A Fractal Model of Hydraulic Conductivity for Saturated Frozen Soil
Abstract
1. Introduction
2. Background
3. Fractal Model for Hydraulic Conductivity of Frozen Soil
3.1. Fractal Theroy
3.2. The Fractal Capillary Bundle Model of Frozen Soil
3.3. Derivation of the Fractal Model to Determine the Hydraulic Conductivity of Frozen Soil
4. Methods
5. Results
5.1. Cumulative Pore Size Distribution Curve
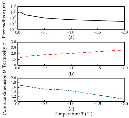
5.2. Maximum Pore Size, the Pore Size Dimension and Tortuosity
5.3. Fractal Values of Hydraulic Conductivity
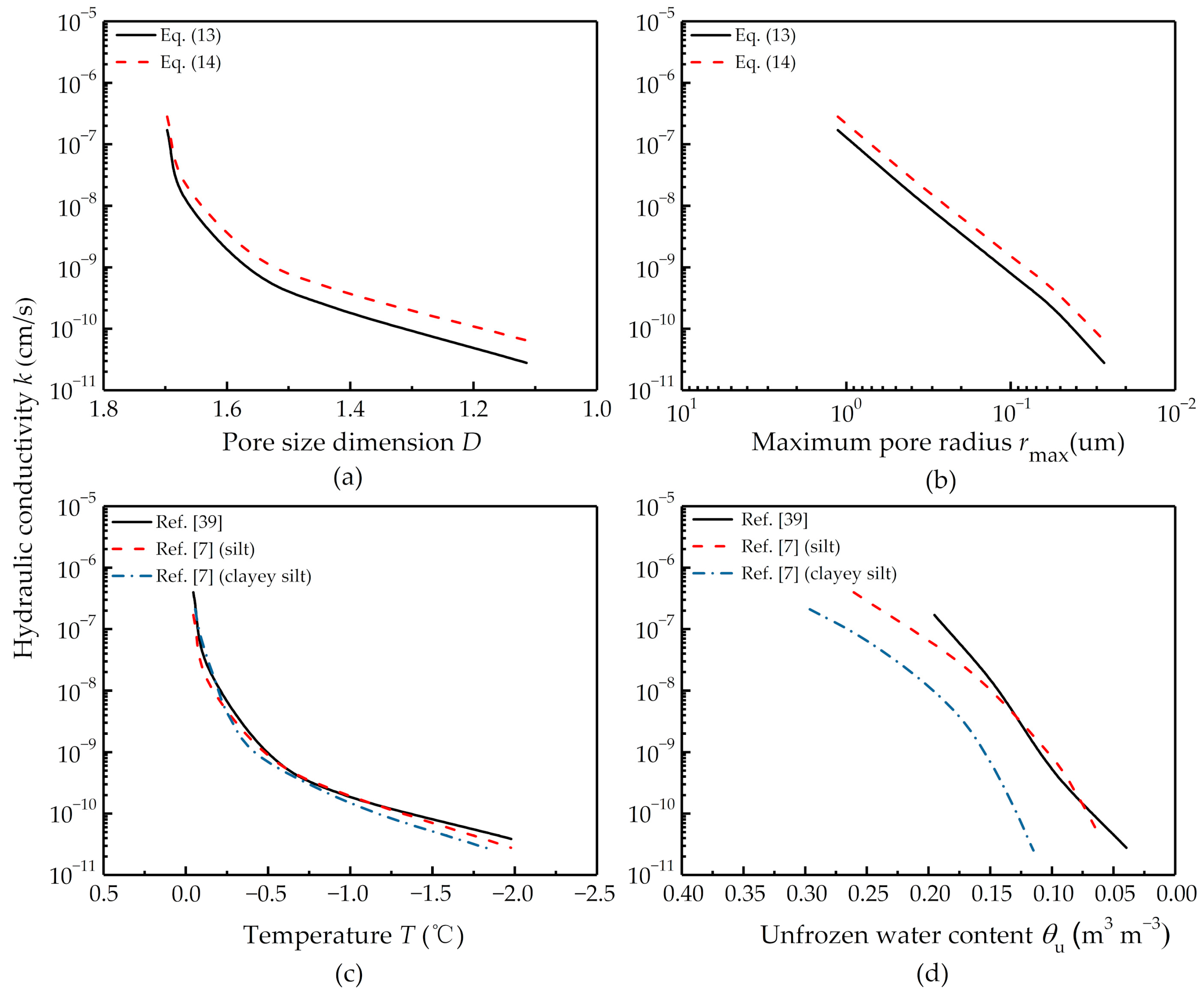
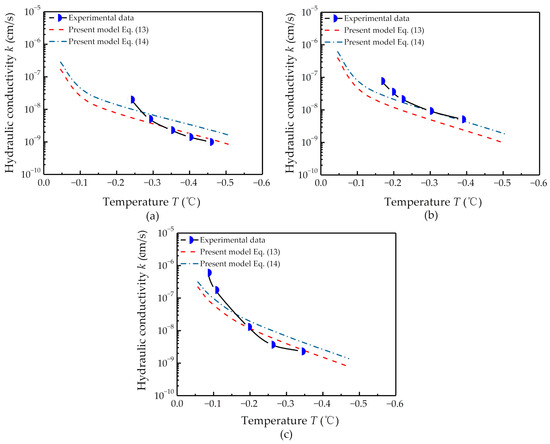
6. Discussion
6.1. Model Application
6.2. Comparison of the Cumulative Pore Size Distribution Determined by the SFC and Mercury Intrusion Porosimetry (MIP)
6.3. Vvalidity of Darcy’s Law
7. Conclusions
- The model provides a good agreement with the hydraulic conductivity data. Compared with other models, this model is simpler to use owing to its simple requirements of the SFC, initial volumetric content of water and the dimensions of the soil column.
- Pore size played a key role in affecting the hydraulic conductivity of frozen soil. The pore size dimension decreased linearly with temperature, the maximum pore size decreased with temperature and the tortuosity increased with temperature. Changes in these parameters with temperature can explain why the hydraulic conductivity of frozen soil changes with temperature.
- The pore size distribution is approximately estimated by the SFC, making this method a possible alternative to MIP.
- Darcy’s law is valid in the saturated frozen silt, clayed silt and clay, but maybe not valid in saturated frozen sand and unsaturated frozen soil.
Author Contributions
Funding
Acknowledgments
Conflicts of Interest
References
- Kurylyk, B.L.; Watanabe, K. The mathematical representation of freezing and thawing processes in variably saturated, non-deformable soils. Adv. Water Resour. 2013, 60, 160–177. [Google Scholar] [CrossRef]
- Walvoord, M.A.; Kurylyk, B.L. Hydrologic Impacts of Thawing Permafrost—A Review. Vadose Zone J. 2016, 15. [Google Scholar] [CrossRef]
- Watanabe, K.; Osada, Y. Comparison of hydraulic conductivity in frozen saturated and unfrozen unsaturated soils. Vadose Zone J. 2016, 15. [Google Scholar] [CrossRef]
- Ren, R.; Ma, J.; Cheng, Q.; Zheng, L.; Guo, X.; Sun, X. Modeling coupled water and heat transport in the root zone of winter wheat under non-isothermal conditions. Water 2017, 9, 290. [Google Scholar] [CrossRef]
- Wettlaufer, J.S.; Worster, M.G. Premelting dynamics. Annu. Rev. Fluid Mech. 2006, 38, 427–452. [Google Scholar] [CrossRef]
- Trusheim, F. Mechanism of salt migration in northern Germany. AAPG Bull. 1960, 44, 1519–1540. [Google Scholar] [CrossRef]
- Burt, T.P.; Williams, P.J. Hydraulic conductivity in frozen soils. Earth Surf. Process. 1976, 1, 349–360. [Google Scholar] [CrossRef]
- Horiguchi, K.; Miller, R.D. Experimental studies with frozen soil in an ice sandwich permeameter. Cold Reg. Sci. Technol. 1980, 3, 177–183. [Google Scholar] [CrossRef]
- Wiggert, D.C.; Andersland, O.B.; Davies, S.H. Movement of liquid contaminants in partially saturated frozen granular soils. Cold Reg. Sci. Technol. 1997, 25, 111–117. [Google Scholar] [CrossRef]
- McCauley, C.A.; White, D.M.; Lilly, M.R.; Nyman, D.M. A comparison of hydraulic conductivities, permeabilities and infiltration rates in frozen and unfrozen soils. Cold Reg. Sci. Technol. 2002, 34, 117–125. [Google Scholar] [CrossRef]
- Seyfried, M.S.; Murdock, M.D. Use of air permeability to estimate infiltrability of frozen soil. J. Hydrol. 1997, 202, 95–107. [Google Scholar] [CrossRef]
- Horigudhi, K.; Miller, R.D. Hydraulic conductivity functions of frozen materials. In Proceedings of the 4th International Conference on Permafrost; National Academy Press: Washington, DC, USA, 1983; pp. 504–508. [Google Scholar]
- Nixon, J.F. Discrete ice lens theory for frost heave in soils. Can. Geotech. J. 1991, 28, 843–859. [Google Scholar] [CrossRef]
- Jame, Y.W.; Norum, D.I. Heat and mass transfer in freezing unsaturated porous media. Water Resour. Res. 1980, 16, 811–819. [Google Scholar] [CrossRef]
- Taylor, G.S.; Luthin, J.N. A model for coupled heat and moisture transfer during soil freezing. Can. Geotech. J. 1978, 15, 548–555. [Google Scholar] [CrossRef]
- Mao, L.; Wang, C.Y.; Tabuchi, Y. A multiphase model for cold start of polymer electrolyte fuel cells. J. Electrochem. Soc. 2007, 154, 341–351. [Google Scholar] [CrossRef]
- Shang, S.H.; Lei, Z.D.; Yang, S.X. Numerical simulation improvement of coupled moisture and heat transfer during soil freezing. J. Tsinghua Univ. 1997, 37, 62–64. [Google Scholar] [CrossRef]
- Watanabe, K.; Flury, M. Capillary bundle model of hydraulic conductivity for frozen soil. Water Resour. Res. 2008, 44, 1–9. [Google Scholar] [CrossRef]
- Weigert, A.; Schmidt, J. Water transport under winter conditions. CATENA 2005, 64, 193–208. [Google Scholar] [CrossRef]
- Azmatch, T.F.; Sego, D.C.; Arenson, L.U.; Biggar, K.W. Using soil freezing characteristic curve to estimate the hydraulic conductivity function of partially frozen soils. Cold Reg. Sci. Technol. 2012, 83–84, 103–109. [Google Scholar] [CrossRef]
- Tarnawski, V.R.; Wagner, B. On the prediction of hydraulic conductivity of frozen soils. Can. Geotech. J. 1996, 33, 176–180. [Google Scholar] [CrossRef]
- Yu, B.M.; Cheng, P. A fractal model for permeability of bi-dispersed porous media. Int. J. Heat Mass Transf. 2002, 45, 2983–2993. [Google Scholar] [CrossRef]
- Yu, B.M.; Lee, L.J.; Cao, H.Q. A fractal in-plane permeability model for fabrics. Polym. Compos. 2002, 23, 201–221. [Google Scholar] [CrossRef]
- Yao, Y.; Liu, D.; Tang, D.; Tang, S.; Huang, W.; Liu, Z.; Che, Y. Fractal characterization of seepage-pores of coals from China: An investigation on permeability of coals. Comput. Geosci. 2009, 35, 1159–1166. [Google Scholar] [CrossRef]
- Pia, G.; Sanna, U. An intermingled fractal units model and method to predict permeability in porous rock. Int. J. Eng. Sci. 2014, 75, 31–39. [Google Scholar] [CrossRef]
- Xu, Y.F.; Sun, D.A. A fractal model for soil pores and its application to determination of water permeability. Physics A 2002, 316, 56–64. [Google Scholar] [CrossRef]
- Katz, A.J.; Thompson, A.H. Fractal sandstone pores: Implications for conductivity and pore formation. Phys. Rev. Lett. 1985, 54, 1325–1328. [Google Scholar] [CrossRef] [PubMed]
- Krohn, C.E.; Thompson, A.H. Fractal sandstone pores: Automated measurements using scanning-electron-microscope images. Phys. Rev. B 1986, 33, 6366–6374. [Google Scholar] [CrossRef]
- Adler, P.M. Porous Media: Geometry and Transports; Butterworth-Heinemann: Boston, MA, USA, 1992; pp. 265–267. [Google Scholar]
- Jacob, B. Dynamics of Fluids in Porous Media; American Elsevier Publishing Company: New York, NY, USA, 1972; p. 41. [Google Scholar]
- Cai, J.; Perfect, E.; Cheng, C.L.; Hu, X. Generalized modeling of spontaneous imbibition based on Hagen-Poiseuille flow in tortuous capillaries with variably shaped apertures. Langmuir 2014, 30, 5142–5151. [Google Scholar] [CrossRef] [PubMed]
- Ge, X.M.; Fan, Y.R.; Xing, D.H.; Chen, J.Y.; Cong, Y.H.; Liu, L.L. Predicting the relative permeability of water phase based on theory of coupled electricity-seepage and capillary bundle model. Open Pet. Eng. J. 2015, 11, 344–349. [Google Scholar] [CrossRef]
- Jiang, L.L.; Liu, Y.; Teng, Y.; Zhao, J.F.; Zhang, Y.; Yang, M.J.; Song, Y.C. Permeability estimation of porous media by using an improved capillary bundle model based on micro-CT derived pore geometries. Heat Mass Transf. 2016, 53, 49–58. [Google Scholar] [CrossRef]
- Xiao, B.Q.; Tu, X.; Ren, W.; Wang, Z.C. Modeling for hydraulic permeability and Kozeny–Carman constant of porous nanofibers using a fractal approach. Fractals 2015, 23, 1550029. [Google Scholar] [CrossRef]
- Yun, M.J.; Yu, B.M.; Cai, J.C. Analysis of seepage characters in fractal porous media. Int. J. Heat Mass Transf. 2009, 52, 3272–3278. [Google Scholar] [CrossRef]
- Xiao, B.; Fan, J.; Ding, F. A fractal analytical model for the permeabilities of fibrous gas diffusion layer in proton exchange membrane fuel cells. Electrochim. Acta 2014, 134, 222–231. [Google Scholar] [CrossRef]
- Fagerlund, G. Determination of pore-size distribution from freezing-point depression. Mater. Constr. 1973, 6, 215–225. [Google Scholar] [CrossRef]
- Comiti, J.; Renaud, M. A new model for determining mean structure parameters of fixed beds from pressure drop measurements: Application to beds packed with parallelepipedal particles. Chem. Eng. Sci. 1989, 44, 1539–1545. [Google Scholar] [CrossRef]
- Tokoro, T.; Ishikawa, T.; Akagawa, S. A method for permeability measurement of frozen soil using an ice lens inhibition technique. Jpn. Geotech. J. 2010, 5, 603–613. [Google Scholar] [CrossRef]
- You, Z.M.; Lai, Y.M.; Zhang, M.Y.; Liu, E.L. Quantitative analysis for the effect of microstructure on the mechanical strength of frozen silty clay with different contents of sodium sulfate. Environ. Earth Sci. 2017, 76, 143. [Google Scholar] [CrossRef]
- Xiao, Z.A. Study on the Water and Salt Migration Process and Deformation Mechanism of Saline Freezing Soil. Ph.D. Thesis, Northwest Institute of Eco-Environment and Resources, Chinese Academy of Sciences, Lanzhou, China, 2017. [Google Scholar]
- Diamond, S. A critical comparison of mercury porosimetry and capillary condensation pore size distributions of portland cement pastes. Cem. Concr. Res. 1971, 1, 531–545. [Google Scholar] [CrossRef]
- Tao, G.L.; Zhu, X.L.; Hu, Q.Z.; Zhuang, X.S.; He, J.; Chen, Y. Critical pore-size phenomenon and intrinsic fractal characteristic of clay in the process of compression. Rock Soil Mech. 2018, 1, 1–9. [Google Scholar] [CrossRef]
- Penumadu, D.; Dean, J. Compressibility effect in evaluating the pore-size distribution of kaolin clay using mercury intrusion porosimetry. Can. Geotech. J. 2000, 37, 393–405. [Google Scholar] [CrossRef]
- Juang, C.H.; Holtz, R.D. Fabric, Pore Size Distribution, and Permeability of Sandy Soils. J. Geotech. Eng. 1986, 112, 855–868. [Google Scholar] [CrossRef]














| Soil Type | Length (cm) | Diameter (cm) | Dry Density (g/m3) | Initial Water Content (m3 m−3) |
|---|---|---|---|---|
| Silt [7] | 3 | 3.8 | 1.52 | 0.50 |
| clayey silt [7] | 3 | 3.8 | 3.8 | 0.33 |
| Silt [39] | 3 | 7 | 7 | 0.38 |
| Reference | Present Model | Mean Squared Error | Squared Error | ||||
|---|---|---|---|---|---|---|---|
| −0.25 °C | −0.3 °C | −0.35 °C | −0.4 °C | −0.45 °C | |||
| Tokoro et al. [39] | Equation (13) | 0.34 | 1.62 | 0.08 | 0 | 0.001 | 0.01 |
| Equation (14) | 0.41 | 0.55 | 0.08 | 0.33 | 0.54 | 0.55 | |
| Burt and Williams (silt) [7] | Equation (13) | 0.91 | 2.23 | 1.02 | 0.55 | 0.30 | 0.47 |
| Equation (14) | 0.21 | 0.84 | 0.21 | 0.02 | 0 | 0 | |
| Burt and Williams (clayey silt) [7] | Equation (13) | 0.98 | 3.50 | 1.19 | 0 | 0.22 | 0 |
| Equation (14) | 0.78 | 1.98 | 0.41 | 0.16 | 0.97 | 0.40 | |
| Model Type | Mean Squared Error | Squared Error | ||||
|---|---|---|---|---|---|---|
| −0.25 °C | −0.3 °C | −0.35 °C | −0.4 °C | −0.45 °C | ||
| Present model Equation (13) | 0.34 | 1.62 | 0.08 | 0.001 | 0.009 | 0.01 |
| Present model Equation (14) | 0.41 | 0.55 | 0.08 | 0.33 | 0.54 | 0.55 |
| Nixon model [13] | 0.33 | 1.45 | 0.05 | 0.01 | 0.06 | 0.06 |
| Mao et al. model [16] | 1.37 | 0.03 | 0.80 | 1.55 | 2.14 | 2.32 |
| Jame and Norum model [14] E = −0.48 | 2.96 | 0.14 | 2.19 | 3.47 | 4.36 | 4.66 |
| Jame and Norum model [14] E = −2.82 | 0.40 | 0.84 | 0.02 | 0.22 | 0.46 | 0.48 |
| Jame and Norum model [14] E = −3.66 | 0.39 | 1.75 | 0.12 | 0.0007 | 0.03 | 0.04 |
© 2019 by the authors. Licensee MDPI, Basel, Switzerland. This article is an open access article distributed under the terms and conditions of the Creative Commons Attribution (CC BY) license (http://creativecommons.org/licenses/by/4.0/).
Share and Cite
Chen, L.; Li, D.; Ming, F.; Shi, X.; Chen, X. A Fractal Model of Hydraulic Conductivity for Saturated Frozen Soil. Water 2019, 11, 369. https://doi.org/10.3390/w11020369
Chen L, Li D, Ming F, Shi X, Chen X. A Fractal Model of Hydraulic Conductivity for Saturated Frozen Soil. Water. 2019; 11(2):369. https://doi.org/10.3390/w11020369
Chicago/Turabian StyleChen, Lei, Dongqing Li, Feng Ming, Xiangyang Shi, and Xin Chen. 2019. "A Fractal Model of Hydraulic Conductivity for Saturated Frozen Soil" Water 11, no. 2: 369. https://doi.org/10.3390/w11020369
APA StyleChen, L., Li, D., Ming, F., Shi, X., & Chen, X. (2019). A Fractal Model of Hydraulic Conductivity for Saturated Frozen Soil. Water, 11(2), 369. https://doi.org/10.3390/w11020369

