol. Soc. 2014, 95, 1011–1019. [Google Scholar] [CrossRef]
- Wang, J.; Kotamarthi, V.R. High-resolution dynamically downscaled projections of precipitation in the mid and late 21st century over North America. Earth’s Future 2015, 3, 268–288. [Google Scholar] [CrossRef]
- Teutschbein, C.; Seibert, J. Regional climate models for hydrological impact studies at the catchment scale, a review of recent modeling strategies. Geogr. Compass 2010, 4, 834–860. [Google Scholar] [CrossRef]
- Xu, C. From GCMs to river flow, a review of downscaling methods and hydrologic modelling approaches. Prog. Phys. Geogr. 1999, 23, 229–249. [Google Scholar] [CrossRef]
- Teutschbein, C.; Wetterhall, F.; Seibert, J. Evaluation of different downscaling techniques for hydrological climate-change impact studies at the catchment scale. Clim. Dyn. 2011, 37, 2087–2105. [Google Scholar] [CrossRef]
- Trzaska, S.; Schnarr, E. A Review of Downscaling Methods for Climate Change Projections; Produced for the United States Agency for International Development by Tetra Tech ARD; Tetra Tech ARD: Pasadena, CA, USA, 2014; pp. 1–42. [Google Scholar]
- Beven, K.J. Rainfall-Runoff Modelling, the Primer; John Wiley & Sons: Hoboken, NJ, USA, 2011. [Google Scholar]
- Kay, A.L.; Davies, H.N.; Bell, V.A.; Jones, R.G. Comparison of uncertainty sources for climate change impacts, flood frequency in England. Clim. Chang. 2009, 92, 41–63. [Google Scholar] [CrossRef]
- Eden, J.M.; Widmann, M.; Maraun, D.; Vrac, M. Comparison of GCM- and RCM-simulated precipitation following stochastic postprocessing. J. Geophys. Res. Atmos. 2014, 119, 11040–11053. [Google Scholar] [CrossRef]
- Troin, M.; Velázquez, J.A.; Caya, D.; Brissette, F. Comparing statistical post-processing of regional and global climate scenarios for hydrological impacts assessment, a case study of two Canadian catchments. J. Hydrol. 2015, 520, 268–288. [Google Scholar] [CrossRef]
- Ho, C.K.; Stephenson, D.B.; Collins, M.; Ferro, C.A.T.; Brown, S.J. Calibration strategies, a source of additional uncertainty in climate change projections. Bull. Am. Meteorol. Soc. 2012, 93, 21–26. [Google Scholar] [CrossRef]
- Seguí, P.Q.; Ribes, A.; Martin, E.; Habets, F.; Boé, J. Comparison of three downscaling methods in simulating the impact of climate change on the hydrology of Mediterranean basins. J. Hydrol. 2010, 383, 111–124. [Google Scholar] [CrossRef]
- Dobler, C.; Hagemann, S.; Wilby, R.L.; Stötter, J. Quantifying different sources of uncertainty in hydrological projections in an Alpine watershed. Hydrol. Earth Syst. Sci. 2012, 16, 4343–4360. [Google Scholar] [CrossRef]
- Cousino, L.K.; Becker, R.H.; Zmijewski, K.A. Modeling the effects of climate change on water, sediment, and nutrient yields from the Maumee River watershed. J. Hydrol. Reg. Stud. 2015, 4, 762–775. [Google Scholar] [CrossRef]
- Kalcic, M.M.; Kirchhoff, C.; Bosch, N.; Muenich, R.L.; Murray, M.; Griffith Gardner, J.; Scavia, D. Engaging stakeholders to define feasible and desirable agricultural conservation in western Lake Erie watersheds. Environ. Sci. Technol. 2016, 50, 8135–8145. [Google Scholar] [CrossRef] [PubMed]
- Scavia, D.; Kalcic, M.; Muenich, R.L.; Aloysius, N.; Boles, C.; Confessor, R.; DePinto, J.; Gildow, M.; Martin, J.; Read, J. Informing Lake Erie Agriculture Nutrient Management via Scenario Evaluation; University of Michigan: Ann Arbor, MI, USA, 2016; Available online: http://tinyurl.com/pp4umuz (accessed on 1 April 2016).
- Mehan, S.; Guo, T.; Gitau, M.W.; Flanagan, D.C. Comparative study of different stochastic weather generators for long-term climate data simulation. Climate 2017, 5, 26. [Google Scholar] [CrossRef]
- Ficklin, D.L.; Luo, Y.; Luedeling, E.; Zhang, M. Climate change sensitivity assessment of a highly agricultural watershed using SWAT. J. Hydrol. 2009, 374, 16–29. [Google Scholar] [CrossRef]
- Mehan, S.; Kanan, N.; Neupane, R.P.; McDaniel, R.; Kumar, S. Climate change impacts on the hydrological processes of a small agricultural watershed. Climate 2016, 4, 56. [Google Scholar] [CrossRef]
- Abatzoglou, J.T. Development of gridded surface meteorological data for ecological applications and modelling. Int. J. Climatol. 2013, 33, 121–131. [Google Scholar] [CrossRef]
- Brekke, L.; Thrasher, B.L.; Maurer, E.P.; Pruitt, T. Downscaled CMIP3 and CMIP5 Climate Projections, Release of Downscaled CMIP5 Climate Projections, Comparison with Preceding Information, and Summary of User Needs; Technical Service Center, Bureau of Reclamation, US Department of the Interior: Denver, CO, USA, 2013.
- Wood, A.W.; Leung, L.R.; Sridhar, V.; Lettenmaier, D.P. Hydrologic implications of dynamical and statistical approaches to downscaling climate model outputs. Clim. Chang. 2014, 62, 189–216. [Google Scholar] [CrossRef]
- Mehan, S.; Gitau, M. Climate Projections for the Western Lake Erie Basin for Medium and High Emission Scenarios for Hydrologic Modeling Assessment Studies (Indiana, Ohio, and Michigan); Purdue University Research Repository (PURR): West Lafayette, IN, USA, 2019. [Google Scholar]
- Mehan, S.; Gitau, M. Spatial-Temporal Climate Projection Data for 21st-Century for the Western Lake Erie Basin (WLEB) for Hydrologic Studies; Purdue University Research Repository (PURR): West Lafayette, IN, USA, 2019. [Google Scholar]
- Friedlingstein, P.; Meinshausen, M.; Arora, V.K.; Jones, C.D.; Anav, A.; Liddicoat, S.K.; Knutti, R. Uncertainties in CMIP5 climate projections due to carbon cycle feedbacks. J. Clim. 2014, 27, 511–526. [Google Scholar] [CrossRef]
- Sun, Q.; Miao, C.; Duan, Q. Projected changes in temperature and precipitation in ten river basins over China in 21st century. Int. J. Climatol. 2015, 35, 1125–1141. [Google Scholar] [CrossRef]
- Mehan, S.; Gitau, M. Climate Projection Data for 21st Century for the Western Lake Erie Basin (Indiana, Ohio, and Michigan); Purdue University Research Repository (PURR): West Lafayette, IN, USA, 2019. [Google Scholar]
- Mehan, S.; Gitau, M. Climate Time Series Analysis Using R; Purdue University Research Repository (PURR): West Lafayette, IN, USA, 2019. [Google Scholar]
- Lawrence, P.J.; Feddema, J.J.; Bonan, G.B.; Meehl, G.A.; O’Neill, B.C.; Oleson, K.W.; Levis, S.; Lawrence, D.M.; Kluzek, E.; Lindsay, K. Simulating the biogeochemical and biogeophysical impacts of transient land cover change and wood harvest in the Community Climate System Model (CCSM4) from 1850 to 2100. J. Clim. 2012, 25, 3071–3095. [Google Scholar] [CrossRef]
- Palazzoli, I.; Maskey, S.; Uhlenbrook, S.; Nana, E.; Bocchiola, D. Impact of prospective climate change on water resources and crop yields in the Indrawati basin, Nepal. Agric. Syst. 2015, 133, 143–157. [Google Scholar] [CrossRef]
- Straatsma, M.; Droogers, P.; Brandsma, J.; Buytaert, W.; Karssenberg, D.; Van Beek, R.; Wada, Y.; Sutanudjaja, E.; Vitolo, C.; Schmitz, O. Bridging the climate-induced water gap in the twenty-first century, adaptation support based on water supply, demand, adaptation and financing. In Proceedings of the EGU General Assembly Conference Abstracts, EGU General Assembly, Vienna, Austria, 27 April–2 May 2014. [Google Scholar]
- Gorguner, M.; Ishida, K.; Kavvas, M.L.; Ohara, N.; Richard Chen, Z.Q. Regional hydrologic impact assessment of climate change on reservoir inflows under the CMIP5 climate projections. In Proceedings of the World Environmental and Water Resources Congress, Sacramento, CA, USA, 21–25 May 2017; pp. 565–571. [Google Scholar] [CrossRef]
- Sridhar, V.; Billah, M.M.; Hildreth, J.W. Coupled surface and groundwater hydrological modeling in a changing climate. Groundwater 2017, 56, 618–635. [Google Scholar] [CrossRef]
- Murawski, A.; Bürger, G.; Vorogushyn, S.; Merz, B. Can local climate variability be explained by weather patterns? A multi-station evaluation for the Rhine basin. Hydrol. Earth Syst. Sci. 2016, 20, 4283–4306. [Google Scholar] [CrossRef]
- Song, X.; Hoffman, F.M.; Iversen, C.M.; Yin, Y.; Kumar, J.; Ma, C.; Xu, X. Significant inconsistency of vegetation carbon density in CMIP5 Earth system models against observational data. J. Geophys. Res. Biogeosci. 2017, 122, 2282–2297. [Google Scholar] [CrossRef]
- Peng, S.; Ciais, P.; Krinner, G.; Wang, T.; Gouttevin, I.; McGuire, A.D.; Lawrence, D.; Burke, E.; Chen, X.; Decharme, B. Simulated high-latitude soil thermal dynamics during the past 4 decades. Cryosphere 2016, 10, 179–192. [Google Scholar] [CrossRef]
- Park, Y.S.; Kum, D.H.; Jung, Y.H.; Cho, J.P.; Lim, K.J.; Kim, K.S. Simulation of the Best Management Practice Impacts on Nonpoint Source Pollutant Reduction in Agricultural Area using STEPL WEB Model. J. Korean Soc. Agric. Eng. 2014, 56, 21–27. [Google Scholar]
- Lant, C.; Stoebner, T.J.; Schoof, J.T.; Crabb, B. The effect of climate change on rural land cover patterns in the Central United States. Clim. Chang. 2016, 138, 585–602. [Google Scholar] [CrossRef]
- Ivancic, T. Towards a Conceptual Understanding of Precipitation and Flooding in a Changing Climate; State University of New York College of Environmental Science and Forestry: Syracuse, NY, USA, 2016. [Google Scholar]
- Knutti, R.; Furrer, R.; Tebaldi, C.; Cermak, J.; Meehl, G.A. Challenges in combining projections from multiple climate models. J. Clim. 2010, 23, 2739–2758. [Google Scholar] [CrossRef]
- Mathugama, S.C.; Peiris, T.S.G. Critical evaluation of dry spell research. Int. J. Basic Appl. Sci. 2011, 6, 153–160. [Google Scholar]
- Sivakumar, M.V.K. Empirical analysis of dry spells for agricultural applications in West Africa. J. Clim. 1992, 5, 532–539. [Google Scholar] [CrossRef]
- Taley, S.M.; Dalvi, V.B. Dry-Spell Analysis for Studying the Sustainability of Rainfed Agriculture in India—The Case Study of the Vidarbha Region of Maharashtra State; Large Farm Development Project: Maharashtra, India, 1991. [Google Scholar]
- Mathlouthi, M.; Lebdi, F. Characterization of dry spell events in a basin in the North of Tunisia. In Proceedings of the First International Conference on Drought Management: Scientific and Technological Innovations, Zaragoza, Spain, 12–14 June 2008; pp. 43–48. [Google Scholar]
- Douguedroit, A. The variations of dry spells in Marseilles from 1865 to 1984. J. Climatol. 1987, 7, 541–551. [Google Scholar] [CrossRef]
- Bai, A.; Zhai, P.; Liu, X. Climatology and trends of wet spells in China. Theor. Appl. Climatol. 2007, 88, 139–148. [Google Scholar] [CrossRef]
- Leander, R.; Buishand, T.A. Resampling of regional climate model output for the simulation of extreme river flows. J. Hydrol. 2007, 332, 487–496. [Google Scholar] [CrossRef]
- Leander, R.; Buishand, T.A.; van den Hurk, B.J.J.M.; de Wit, M.J.M. Estimated changes in flood quantiles of the river Meuse from resampling of regional climate model output. J. Hydrol. 2008, 351, 331–343. [Google Scholar] [CrossRef]
- Chen, J.; Brissette, F.P.; Leconte, R. Uncertainty of downscaling method in quantifying the impact of climate change on hydrology. J. Hydrol. 2011, 401, 190–202. [Google Scholar] [CrossRef]
- Guo, T.; Mehan, S.; Gitau, M.W.; Wang, Q.; Kuczek, T.; Flanagan, D.C. Impact of number of realizations on the suitability of simulated weather data for hydrologic and environmental applications. Stoch. Environ. Res. Risk Assess. 2017, 32, 2405–2421. [Google Scholar] [CrossRef]
- Nicks, A.D.; Lane, L.J.; Gander, G.A. Chapter 2: Weather generator. In USDA-Water Erosion Prediction Project, Hillslope Profile and Watershed Model Documentation; NSERL Report #10; National Soil Erosion Research Lab: West Lafayette, IN, USA, 1995. [Google Scholar]
- Semenov, M. LARS-WG 5, A Stochastic Weather Generator for Climate Change Impact Assessments; Rothamsted Research: Hertfordshire, UK, 2010. [Google Scholar]
- Semenov, M.A.; Barrow, E.M. LARS-WG, A Stochastic Weather Generator for Use in Climate Impact Studies, User Manual; Rothamsted Research: Hertfordshire, UK, 2002. [Google Scholar]
- Auer, A.H., Jr. The rain versus snow threshold temperatures. Weatherwise 1974, 27, 67. [Google Scholar] [CrossRef]
- Lawrence, D.S. Physical Hydrology, 3rd ed.; Waveland Press, Inc.: Long Grove, IL, USA, 2015; pp. 203–252. [Google Scholar]
- Neild, R.E.; Newman, J.E. Growing Season Characteristics and Requirements in the Corn Belt; Cooperative Extension Service, Iowa State University: Ames, IA, USA, 1987. [Google Scholar]
- Deni, S.M.; Jemain, A.A.; Ibrahim, K. The spatial distribution of wet and dry spells over Peninsular Malaysia. Theor. Appl. Climatol. 2008, 94, 163–173. [Google Scholar] [CrossRef]
- Pandharinath, N. Markov chain model probability of dry, wet weeks during moonson period over Andhra Pradesh. Mausam 1991, 42, 393–400. [Google Scholar]
- Sonnadara, D.U.J.; Jayewardene, D.R. A Markov chain probability model to describe wet and dry patterns of weather at Colombo. Theor. Appl. Climatol. 2015, 119, 333–340. [Google Scholar] [CrossRef]
- Bhattacharaya, A.K.; Sarkar, T.K. Analysis of rainfall data for Agricultural land drainage design. J. Agric. Eng. 1982, 19, 15–25. [Google Scholar]
- Upadhaya, A.; Singh, S. Estimation of consecutive days maximum rainfall by various methods and their comparison. Indian J. Soil Conserv. 1998, 26, 1993–2001. [Google Scholar]
- Gastwirth, J.L. A general definition of the Lorenz curve. Econometrica 1971, 39, 1037–1039. [Google Scholar] [CrossRef]
- Murphy, A.H. A new vector partition of the probability score. J. Appl. Meteorol. 1973, 12, 595–600. [Google Scholar] [CrossRef]
- Finley, J.P. Tornado predictions. Am. Meteorol. J. 1884, 1, 85–88. [Google Scholar]
- Ferro, C.A.T.; Stephenson, D.B. Extremal dependence indices, Improved verification measures for deterministic forecasts of rare binary events. Weather Forecast. 2011, 26, 699–713. [Google Scholar] [CrossRef]
- Cohen, J. Statistical Power Analysis for the Behavioral Sciences (Revised Ed.); Academic Press: New York, NY, USA, 1977. [Google Scholar]
- Cohen, J. Statistical Power Analysis for the Behavioral Sciences; Lawrence Earlbaum Associates: Hillsdale, NJ, USA, 1988; pp. 20–26. [Google Scholar]
- Glass, G.V.; Smith, M.L.; McGaw, B. Meta-Analysis in Social Research; Sage Publications, Incorporated: Thousand Oaks, CA, USA, 1981. [Google Scholar]
- Hawkins, E.; Osborne, T.M.; Ho, C.K.; Challinor, A.J. Calibration and bias correction of climate projections for crop modelling, an idealised case study over Europe. Agric. For. Meteorol. 2013, 170, 19–31. [Google Scholar] [CrossRef]
- Fatichi, S.; Ivanov, V.Y.; Caporali, E. Simulation of future climate scenarios with a weather generator. Adv. Water Resour. 2011, 34, 448–467. [Google Scholar] [CrossRef]
- Katz, R.W.; Brown, B.G. Extreme events in a changing climate, variability is more important than averages. Clim. Chang. 1992, 21, 289–302. [Google Scholar] [CrossRef]
- Romero-Lankao, P.; Smith, J.; Davidson, D.; Diffenbaugh, N.; Kinney, P.; Kirshen, P.; Kovacs, P.; Villers Ruiz, L. Part B: Regional Aspects—Contribution of Working Group II to the Fifth Assessment Report of the Intergovernmental Panel on Climate Change. In Climate Change 2014, Impacts, Adaptation, and Vulnerability; Barros, V.R., Field, C.B., Dokke, D.J., Mastrandrea, M.D., Mach, K.J., Bilir, T.E., Chatterjee, M., Ebi, K.L., Estrada, Y.O., Genova, R.C., et al., Eds.; Cambridge University Press: Cambridge, UK; New York, NY, USA, 2014. [Google Scholar]
- Epstein, Y.; Moran, D.S. Thermal comfort and the heat stress indices. Ind. Health 2006, 44, 388–398. [Google Scholar] [CrossRef]
- Jacklitsch, B.; Williams, W.; Musolin, K.; Coca, A.; Kim, J.; Turner, N. NIOSH Criteria for a Recommended Standard, Occupational Exposure to Heat and Hot Environments; NIOSH (National Institute of Occupational Safety and Health): Washington, DC, USA, 2016.
- Christensen, J.H.; Carter, T.R.; Rummukainen, M.; Amanatidis, G. Evaluating the performance and utility of regional climate models, the PRUDENCE project. Clim. Chang. 2007, 81, 1–6. [Google Scholar] [CrossRef]
- Déqué, M.; Rowell, D.P.; Lüthi, D.; Giorgi, F.; Christensen, J.H.; Rockel, B.; Jacob, D.; Kjellström, E.; De Castro, M.; van den Hurk, B. An intercomparison of regional climate simulations for Europe, assessing uncertainties in model projections. Clim. Chang. 2007, 81, 53–70. [Google Scholar] [CrossRef]
- Kjellström, E.; Nikulin, G.; Hansson, U.L.F.; Strandberg, G.; Ullerstig, A. 21st century changes in the European climate, uncertainties derived from an ensemble of regional climate model simulations. Tellus A 2011, 63, 24–40. [Google Scholar] [CrossRef]
- Mehan, S.; Neupane, R.P.; Kumar, S. Coupling of SUFI 2 and SWAT for improving the simulation of streamflow in an agricultural watershed of South Dakota. Hydrol. Curr. Res. 2017, 8, 280. [Google Scholar] [CrossRef]
- Zhao, T.; Bennett, J.C.; Wang, Q.J.; Schepen, A.; Wood, A.W.; Robertson, D.E.; Ramos, M.H. How suitable is quantile mapping for postprocessing GCM precipitation forecasts? J. Clim. 2017, 30, 3185–3196. [Google Scholar] [CrossRef]









| S. No. | GCM | Basic Source | Studies Based on Source |
|---|---|---|---|
| 1 | Beijing Climate Center Climate System Model, Beijing, China (BCCCSM) | http://forecast.bcccsm.ncc-cma.net/htm/ | [33,34,35,36] |
| 2 | Community Climate System Model, USA (CCSM4) | http://www.cesm.ucar.edu/ | [37,38,39,40] |
| 3,4 | Geophysical Fluid Dynamic Laboratory, USA (GFDL_ESM2G and GFDL_ESM2M) | http://nomads.gfdl.noaa.gov:8080/DataPortal/cmip5.jsp | [1,2,3,41,42,43] |
| 5,6 | Institute Pierre Simon Laplace Climate Modeling Center, France (IPSL_CM5ALR and IPSL_CM5AMR) | http://icmc.ipsl.fr/ | [4,5,44,45] |
| 7,8 | MIROCESM and MIROCESMCHEM, Japan | http://www.geosci-model-dev.net/4/845/2011/ | [6,7,46,47] |
| 9 | Norwegian Earth System Model, Norway (NorESM1M) | http://adsabs.harvard.edu/abs/2013GMD.....6..687B | [8,9,48,49] |
| CLIMATE INDICES | |||
| Parameter Name | Definition | Application | |
| Count of Dry Spell [10,11,12,13,14,51,52,53,54,55] | A period with at least 15 consecutive days in which none of the days had greater than 0.1 mm of rainfall | Onset and cessation of droughts can be projected using count of dry spells. Moreover, dry spell affect aquatic biodiversity, crop growth, and hydropower generation. | |
| Count of Wet Spell [15,56] | A period where there were more than three wet days (day with precipitation more than or equal to 0.1 mm) ended with two continuous dry days (day with precipitation less than 0.1 mm) | Information on wet spell is important for optimizing water allocation and distribution, which is instrumental in planning flood control remedies and regulating sediment yield into the main streams. | |
| Number of dry and wet day count in a month | Absolute count of days with precipitation depth of less and more than 0.1 mm on a single day | The decision on beginning planting of a crop based on crop water requirements is dependent on count of number of dry and wet days in a month. | |
| Number of Snow Days [16,17,64,65] | Day with average temperature lower than 2 °C and precipitation depth more than 0.1 mm | The water budget of snow dominated watershed is dependent on count of snow days. | |
| Growing Season Requirement/ Period of optimal growth [18,19,20,66] | Day with an average temperature between 20 and 25 °C (supports corn growth in Midwest USA) | Estimation of growth and yield of corn requires information on period of optimal growth of corn | |
| Growing Degree Days (GDD) or Heating Units (HU) [18,66] | Heating Units (HU) are energy (heat) units affecting crop cycle from planting till harvesting. | Different stages of crop growth cycle can be simulated using information on Heating Units (HU). | |
| Count for Maximum Dry and Wet Length [21,67] | The longest continuous stretch of the dry and wet period | Information on this data helps in identifying extreme events, including dry and wet periods | |
| Probability of dry day (Pd) | All these factors are critical in generating long-term climate simulation, hence needed evaluation. Moreover, mean length of dry and wet period decides onset of planting and harvesting in rainfed agricultural places. (for the transition probabilities computation, the dry day is day with the precipitation 0.1 mm and anything equal and more than 0.1 mm is wet day for all other purposes, the threshold 0.1 mm) | ||
| Probability of wet day (Pw) | |||
| Probability of dry followed by dry day (Pd|d) | |||
| Probability of wet day followed by wet day (Pw|w) | |||
| Probability of wet day followed by dry day (Pw|d) | |||
| Probability of dry day followed by wet day (Pd|w) | |||
| Average length of dry and wet period (Ld, and Lw) | |||
| Return time Period to have an event equal to average length of dry and wet period (Td and Tw) [22,23,68,69] | |||
| One day maximum Precipitation (mm) [24,25,70,71] | Maximum value of single day precipitation event | Drainage design, soil conservation and management, risk mitigation, in events, including flash floods and droughts | |
| VERIFICATION PARAMETERS | |||
| Parameter Name | Definition | Formula | Range |
| Lorenz Curve [26,72] | Daily precipitation totaled data are arranged in increasing order, cumulative, and converted to a proportion of total precipitation | ||
| Brier Score [27,73] | Measures the mean squared probability error | Where fi are forecast probabilities between 0 and 1 and oi are given as 0 and 1 for observed dry and wet days, respectively. | Lower brier score means the forecast is closer to the observation. BS can be partitioned into three terms: (1) reliability, (2) resolution, and (3) uncertainty. |
| Bias [28,74] | Verification metric denoted by ratio of total number of events forecast and total number of events observed; Forecast is termed as underforecast when BIAS < 1 or overforecast (BIAS > 1) events | Where h = Hit, f = False Alarm, m = miss | Perfect Score: 1 |
| Extreme Dependent Score [29,75] | EDS is independent of bias, so should be presented together with the frequency bias | Where p = (hits + misses)/total is the base rate (climatology), H is the hit rate, also known as the probability of detection, and F is the false alarm rate, also known as the probability of false detection. | [−1, 1], 0 indicating no skill with 1 representing perfect score. |
| Cohen’s-d effective size [30,31,32,76,77,78] | Alternate measure of checking the differences in distributions | Where M1 and M2 are means from the simulated and observed data and SD control is standard deviation from observed data or pooled standard deviation generally used with more realizations. | Values closer to 0 correspond to better simulations. In general, d = 0.2 (small); d = 0.5 (medium); and, d = 0.8 (large) effect sizes |
| Adrian, MI | Fort Wayne, IN | Norwalk, OH | |||||||
|---|---|---|---|---|---|---|---|---|---|
| Precipitation, mm | |||||||||
| Treatment | Median | NDP0 * (%) | Maximum | Median | NDP0 (%) | Maximum | Median | NDP0 (%) | Maximum |
| Observed | 0 | 66.9 | 120.4 | 0 | 63.5 | 111.8 | 0 | 64 | 229.1 |
| GDO | (0.2–0.2), 0.2 | (29.8–31.9), 30.9 | (65.4–110.1), 83.3 | (0.4–0.5), 0.4 | (15.4–20.7), 17.7 | (52.0–72.0), 63.7 | (0.7–0.8), 0.8 | (10.8–13.0), 12.0 | (40.1–48.0), 43.6 |
| MACA | (0.0–0.0), 0.0 | (53.5–54.1), 53.9 | (67.2–71.0), 69.7 | (0.0–0.0), 0.0 | (54.6–55.5), 54.9 | (65.0–74.5), 72.3 | (0.0–0.0), 0.0 | (51.0–51.7), 51.4 | (54.5–112.8), 101.6 |
| Maximum Temperature, °C | |||||||||
| Treatment | NDT35 † (%) | Maximum | Minimum | NDT35 (%) | Maximum | Minimum | NDT35 (%) | Maximum | Minimum |
| Observed | 0.3 | 40.0 | −20.0 | 0.3 | 41.1 | −23.9 | 0.2 | 39.4 | −22.2 |
| GDO | (0–0.4), 0.2 | (36.0–38.9), 37.4 | (−20.4–−16.2), −18.5 | (0.1–0.5), 0.3 | (36.7–39.5), 38.1 | (−23.2–−17.4), −19.7 | (0–0.3), 0.1 | (34.8–39.8), 36.9 | (−21.3–−14.9), −18.2 |
| MACA | (0.5–0.7), 0.6 | (39.5–40.2), 39.9 | (−17.5–−16.5), −17.1 | (0.5–0.8), 0.7 | (40.6–42.1), 41.8 | (−22.1–−20.3), −21.4 | (0.2–0.3), 0.2 | (37.6–37.8), 37.7 | (−19.2–−17.8), −18.8 |
| Minimum Temperature, °C | |||||||||
| Treatment | NDT2 ‡ (%) | Maximum | Minimum | NDT2 (%) | Maximum | Minimum | NDT2 (%) | Maximum | Minimum |
| Observed | 46.3 | 24.4 | −30.0 | 41.1 | 25.6 | −30.0 | 41.8 | 25.0 | −29.4 |
| GDO | (44.4–46.0), 45.4 | (21.7–26.3), 23.6 | (−31.2–−25.8), −29.0 | (39.5–41.2), 40.3 | (22.7–26.8), 25.0 | (−33.8–−26.8), −30.2 | (39.9–41.6), 40.9 | (22.0–27.8), 24.6 | (−29.7–−23.6), −27.2 |
| MACA | (44.8–45.7), 45.3 | (23.8–24.0), 24.0 | (−28.2–−26.4), −27.9 | (39.9–40.7), 40.4 | (25.2–25.5), 25.5 | (−28.9–−26.9), −28.4 | (41–41.6), 41.4 | (24.0–24.0), 24.0 | (−28–−27), −27.5 |
| Index | ||||||
|---|---|---|---|---|---|---|
| Treatment | P(w|w) | P(w|d) | Ld | Lw | Td | Tw |
| Adrian, MI | ||||||
| Observed | 0.5 | 0.3 | 4 | 1 | 1 | 4 |
| GDO | (0.7–0.7), 0.7 | (0.5–0.6), 0.5 | (2–2), 2 | (2–2), 2 | (13–33), 21 | (1–1), 1 |
| MACA | (0.6–0.6), 0.6 | (0.3–0.4), 0.3 | (3–3), 3 | (2–2), 2 | (2–3), 2 | (1–2), 1 |
| Fort Wayne, IN | ||||||
| Observed | 0.5 | 0.3 | 3 | 1 | 1 | 3 |
| GDO | (0.8–0.8), 0.8 | (0.6–0.7), 0.6 | (2–2), 2 | (3–3), 3 | (52–174), 81 | (1–1), 1 |
| MACA | (0.6–0.6), 0.6 | (0.3–0.3), 0.3 | (3–3), 3 | (1–2), 2 | (2–2), 2 | (1–2), 1 |
| Norwalk, OH | ||||||
| Observed | 0.5 | 0.3 | 3 | 1 | 1 | 3 |
| GDO | (0.9–0.9), 0.9 | (0.7–0.8), 0.7 | (1–2), 1 | (3–4), 4 | (256–2016), 738 | (1–1), 1 |
| MACA | (0.6–0.6), 0.6 | (0.3–0.4), 0.4 | (3–3), 3 | (2–2), 2 | (2–3), 3 | (1–1), 1 |
| Treatment | Maximum Dry Length | Maximum Wet Length | Number of Dry Sequence | Number of Wet Sequence | Snow Days | Ld † | Lw † | Td † | Tw † |
|---|---|---|---|---|---|---|---|---|---|
| Adrian, MI | |||||||||
| Observed | 26 | 9 | 33 | 153 | 30 | 4 | 1 | 1 | 4 |
| MACA No Treatment | (17–29), 22 | (16–23), 19 | (4–17), 11 | (318–450), 387 | (40–43), 42 | (1.7–1.9), 1.8 | (1.5–1.6), 1.5 | (1.9–2.5), 2.1 | (1.3–1.5), 1.3 |
| MACA Conventional | (17–32), 24 | (15–23), 19 | (4–19), 12 | (314–446), 381 | (60–62), 61 | (2.8–3.2), 3 | (1.5–1.6), 1.5 | (1.9–2.5), 2.1 | (1.3–1.5), 1.3 |
| MACA CLIGEN75 | (13–36), 23 | (175–228), 210 | (0–5), 2 | (108–170), 142 | (332–338), 335 | (2.8–3.2), 3 | (2.9–3.9), 3.2 | (3084–2016), 767.2 | (0.7–0.8), 0.7 |
| Fort Wayne, IN | |||||||||
| Observed | 30 | 11 | 16 | 166 | 33 | 3 | 1 | 1 | 3 |
| MACA No Treatment | (22–37), 27 | (15–29), 21 | (8–23), 16 | (310–432), 377 | (34–37), 36 | (1.5–1.7), 1.6 | (1.4–1.5), 1.5 | (1.7–2.3), 1.9 | (1.3–1.5), 1.4 |
| MACA Conventional | (22–37), 27 | (14–29), 21 | (309–432), 375 | (309–432), 375 | (42–44), 43 | (2.9–3.3), 3.2 | (1.4–1.5), 1.5 | (1.7–2.3), 1.9 | (1.3–1.5), 1.4 |
| MACA CLIGEN75 | (16–43), 26 | (157–268), 213 | (156–210), 194 | (156–210), 194 | (320–330), 324 | (2.9–3.3), 3.1 | (2.6–3.5), 2.9 | (143–918.2), 301 | (0.6–0.7), 0.6 |
| Norwalk, OH | |||||||||
| Observed | 25 | 18 | 15 | 183 | 31 | 3 | 1 | 1 | 3 |
| MACA No Treatment | (16–29), 21 | (14–27), 20 | (2–15), 7 | (346–473), 410 | (38–41), 40 | (1.3–1.5), 1.4 | (1.5–1.6), 1.5 | (2.2–3.1), 2.5 | (1.1–1.3), 1.2 |
| MACA Conventional | (18–29), 22 | (13–27), 19 | (322–456), 394 | (322–456), 394 | (50–53), 52 | (2.6–3.0), 2.9 | (1.5–1.6), 1.5 | (2.2–3.1), 2.5 | (1.1–1.3), 1.2 |
| MACA CLIGEN75 | (11–17), 15 | (218–279), 243 | (76–116), 100 | (76–116), 100 | (342–346), 345 | (2.6–3.0), 2.9 | (3.4–4.7), 4 | (1260–8870), 3771.1 | (0.9–1), 1 |
| Treatment | Mean | Median | Std. Dev. | Maximum | Maximum Dry Length | Maximum Wet Length | Ld † | Lw † |
|---|---|---|---|---|---|---|---|---|
| Adrian, MI | ||||||||
| Observed | 2.4 | 0.0 | 6.5 | 120.4 | 26 | 9 | 4 | 1 |
| RCP4.5 Treated | (2.5–2.7), 2.6 | (0–0), 0 | (6.8–7.6), 7.3 | (164.2–302.6), 214.4 | (21–45), 27 | (16–29), 20 | (2.8–3.2), 3 | (1.5–1.6), 1.5 |
| RCP8.5 Treated | (2.5–2.8), 2.7 | (0–0), 0 | (6.8–7.9), 7.4 | (157.5–258), 191.1 | (20–46), 28 | (17–26), 20 | (2.8–3.4), 3.1 | (1.4–1.5), 1.5 |
| Fort Wayne, IN | ||||||||
| Observed | 2.5 | 0.0 | 6.7 | 111.8 | 30 | 11 | 3 | 1 |
| RCP4.5 Treated | (2.7–2.9), 2.7 | (0–0), 0 | (7.4–8.1), 7.7 | (134.9–454.6), 213.2 | (22–45), 30 | (16–22), 18 | (3.0–3.4), 3.2 | (1.4–1.5), 1.5 |
| RCP8.5 Treated | (2.6–2.9), 2.8 | (0–0), 0 | (7.3–8.3), 7.9 | (151.5–293.8), 205.6 | (27–41), 32 | (15–26), 22 | (3.0–3.5), 3.3 | (1.4–1.5), 1.4 |
| Norwalk, OH | ||||||||
| Observed | 2.6 | 0.0 | 7.0 | 229.1 | 25 | 18 | 3 | 1 |
| RCP4.5 Treated | (2.6–2.8), 2.7 | (0–0), 0 | (7.0–8.5), 7.7 | (215.3–461.7), 324 | (19–41), 27 | (16–25), 20 | (2.7–3), 2.9 | (1.5–1.6), 1.5 |
| RCP8.5 Treated | (2.6–2.9), 2.8 | (0–0), 0 | (7.1–8.8), 8.1 | (255.4–536.9), 381.9 | (22–34), 29 | (37–50), 44 | (2.7–3.2), 2.9 | (1.5–1.6), 1.5 |
| Maximum Temperature | Minimum Temperature | |||||||
|---|---|---|---|---|---|---|---|---|
| Treatment | Mean | Std. Dev. | Maximum | Days with Max > 35 °C (%) | Mean | Std. Dev. | Minimum | Days with Min < 2 °C (%) |
| Adrian, MI | ||||||||
| Observed | 15.0 | 11.5 | 40.0 | 0.3 | 3.1 | 10.0 | −30.0 | 46.3 |
| RCP4.5 | (16.7–18.5), 17.7 | (10.8–11.9), 11.5 | (42.7–51.2), 45.8 | (1.8–4.8), 3.1 | (4.9–6.9), 5.8 | (9.0–9.8), 9.4 | (−31.5–−21.7), −26.8 | (32.3–40.9), 38.1 |
| RCP8.5 | (17.6–20.0), 18.8 | (11.2–12.1), 11.7 | (46.2–52.6), 50.0 | (3.6–8.7), 6.7 | (5.7–8.1), 6.9 | (9.2–10.2), 9.6 | (−27.5–−22.6), −25.6 | (28.4–39.2), 34.9 |
| Fort Wayne, IN | ||||||||
| Observed | 15.4 | 11.8 | 41.1 | 0.3 | 4.8 | 10.3 | −30.0 | 41.1 |
| RCP4.5 | (17.0–19.0), 18.0 | (11.1–12.1), 11.6 | (45.2–53.9), 48.0 | (2.0–5.1), 3.3 | (6.3–8.4), 7.2 | (9.5–10.1), 9.9 | (−30.3–−23.3), −27 | (28.5–36.4), 33.7 |
| RCP8.5 | (17.9–20.4), 19.2 | (11.6–12.1), 11.9 | (50.0–56.5), 52.4 | (4.0–10.3), 7.3 | (7.1–9.4), 8.3 | (9.8–10.5), 10.1 | (−28.6–−22.8), −26.3 | (25.3–34.9), 31.1 |
| Norwalk, OH | ||||||||
| Observed | 15.0 | 11.4 | 39.4 | 0.2 | 4.4 | 10.1 | −29.4 | 41.8 |
| RCP4.5 | (16.6–18.2), 17.5 | (10.6–11.5), 11.1 | (41.0–47.9), 43.9 | (0.9–3.1), 2 | (5.9–7.8), 6.8 | (9.0–9.8), 9.4 | (−30.9–−21.1), −26.6 | (29.1–37.0), 34.5 |
| RCP8.5 | (17.5–19.5), 18.6 | (10.8–11.6), 11.4 | (44.8–52.2), 47.5 | (2.5–6.4), 4.9 | (6.8–9.0), 7.8 | (9.2–10.1), 9.6 | (−28.2–−21.9), −25.4 | (25.1–35.6), 31.6 |
| Growing Degree Days | ||||
|---|---|---|---|---|
| Treatment | 1-May | 15-May | 1-October | 15-October |
| Adrian, MI | ||||
| Observed | 60 | 104 | 1364 | 1386 |
| MACANoTreatment | (56–76), 68 | (110–135), 125 | (1437–1508), 1481 | (1494–1570), 1531 |
| RCP4.5 | (98–142), 118 | (174–231), 198 | (1708–1954), 1861 | (1761–2037), 1930 |
| RCP8.5 | (111–187), 144 | (196–285), 236 | (1901–2241), 2086 | (1984–2347), 2190 |
| Fort Wayne, IN | ||||
| Observed | 86 | 148 | 1615 | 1648 |
| MACANoTreatment | (77–103), 91 | (146–175), 163 | (1602–1679), 1650 | (1667–1769), 1713 |
| RCP4.5 | (132–180), 152 | (219–289), 249 | (1872–2178), 2046 | (1932–2279), 2133 |
| RCP8.5 | (140–225), 178 | (242–344), 287 | (2075–2474), 2279 | (2160–2599), 2397 |
| Norwalk, OH | ||||
| Observed | 80 | 129 | 1493 | 1516 |
| MACANoTreatment | (58–82), 72 | (113–141), 129 | (1490–1545), 1515 | (1528–1620), 1565 |
| RCP4.5 | (109–138), 125 | (186–233), 209 | (1756–1971), 1894 | (1816–2057), 1976 |
| RCP8.5 | (126–183), 153 | (215–278), 249 | (1950–2243), 2115 | (2038–2355), 2228 |
© 2019 by the authors. Licensee MDPI, Basel, Switzerland. This article is an open access article distributed under the terms and conditions of the Creative Commons Attribution (CC BY) license (http://creativecommons.org/licenses/by/4.0/).
Share and Cite
Mehan, S.; Gitau, M.W.; Flanagan, D.C. Reliable Future Climatic Projections for Sustainable Hydro-Meteorological Assessments in the Western Lake Erie Basin. Water 2019, 11, 581. https://doi.org/10.3390/w11030581
Mehan S, Gitau MW, Flanagan DC. Reliable Future Climatic Projections for Sustainable Hydro-Meteorological Assessments in the Western Lake Erie Basin. Water. 2019; 11(3):581. https://doi.org/10.3390/w11030581
Chicago/Turabian StyleMehan, Sushant, Margaret W. Gitau, and Dennis C. Flanagan. 2019. "Reliable Future Climatic Projections for Sustainable Hydro-Meteorological Assessments in the Western Lake Erie Basin" Water 11, no. 3: 581. https://doi.org/10.3390/w11030581
APA StyleMehan, S., Gitau, M. W., & Flanagan, D. C. (2019). Reliable Future Climatic Projections for Sustainable Hydro-Meteorological Assessments in the Western Lake Erie Basin. Water, 11(3), 581. https://doi.org/10.3390/w11030581

