Empirical and Physically Based Thresholds for the Occurrence of Shallow Landslides in a Prone Area of Northern Italian Apennines
Abstract
1. Introduction
2. Materials and Methods
2.1. The Study Area
2.2. Reconstruction of the Empirical Thresholds
- Identification of distinct rainfall events, along the hourly time series of each rain gauge. Different lengths of dry periods were considered, i.e., considering different lengths of dry periods, meaning significant time spans without rain, which depend on the climatic feature of the area. The length of a dry period separating two distinct events depends on the time required for the soil to dry out and on the season, namely a cold period with low temperatures and limited amount of evapotranspiration (Cc) and a warm one with high temperatures and significant evapotranspiration (Cw). The length in months of Cc and Cw was calculated for the study area, following the procedure described in Melillo et al. [8], based on the application of the monthly soil water balance (MSWB) model [42]. The average monthly potential evapotranspiration PET (Figure 4a) of the study area was estimated, since the data acquired from 2000 to 2018 for the meteorological stations of the study area (Figure 1b). The average monthly real evapotranspiration RET (Figure 4a) was then estimated, considering a maximum field capacity of 208 mm/m, which is typical of the soil types (clayey and silty soils) and of the land uses (shrubs, woods, and grapevines) of the study area. For each month, RET was divided by PET, obtaining the parameter of the monthly aridity index AI [43]. Cw was, then, the period when the soil exhibits a water deficit (RET<PET, AI<1) and was from May to September (Figure 4b). Conversely, Cc was the period when RET>PET and AI>1, from October to April (Figure 4b). The total amount of RET for Cw period was then divided by the total amount of RET for Cc period, obtaining an R index equal to 2.1. R is defined as the factor of difference between the length of the dry periods (i.e., time span between two different rainfall events) in Cw and Cc periods. The dry intervals used for the definition of the rainfall events was, then, the following (Table 1): (i) for the definition of isolated rainfall events, the dry period P1 was of 3 and 6 h in Cw and Cc, respectively; (ii) for the definition of the sub-events, the dry period P2 was of 6 and 12 h in Cw and Cc, respectively; (iii) for the definition of a rainfall event, the dry period P4 was of 24 and 48 h in Cw and Cc, respectively. According to Melillo et al. [8,44], irrelevant rainfall sub-events (P3) with a cumulated amount less than or equal to 1 mm had to be excluded in the calculation of the final events.
- Linking rainfall data to shallow landslide events. For each shallow failure, related rain gauge was located in a circular buffer with a radius Rad of 10 km centered on the landslide location. This radius was chosen according to the morphology of the study area (no significant variations on slope height, which could influence rainfall amount) and to the density of rain gauges in the study area (an average of one gauge per 13 km2).
- Estimation of rainfall conditions leading to shallow landslide triggering. For each event in the inventory, the algorithm estimates possible rainfall conditions (in terms of duration and cumulated rainfall amount) leading to slope failure. This allows us to consider a possible inaccuracy in the estimation of the rain features triggering a landslide due to the distance between the slope failure and the related rain gauge. A weight, W, was assigned according to the inverse square distance between the rain gauge and the landslide (d−2), the cumulated rainfall amount (E), and the rainfall mean intensity (I) (Equation (1)):W = d−2E2I−1Furthermore, a parameter, k, assumed equal to 0.84, allowed us to take into account the antecedent soil moisture condition depending on the amount of rain fallen in the previous days.
- Reconstruction of rainfall threshold, based only on events triggering shallow landslides. Moreover, for each event, only the rainfall condition with the highest W value was selected. The threshold is defined as a power law curve which relates the cumulated rainfall amount (E) and the duration (D) of the events (Equation (2)):where α is the intercept of the curve;ω is the slope of the power law curve; and Δα and Δω are the uncertainties of α and ω, respectively.E = (α ± Δα) D(ω ± Δω)The threshold was defined by means of a frequentist method for reconstructing a 5% exceedance probability threshold, according to Brunetti et al. [13]. The fitting parameters of the curve and the related uncertainties were estimated through the calculation of thresholds of 5000 synthetic series of rainfall events. These series contained the same number of rainfall events that triggered landslides, but selected randomly with replacement, according to a bootstrap technique [45]. Analysis of these series allowed us to estimate the final threshold, that had α and ω corresponding to the mean values of the different bootstrap thresholds with their respective uncertainties (Δα and Δω).
2.3. Reconstruction of the Physicallybased Thresholds
- Identification of the representative testsite. Montuè was chosen as testsite exhibiting the typical geological and geomorphological settings prone to shallow landsliding in the study area (Figure 2a). The typical soil profile is shown in Figure 2b and described in detail in Bordoni et al. [24]. Test-site soils are low plastic clayey–sandy silts with a thickness mostly between 0.5 and 1.5 m. From the ground surface till 0.7 m, the upper soil layer (US) is characterized by a high content in carbonates (15%), as soft concretions, and unit weight in the order of 16.7–17.0 kN/m3. Below this level, the lower soil layer (LS), from 0.7 to 1.1 m from the ground level, is characterized by similar carbonate content with respect to the US, but it presents a higher unit weight, ranging around 18.6 kN/m3. Between 1.1 and 1.3 m from ground level, there is a layer (CAL) characterized by a significant increase in carbonate content, till 35.3%. The weathered bedrock (WB), which is composed of sand and poorly cemented conglomerates, is at 1.3 m from the ground surface. US and LS are characterized by similar values of friction angle, equal to 31° and 33°, respectively, and by a nil effective cohesion. Instead, the CAL horizon has a lower value of friction angle (26°), but a higher effective cohesion (29 kPa). Saturated hydraulic conductivity (Ks) is in the order of 10−5 m/s, except for CAL level that is characterized by a saturated hydraulic conductivity of 10−7 m/s. Soil water characteristic curves (SWCCs) of the soil layers, fitted through Van Genuchten’s [46] model, are quite similar [47], with wetting paths having saturated (θs) and residual (θr) water contents of 0.37–0.40 and 0.01 m3/m3, respectively. λ and n fitted parameters of the model range between 0.011 and 0.017 kPa−1 and between 1.20 and 1.40, respectively.From the geomorphological point of view, the testsite has steep slopes (steepness higher than 15° and mostly between 26° and 35°) and is east-facing. The slope elevation ranges from 170 to 210 m a.s.l. The land use is mainly constituted by grass and shrubs passing to a woodland of black robust trees at the bottom of the slope. Shallow landslides occurred on this slope in response to two events: (i) on 27 and 28 April 2009, as a consequence of an extreme rainfall event characterized by 160 mm of cumulated rain in 62 h; (ii) between 28 February and 2 March 2014, as a consequence of an event of 68.9 mm in 42 h. The source areas of these shallow landslides have a slope angle higher than 25°, especially between 30° and 35°. The failure surfaces are located at a depth of around 1.0–1.2 m from ground level.In the test-site slope, an integrated meteorological and hydrological monitoring station has been installed since 27 March 2012, and is still functioning [24]. The station allows meteorological parameters (rainfall depth, air temperature and humidity, air pressure, net solar radiation, wind speed and direction) to be measured, together with soil pore-water pressure, at depths of 0.2, 0.6, and 1.2 m from ground level, and soil water content, at depths of 0.2, 0.4, 0.6, 1.0, 1.2, and 1.4 m from ground level. Further details on this monitoring station are reported in Bordoni et al. [24,47].
- Physicallybased model, to model the hydrological and the mechanical responses of the slope to different rainfall events. The well-established physicallybased methodology named TRIGRS [48] was used. It has been already applied successfully for modeling the occurrence of these phenomena [1,49,50,51,52,53,54]. This physicallybased model considers the method outlined by Srivastava and Yeh [55] and Iverson [56] to explain shallow landslide triggering in relation to rainwater infiltration both in saturated or unsaturated soil conditions, assuming an impermeable basal boundary at a finite depth and a simple runoff-routing scheme. The model assesses the pore-water pressure and the slope safety factor (Fs) during different moments of a rainfall event, due to rainwater infiltration.A 5 × 5 m digital elevation model (DEM), realized through LiDAR data acquired in 2008 and 2010 by the Italian Ministry for Environment, Land, and Sea, provided the topographic basis for the study area and was used to derive the slope angle and the flow direction maps required by the model. Hydrological parameters required for the hydrological model of TRIGRS were Ks, θs, θr, and the ξ parameter, which represents the fitting parameter of Gardner’s [57] SWCC equation. ξ was estimated based on the λ and n fitting parameters of Van Genuchten’s model through the method proposed by Ghezzehei et al. [58] (Equation (3)):ξ = λ(1.3 × n)Hydrological boundary condition of the model corresponded to the presence of a low permeable soil level, which limits the infiltration of the rainwater and causes the uprising of a perched-water table in correspondence of the most intense rainfall events. As demonstrated by Bordoni et al. [24], this can be assumed as the main triggering mechanism of shallow failures in the study area. This water table developed in correspondence of the CAL layer, due to its lower permeability than the overlying soil levels, at about 1.1–1.2 m from ground level. The perched water table could rise up to 0.8–1.0 m from ground level, in LS layer, during the most intense rainfall events. TRIGRS modeled water table depth in the soil profile and the corresponding pore-water pressure profiles during a rainfall event, considering also the water table depth at the beginning of a modeled event, which was estimated through the most superficial measured pore-water pressure (in US soil layer; ρUS) [59] (Equation (4)):where γw is the water unit weight (9.8 kN/m3), and β is the slope angle.dw = ρUS/(γwcos2β),In TRIGRS model, an infinite slope stability analysis is coupled with the hydrological model to compute the Fs at different time instants at different points and depths in the analyzed area (Fs(z, t)), considering its change over time during a rainfall event, due to change in pore-water pressure ρ(z, t) (Equation (5)):where φ’ is the soil shear strength angle, c’ is the effective cohesion, γ is the soil unit weight, and z is the soil depth.Fs(z, t) = (tanφ’/tanβ)+ [(c’ − ρ(z, t)γwtanφ’)/(γzsinβcosβ)],
- Table 2 lists the soil hydrological and geotechnical values of TRIGRS input parameters. Since US and LS layers had similar values of the different required parameters (Ks, θs, θr, ξ, φ’, c’, and γ), a uniform soil profile was assumed, and then a unique set of input values was inserted in TRIGRS. In regard to the parameters of SWCCs (θs, θr, ξ), the values of the wetting path of SWCCs were taken into account, according to the modeling of the process of rainwater infiltration [22,24]. The sliding surface depth (z) was assumed equal to 1.0 m, according to the typical depths observed in past shallow failures.
- Corroboration of the physicallybased model. The modeled pore-water pressures at 1.2 m from ground level, which corresponds to a level very near to the typical observed sliding surface depth, were then compared with the measured values for different rainfall events. The reliability of the model fit was evaluated with the root mean square error (RMSE) statistical index (Equation (6)):where ρo,i is the observed pore-water pressure at the ith hour of the considered rainfall event, ρm,i is the pore-water pressure estimated by the model at the same ith hour of the same event, and ntot is the number of observations, which corresponds to the duration of the rainfall event (in hours).
- Modeling slope safety factor (Fs) for different rainfall events. Once both the implementation and validation had been completed, the physicallybased model was used to estimate Fs of the testsite for rainfall scenarios corresponding to the ones identified by CTRL-T algorithm during the phase of reconstruction of rainfall events. Furthermore, synthetic rainfalls characterized by average intensities of 50, 75, and 100 mm/h, for a duration ranging between 1 and 12 h, were also modeled. A modeled rainfall event represented a triggering moment for shallow landslides if Fs dropped below 1 (unstable conditions) in correspondence of the sectors of the testsite where typically shallow landslides source areas developed in the past, namely the sectors with a slope angle higher than 25°. Instead, if Fs stayed higher than 1 (stable conditions) in all the testsite, the rainfall event was not considered to be a triggering event. Each event was modeled by considering different initial pore-water pressures representative of the typical antecedent conditions before landslide triggering, particularly in correspondence of the depth where typically sliding surfaces developed in the testsite (1.0 m).
- Reconstruction of the rainfall thresholds. The method used for the reconstruction of the physicallybased thresholds was the same applied for the assessment of the empirical ones. In this case, only rainfall scenarios leading to shallow-landslide triggering based on the model application were considered. As for empirical thresholds, the physicallybased ones had fitting parameters corresponding to the mean values of the different bootstrap thresholds, with their respective uncertainties. Different rainfallthresholds could be reconstructed, according to the different initial pore-water pressure conditions used in modeling the rainfall events.
2.4. Corroboration of the Reconstructed Threshold
3. Results
3.1. Reconstructed Rainfall Events
3.2. Pore-Water Pressure Distribution at Sliding Surface Depth
3.3. Comparison between Measured and Estimated Pore-Water Pressure at Sliding Surface Depth
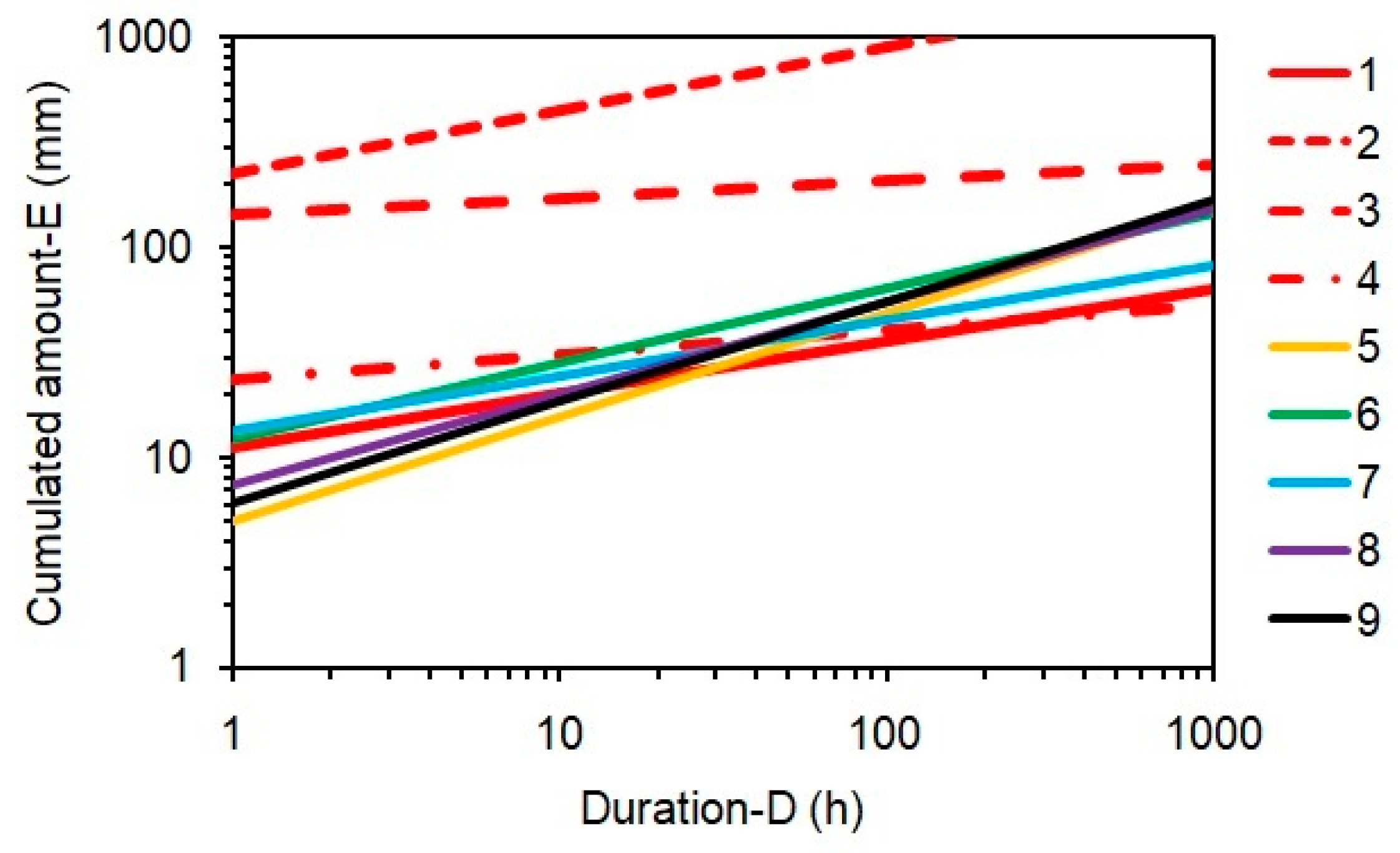
3.4. Reconstruction of Empirical and Physicallybased Thresholds
3.5. Validation of the Reconstructed Thresholds
4. Discussion
5. Conclusions
- The antecedent soil hydrological conditions have a primary role on predisposing or preventing shallow slope instability during a rainfall event. This should be taken into account, especially for those contexts characterized by seasonal hydrological behaviors and, in particular, during periods when initial pore-water pressure conditions are more favorable to lead the triggering of shallow landslides. In fact, in the Oltrepò Pavese area, cold and wet months between October and April are the most susceptible periods of the year, due to the permanence of saturated or close-to-saturation soil conditions;
- The most promising approach for developing an early warning system based on rainfall thresholds seems to be the reconstruction of physicallybased thresholds for the typical initial pore-water pressure conditions leading to slope instabilities. These tools can be supported further by the monitoring of the soil hydrological behaviors and slope stability analysis in correspondence of different rainfall scenarios. However, to confirm the better effectiveness of the physicallybased thresholds than the empirical ones, it is required a comparison of the threshold exceedance against existing early warning criteria and further landslide occurrence for future time span, as suggested in [12];
- Physicallybased models of a representative testsite and hydrological monitoring data could be not always available for a susceptible area. In such a context, empirical thresholds can represent a precautionary approach that allows us to identify the triggering conditions in a reliable way, in the awareness that they can give many false positives,especially for rainfall events similar to those provoking shallow landslides, but occurring in dry periods;
- Physicallybased thresholds are reconstructed based on physical simulation of slope stability, according to well-defined geotechnical, mechanical, and hydrological soil parameters. To take into account the intrinsic variability of these parameters, also within small areas, probabilistic models will be applied to reconstruct this type of threshold in future developments.
Author Contributions
Funding
Acknowledgments
Conflicts of Interest
References
- Zizioli, D.; Meisina, C.; Valentino, R.; Montrasio, L. Comparison between different approaches to modelling shallow landslide susceptibility: A case history in OltrepòPavese, Northern Italy. Nat. Hazards Earth Syst. Sci. 2013, 13, 559–573. [Google Scholar] [CrossRef]
- Lacasse, S.; Nadim, F.; Kalsnes, B. Living with landslide risk. Geotech. Eng. J. Seags Agssea 2010, 41. [Google Scholar]
- Wieczorek, G.F.; Glade, T. Climatic factors influencing occurrence of debris flows. In Debris Flow Hazards and Related Phenomena; Jakob, M., Hungr, O., Eds.; Springer: Berlin, Germany, 2005; pp. 325–362. [Google Scholar]
- Guzzetti, F.; Peruccacci, S.; Rossi, M.; Stark, C.P. The rainfall intensity-duration control of shallow landslides and debris flows: An update. Landslides 2008, 5, 3–17. [Google Scholar] [CrossRef]
- Segoni, S.; Piciullo, L.; Gariano, S.L. A review of the recent literature on rainfall thresholds for landslides occurrence. Landslides 2018, 15, 1483–1501. [Google Scholar] [CrossRef]
- Reichenbach, P.; Cardinali, M.; DeVita, P.; Guzzetti, F. Hydrological thresholds for landslides and floods in the Tiber River basin (central Italy). Environ. Geol. 1998, 35, 146–159. [Google Scholar] [CrossRef]
- Crozier, M.J. The climate-landslide couple: A southern hemisphere perspective. In Rapid Mass Movement as a Source of Climatic Evidence for the Holocene; Matthews, J.A., Brunsden, D., Frenzel, B., Gläser, B., Weiß, M.M., Eds.; Gustav Fischer: Stuttgart, Germany, 1997; pp. 333–354. [Google Scholar]
- Melillo, M.; Brunetti, M.T.; Perruccacci, S.; Gariano, S.L.; Roccati, A.; Guzzetti, F. A tool for the automatic calculation of rainfall thresholds for landslide occurrence. Environ. Mod. Soft. 2018, 105, 230–243. [Google Scholar] [CrossRef]
- Caine, N. The rainfall intensity-duration control of shallow landslides and debris flows. Geogr. Ann. Ser. A. Phys. Geogr. 1980, 62, 23–27. [Google Scholar]
- Aleotti, P. A warning system for rainfall-induced shallow failures. Eng. Geol. 2004, 73, 247–265. [Google Scholar] [CrossRef]
- Gabet, E.J.; Burbank, D.W.; Putkonen, J.K.; Pratt-Sitaula, B.A.; Oiha, T.; Putkonen, J. Rainfall thresholds for landsliding in the Himalayas of Nepal. Geomorphology 2004, 63, 131–143. [Google Scholar] [CrossRef]
- Godt, J.W.; Baum, R.L.; Chleborad, A.F. Rainfall characteristics for shallow landsliding in Seattle, Washington, USA. Earth Surf. Process. Landf. 2006, 31, 97–110. [Google Scholar] [CrossRef]
- Brunetti, M.T.; Peruccacci, S.; Rossi, M.; Luciani, S.; Valigi, D.; Guzzetti, F. Rainfall thresholds for the possible occurrence of landslides in Italy. Nat. Hazards Earth Syst. Sci. 2010, 10, 447–458. [Google Scholar] [CrossRef]
- Martelloni, G.; Segoni, S.; Fanti, R.; Catani, F. Rainfall thresholds for the forecasting of landslide occurrence at regional scale. Landslides 2012, 9, 485–495. [Google Scholar] [CrossRef]
- Staley, D.M.; Kean, J.W.; Cannon, S.H.; Schmidt, K.M.; Laber, J.L. Objective definition of rainfall intensity duration thresholds for the initiation of post-fire debris flows in southern California. Landslides 2013, 10, 547–562. [Google Scholar] [CrossRef]
- Segoni, S.; Rossi, G.; Rosi, A.; Catani, F. Landslides triggered by rainfall: A semiautomated procedure to define consistent intensity-duration thresholds. Comput. Geosci. 2014, 63, 123–131. [Google Scholar] [CrossRef]
- Galanti, Y.; Barsanti, M.; Cevasco, A.; D’AmatoAvanzi, G.; Giannecchini, R. Comparison of statistical methods and multi-time validation for the determination of the shallow landslide rainfall thresholds. Landslides 2018, 15, 937–952. [Google Scholar] [CrossRef]
- Gao, L.; Zhang, L.M.; Cheung, R.W.M. Relationships between natural terrain landslide magnitudes and triggering rainfall based on a large landslide inventory in Hong Kong. Landslides 2018, 15, 727–740. [Google Scholar] [CrossRef]
- Dikshit, A.; Sarkar, R.; Pradhan, B.; Acharya, S.; Dorji, K. Estimating Rainfall Thresholds for Landslide Occurrence in the Bhutan Himalayas. Water 2019, 11, 1616. [Google Scholar] [CrossRef]
- Gariano, S.L.; Sarkar, R.; Dikshit, A.; Dorji, K.; Brunetti, M.T.; Peruccacci, S.; Melillo, M. Automatic calculation of rainfall thresholds for landslide occurrence in Chukha Dzongkhag, Bhutan. Bull. Eng. Geol. Environ. 2019, 78, 4325–4332. [Google Scholar] [CrossRef]
- Nikolopoulos, E.I.; Crema, S.; Marchi, L.; Marra, F.; Guzzetti, F.; Borga, M. Impact of uncertainty in rainfall estimation on the identification of rainfall thresholds for debris flow occurrence. Geomorphology 2014, 221, 286–297. [Google Scholar] [CrossRef]
- Peres, D.J.; Cancelliere, A.; Greco, R.; Boogard, T.A. Influence of uncertain identification of triggering rainfall on the assessment of landslide early warning thresholds. Nat. Hazards Earth Syst. Sci. 2018, 18, 633–646. [Google Scholar] [CrossRef]
- Lu, N.; Godt, J.W. Hillslope Hydrology and Stability; Cambridge University Press: NewYork, NY, USA, 2013. [Google Scholar]
- Bordoni, M.; Meisina, C.; Valentino, R.; Lu, N.; Bittelli, M.; Chersich, S. Hydrological factors affecting rainfall-induced shallow landslides: From the field monitoring to a simplified slope stability analysis. Eng. Geol. 2015, 193, 19–37. [Google Scholar] [CrossRef]
- Bogaard, T.; Greco, R. Invited perspectives: Hydrological perspectives on precipitation intensity-duration thresholds for landslide initiation: Proposing hydrometeorological thresholds. Nat. Hazards Earth Syst. Sci. 2018, 18, 31–39. [Google Scholar] [CrossRef]
- Frattini, P.; Crosta, G.; Sosio, R. Approaches for defining thresholds and return periods for rainfall-triggered shallow landslides. Hydrol. Process. 2009, 23, 1444–1460. [Google Scholar] [CrossRef]
- Alvioli, M.; Guzzetti, F.; Rossi, M. Scaling properties of rainfall induced landslides predicted by a physically based model. Geomorphology 2014, 213, 38–47. [Google Scholar] [CrossRef]
- DeVita, P.; Napolitano, E.; Godt, J.W.; Baum, R. Deterministic estimation of hydrological thresholds for shallow landslide initiation and slope stability models: Case study from the Somma-Vesuvius area of southern Italy. Landslides 2013, 10, 713–728. [Google Scholar] [CrossRef]
- DeVita, P.; Fusco, F.; Tufano, R.; Cusano, D. Seasonal and event-based hydrological and slope stability modeling of pyroclastic fall deposits covering slopes in Campania (Southern Italy). Water 2018, 10, 1140. [Google Scholar] [CrossRef]
- Fusco, F.; DeVita, P.; Mirus, B.B.; Baum, R.L.; Allocca, V.; Tufano, R.; DiClemente, E.; Calcaterra, D. Physically based estimation of rainfall thresholds triggering shallow landslides in volcanic slopes of southern Italy. Water 2019, 11, 1915. [Google Scholar] [CrossRef]
- Peres, D.J.; Cancelliere, A. Estimating return period of landslide triggering by Monte Carlo simulation. J. Hydrol. 2016, 541, 256–271. [Google Scholar] [CrossRef]
- Mirus, B.B.; Becker, R.E.; Baum, R.L.; Smith, J.B. Integrating real-time subsurface hydrologic monitoring with empirical rainfall thresholds to improve landslide early warning. Landslides 2018, 15, 1909–1919. [Google Scholar] [CrossRef]
- Yang, Z.; Cai, H.; Shao, W.; Huang, D.; Uchimura, T.; Lei, X.; Tian, H.; Qiao, J. Clarifying the hydrological mechanisms and thresholds for rainfall-induced landslide: In situ monitoring of big data to unsaturated slope stability analysis. Bull. Eng. Geol. Environ. 2019, 78, 2139–2150. [Google Scholar] [CrossRef]
- Wei, X.; Fan, W.; Cao, Y.; Chai, X.; Bordoni, M.; Meisina, C.; Li, J. Integrated experiments on field monitoring and hydro-mechanical modeling for determination of a triggering threshold of rainfall-induced shallow landslides. A case study in Ren River catchment, China. Bull. Eng. Geol. Environ. 2019. [Google Scholar] [CrossRef]
- Corominas, J.; VanWesten, C.; Frattini, P.; Cascini, L.; Malet, J.P.; Fotopoulou, S.; Catani, F.; VanDenEeckhaut, M.; Mavrouli, O.; Agliardi, F.; et al. Recommendations for the quantitative analysis of landslide risk. Bull. Eng. Geol. Environ. 2014, 73, 209–263. [Google Scholar] [CrossRef]
- Brunetti, M.; Buffoni, L.; Maugeri, M.; Nanni, T. Precipitation intensity trends in Northern Italy. Int. J. Climatol. 2000, 20, 1017–1031. [Google Scholar] [CrossRef]
- Coppola, E.; Giorgi, F. An assessment of temperature and precipitation change projections over Italy from recent global and regional climate model simulations. Int. J. Climatol. 2010, 30, 11–32. [Google Scholar] [CrossRef]
- Braga, G.; Braschi, G.; Calculli, S.; Caucia, F.; Cerro, A.; Colleselli, F.; Grisolia, M.; Piccio, A.; Rossetti, R.; Setti, M.; et al. I fenomeni franosi nell’Oltrepo Pavese: Tipologia e cause. Geol. E Idrogeol. 1985, 20, 621–666. [Google Scholar]
- Meisina, C. Swelling-shrinking properties of weathered clayey soils associated with shallow landslides. Quat. J. Eng. Geol. Hydrogeol. 2004, 37, 77–94. [Google Scholar] [CrossRef]
- Meisina, C. Characterisation of weathered clayey soils responsible for shallow landslides. Nat. Hazards Earth Syst. Sci. 2006, 6, 825–838. [Google Scholar] [CrossRef]
- Cruden, D.M.; Varnes, D.J. Landslide types and processes. In Landslides: Investigation and Mitigation Sp. Rep. 247; Turner, A.K., Schuster, R.L., Eds.; Transportation Research Board, National Research Council, National Academy Press: Washington, DC, USA; pp. 36–75.
- Thornthwaite, C.W.; Mather, J.R. Instructions and tables for computing potential evapotranspiration and the water balance. Publ. Climatol. Lab. Climatol. Drexel Inst. Technol. 1957, 10, 185–311. [Google Scholar]
- Barrow, C.J. World Atlas of Desertification; United Nations Environment Programme: London, UK, 1992. [Google Scholar]
- Melillo, M.; Brunetti, M.T.; Peruccacci, S.; Gariano, S.L.; Guzzetti, F. An algorithm for the objective reconstruction of rainfall events responsible for landslides. Landslides 2015, 12, 311–320. [Google Scholar] [CrossRef]
- Peruccacci, S.; Brunetti, M.T.; Luciani, S.; Vennari, C.; Guzzetti, F. Lithological and seasonal control of rainfall thresholds for the possible initiation of landslides in central Italy. Geomorphology 2012, 139–140, 79–90. [Google Scholar] [CrossRef]
- VanGenuchten, M.T. A closed-form equation for predicting the hydraulic conductivity of unsaturated soils. Soil Sci. Soc. Am. J. 1980, 44, 892–898. [Google Scholar] [CrossRef]
- Bordoni, M.; Bittelli, M.; Valentino, R.; Chersich, S.; Meisina, C. Improving the estimation of complete field soil water characteristic curves through field monitoring data. J. Hydrol. 2017, 552, 283–305. [Google Scholar] [CrossRef]
- Baum, R.L.; Savage, W.Z.; Godt, J.W. TRIGRS—A Fortran Program for Transient Rainfall Infiltration and Grid-Based Regional Slope-Stability Analysis, Version 2.0, Open-File Report 2008-1159; Savage, W.Z., Ed.; US Geological Survey: Denver, CO, USA, 2008. [Google Scholar]
- Baum, R.L.; Godt, J.W.; Savage, W.Z. Estimating the timing and location of shallow rainfallinduced landslides using a model for transient, unsaturated infiltration. J. Geophys. Res. 2010, 115, F03013. [Google Scholar] [CrossRef]
- Sorbino, G.; Sica, C.; Cascini, L. Susceptibility analysis of shallow landslides source areas using physically based models. Nat. Hazards 2010, 53, 313–332. [Google Scholar] [CrossRef]
- Park, D.W.; Nikhil, N.V.; Lee, S.R. Landslide and debris flow susceptibility zonation using TRIGRS for the 2011 Seoul landslide event. Nat. Hazards Earth Syst. Sci. 2013, 13, 2833–2849. [Google Scholar] [CrossRef]
- Schilirò, L.; Esposito, C.; ScarasciaMugnozza, G. Evaluation of shallow landslide-triggering scenarios through a physically based approach: An example of application in the southern Messina area (northeastern Sicily, Italy). Nat. Hazards Earth Syst. Sci. 2013, 15, 2091–2109. [Google Scholar] [CrossRef]
- Alvioli, M.; Baum, R.L. Parallelization of the TRIGRS model for rainfall-induced landslides using the message passing interface. Environ. Model. Soft. 2016, 81, 122–135. [Google Scholar] [CrossRef]
- Weidner, L.; Oommen, T.; Escobar-Wolf, R.; Sajinkumar, K.S.; Samuel, R.A. Regional-scale back-analysis using TRIGRS: An approach to advance landslide hazard modeling and prediction in sparse data regions. Landslides 2018, 15, 2343–2356. [Google Scholar] [CrossRef]
- Srivastava, R.; Yeh, T.-C.J. Analytical solutions for one dimensional, transient infiltration toward the water table in homogeneous and layered soils. Water Resour. Res. 1991, 27, 753–762. [Google Scholar] [CrossRef]
- Iverson, R.M. Landslide triggering by rain infiltration. Water Resour. Res. 2000, 36, 1897–1910. [Google Scholar] [CrossRef]
- Gardner, W.R. Some steady-state solutions of the unsaturated moisture flow equation with application to evaporation from a water table. Soil Sci. 1958, 85, 228–232. [Google Scholar] [CrossRef]
- Ghezzehei, T.A.; Kneafsey, T.J.; Su, G.W. Correspondence of the Gardner and van Genuchten/Mualem relative permeability function parameters. Water Resour. Res. 2007, 43, 10–W10417. [Google Scholar] [CrossRef]
- Comegna, L. Regional Analysis of Rainfall-Induced Landslides. The Case of Camaldoli Hill, Naples: Test Case nr. 1 October 2004; Test Case Nr. 2—September 2005; Centro euro-Mediterraneo per I Cambiamenti Climatici CMCC: Lecce, Italy, 2008. [Google Scholar]
- Simunek, J.; VanGenucthen, M.T.; Sejna, M. Development and applications of the HYDRUS and STANMOD software packages and related codes. Vadose Zonej. 2008, 7, 587–600. [Google Scholar] [CrossRef]
- Hargreaves, G.L.; Hargreaves, G.H.; Riley, J.P. Irrigation water requirements for Senegal River basin. J. Irrig. Drain. Eng. ASCE 1985, 111, 265–275. [Google Scholar] [CrossRef]
- Schilirò, L.; Cevasco, A.; Esposito, C.; ScarasciaMugnozza, G. Shallow landslide initiation on terraced slopes: Inferences from a physically based approach. Geomat. Nat. Haz. Risks 2018, 9, 295–324. [Google Scholar] [CrossRef]
- Gariano, S.L.; Brunetti, M.T.; Iovine, G.; Melillo, M.; Peruccacci, S.; Terranova, O.; Vennari, C.; Guzzetti, F. Calibration and validation of rainfall thresholds for shallow landslide forecasting in Sicily, southern Italy. Geomorphology 2015, 228, 653–665. [Google Scholar] [CrossRef]
- Alpert, P.; Ben-Gai, T.; Baharan, A.; Benjamini, Y.; Yekutieli, D.; Colacino, M.; Diodato, L.; Ramis, C.; Homar, V.; Romero, R.; et al. The paradoxical increase of Mediterranean extreme daily rainfall in spite of decrease in total values. Geophys. Res. Lett. 2002, 29. [Google Scholar] [CrossRef]
- Piciullo, L.; Mads-Peter, D.; Devoli, G.; Herve, C.; Calvello, M. Adapting the EDuMaP method to test the performance of the Norwegian early warning system for weather induced landslides. Nat. Hazards Earth Syst. Sci. 2017, 17, 817–831. [Google Scholar] [CrossRef]
- Raggi, M.; Viaggi, D.; Bartolini, F.; Furlan, A. The role of policy priorities and target in the spatial location of participation in agri-environmental schemes in Emilia-Romagna (Italy). Land Use Pol. 2015, 47, 78–89. [Google Scholar] [CrossRef]
- Tohari, A.; Nishigaki, M.; Komatsu, M. Laboratory rainfall-induced slope failure with moisture content measurement. J. Geotech. Geoenviron. Eng. 2007, 133, 575–587. [Google Scholar] [CrossRef]
- Montrasio, L.; Valentino, R. A model for triggering mechanisms of shallow landslides. Nat. Hazards Earth Syst. Sci. 2008, 8, 1149–1159. [Google Scholar] [CrossRef]
- Bittelli, M.; Valentino, R.; Salvatorelli, F.; RossiPisa, P. Monitoring soil–water and displacement conditions leading to landslide occurrence in partially saturated clays. Geomorphology 2012, 173–174, 161–173. [Google Scholar] [CrossRef]
- Smethurst, J.A.; Clarke, D.; Powrie, D. Factors controlling the seasonal variation in soil water content and pore-water pressures within a lightly vegetated clay slope. Geotechnique 2012, 62, 429–446. [Google Scholar] [CrossRef]
- Fressard, M.; Maquaire, O.; Thiery, Y.; Davidson, R.; Lissak, C. Multi-method characterisation of an active landslide: Case study in the Pays d’Auge plateau (Normandy, France). Geomorphology 2016, 270, 22–39. [Google Scholar] [CrossRef]
- Cevasco, A.; Pepe, G.; Brandolini, P. The influences of geological and land use settings on shallow landslides triggered by an intense rainfall event in a coastal terraced environment. Bull. Eng. Geol. Environ. 2014, 73, 859–875. [Google Scholar] [CrossRef]
- Cevasco, A.; Diodato, N.; Revellino, P.; Fiorillo, F.; Grelle, G.; Guadagno, F.M. Storminess and geo-hydrological events affecting small coastal basins in a terraced Mediterranean environment. Sci. Total Environ. 2015, 532, 208–219. [Google Scholar] [CrossRef]
- Peruccacci, S.; Brunetti, M.T.; Gariano, S.L.; Melillo, M.; Rossi, M.; Guzzetti, F. Rainfall thresholds for possible landslide occurrence in Italy. Geomorphology 2017, 290, 39–57. [Google Scholar] [CrossRef]
- Melillo, M.; Brunetti, M.T.; Peruccacci, S.; Gariano, S.L.; Guzzetti, F. Rainfall thresholds for the possible landslide occurrence in Sicily (Southern Italy) based on the automatic reconstruction of rainfall events. Landslides 2016, 13, 165–172. [Google Scholar] [CrossRef]
- Palladino, M.R.; Viero, A.; Turconi, L.; Brunetti, M.T.; Peruccacci, S.; Melillo, M.; Luino, F.; Deganutti, A.M.; Guzzetti, F. Rainfall thresholds for the activation of shallow landslides in the Italian Alps: The role of environmental conditioning factors. Geomorphology 2018, 303, 53–67. [Google Scholar] [CrossRef]
- Innes, J.L. Debris flows. Prog. Phys.Geograp. 1983, 7, 469–501. [Google Scholar] [CrossRef]















| Parameter | Value | Unit | |
|---|---|---|---|
| Cw | Cc | ||
| Gs | 0.1 | 0.1 | mm | 
| P1 | 3 | 6 | h | 
| P2 | 6 | 12 | h | 
| P3 | 1 | 1 | mm | 
| P4 | 24 | 48 | h | 
| Rad | 10 | 10 | km | 
| Parameter | Value | Unit | 
|---|---|---|
| Cw | ||
| Ks | 1.0∙10−5 | m/s | 
| θs | 0.39 | m3/m3 | 
| θr | 0.01 | m3/m3 | 
| ξ | 0.014 | kPa−1 | 
| φ’ | 32 | ° | 
| c’ | 0.0 | kPa | 
| γ | 17.8 | kN/m3 | 
| z | 1.0 | m | 
| Mean (kPa) | Sd (kPa) | Median (kPa) | Min (kPa) | Max (kPa) | I quart. (kPa) | III quart. (kPa) | Skew (kPa) | WS-W (–) | p-Value (–) | 
|---|---|---|---|---|---|---|---|---|---|
| −464 | 387 | −470 | −993 | 12 | −846 | −20 | 0.007 | 0.92 | 0.006 | 
| Rainfall Event | Duration (h) | Cumulated Amount (mm) | Initial Pore-Water Pressure at Potential Sliding Surface (1.0–1.2 m from Ground) (kPa) | Final Pore-Water Pressure at Potential Sliding Surface (1.0–1.2 m from Ground) (kPa) | RMSE (kPa) | ||
|---|---|---|---|---|---|---|---|
| Measured | Modeled by TRIGRS | Measured | Modeled by TRIGRS | ||||
| 1 | 6 | 24.7 | −5.2 | −5.5 | −1.9 | −2.0 | 0.5 | 
| 2 | 26 | 29.5 | −0.6 | −1.0 | 0.9 | 0.5 | 0.4 | 
| 3 | 44 | 34.6 | −1.1 | −1.0 | −0.2 | −0.8 | 0.3 | 
| 4 | 43 | 68.9 | −0.7 | −0.6 | 0.4 | 2.8 | 1.2 | 
| 5 | 23 | 27.4 | −2.2 | −2.2 | −0.2 | −0.1 | 0.1 | 
| 6 | 33 | 20.0 | −20.3 | −20.0 | −12 | −11.4 | 0.6 | 
| Duration (h) | Cumulated Amount (mm) | |||
|---|---|---|---|---|
| Empirical Thresholds | PhysicallyBased Thresholds (−20 kPa) (TRIGRS/–20) | PhysicallyBased Thresholds (−10 kPa) (TRIGRS/–10) | PhysicallyBased Thresholds (0 kPa) (TRIGRS/0) | |
| 10 | 18.3–21.7 | 407.2–494.8 | 162.5–174.8 | 29.8–32.0 | 
| 20 | 21.3–26.4 | 487.7–626.4 | 170.6–186.1 | 32.1–35.0 | 
| 30 | 23.2–29.5 | 541.9–719.0 | 175.5–193.0 | 33.6–36.9 | 
| 40 | 24.8–32.0 | 584.0–792.9 | 179.0–198.1 | 34.7–38.3 | 
| 50 | 26.0–34.1 | 618.9–855.3 | 181.9–202.1 | 35.5–39.4 | 
| Mean (kPa) | Sd (kPa) | Median (kPa) | Min (kPa) | Max (kPa) | I quart. (kPa) | III quart. (kPa) | Skew (kPa) | WS-W (–) | p-Value (–) | 
|---|---|---|---|---|---|---|---|---|---|
| −368 | 406 | −215 | −1483 | 10 | −494 | −22 | −1.18 | 0.71 | <0.001 | 
| Threshold | TP (%) | TN (%) | FP (%) | FN (%) | 
|---|---|---|---|---|
| Empirical thresholds | 95 ± 2 | 76 ± 3 | 24 ± 3 | 5 ± 2 | 
| Physicallybased thresholds (−20 kPa) (TRIGRS/–20) | - | 100 ± 0 | 0 ± 0 | - | 
| Physicallybased thresholds (−10 kPa) (TRIGRS/–10) | - | 100 ± 0 | 0 ± 0 | - | 
| Physicallybased thresholds (0 kPa) (TRIGRS/0) | 100 ± 0 | 93 ± 1 | 7 ± 1 | 0 ± 0 | 
© 2019 by the authors. Licensee MDPI, Basel, Switzerland. This article is an open access article distributed under the terms and conditions of the Creative Commons Attribution (CC BY) license (http://creativecommons.org/licenses/by/4.0/).
Share and Cite
Bordoni, M.; Corradini, B.; Lucchelli, L.; Valentino, R.; Bittelli, M.; Vivaldi, V.; Meisina, C. Empirical and Physically Based Thresholds for the Occurrence of Shallow Landslides in a Prone Area of Northern Italian Apennines. Water 2019, 11, 2653. https://doi.org/10.3390/w11122653
Bordoni M, Corradini B, Lucchelli L, Valentino R, Bittelli M, Vivaldi V, Meisina C. Empirical and Physically Based Thresholds for the Occurrence of Shallow Landslides in a Prone Area of Northern Italian Apennines. Water. 2019; 11(12):2653. https://doi.org/10.3390/w11122653
Chicago/Turabian StyleBordoni, Massimiliano, Beatrice Corradini, Luca Lucchelli, Roberto Valentino, Marco Bittelli, Valerio Vivaldi, and Claudia Meisina. 2019. "Empirical and Physically Based Thresholds for the Occurrence of Shallow Landslides in a Prone Area of Northern Italian Apennines" Water 11, no. 12: 2653. https://doi.org/10.3390/w11122653
APA StyleBordoni, M., Corradini, B., Lucchelli, L., Valentino, R., Bittelli, M., Vivaldi, V., & Meisina, C. (2019). Empirical and Physically Based Thresholds for the Occurrence of Shallow Landslides in a Prone Area of Northern Italian Apennines. Water, 11(12), 2653. https://doi.org/10.3390/w11122653
 
        





 
                         
       