Spatial Variation Pattern Analysis of Hydrologic Processes and Water Quality in Three Gorges Reservoir Area
Abstract
1. Introduction
2. Materials and Methods
2.1. Study Area
2.2. Data Collection
2.3. Model Description
2.4. Evaluation Criteria for Model Performance
2.5. Data Analysis
3. Results
3.1. Model Calibration and Validation
3.2. Landscape Pattern and Geomorphologic Characteristics
3.3. Spatial Distributions of Total Runoff and Water Quality
3.4. Driving Factors of Spatial Differentiation of Total Runoff and Water Quality
3.4.1. The Effect of Land Use
3.4.2. The Effect of Soil
3.4.3. The Effect of Topology
4. Discussion
5. Conclusions
- (1)
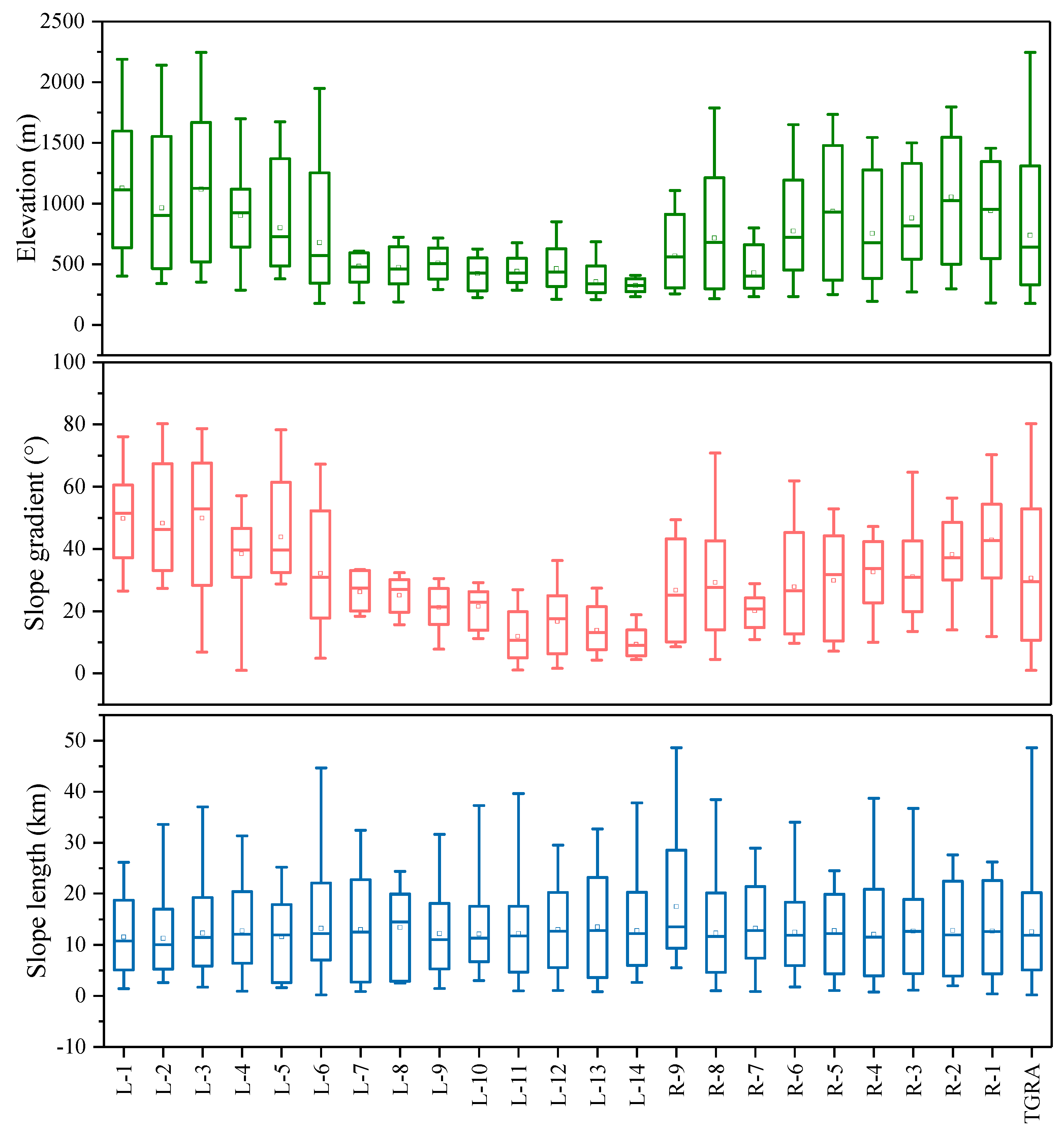
- The landscape pattern and geographical features of the TGRA show obvious spatial distribution differences. Specifically, agricultural land is mainly concentrated in the flat area in the middle and tail regions of the TGRA. In most of the tributaries, the forest coverage rate is more than 50%. Water area occupies a relatively high proportion of the tributaries at the backwater area of the head region, while artificial construction land occupies a large proportion of the tail region. Purple soil, yellow soil, lime soil and paddy soil are the major soil types in the TGRA, and they are distributed significantly differently amongst the tributaries. In the head region of the TGRA, the topographic factors, in term of elevation, slope gradient and slope length in tributaries, are largely different, while relatively small differences are noticed within the middle region. The physical characteristics of purple soil, yellow soil, lime soil, and paddy soil are different. Under the influence of different slope gradients, slope lengths and rainfall intensities, these physical characteristics would affect the runoff generation and TN and TP loads.
- (2)
- The simulation results based on the calibrated SWAT model revealed that both total runoff and water quality exhibited apparent spatial heterogeneity. The total runoff depth on the left bank of the Yangtze River was 1.4 times greater than on the right bank, and total runoff depth on the head region was 1.44 times greater than on the tail region. Human activities have a significant impact on total runoff, for instance, serious rainfall erosion occurs in agricultural land. The TN and TP loads were 1.9 and 2.2 times higher in the left bank than the right, and those on the tail region were 1.31 and 1.99 times greater than on the head region, respectively.
- (3)
- No consistent patterns were observed in the correlations between land use, soil and topography and runoff, TN and TP levels of different tributaries. According to the correlation results of land use and total runoff depth in various tributaries, it was concluded that the lateral flow and groundwater level of the tributaries played the dominant role in the head region of the TGRA, with better vegetation cover, while the surface runoff and base flow took a leading role in the tributaries of the middle and tail regions, with a large proportion of AGRL. In terms of the effects of land-use type, AGRL and ORCD played a positive role in nutrient-loading, whereas FRST played a negative role. Soil types played different roles in the total runoff and nutrient production processes of various tributaries and could not be overgeneralized, since soil texture is not the only factor affecting nitrogen and phosphorus erosion, and soil structure and soil mulching were also important factors. On account of the different spatial distributions of land use, soil type and geographical features in the tributaries, correlations between ELVE, SLO, SLL and total runoff depth, TN, TP were discrepant, and no consistent trends were observed in each tributary basin. Therefore, the management of water environment safety in the TGRA needs to be differentiated and targeted based on the spatial characteristics of different regions.
Supplementary Materials
Author Contributions
Funding
Acknowledgments
Conflicts of Interest
References
- Zheng, B.; Qin, Y.; Liu, D.; Norra, S.; Wang, S. Thematic issue: Water environment of the Three Gorges Reservoir. Environ. Earth Sci. 2017, 76, 819. [Google Scholar] [CrossRef]
- Shi, Y.; Xu, G.; Wang, Y.; Engel, B.A.; Peng, H.; Zhang, W.; Cheng, M.; Dai, M. Modelling hydrology and water quality processes in the Pengxi River basin of the Three Gorges Reservoir using the soil and water assessment tool. Agric. Water Manag. 2017, 182, 24–38. [Google Scholar] [CrossRef]
- Chen, J.; Finlayson, B.L.; Wei, T.; Sun, Q.; Webber, M.; Li, M.; Chen, Z. Changes in monthly flows in the Yangtze River, China—With special reference to the Three Gorges Dam. J. Hydrol. 2016, 536, 293–301. [Google Scholar] [CrossRef]
- Zhang, T.; Ni, J.; Xie, D. Severe situation of rural nonpoint source pollution and efficient utilization of agricultural wastes in the Three Gorges Reservoir Area. Environ. Sci. Pollut. Res. 2015, 22, 16453–16462. [Google Scholar] [CrossRef] [PubMed]
- Xia, J.; Xu, G.; Guo, P.; Peng, H.; Zhang, X.; Wang, Y.; Zhang, W. Tempo-Spatial Analysis of Water Quality in the Three Gorges Reservoir, China, after its 175-m Experimental Impoundment. Water Resour. Manag. 2018, 32, 2937–2954. [Google Scholar] [CrossRef]
- Wang, X.; Wang, Q.; Wu, C.; Liang, T.; Zheng, D.; Wei, X. A method coupled with remote sensing data to evaluate non-point source pollution in the Xin’anjiang catchment of China. Sci. Total Environ. 2012, 430, 132–143. [Google Scholar] [CrossRef]
- Zhang, W.; Wang, Y.; Peng, H.; Li, Y.; Tang, J.; Wu, K.B. A coupled water quantity-quality model for water allocation analysis. Water Resour. Manag. 2010, 24, 485–511. [Google Scholar] [CrossRef]
- Chang, C.; Sun, D.; Feng, P.; Zhang, M.; Ge, N. Impacts of Nonpoint Source Pollution on Water Quality in the Yuqiao Reservoir. Environ. Eng. Sci. 2017, 34, 418–432. [Google Scholar] [CrossRef]
- Tian, Y.; Huang, Z.; Xiao, W. Reductions in non-point source pollution through different management practices for an agricultural watershed in the Three Gorges Reservoir Area. J. Environ. Sci. 2010, 22, 184–191. [Google Scholar] [CrossRef]
- Wu, L.; Long, T.Y.; Liu, X.; Ma, X. yi Modeling impacts of sediment delivery ratio and land management on adsorbed non-point source nitrogen and phosphorus load in a mountainous basin of the Three Gorges reservoir area, China. Environ. Earth Sci. 2013, 70, 1405–1422. [Google Scholar] [CrossRef]
- Shen, Z.; Zhong, Y.; Huang, Q.; Chen, L. Identifying non-point source priority management areas in watersheds with multiple functional zones. Water Res. 2015, 68, 563–571. [Google Scholar] [CrossRef] [PubMed]
- Ouyang, W.; Yang, W.; Tysklind, M.; Xu, Y.; Lin, C.; Gao, X.; Hao, Z. Using river sediments to analyze the driving force difference for non-point source pollution dynamics between two scales of watersheds. Water Res. 2018, 139, 311–320. [Google Scholar] [CrossRef] [PubMed]
- Wang, Y.; Zhang, W.; Engel, B.A.; Peng, H.; Theller, L.; Shi, Y.; Hu, S. A fast mobile early warning system for water quality emergency risk in ungauged river basins. Environ. Model. Softw. 2015, 73, 76–89. [Google Scholar] [CrossRef]
- Ding, X.; Zhou, H.; Lei, X.; Liao, W.; Wang, Y. Hydrological and associated pollution load simulation and estimation for the Three Gorges Reservoir of China. Stoch. Environ. Res. Risk Assess. 2013, 27, 617–628. [Google Scholar] [CrossRef]
- Shen, Z.; Qiu, J.; Hong, Q.; Chen, L. Simulation of spatial and temporal distributions of non-point source pollution load in the Three Gorges Reservoir Region. Sci. Total Environ. 2014, 493, 138–146. [Google Scholar] [CrossRef] [PubMed]
- Shen, Z.; Chen, L.; Hong, Q.; Xie, H.; Qiu, J.; Liu, R. Vertical Variation of Nonpoint Source Pollutants in the Three Gorges Reservoir Region. PLoS ONE 2013, 8, e71194. [Google Scholar] [CrossRef]
- Ouyang, W.; Hao, F.; Skidmore, A.K.; Toxopeus, A.G. Soil erosion and sediment yield and their relationships with vegetation cover in upper stream of the Yellow River. Sci. Total Environ. 2010, 409, 396–403. [Google Scholar] [CrossRef]
- Wang, L.; Liang, T.; Chong, Z.; Zhang, C. Effects of soil type on leaching and runoff transport of rare earth elements and phosphorous in laboratory experiments. Environ. Sci. Pollut. Res. 2011, 18, 38–45. [Google Scholar] [CrossRef]
- Naslas, G.D.; Miller, W.W.; Gifford, G.F.; Fernandez, G.C.J. Effects of soil type, plot condition, and slope on runoff and interrill erosion of two soils in the Lake Tahoe Basin. Water Resour. Bull. 1994, 30, 319–328. [Google Scholar] [CrossRef]
- Palis, R.G.; Rose, C.W.; Saffigna, P.G. Soil erosion and nutrient loss. IV. Effect of slope length on runoff, sediment yield, and total nitrogen loss from steep slopes in pineapple cultivation. Aust. J. Soil Res. 1997, 35, 907–923. [Google Scholar] [CrossRef]
- Recanatesi, F.; Ripa, M.N.; Leone, A.; Luigi, P.; Salvati, L. Land use, climate and transport of nutrients: Evidence emerging from the lake vicocase study. Environ. Manag. 2013, 52, 503–513. [Google Scholar] [CrossRef] [PubMed]
- Vaezi, A.R.; Zarrinabadi, E.; Auerswald, K. Interaction of land use, slope gradient and rain sequence on runoff and soil loss from weakly aggregated semi-arid soils. Soil Tillage Res. 2017, 172, 22–31. [Google Scholar] [CrossRef]
- Zhang, H.; Wei, J.; Yang, Q.; Baartman, J.E.M.; Gai, L.; Yang, X.; Li, S.Q.; Yu, J.; Ritsema, C.J.; Geissen, V. An improved method for calculating slope length (λ) and the LS parameters of the Revised Universal Soil Loss Equation for large watersheds. Geoderma 2017, 308, 36–45. [Google Scholar] [CrossRef]
- Zhang, X.; Hu, M.; Guo, X.; Yang, H.; Zhang, Z.; Zhang, K. Effects of topographic factors on runoff and soil loss in Southwest China. Catena 2018, 160, 394–402. [Google Scholar] [CrossRef]
- Nazari-Sharabian, M.; Taheriyoun, M.; Ahmad, S.; Karakouzian, M.; Ahmadi, A. Water quality modeling of Mahabad Dam watershed-reservoir system under climate change conditions, using SWAT and system dynamics. Water (Switzerland) 2019, 11, 394. [Google Scholar] [CrossRef]
- Arnold, J.G.; Srinivasan, R.; Muttiah, R.S.; Williams, J.R. Large area hydrologic modeling and assesment Part I: Model development. JAWRA J. Am. Water Resour. Assoc. 1998, 34, 73–89. [Google Scholar] [CrossRef]
- Gassman, P.W.; Reyes, M.R.; Green, C.H.; Arnold, J.G. the Soil and Water Assessment Tool: Historical Development, Applications, and Future Research Directions. Trans. ASABE 2007, 50, 1211–1250. [Google Scholar] [CrossRef]
- Tripathi, M.P.; Raghuwanshi, N.S.; Rao, G.P. Effect of watershed subdivision on simulation of water balance components. Hydrol. Process. 2006, 20, 1137–1156. [Google Scholar] [CrossRef]
- Chen, X.; Guo, P.; Peng, H.; Wang, Y.; Cai, F. Influence of different sub-watershed division schemes on simulation results of SWAT model. Yangtze River 2016, 47, 44–49. [Google Scholar]
- Cheng, M.; Wang, Y.; Engel, B.; Zhang, W.; Peng, H.; Chen, X.; Xia, H. Performance assessment of spatial interpolation of precipitation for hydrological process simulation in the Three Gorges Basin. Water (Switzerland) 2017, 9, 838. [Google Scholar] [CrossRef]
- Heathman, G.C.; Larose, M. Influence of Scale on SWAT Model Calibration for Streamflow. In Proceedings of the MODSIM 2007 International Congress on Modelling and Simulation, Christchurch, New Zealand, 10–13 December 2007; pp. 2747–2753. [Google Scholar]
- Yalew, S.; van Griensven, A.; Ray, N.; Kokoszkiewicz, L.; Betrie, G.D. Distributed computation of large scale SWAT models on the Grid. Environ. Model. Softw. 2013, 41, 223–230. [Google Scholar] [CrossRef]
- Abbaspour, K.C.; Rouholahnejad, E.; Vaghefi, S.; Srinivasan, R.; Yang, H.; Kløve, B. A continental-scale hydrology and water quality model for Europe: Calibration and uncertainty of a high-resolution large-scale SWAT model. J. Hydrol. 2015, 524, 733–752. [Google Scholar] [CrossRef]
- Shen, Z.; Hong, Q.; Yu, H.; Liu, R. Parameter uncertainty analysis of the non-point source pollution in the Daning River watershed of the Three Gorges Reservoir Region, China. Sci. Total Environ. 2008, 405, 195–205. [Google Scholar] [CrossRef]
- Wang, Y.; Zhang, W.; Zhao, Y.; Peng, H.; Shi, Y. Modelling water quality and quantity with the influence of inter-basin water diversion projects and cascade reservoirs in the Middle-lower Hanjiang River. J. Hydrol. 2016, 541, 1348–1362. [Google Scholar] [CrossRef]
- The United States Department of Agriculture. USDA-SCS Section 4: Hydrology. In SCS National Engineering Handbook; USDA Soil Conservation Service: Washington, DC, USA, 1972. [Google Scholar]
- Williams, J.R. Sediment Yield Prediction with Universal Equation using Runoff Energy Factor. In Present and Prospective Technology for Predicting Sediment Yield and Sources; US Department of Agriculture, Agriculture Research Service: Washington, DC, USA, 1975. [Google Scholar]
- Shi, Y. Refinement Modelling of the Non-Point Source Pollution in the Three Gorges Reservoir. Ph.D Thesis, Wuhan University, Wuhan, China, 2017. (In Chinese). [Google Scholar]
- Babaei, H.; Nazari-Sharabian, M.; Karakouzian, M.; Ahmad, S. Identification of Critical Source Areas (CSAs) and Evaluation of Best Management Practices (BMPs) in Controlling Eutrophication in the Dez River Basin. Environments 2019, 6, 20. [Google Scholar] [CrossRef]
- Yang, J.; Reichert, P.; Abbaspour, K.C.; Xia, J.; Yang, H. Comparing uncertainty analysis techniques for a SWAT application to the Chaohe Basin in China. J. Hydrol. 2008, 358, 1–23. [Google Scholar] [CrossRef]
- Moriasi, D.N.; Arnold, J.G.; Liew, M.W.; Van Bingner, R.L.; Harmel, R.D.; Veith, T.L. Model Evaluation Guidelines for Systematic Quantification of Accuracy in Watershed Simulations. Trans. ASABE 2007, 50, 885–900. [Google Scholar] [CrossRef]
- Bieger, K.; Hörmann, G.; Fohrer, N. Simulation of streamflow and sediment with the soil and water assessment tool in a data scarce catchment in the three Gorges region, China. J. Environ. Qual. 2014, 43, 37–45. [Google Scholar] [CrossRef]
- Zhao, G.J.; Hörmann, G.; Fohrer, N.; Li, H.P.; Gao, J.F.; Tian, K. Development and application of a nitrogen simulation model in a data scarce catchment in South China. Agric. Water Manag. 2011, 98, 619–631. [Google Scholar] [CrossRef]
- Shen, Z.; Chen, L.; Hong, Q.; Qiu, J.; Xie, H.; Liu, R. Assessment of nitrogen and phosphorus loads and causal factors from different land use and soil types in the Three Gorges Reservoir Area. Sci. Total Environ. 2013, 454–455, 383–392. [Google Scholar] [CrossRef]
- Nazari-Sharabian, M.; Taheriyoun, M.; Karakouzian, M. Surface runoff and pollutant load response to urbanization, climate variability, and low impact developments—A case study. Water Supply 2019, 1–12. [Google Scholar] [CrossRef]
- Neary, D.G.; Ice, G.G.; Jackson, C.R. Linkages between forest soils and water quality and quantity. For. Ecol. Manag. 2009, 258, 2269–2281. [Google Scholar] [CrossRef]
- Fullen, M.A. Effects of grass ley set-aside on runoff, erosion and organic matter levels in sandy soils in east Shropshire, UK. Soil Tillage Res. 1998, 46, 41–49. [Google Scholar] [CrossRef]
- Uri, N.D.; Lewis, J.A. The dynamics of soil erosion in US agriculture. Sci. Total Environ. 1998, 218, 45–58. [Google Scholar] [CrossRef]
- Bakker, M.M.; Govers, G.; Rounsevell, M.D.A. The crop productivity-erosion relationship: An analysis based on experimental work. Catena 2004, 57, 55–76. [Google Scholar] [CrossRef]
- Chen, H.; Zhang, X.; Abla, M.; Lü, D.; Yan, R.; Ren, Q.; Ren, Z.; Yang, Y.; Zhao, W.; Lin, P.; et al. Effects of vegetation and rainfall types on surface runoff and soil erosion on steep slopes on the Loess Plateau, China. Catena 2018, 170, 141–149. [Google Scholar] [CrossRef]
- Jia, H.; Lei, A.; Lei, J.; Ye, M.; Zhao, J. Effects of hydrological processes on nitrogen loss in purple soil. Agric. Water Manag. 2007, 89, 89–97. [Google Scholar] [CrossRef]
- Ma, X.; Li, Y.; Li, B.; Han, W.; Liu, D.; Gan, X. Nitrogen and phosphorus losses by runoff erosion: Field data monitored under natural rainfall in Three Gorges Reservoir Area, China. Catena 2016, 147, 797–808. [Google Scholar] [CrossRef]
- Liu, Y.; Tao, Y.; Wan, K.Y.; Zhang, G.S.; Liu, D.B.; Xiong, G.Y.; Chen, F. Runoff and nutrient losses in citrus orchards on sloping land subjected to different surface mulching practices in the Danjiangkou Reservoir area of China. Agric. Water Manag. 2012, 110, 34–40. [Google Scholar] [CrossRef]
- El Kateb, H.; Zhang, H.; Zhang, P.; Mosandl, R. Soil erosion and surface runoff on different vegetation covers and slope gradients: A field experiment in Southern Shaanxi Province, China. Catena 2013, 105, 1–10. [Google Scholar] [CrossRef]
- Nord, G.; Esteves, M. The effect of soil type, meteorological forcing and slope gradient on the simulation of internal erosion processes at the local scale. Hydrol. Process. 2010, 24, 1766–1780. [Google Scholar] [CrossRef]
- United States Department of Agriculture (USDA). Urban Hydrology for Small Watersheds; Technical; United States Department of Agriculture, Natural Resources Conservation Service, Engineering Division: Washington, DC, USA, 1986.
- Poesen, J. Surface sealing as influenced by slope angle and position of simulated stones in the top layer of loose sediments. Earth Surf. Process. Landforms 1986, 11, 1–10. [Google Scholar] [CrossRef]
- Wang, L.; Liang, T.; Zhang, Q. Laboratory experiments of phosphorus loss with surface runoff during simulated rainfall. Environ. Earth Sci. 2013, 70, 2839–2846. [Google Scholar] [CrossRef]
- Nazari-Sharabian, M.; Ahmad, S.; Karakouzian, M. Climate Change and Eutrophication: A Short Review. Eng. Technol. Appl. Sci. Res. 2018, 8, 3668–3672. [Google Scholar]
- Rejman, J.; Brodowski, R. Rill characteristics and sediment transport as a function of slope length during a storm event on loess soil. Earth Surf. Process. Landforms 2005, 30, 231–239. [Google Scholar] [CrossRef]







| Data Category | Resolution | Description | Source |
|---|---|---|---|
| Digital elevation model | 30 × 30 m | Elevation, slope gradient and slope lengths | Geospatial Data Cloud |
| Land-use types | 1:250,000 | Land use classifications | National Earth System Science Data Sharing Infrastructure |
| Soil | 1:500,000 | Physical and chemical properties of soil; soil types | Nanjing Institute of Soil Science (OFNISS), Chinese Academy of Science |
| Weather data | daily | Precipitation, wind speed, daily maximum air temperature, daily minimum air temperature, relative humidity and solar radiation | National Meteorological Information Center; Hydrographic statistical yearbooks |
| Point source pollution data | yearly | Load of total nitrogen, total phosphorus and ammonia nitrogen | Chongqing Academy of Environmental Science |
| Hydrology and water quality data | Daily runoff and monthly water quality indexes | Hydrographical station and water quality monitoring station | |
| Social and economic data | Population, livestock and poultry, fertilizer application | Spot investigation; statistics yearbooks |
| Type | Parameters | Definition | Sensitivity Rank | Calibrated Value |
|---|---|---|---|---|
| runoff | CN2 | Moisture condition II curve number | 1 | 36–92 |
| CH_K2 | Effective hydraulic conductivity, (mm/h) | 2 | 0.1–0.5 | |
| SOL_AWC | Soil’s available moisture content | 3 | 0.14–0.18 | |
| ALPHA_BF | Baseflow alpha factor, (days) | 4 | 0.01–0.048 | |
| ESCO | Soil evaporation compensation factor | 5 | 0.33–0.83 | |
| CH_N2 | Manning’s value for main channel | 6 | 0.014–0.16 | |
| GW_DELAY | Groundwater delay, (days) | 7 | 5–15 | |
| GWQMN | Threshold depth of water in the shallow aquifer required for return flow to occur | 8 | 0–0.014 | |
| REVAPMN | Threshold depth of water in the shallow aquifer for revaporization to occur | 9 | 400–460 | |
| SOL_BD | Soil moisture bulk density, (mm) | 10 | 1.27–1.49 | |
| SOL_K | Soil-saturated infiltration coefficient | 11 | 2.15–37.59 | |
| SURLAG | Surface runoff lag time, (days) | 12 | 3.0–8.2 | |
| nitrogen | RCN | Concentration of nitrogen in rainfall, (mg/kg) | 1 | 0.5–4.0 |
| SOL_ORGN | Initial organic N concentration in the soil layer, (mg/kg) | 2 | 5–10 | |
| SDNCO | Denitrification threshold water content | 3 | 0.5–0.8 | |
| BC1 | Rate constant for biological oxidation of NH3 | 4 | 0.3–0.5 | |
| BC2 | Rate constant for biological oxidation of NO2 to NO3 | 5 | 1.1–1.3 | |
| BC3 | Rate constant for hydrolysis of organic nitrogen to ammonia | 6 | 0.21–0.7 | |
| phosphorus | FILTERW | Width of the edge of field filter strip, (m) | 1 | 3–5 |
| SOL_ORGP | Initial humic organic phosphorus in soil layer, (mg/kg) | 2 | 5–10 | |
| PHOSKD | Phosphorus soil partitioning coefficient | 3 | 101–175 | |
| BC4 | Rate constant for decay of organic phosphorus to dissolved phosphorus | 4 | 0.35–0.80 | |
| PSP | Phosphorus sorption coefficient | 5 | 0.7 | |
| GWSOLP | Concentration of soluble phosphorus in groundwater contributing to streamflow from sub-basin | 6 | 0.01–0.08 | |
| RS5 | Organic phosphorus settling rate in the reach at 20 °C | 7 | 0.05–0.10 |
| Type | Station Name | Calibration Period | Validation Period | ||
|---|---|---|---|---|---|
| R2 | ENS | R2 | ENS | ||
| Total runoff | Nanyang | 0.63 | 0.50 | 0.61 | 0.50 |
| Wuxi | 0.92 | 0.70 | 0.84 | 0.63 | |
| Wenquan | 0.70 | 0.60 | 0.74 | 0.61 | |
| Tiantangyan | 0.72 | 0.50 | 0.73 | 0.64 | |
| Shibanping | 0.71 | 0.65 | 0.61 | 0.61 | |
| Wucha | 0.56 | 0.52 | 0.53 | 0.52 | |
| Sihai | 0.53 | 0.51 | 0.52 | 0.51 | |
| Changtan | 0.76 | 0.53 | 0.76 | 0.59 | |
| Lianghe | 0.62 | 0.59 | 0.51 | 0.50 | |
| Shizhu | 0.53 | 0.51 | 0.51 | 0.50 | |
| Sediment | Nanyang | 0.78 | 0.74 | 0.71 | 0.56 |
| Wuxi | 0.72 | 0.69 | 0.65 | 0.53 | |
| Wenquan | 0.79 | 0.52 | 0.61 | 0.53 | |
| Wucha | 0.67 | 0.57 | 0.67 | 0.58 | |
| TN | Xiangxi River | 0.96 | 0.84 | 0.84 | 0.80 |
| Pengxi River | 0.85 | 0.60 | 0.83 | 0.61 | |
| Tang River | 0.62 | 0.54 | 0.61 | 0.52 | |
| Yandu River | 0.73 | 0.66 | 0.71 | 0.61 | |
| Sunxi River | 0.66 | 0.54 | 0.63 | 0.50 | |
| Modaoxi River | 0.53 | 0.46 | 0.50 | 0.46 | |
| Quxi River | 0.54 | 0.42 | 0.52 | 0.44 | |
| Long River | 0.57 | 0.53 | 0.55 | 0.47 | |
| TP | Xiangxi River | 0.86 | 0.65 | 0.82 | 0.63 |
| Pengxi River | 0.74 | 0.60 | 0.61 | 0.61 | |
| Tang River | 0.61 | 0.52 | 0.59 | 0.64 | |
| Yandu River | 0.70 | 0.63 | 0.71 | 0.64 | |
| Sunxi River | 0.64 | 0.53 | 0.52 | 0.49 | |
| Modaoxi River | 0.69 | 0.52 | 0.64 | 0.51 | |
| Quxi River | 0.67 | 0.51 | 0.66 | 0.49 | |
| Long River | 0.65 | 0.56 | 0.63 | 0.52 | |
© 2019 by the authors. Licensee MDPI, Basel, Switzerland. This article is an open access article distributed under the terms and conditions of the Creative Commons Attribution (CC BY) license (http://creativecommons.org/licenses/by/4.0/).
Share and Cite
Chen, X.; Xu, G.; Zhang, W.; Peng, H.; Xia, H.; Zhang, X.; Ke, Q.; Wan, J. Spatial Variation Pattern Analysis of Hydrologic Processes and Water Quality in Three Gorges Reservoir Area. Water 2019, 11, 2608. https://doi.org/10.3390/w11122608
Chen X, Xu G, Zhang W, Peng H, Xia H, Zhang X, Ke Q, Wan J. Spatial Variation Pattern Analysis of Hydrologic Processes and Water Quality in Three Gorges Reservoir Area. Water. 2019; 11(12):2608. https://doi.org/10.3390/w11122608
Chicago/Turabian StyleChen, Xiaomin, Gaohong Xu, Wanshun Zhang, Hong Peng, Han Xia, Xiao Zhang, Qian Ke, and Jing Wan. 2019. "Spatial Variation Pattern Analysis of Hydrologic Processes and Water Quality in Three Gorges Reservoir Area" Water 11, no. 12: 2608. https://doi.org/10.3390/w11122608
APA StyleChen, X., Xu, G., Zhang, W., Peng, H., Xia, H., Zhang, X., Ke, Q., & Wan, J. (2019). Spatial Variation Pattern Analysis of Hydrologic Processes and Water Quality in Three Gorges Reservoir Area. Water, 11(12), 2608. https://doi.org/10.3390/w11122608

