Characteristics of Accelerations and Pressure Gradient during Run-Down of Solitary Wave over Very Steep Beach: A Case Study
Abstract
:1. Introduction
2. Experiment Set-Ups and Instrumentations
3. General Description of Run-Up and Run-Down Process of Solitary Wave for Case A
4. Justification of Measures Taken to Assure Flow Similarity
4.1. Free Surface Elevation/Profile over Horizontal Bottom/Sloping Beach
4.2. Wave Celerity Measured over Horizontal Bottom
4.3. Velocity Time Series Obtained at x = 0 cm
4.4. Breaker Type of Solitary Wave over Sloping Beach
5. Test for Calculating Accelerations and Pressure Gradient Using Measured Velocity Data
5.1. Expressions for Accelerations and Pressure Gradient
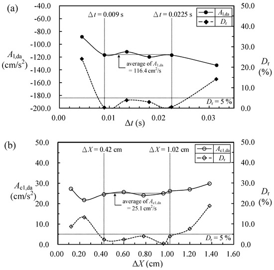
5.2. Calculation Example for Local Acceleration
5.3. Calculation Example for First Convective Acceleration
5.4. Calculation Example for Second and Total Accelerations as well as Pressure Gradient
6. Results and Discussion
6.1. End of Run-Up at t = 0.6545 s (T = 7.25) and Start of Run-Down at t = 0.6945 s (T = 7.69)
6.2. Early and First-Half Middle Stages of Run-Down for 0.6945 s < t ≤ 0.9210 s (7.69 < T ≤ 10.20)
6.3. Second-Half Middle Stage of Run-Down for 0.9210 s < t ≤ 1.0630 s (10.20 < T ≤ 11.77)
6.4. Late Stage of Run-Down Motion for 1.0629 < t ≤ 1.2130 s (11.77 < T ≤ 13.43)
6.5. Summary of Variations in Non-Dimensional Convection Velocity, Vorticity, Accelerations and Pressure Gradient
7. Concluding Remarks
- A complete evolution of the solitary wave includes: (a) The wave crest of the solitary wave reaches the toe (located at x = 0) of the sloping bottom for T = 0; (b) Wave propagates over the sloping beach and subsequent run-up motion occurs in absence of wave breaking for 0 < T < 7.25; (c) Wave motion arrives at the maximum run-up height for T = 7.25 at which the first run-up motion ends; (d) The tip of the wave front stays at a fixed position but with its local free surface profile varying from the bull-nose shape into a sharp-edged one during the very short time interval between T = 7.25 and T = 7.69. (e) Run-down motion occurs during 7.69 < T < 13.43; and (f) The second run-up motion starts and evolves for T ≥ 13.43.
- The smoothed value of the non-dimensional local acceleration −Al,s/g (i.e., in the offshore direction) for the external stream at Xifs = 18.81 cm increases from 0.124 at T = 7.25, via 0.377 at T = 10.20. With reference to the primary vortex core translating offshore at T > 10.20, the value of −Al,s/g at the (moving) core section increases from 0.377 at T = 10.20 to a maximum of 0.996 at T = 11.00–11.15; and then decreases to zero at about T = 11.63, highlighting that the retreating flow is accelerated temporally in the offshore direction. However, for 11.63 ≤ T ≤ 12.60, −Al,s/g varies from zero at T = 11.63 to a negative maximum of −2.117 at T = 11.93 and then changes continuously, via −0.986 at T = 12.16, up to zero at about T = 12.31, demonstrating the retreating flow decelerated temporally in the offshore direction. It is also interestingly found that −Al,s/g < −1.0 for 11.76 < T < 12.16, strongly indicating the magnitude of the local acceleration unexpectedly larger than the gravity acceleration.
- The smoothed value of the non-dimensional convective acceleration −Ac,s/g (i.e., in the offshore direction) of the external stream at Xifs = 18.81 cm ranges from −0.028 at T = 7.25 to −0.782 at T = 10.20. With respect to the primary vortex core translating offshore, the value of −Ac,s/g at the (moving) core section increases from −0.782 at T = 10.20 to a negative maximum of −2.005 at T = 11.15 (the instant for occurrence of hydraulic jump), then reduces successively up to zero at T = 11.86, exhibiting the external stream more decelerated spatially in the offshore direction for 7.25 ≤ T ≤ 11.86. Afterwards, −Ac,s/g increases continuously from zero up to a positive maximum of 1.013 at T = 12.08 and then decreases down to 0.034 at T = 12.56, revealing the external stream being accelerated spatially in the offshore direction.
- For 7.25 ≤ T ≤ 11.63, the positive and negative maximum value of −Al,s/g and −Ac,s/g in the offshore direction (=0.996 and −2.005) occurs, respectively, at T = 11.15. On the other hand, for 11.63 ≤ T ≤ 12.56, the negative and positive maximum of −Al,s/g and −Ac,s/g (=−2.117 and 1.013) takes place at T = 11.93 and 12.08, respectively. Corresponding to the unexpectedly large value of −Al,s/g = −2.117 at T = 11.93, the partially depth-averaged value of the non-dimensional local acceleration in the vertical direction is equal to Alv,da/g = 3.37. The result strongly reconfirms the evident rise of the free surface in the vicinity of Xco = 14.98 cm for T = 11.93 and reveals very rapid change from negative, via nearly zero, to positive vertical velocity for 11.87 ≤ T ≤ 11.995 (as shown in Figure 18a and Figure 19b).
- The smoothed value of the non-dimensional total acceleration −At,s/g (i.e., in the offshore direction) for the external stream at Xifs = 18.81 cm is positive for 7.25 ≤ T < 8.30 but negative for 8.30 ≤ T ≤ 10.20 together with −At,s/g = 0.091 at T = 7.25, zero at T = 8.22 and −0.405 at T = 10.20, respectively. Afterwards, with reference to the primary vortex core moving offshore, −At,s/g decreases consecutively via −1.009 at T = 11.15 to a negative maximum of −1.694 at T = 11.93; and then increases continuously, via zero at about T = 12.29, to 0.615 at T = 12.56.
- The smoothed value of the non-dimensional pressure gradient in the offshore direction at Xifs = 18.81 cm increases from −P*/g = 0.225 at T = 7.25 to 0.721 at T = 10.20, respectively. This trend demonstrates that the external stream of the retreating flow is subjected to increasing adverse pressure gradient and more decelerated spatially with increasing T, thus leading to occurrence of the incipient flow separation at Xifs = 18.81 cm for T = 10.20. The non-dimensional pressure gradient −P*/g of the external stream in the offshore direction increases successively from 0.721 at T = 10.20, via 1.325 at T = 11.15, to a positive maximum of 2.011 at T = 11.93 and then to decrease consecutively, via zero at about T = 12.25, to −0.299 at T = 12.56. Note that −P*/g = 2.011 at T = 11.93 demonstrates prominent decelerated flow in the offshore direction under the considerable large adverse pressure gradient, thus further confirming the prominent rise of the free surface in space and sudden increase of the vertical velocity (as shown in Figure 18a and Figure 19b).
- The non-dimensional peak vorticity in the separated shear layer, Гpv/[g/h0]1/2, increases linearly from zero at T = 10.20 to 21.4 at T = 10.55. Further, the non-dimensional vorticity of primary vortex core, Гco/[g/h0]1/2, increases with increasing T for about 10.60 ≤ T ≤ 11.63. The maximum value of the non-dimensional vorticity, [Гco/(g/h0)1/2]max = 42.2, takes place at T ≈ 11.63. Then Гco/[g/h0]1/2 keeps decreasing with increase in T for 11.63 < T ≤ 12.56. Such a feature can be guided to the influence of acceleration (−Al,s > 0) and deceleration (−Al,s < 0) in the offshore direction for the high-speed external stream within the interval of 10.20 ≤ T ≤ 11.63 and 11.63 ≤ T ≤ 12.56, respectively.
Author Contributions
Funding
Acknowledgments
Conflicts of Interest
Appendix A. Details for Calculation of Accelerations
| (1) | (2) | (3) | (4) | (5) | (6) | (7) | (8) | (9) | (10) |
|---|---|---|---|---|---|---|---|---|---|
| Y | U(X, Y, t − Δt) | U(X, Y, t) | U(X, Y, t + Δt) | Al (X, Y, t) | Al (X, Y, t) | Al (X, Y, t) | Al (X, Y, t) | Al (X, Y, t) | Al (X, Y, t) |
| (cm) | (cm/s) | (cm/s) | (cm/s) | (cm/s2) | (cm/s2) | (cm/s2) | (cm/s2) | (cm/s2) | (cm/s2) |
| t = 0.6455 s | t = 0.6545 s | t = 0.6635 s | Δt = 0.0045 s | Δt = 0.0090 s | Δt = 0.0135 s | Δt = 0.0180 s | Δt = 0.0225 s | Δt = 0.0315 s | |
| ∆T = 0.05 | ∆T = 0.10 | ∆T = 0.15 | ∆T = 0.20 | ∆T = 0.25 | ∆T = 0.35 | ||||
| 0.000 | 0.00 | 0.00 | 0.00 | ||||||
| 0.072 | −7.25 | −8.17 | −8.54 | ||||||
| 0.132 | −14.05 | −15.76 | −16.48 | ||||||
| 0.192 | −18.37 | −20.89 | −20.81 | ||||||
| 0.252 | −21.57 | −24.41 | −24.28 | ||||||
| 0.312 | −23.05 | −25.52 | −26.31 | ||||||
| 0.372 | −23.63 | −25.74 | −27.07 | ||||||
| 0.432 | −23.82 | −25.57 | −27.34 | ||||||
| 0.492 | −23.81 | −25.36 | −27.30 | ||||||
| 0.552 | −23.72 | −25.18 | −27.22 | −152.6 | −194.0 | −153.9 | −148.3 | −150.3 | −138.8 |
| 0.612 | −23.64 | −25.04 | −27.14 | −162.5 | −194.5 | −153.5 | −147.4 | −145.6 | −137.1 |
| 0.672 | −23.56 | −24.94 | −27.05 | −174.3 | −194.1 | −152.1 | −146.7 | −141.8 | −135.4 |
| 0.732 | −23.50 | −24.89 | −26.98 | −188.6 | −193.0 | −149.8 | −145.7 | −138.5 | −134.2 |
| 0.792 | −23.47 | −24.87 | −26.89 | −202.1 | −190.1 | −146.9 | −144.6 | −135.8 | −133.9 |
| 0.852 | −23.46 | −24.86 | −26.77 | −211.0 | −184.0 | −144.2 | −142.4 | −132.9 | −134.0 |
| 0.912 | −23.48 | −24.86 | −26.61 | −214.1 | −173.9 | −141.8 | −139.6 | −129.8 | −134.7 |
| 0.972 | −23.52 | −24.87 | −26.41 | −211.2 | −161.0 | −139.5 | −136.8 | −126.5 | −135.4 |
| 1.032 | −23.56 | −24.90 | −26.23 | −205.3 | −148.3 | −137.4 | −134.4 | −123.0 | −135.6 |
| 1.092 | −23.59 | −24.96 | −26.08 | −198.0 | −138.1 | −135.8 | −132.9 | −119.5 | −135.6 |
| 1.152 | −23.61 | −25.01 | −25.98 | −191.4 | −131.8 | −135.1 | −132.2 | −116.2 | −135.2 |
| 1.212 | −23.62 | −25.06 | −25.94 | −185.1 | −128.8 | −134.3 | −132.3 | −113.3 | −134.4 |
| 1.272 | −23.63 | −25.09 | −25.94 | −177.3 | −128.1 | −132.9 | −132.8 | −110.9 | −133.5 |
| 1.332 | −23.66 | −25.11 | −25.97 | −170.8 | −128.4 | −129.9 | −133.6 | −109.5 | −132.4 |
| 1.392 | −23.70 | −25.14 | −26.01 | −165.7 | −128.7 | −125.5 | −134.1 | −108.9 | −131.5 |
| 1.452 | −23.73 | −25.16 | −26.06 | −160.5 | −129.4 | −121.0 | −134.2 | −108.9 | −130.8 |
| 1.512 | −23.76 | −25.18 | −26.10 | −156.6 | −129.9 | −117.3 | −133.9 | −109.8 | −130.3 |
| 1.572 | −23.78 | −25.20 | −26.11 | −151.1 | −129.1 | −114.9 | −133.2 | −110.9 | −130.0 |
| 1.632 | −23.82 | −25.22 | −26.11 | −144.6 | −127.4 | −113.7 | −132.3 | −111.9 | −129.8 |
| 1.692 | −23.88 | −25.27 | −26.12 | −137.1 | −124.4 | −113.0 | −130.7 | −112.2 | −129.7 |
| 1.752 | −23.95 | −25.37 | −26.11 | −125.9 | −120.3 | −112.6 | −128.6 | −111.6 | −129.7 |
| 1.812 | −24.03 | −25.49 | −26.11 | −112.1 | −115.8 | −112.2 | −126.4 | −110.2 | −129.7 |
| 1.872 | −24.10 | −25.63 | −26.11 | −96.2 | −111.6 | −111.8 | −124.3 | −108.8 | −129.8 |
| 1.932 | −24.16 | −25.75 | −26.11 | −80.6 | −108.5 | −111.2 | −122.6 | −107.7 | −129.7 |
| 1.992 | −24.20 | −25.85 | −26.12 | −66.7 | −106.7 | −110.1 | −121.3 | −107.1 | −129.7 |
| 2.052 | −24.23 | −25.92 | −26.13 | −54.4 | −106.0 | −108.4 | −120.2 | −107.0 | −129.7 |
| 2.112 | −24.25 | −25.96 | −26.15 | −43.7 | −105.3 | −106.2 | −119.6 | −107.2 | −129.8 |
| 2.172 | −24.30 | −25.98 | −26.16 | −34.0 | −103.6 | −104.0 | −119.3 | −107.5 | −130.0 |
| 2.232 | −24.36 | −25.98 | −26.18 | −25.7 | −101.1 | −101.7 | −118.9 | −107.6 | −130.3 |
| 2.292 | −24.43 | −25.98 | −26.19 | −19.1 | −97.8 | −100.0 | −117.9 | −107.8 | −130.5 |
| 2.352 | −24.50 | −26.01 | −26.20 | −14.0 | −94.5 | −98.2 | −115.8 | −108.2 | −130.5 |
| 2.412 | −24.57 | −26.04 | −26.21 | −9.5 | −91.2 | −95.9 | −113.0 | −109.1 | −130.4 |
| 2.472 | −24.63 | −26.08 | −26.22 | −5.2 | −87.9 | −93.4 | −109.8 | −110.4 | −130.5 |
| 2.532 | −24.69 | −26.11 | −26.22 | −1.7 | −85.1 | −90.6 | −107.0 | −111.9 | −130.7 |
| 2.592 | −24.74 | −26.13 | −26.23 | 0.7 | −82.9 | −88.0 | −104.8 | −113.3 | −131.1 |
| 2.652 | −24.77 | −26.13 | −26.24 | 2.1 | −81.3 | −85.9 | −102.9 | −114.6 | −132.0 |
| 2.712 | −24.79 | −26.13 | −26.24 | 2.2 | −80.4 | −84.2 | −101.1 | −116.3 | −133.1 |
| 2.772 | −24.80 | −26.12 | −26.24 | 1.3 | −79.8 | −83.6 | −98.9 | −117.9 | −134.1 |
| 2.832 | −24.81 | −26.11 | −26.24 | −0.4 | −79.5 | −83.9 | −96.3 | −119.4 | −135.4 |
| 2.892 | −24.80 | −26.10 | −26.23 | −2.7 | −79.4 | −84.4 | −94.9 | −120.2 | −136.3 |
| 2.952 | −24.79 | −26.08 | −26.22 | −5.2 | −79.6 | −88.4 | −92.7 | −120.2 | −136.8 |
| 3.012 | −24.79 | −26.06 | −26.21 | −7.9 | −79.3 | −89.2 | −93.0 | −118.3 | −137.0 |
| 3.072 | −24.79 | −26.03 | −26.21 | −9.2 | −79.1 | −89.2 | −93.0 | −117.6 | −136.7 |
| 3.132 | −24.79 | −26.02 | −26.21 | −8.1 | −79.0 | −89.2 | −93.0 | −116.6 | −136.4 |
| 3.192 | −24.79 | −26.01 | −26.20 | −3.9 | −78.8 | −89.2 | −93.0 | −116.5 | −135.9 |
| 3.252 | −24.79 | −26.01 | −26.21 | −0.9 | −79.2 | −89.2 | −93.0 | −116.5 | −134.4 |
| 3.312 | −24.79 | −26.01 | −26.21 | 8.5 | −78.8 | −89.2 | −93.0 | −116.5 | −134.0 |
| 3.372 | −24.79 | −26.01 | −26.17 | 29.3 | −76.6 | −89.2 | −93.0 | −116.5 | |
| 3.432 | −24.79 | ||||||||
| Al,da (X, t) (cm/s2) | |||||||||
| −88.4 | −116.8 | −111.9 | −119.9 | −117.1 | −132.9 | ||||
| expected average estimated from the values of Al,da for Δt = 0.0090, 0.0135, 0.0180 and 0.0225 s | relative deviation Dr (%) | ||||||||
| −116.4 (cm/s2) | 24.1 | 0.3 | 3.9 | 3.0 | 0.6 | 14.2 | |||
| (1) | (2) | (3) | (4) | (5) | (6) | (7) | (8) | (9) | (10) | (11) |
|---|---|---|---|---|---|---|---|---|---|---|
| Y | U(X − ΔX, Y, t) | U(X, Y, t) | U(X + ΔX, Y, t) | Ac1 (X, Y, t) | Ac1 (X, Y, t) | Ac1 (X, Y, t) | Ac1 (X, Y, t) | Ac1 (X, Y, t) | Ac1 (X, Y, t) | Ac1 (X, Y, t) |
| (cm) | (cm/s) | (cm/s) | (cm/s) | (cm/s2) | (cm/s2) | (cm/s2) | (cm/s2) | (cm/s2) | (cm/s2) | (cm/s2) |
| X = 17.85 cm | X = 18.81 cm | X = 19.77 cm | ΔX = 0.24 cm | ΔX = 0.42 cm | ΔX = 0.60 cm | ΔX = 0.78 cm | ΔX = 0.96 cm | ΔX = 1.02 cm | ΔX = 1.38 cm | |
| 0.000 | 0.00 | 0.00 | 0.00 | |||||||
| 0.072 | −8.55 | −8.17 | −8.20 | |||||||
| 0.132 | −14.94 | −15.76 | −16.92 | |||||||
| 0.192 | −19.65 | −20.89 | −22.36 | |||||||
| 0.252 | −22.53 | −24.41 | −26.25 | |||||||
| 0.312 | −23.45 | −25.52 | −27.32 | |||||||
| 0.372 | −23.54 | −25.74 | −27.53 | |||||||
| 0.432 | −23.26 | −25.57 | −27.42 | |||||||
| 0.492 | −22.95 | −25.36 | −27.29 | |||||||
| 0.552 | −22.71 | −25.18 | −27.11 | 98.6 | 73.8 | 67.9 | 59.3 | 57.7 | 57.2 | 55.8 |
| 0.612 | −22.55 | −25.04 | −26.92 | 100.3 | 76.3 | 72.5 | 59.8 | 57.0 | 56.3 | 54.3 |
| 0.672 | −22.48 | −24.94 | −26.73 | 96.6 | 77.8 | 75.0 | 59.1 | 55.3 | 55.0 | 52.8 |
| 0.732 | −22.45 | −24.89 | −26.60 | 89.0 | 78.2 | 74.4 | 58.1 | 53.8 | 53.5 | 51.4 |
| 0.792 | −22.43 | −24.87 | −26.50 | 78.8 | 77.6 | 71.1 | 56.8 | 52.7 | 52.2 | 50.0 |
| 0.852 | −22.41 | −24.86 | −26.45 | 67.3 | 75.2 | 66.2 | 55.7 | 52.3 | 50.8 | 48.6 |
| 0.912 | −22.41 | −24.86 | −26.42 | 54.7 | 70.2 | 60.9 | 55.0 | 51.9 | 49.2 | 46.9 |
| 0.972 | −22.48 | −24.87 | −26.45 | 42.7 | 62.6 | 55.3 | 53.9 | 51.4 | 47.7 | 45.1 |
| 1.032 | −22.63 | −24.90 | −26.52 | 33.7 | 52.6 | 49.1 | 52.0 | 50.4 | 46.4 | 43.3 |
| 1.092 | −22.84 | −24.96 | −26.61 | 29.7 | 42.1 | 42.2 | 48.5 | 49.1 | 45.4 | 41.7 |
| 1.152 | −23.06 | −25.01 | −26.67 | 30.6 | 33.2 | 35.7 | 43.4 | 47.0 | 44.6 | 40.5 |
| 1.212 | −23.26 | −25.06 | −26.66 | 33.2 | 27.5 | 31.4 | 38.0 | 44.3 | 43.8 | 39.8 |
| 1.272 | −23.43 | −25.09 | −26.57 | 34.2 | 25.3 | 30.0 | 33.3 | 40.9 | 42.8 | 39.3 |
| 1.332 | −23.59 | −25.11 | −26.45 | 31.9 | 24.9 | 30.8 | 30.2 | 37.4 | 41.2 | 38.7 |
| 1.392 | −23.74 | −25.14 | −26.31 | 27.5 | 25.3 | 31.9 | 28.1 | 33.6 | 38.6 | 37.8 |
| 1.452 | −23.92 | −25.16 | −26.18 | 23.5 | 25.3 | 31.4 | 26.0 | 29.6 | 35.0 | 36.5 |
| 1.512 | −24.09 | −25.18 | −26.03 | 22.2 | 25.7 | 29.2 | 23.0 | 25.5 | 30.9 | 34.7 |
| 1.572 | −24.25 | −25.20 | −25.90 | 23.1 | 26.9 | 26.1 | 19.3 | 21.7 | 27.1 | 32.2 |
| 1.632 | −24.35 | −25.22 | −25.80 | 24.6 | 29.3 | 23.1 | 15.6 | 19.0 | 24.5 | 29.6 |
| 1.692 | −24.43 | −25.27 | −25.77 | 24.7 | 31.2 | 20.9 | 12.7 | 17.6 | 23.0 | 27.0 |
| 1.752 | −24.50 | −25.37 | −25.81 | 22.6 | 31.4 | 19.6 | 11.1 | 17.3 | 22.2 | 24.9 |
| 1.812 | −24.60 | −25.49 | −25.90 | 18.7 | 29.2 | 18.8 | 10.7 | 17.2 | 21.4 | 23.6 |
| 1.872 | −24.74 | −25.63 | −26.01 | 13.2 | 25.3 | 18.0 | 11.1 | 17.0 | 20.4 | 23.0 |
| 1.932 | −24.90 | −25.75 | −26.12 | 6.7 | 20.9 | 17.1 | 11.8 | 16.4 | 19.3 | 23.1 |
| 1.992 | −25.06 | −25.85 | −26.21 | 0.5 | 16.7 | 15.7 | 12.2 | 15.5 | 18.1 | 23.5 |
| 2.052 | −25.18 | −25.92 | −26.27 | −4.7 | 12.8 | 14.3 | 12.3 | 14.7 | 16.7 | 23.6 |
| 2.112 | −25.27 | −25.96 | −26.29 | −7.1 | 9.9 | 13.3 | 12.1 | 13.7 | 15.2 | 23.2 |
| 2.172 | −25.32 | −25.98 | −26.28 | −6.9 | 8.0 | 13.2 | 11.6 | 13.0 | 13.4 | 22.1 |
| 2.232 | −25.36 | −25.98 | −26.26 | −4.8 | 7.7 | 13.3 | 11.0 | 12.1 | 11.6 | 20.6 |
| 2.292 | −25.41 | −25.98 | −26.24 | −2.2 | 8.2 | 12.9 | 10.5 | 11.3 | 10.1 | 18.9 |
| 2.352 | −25.48 | −26.01 | −26.24 | −0.4 | 8.4 | 11.4 | 10.0 | 10.3 | 8.9 | 17.4 |
| 2.412 | −25.57 | −26.04 | −26.25 | 0.7 | 8.0 | 9.1 | 9.5 | 9.2 | 8.1 | 16.2 |
| 2.472 | −25.67 | −26.08 | −26.28 | 1.1 | 6.6 | 6.6 | 8.8 | 8.3 | 7.5 | 15.4 |
| 2.532 | −25.74 | −26.11 | −26.29 | 1.2 | 5.1 | 4.8 | 8.0 | 7.5 | 6.9 | 15.0 |
| 2.592 | −25.78 | −26.13 | −26.30 | 1.2 | 3.6 | 4.0 | 7.4 | 7.1 | 6.4 | 14.9 |
| 2.652 | −25.79 | −26.13 | −26.29 | 1.3 | 3.0 | 4.1 | 7.3 | 6.9 | 6.2 | 14.8 |
| 2.712 | −25.78 | −26.13 | −26.28 | 1.7 | 3.0 | 4.8 | 7.9 | 6.9 | 6.3 | 14.6 |
| 2.772 | −25.75 | −26.12 | −26.28 | 2.5 | 3.8 | 5.9 | 9.3 | 7.2 | 7.0 | 14.5 |
| 2.832 | −25.71 | −26.11 | −26.28 | 3.2 | 4.6 | 6.9 | 11.0 | 7.7 | 8.0 | 14.4 |
| 2.892 | −25.66 | −26.10 | −26.28 | 3.8 | 5.0 | 7.6 | 12.8 | 8.5 | 8.9 | 14.0 |
| 2.952 | −25.59 | −26.08 | −26.28 | 3.7 | 4.6 | 8.0 | 14.1 | 9.4 | 9.8 | 14.2 |
| 3.012 | −25.50 | −26.06 | −26.26 | 2.7 | 3.4 | 7.8 | 14.1 | 10.3 | 10.4 | 14.8 |
| 3.072 | −25.42 | −26.03 | −26.22 | 0.4 | 1.1 | 7.3 | 13.6 | 10.8 | 11.0 | |
| 3.132 | −25.37 | −26.02 | −26.17 | −1.8 | −2.4 | 5.9 | 12.1 | 10.8 | 11.3 | |
| 3.192 | −25.38 | −26.01 | −26.09 | −2.2 | −7.8 | 4.1 | 10.1 | 9.7 | ||
| 3.252 | −25.45 | −26.01 | −0.9 | −12.0 | 1.7 | 8.9 | ||||
| 3.312 | −25.53 | −26.01 | 2.7 | −15.5 | ||||||
| 3.372 | −25.57 | −26.01 | ||||||||
| 3.432 | −25.49 | |||||||||
| Ac1,da (X, t) (cm/s2) | ||||||||||
| 21.8 | 24.5 | 25.7 | 24.1 | 25.0 | 26.1 | 29.8 | ||||
| expected average estimated from the values of Ac1,da for ΔX = 0.42, 0.60, 0.78, 0.96 and 1.02 cm | relative deviation Dr (%) | |||||||||
| 25.1 (cm/s2) | 13.1 | 2.4 | 2.4 | 4.0 | 0.4 | 4.0 | 18.7 | |||
| (1) | (2) | (3) | (4) | (5) | (6) | (7) |
|---|---|---|---|---|---|---|
| Y | V(X, Y, t) | U(X, Y, t) | Ac2 (X, Y, t) | Ac (X, Y, t) | At (X, Y, t) | (1/ρ)∂P/∂X |
| (cm) | (cm/s) | (cm/s) | (cm/s2) | (cm/s2) | (cm/s2) | (cm/s2) |
| 0.000 | 0.00 | 0.00 | ||||
| 0.072 | 0.07 | −8.17 | ||||
| 0.132 | 0.11 | −15.76 | ||||
| 0.192 | 0.16 | −20.89 | ||||
| 0.252 | 0.30 | −24.41 | ||||
| 0.312 | 0.54 | −25.52 | ||||
| 0.372 | 0.86 | −25.74 | ||||
| 0.432 | 1.20 | −25.57 | ||||
| 0.492 | 1.46 | −25.36 | ||||
| 0.552 | 1.63 | −25.18 | 3.5 | 61.3 | −132.7 | −177.5 |
| 0.612 | 1.73 | −25.04 | 2.4 | 59.3 | −135.1 | −175.1 |
| 0.672 | 1.81 | −24.94 | 1.2 | 56.5 | −137.6 | −172.7 |
| 0.732 | 1.90 | −24.89 | 0.1 | 53.9 | −139.1 | −171.1 |
| 0.792 | 2.02 | −24.87 | −0.6 | 52.2 | −138.0 | −172.3 |
| 0.852 | 2.14 | −24.86 | −0.5 | 51.8 | −132.1 | −178.1 |
| 0.912 | 2.29 | −24.86 | 0.3 | 52.1 | −121.8 | −188.5 |
| 0.972 | 2.46 | −24.87 | 1.2 | 52.6 | −108.4 | −201.8 |
| 1.032 | 2.64 | −24.90 | 1.8 | 52.2 | −96.1 | −214.1 |
| 1.092 | 2.82 | −24.96 | 1.7 | 50.7 | −87.4 | −222.8 |
| 1.152 | 2.98 | −25.01 | 0.9 | 47.9 | −83.9 | −226.3 |
| 1.212 | 3.11 | −25.06 | −0.3 | 44.0 | −84.8 | −225.4 |
| 1.272 | 3.21 | −25.09 | −1.4 | 39.5 | −88.6 | −221.6 |
| 1.332 | 3.26 | −25.11 | −2.0 | 35.3 | −93.0 | −217.2 |
| 1.392 | 3.28 | −25.14 | −2.0 | 31.6 | −97.1 | −213.2 |
| 1.452 | 3.28 | −25.16 | −1.5 | 28.1 | −101.4 | −208.9 |
| 1.512 | 3.28 | −25.18 | −1.1 | 24.4 | −105.5 | −204.7 |
| 1.572 | 3.29 | −25.20 | −1.7 | 20.0 | −109.1 | −201.1 |
| 1.632 | 3.31 | −25.22 | −3.5 | 15.6 | −111.9 | −198.4 |
| 1.692 | 3.34 | −25.27 | −6.0 | 11.6 | −112.8 | −197.4 |
| 1.752 | 3.36 | −25.37 | −8.0 | 9.3 | −111.0 | −199.2 |
| 1.812 | 3.37 | −25.49 | −8.4 | 8.9 | −106.9 | −203.3 |
| 1.872 | 3.38 | −25.63 | −7.3 | 9.7 | −102.0 | −208.2 |
| 1.932 | 3.38 | −25.75 | −5.3 | 11.1 | −97.4 | −212.8 |
| 1.992 | 3.37 | −25.85 | −3.5 | 12.1 | −94.6 | −215.6 |
| 2.052 | 3.35 | −25.92 | −2.0 | 12.6 | −93.3 | −216.9 |
| 2.112 | 3.34 | −25.96 | −0.9 | 12.8 | −92.4 | −217.8 |
| 2.172 | 3.32 | −25.98 | −0.2 | 12.8 | −90.8 | −219.4 |
| 2.232 | 3.31 | −25.98 | 0.2 | 12.3 | −88.8 | −221.4 |
| 2.292 | 3.29 | −25.98 | −0.1 | 11.2 | −86.7 | −223.6 |
| 2.352 | 3.28 | −26.01 | −0.7 | 9.6 | −84.9 | −225.3 |
| 2.412 | 3.28 | −26.04 | −1.1 | 8.1 | −83.1 | −227.1 |
| 2.472 | 3.28 | −26.08 | −1.2 | 7.0 | −80.9 | −229.3 |
| 2.532 | 3.28 | −26.11 | −0.9 | 6.6 | −78.5 | −231.7 |
| 2.592 | 3.28 | −26.13 | −0.5 | 6.6 | −76.3 | −233.9 |
| 2.652 | 3.29 | −26.13 | −0.2 | 6.7 | −74.6 | −235.6 |
| 2.712 | 3.29 | −26.13 | 0.0 | 6.9 | −73.5 | −236.7 |
| 2.772 | 3.30 | −26.12 | 0.0 | 7.2 | −72.6 | −237.6 |
| 2.832 | 3.29 | −26.11 | 0.0 | 7.7 | −71.8 | −238.4 |
| 2.892 | 3.29 | −26.10 | 0.0 | 8.5 | −70.9 | −239.3 |
| 2.952 | 3.29 | −26.08 | −0.1 | 9.3 | −70.3 | −239.9 |
| 3.012 | 3.30 | −26.06 | −0.3 | 10.0 | −69.3 | −240.9 |
| 3.072 | 3.32 | −26.03 | −0.8 | 10.1 | −69.0 | −241.2 |
| 3.132 | 3.37 | −26.02 | −1.3 | 9.5 | −69.4 | −240.8 |
| 3.192 | 3.45 | −26.01 | −2.0 | 7.7 | −71.0 | −239.2 |
| 3.252 | 3.54 | −26.01 | −2.5 | |||
| 3.312 | 3.65 | −26.01 | −2.5 | |||
| 3.372 | 3.73 | −26.01 | ||||
| Ac2,da (X, t) (cm/s2) | Ac,da (X, t) (cm/s2) | At da (X, t) (cm/s2) | [(1/ρ)∂P/∂X]da (cm/s2) | |||
| −1.2 | 23.8 | −95.5 | −214.7 | |||
| Term | Definition |
|---|---|
| [(1/ρ)∂P/∂X]da | partially depth-averaged value of pressure gradient divided by density [LT−2] |
| Ac,s | smoothed value of convective acceleration [LT−2] |
| Ac1 | (=U∂U/∂X) first convective acceleration [LT−2] |
| Ac1,da | (=(U∂U/∂X)da) partially depth-averaged value of first convective acceleration [LT−2] |
| Ac1,s | smoothed value of first convective acceleration [LT−2] |
| Ac2 | (=V∂U/∂Y) second convective acceleration [LT−2] |
| Ac2,da | (=(V∂U/∂Y)da) partially depth-averaged value of second convective acceleration [LT−2] |
| Ac2,s | smoothed value of second convective acceleration [LT−2] |
| Al | (=∂U/∂t) local acceleration [LT−2] |
| Al,da | (=(∂U/∂t)da) depth-averaged value of local acceleration [LT−2] |
| Al,s | smoothed value of local acceleration [LT−2] |
| Alv,da | (=(∂V/∂t)da) partially depth-averaged value of local acceleration in Y-direction [LT−2] |
| At | (=Al + Ac1 + Ac2) total acceleration [LT−2] |
| At,da | (=(Al + Ac1 + Ac2)da) partially depth-averaged value of total acceleration [LT−2] |
| At,s | smoothed value of total acceleration [LT−2] |
| C* | (=(gh0)1/2) linear wave celerity [LT−1] |
| C0 | measured wave celerity over horizontal bottom [LT−1] |
| Dr | relative deviation [-] |
| g | gravity acceleration [LT−2] |
| H0 | incident wave height [L] |
| Hp | potential associated with gravitational force [-] |
| h0 | still water depth [L] |
| ls | representative length scale [L] |
| P | pressure [ML−1T−2] |
| P* | (=[(1/ρ)∂P/∂X]s) smoothed value of pressure gradient divided by density [LT−2] |
| S* | (=1.521 × S0 × (H0/h0)−1/2) slope parameter [-] |
| S0 | slope of sloping beach [-] |
| T | (=t × (g/h0)1/2) non-dimensional time [-] |
| Thj | non-dimensional time for occurrence of hydraulic jump [-] |
| Tifs | non-dimensional time for incipient flow separation [-] |
| Tmrh | non-dimensional time for wave tip reaching maximum run-up height [-] |
| t | time defining relative position of wave crest from toe of sloping beach [T] |
| thj | time for occurrence of hydraulic jump [T] |
| tifs | time for incipient flow separation [T] |
| tmrh | time for wave tip reaching maximum run-up height [T] |
| tp | period of solitary wave [T] |
| U | ensemble-averaged velocity parallel to sloping beach [LT−1] |
| Ucv | convection velocity of primary vortex core [LT−1] |
| Ur | representative velocity parallel to sloping beach [LT−1] |
| Uu | uniform or partially-depth-averaged velocity parallel to sloping beach [LT−1] |
| u | ensemble-averaged horizontal velocity [LT−1] |
| umax | maximum value of ensemble-averaged horizontal velocity in time history [LT−1] |
| us | representative velocity scale [LT−1] |
| v | ensemble-averaged vertical velocity [LT−1] |
| V | ensemble-averaged velocity normal to sloping beach [LT−1] |
| X | onshore distance parallel to sloping beach with X = 0 located at toe of sloping beach [L] |
| Xco | position in X-direction where primary vortex core is located [L] |
| Xifs | position in X-direction where incipient flow separation occurs [L] |
| Xpv | position in X-direction where peak vorticity occurs [L] |
| x | horizontal onshore distance with x = 0 located at toe of sloping beach [L] |
| xhj | position in x-direction where hydraulic jump occurs [L] |
| xifs | position in x-direction where incipient flow separation occurs [L] |
| xmrh | position in x-direction where wave-tip reaches maximum run-up height [L] |
| Y | height perpendicular to sloping beach with Y= 0 located at the slope surface [L] |
| Yco | position in Y-direction where primary vortex core is located [L] |
| Ypv | position in Y-direction where peak vorticity occurs [L] |
| Ysize | height corresponding to size of primary vortex in Y-direction [L] |
| y | vertical upward distance measured from horizontal bottom [L] |
| Δt | time interval [T] |
| Δtframing | time elapse between two consecutive images taken by high-speed camera at specified framing rate [T] |
| ΔX | spatial interval [L] |
| ρ | fluid density [ML−3] |
| μ | dynamic viscosity [ML−1T−1] |
| τ | shear stress [ML−1T−2] |
| η | free surface elevation over sloping beach [L] |
| η0 | free surface elevation over horizontal bottom [L] |
| θ | inclination angle of sloping beach [-] |
| Г | vorticity [T−1] |
| Гco | vorticity at primary vortex core [T−1] |
| Гpv | peak vorticity [T−1] |
| (…)A | physical quantity of Case A |
| (…)B | physical quantity of Case B |
References
- Lin, C.; Wong, W.Y.; Kao, M.J.; Tsai, C.P.; Hwung, H.H.; Wu, Y.T.; Raikar, R.V. Evolution of velocity field and vortex structure during run-down of solitary wave over very steep beach. Water 2018, 10, 1713. [Google Scholar] [CrossRef]
- Carrier, G.F.; Greenspan, H.P. Water waves of finite amplitude on a sloping beach. J. Fluid Mech. 1958, 17, 97–110. [Google Scholar] [CrossRef]
- Synolakis, C.E. The runup of solitary waves. J. Fluid Mech. 1987, 185, 523–545. [Google Scholar] [CrossRef]
- Kobayashi, N.; Otta, A.K.; Roy, I. Wave reflection and runup on rough slopes. J. Waterw. Port Coast. Ocean Eng. 1987, 113, 282–298. [Google Scholar] [CrossRef]
- Zelt, J.A. The run-up of nonbreaking and breaking solitary waves. Coast. Eng. 1991, 15, 205–246. [Google Scholar] [CrossRef]
- Grilli, S.T.; Subramanya, R.; Svendsen, I.A.; Veeramony, J. Shoaling of solitary waves on plane beaches. J. Waterw. Port Coast. Ocean Eng. 1994, 120, 609–628. [Google Scholar] [CrossRef]
- Grilli, S.T.; Svendsen, I.A.; Subramanya, R. Breaking criterion and characteristics for solitary waves on slopes. J. Waterw. Port Coast. Ocean Eng. 1997, 123, 102–112. [Google Scholar] [CrossRef]
- Lin, P.; Liu, P.L.F. A numerical study of breaking waves in the surf zone. J. Fluid Mech. 1998, 359, 239–264. [Google Scholar] [CrossRef]
- Lin, P.; Chang, K.A.; Liu, P.L.F. Runup and rundown of solitary waves on sloping beaches. J. Waterw. Port Coast. Ocean Eng. 1999, 125, 247–255. [Google Scholar] [CrossRef]
- Scandura, P.; Foti, E.; Faraci, C. Mass transport under standing waves over a sloping beach. J. Fluid Mech. 2012, 701, 460–472. [Google Scholar] [CrossRef]
- Higuera, P.; Liu, P.L.F.; Lin, C.; Wong, W.Y.; Kao, M.J. Laboratory-scale swash flows generated by a non-breaking solitary wave on a steep slope. J. Fluid Mech. 2018, 847, 186–227. [Google Scholar] [CrossRef]
- Jensen, A.; Pedersen, G.K.; Wood, D.J. An experimental study of wave run-up at a steep beach. J. Fluid Mech. 2003, 486, 161–188. [Google Scholar] [CrossRef]
- Pedersen, G.; Lindstrom, E.; Bertelsen, A.F.; Jensen, A.; Laskovski, D. Runup and boundary layers on sloping beaches. Phys. Fluids 2013, 25, 012102. [Google Scholar] [CrossRef]
- Lin, C.; Yeh, P.H.; Hseih, S.C.; Shih, Y.N.; Lo, L.F.; Tsai, C.P. Pre-breaking internal velocity field induced by a solitary wave propagating over a 1:10 slope. Ocean Eng. 2014, 80, 1–12. [Google Scholar] [CrossRef]
- Lin, C.; Kao, M.J.; Tzeng, G.W.; Wong, W.Y.; Yang, J.; Raikar, R.V.; Wu, T.R.; Liu, P.L.F. Study on flow fields of boundary-layer separation and hydraulic jump during rundown motion of shoaling solitary wave. J. Earthq. Tsunami 2015, 9, 154002. [Google Scholar] [CrossRef]
- Smith, L.; Jensen, A.; Pedersen, G. Investigation of breaking and non-breaking solitary waves and measurements of swash zone dynamics on a 5° beach. Coast. Eng. 2017, 120, 38–46. [Google Scholar] [CrossRef]
- Petrotta, C.; Faraci, C.; Scandura, P.; Foti, E. Experimental investigation on sea ripple evolution over sloping beaches. Ocean Dyn. 2018, 68, 1221–1237. [Google Scholar] [CrossRef]
- Chang, K.A.; Liu, P.L.F. Velocity, acceleration and vorticity under a breaking wave. Phys. Fluids 1998, 10, 327–329. [Google Scholar] [CrossRef]
- Jensen, A.; Sveen, J.K.; Grue, J.; Richon, J.B.; Gray, C. Acceleration in water waves by extended particle image velocimetry. Exp. Fluids 2001, 30, 500–510. [Google Scholar] [CrossRef]
- Puleo, J.A.; Farhadzadeh, A.; Kobayashi, N. Numerical simulation of swash zone fluid accelerations. J. Geophys. Res. 2007, 112, C07007. [Google Scholar] [CrossRef]
- Pedrozo-Acuna, A.; Alegria-Arzaburu, A.R.; Torres-Freyermuth, A.; Mendoza, E.; Silva, R. Laboratory investigation of pressure gradients induced by plunging breakers. Coast. Eng. 2011, 58, 722–738. [Google Scholar] [CrossRef]
- Goring, D.G. Tsunami: The Propagation of Long Waves onto a Shelf; Technical Report No. KH-R−38; W. M. Keck Laboratory of Hydraulics and Water Resources, California Institute of Technology: Pasadena, CA, USA, 1978. [Google Scholar]
- Dean, R.G.; Dalrymple, R.A. Water Wave Mechanics for Engineers and Scientists; World Scientific Publishing Co. Pte. Ltd.: Hackensack, NJ, USA, 1995. [Google Scholar]
- Ho, T.C. Characteristics of Vortical Flow Fields Induced by Solitary Waves Propagating over Submerged Structures with Different Aspect Ratios. Ph. D. Thesis, Department of Civil Engineering, National Chung Hsing University, Taichung, Taiwan, 2009. [Google Scholar]
- Chow, V.T. Open-Channel Hydraulics; McGraw-Hill Book Company: Singapore, Singapore, 1973; pp. 425–428. [Google Scholar]
- Subramanya, K. Flow in Open Channels; McGraw-Hill Book Company: New York, NY, USA, 1986; pp. 204–206. [Google Scholar]
- Sumer, B.M.; Sen, M.B.; Karagali, I.; Ceren, B.; Fredsøe, J.; Sottile, M.; Zilioli, L.; Fuhrman, D.R. Flow and sediment transport induced by a plunging solitary wave. J. Geophys. Res. 2011, 116, C01008. [Google Scholar] [CrossRef]
- Daily, J.W.; Harleman, D.R.F. Fluid Dynamics; Addison-Wesley Publishing Company, Inc.: Boston, MA, USA, 1966. [Google Scholar]
- Munson, B.R.; Young, D.F.; Okiishi, T.H. Fundamentals of Fluid Mechanics; John Wiley & Sons, Inc.: Hoboken, NJ, USA, 1990. [Google Scholar]
- Liu, P.L.F.; Park, Y.S.; Cowen, E.A. Boundary layer flow and bed shear stress under a solitary wave. J. Fluid Mech. 2007, 574, 449–463. [Google Scholar] [CrossRef]
- Sumer, B.M.; Jensen, P.M.; Sørensen, L.B.; Fredsøe, J.; Liu, P.L.F.; Carstensen, S. Coherent structures in wave boundary layers. Part 2. Solitary motion. J. Fluid Mech. 2010, 646, 207–231. [Google Scholar] [CrossRef]
- Lin, C.; Yu, S.M.; Wong, W.Y.; Tzeng, G.W.; Kao, M.J.; Yeh, P.H.; Raikar, R.V.; Yang, J.; Tsai, C.P. Velocity characteristics in boundary layer flow caused by solitary wave traveling over horizontal bottom. Exp. Therm. Fluid Sci. 2016, 76, 238–252. [Google Scholar] [CrossRef]
- Baldock, T.E.; Grayson, R.; Torr, B.; Power, H.E. Flow convergence at the tip of a viscous swash front—Experimental and analytical modeling. Coast. Eng. 2014, 88, 123–130. [Google Scholar]
- Nielsen, P. Bed shear stress, surface shape and velocity field near the tip of dam-breaks, tsunami and wave runup. Coast. Eng. 2018, 138, 126–131. [Google Scholar]
- Park, Y.S.; Liu, P.L.F.; Chen, I.C. Contact line dynamics and boundary layer flow during reflection of a solitary wave. J. Fluid Mech. 2012, 707, 307–330. [Google Scholar] [CrossRef]
- Henderson, F.M. Open Channel Flow; Macmillan Publishing Company Inc.: New York, NY, USA, 1966; pp. 218–219. [Google Scholar]
- Schlichting, H. Boundary Layer Theory; McGraw-Hill Book Company: New York, NY, USA, 1979. [Google Scholar]
- Lin, C.; Hsieh, S.C.; Lin, W.J.; Raikar, V.R. Characteristics of recirculation zone structure behind an impulsively started circular cylinder. J. Eng. Mech. 2012, 138, 184–198. [Google Scholar] [CrossRef]























| FOVi | Range | Dimension | Pixel Resolution | Framing Rate |
|---|---|---|---|---|
| FOV1 | 10.80 cm ≤ x ≤ 20.08 cm | 9.95 cm × 6.22 cm | 1280 × 800 | 2000 Hz |
| FOV2 | 13.15 cm ≤ X ≤ 16.65 cm | 3.50 cm × 2.19 cm | 1280 × 800 | 3000 Hz |
| FOV3 | 15.75 cm ≤ X ≤ 19.25 cm | 3.50 cm × 2.19 cm | 1280 × 800 | 3000 Hz |
| t (s) | T | Ur (cm/s) | ∆t (s) | ∆T | Al,da (cm/s2) | Average of Al,da (cm/s2) | Relative Deviation Dr (%) | ∆X (cm) | Ac1,da (cm/s2) | Average of Ac1,da (cm/s2) | Relative Deviation Dr (%) | Suggested Range | |
|---|---|---|---|---|---|---|---|---|---|---|---|---|---|
| ∆t (s) | ∆X (cm) | ||||||||||||
| 0.6545 | 7.25 | −26.0 | 0.0090 | 0.10 | −116.8 | −116.4 | 0.3 | 0.42 | 24.5 | 25.1 | 2.4 | 0.0090–0.0225 | 0.42–1.02 |
| 0.0135 | 0.15 | −111.9 | 3.9 | 0.60 | 25.7 | 2.4 | |||||||
| 0.0180 | 0.20 | −119.9 | 3.0 | 0.78 | 24.1 | 4.0 | |||||||
| 0.0225 | 0.25 | −117.1 | 0.6 | 0.96 | 25.0 | 0.4 | |||||||
| 1.02 | 26.1 | 4.0 | |||||||||||
| 0.7765 | 8.60 | −37.2 | 0.0080 | 0.09 | −101.3 | −105.4 | 3.8 | 0.24 | 136.0 | 140.1 | 2.9 | 0.0080–0.0180 | 0.24–0.96 |
| 0.0090 | 0.10 | −108.0 | 2.5 | 0.42 | 144.4 | 3.1 | |||||||
| 0.0018 | 0.20 | −106.8 | 1.4 | 0.60 | 140.3 | 0.2 | |||||||
| 0.96 | 139.5 | 0.4 | |||||||||||
| 0.8670 | 9.60 | −48.6 | 0.0070 | 0.08 | −244.5 | −243.9 | 0.3 | 0.12 | 543.2 | 540.6 | 0.5 | 0.0070–0.0180 | 0.12–0.42 |
| 0.0080 | 0.09 | −248.5 | 1.9 | 0.24 | 549.4 | 1.6 | |||||||
| 0.0090 | 0.10 | −245.7 | 0.8 | 0.42 | 529.1 | 2.1 | |||||||
| 0.0180 | 0.20 | −236.8 | 2.9 | ||||||||||
| 1.0068 | 11.15 | −100.0 | 0.0053 | 0.06 | −968.7 | −1004.3 | 3.5 | 0.11 | 2087.8 | 2068.0 | 1.0 | 0.0053–0.0180 | 0.11–0.31 |
| 0.0090 | 0.10 | −1001.6 | 0.3 | 0.20 | 2000.9 | 3.2 | |||||||
| 0.0133 | 0.15 | −1024.7 | 2.0 | 0.31 | 2115.3 | 2.3 | |||||||
| 0.0180 | 0.20 | −1022.1 | 1.8 | ||||||||||
| 1.0385 | 11.50 | −120.0 | 0.0090 | 0.10 | −458.1 | −446.2 | 2.7 | 0.20 | 1266.2 | 1284.2 | 1.4 | 0.0090–0.0180 | 0.20–0.40 |
| 0.0133 | 0.15 | −429.0 | 3.8 | 0.31 | 1298.6 | 1.1 | |||||||
| 0.0180 | 0.20 | −451.4 | 1.2 | 0.40 | 1287.9 | 0.3 | |||||||
© 2019 by the authors. Licensee MDPI, Basel, Switzerland. This article is an open access article distributed under the terms and conditions of the Creative Commons Attribution (CC BY) license (http://creativecommons.org/licenses/by/4.0/).
Share and Cite
Lin, C.; Wong, W.-Y.; Raikar, R.V.; Hwung, H.-H.; Tsai, C.-P. Characteristics of Accelerations and Pressure Gradient during Run-Down of Solitary Wave over Very Steep Beach: A Case Study. Water 2019, 11, 523. https://doi.org/10.3390/w11030523
Lin C, Wong W-Y, Raikar RV, Hwung H-H, Tsai C-P. Characteristics of Accelerations and Pressure Gradient during Run-Down of Solitary Wave over Very Steep Beach: A Case Study. Water. 2019; 11(3):523. https://doi.org/10.3390/w11030523
Chicago/Turabian StyleLin, Chang, Wei-Ying Wong, Rajkumar V. Raikar, Hwung-Hweng Hwung, and Ching-Piao Tsai. 2019. "Characteristics of Accelerations and Pressure Gradient during Run-Down of Solitary Wave over Very Steep Beach: A Case Study" Water 11, no. 3: 523. https://doi.org/10.3390/w11030523
APA StyleLin, C., Wong, W.-Y., Raikar, R. V., Hwung, H.-H., & Tsai, C.-P. (2019). Characteristics of Accelerations and Pressure Gradient during Run-Down of Solitary Wave over Very Steep Beach: A Case Study. Water, 11(3), 523. https://doi.org/10.3390/w11030523

