Experimental Study on the Permeability Characteristic of Fused Quartz Sand and Mixed Oil as a Transparent Soil
Abstract
1. Introduction
2. Materials and Methods
2.1. Transparent Soil
2.2. Experimental Setup
2.3. Preparation of the Tested Samples
2.4. Experimental Procedure and Program
3. Results and Discussions
3.1. Permeability of the Proposed Transparent Soil
3.2. Effect of the Void Ratio on the Transparent Soil Permeability
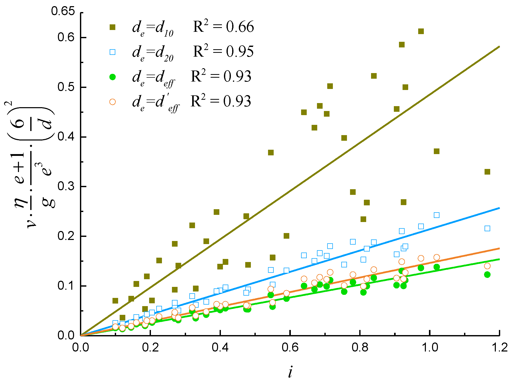
3.3. Effect of the Particle Size on the Transparent Soil Permeability
4. Conclusions
- (1)
- The transparent soil permeability changes with the replacement of the solid and fluid phases. By replacing the pore water, a liquid phase using the mixed oil is proposed to reach the same refractive index as the solid phase. Fused quartz sand is used as the solid phase in this proposed transparent soil, which exhibits a significantly different particle shape from the natural soil due to the lack of weathering.
- (2)
- The soil permeability is affected by particle size, particle size distribution, and void ratio. The soil permeability increases as the particle size or void ratio increases. For the non-uniform size soil, the effective particle size can be used to describe soil permeability, which can be calculated based on the particle size distribution. For the fused quartz sand in this study, d20 can be used as the effective particle size.
- (3)
- From a hierarchical approach, the effect of pore morphology on soil permeability can be considered through the evaluation of particle form, roundness, and texture. Based on the electron microscopic images, the effect of particle texture may be negligible compared with the other two factors. By introducing the parameters related to particle form and roundness, the Kozeny–Carman model is modified to effectively predict the permeability of transparent soil, which can account for the difference in permeability characteristics due to the different pore morphology of this proposed transparent soil. In particular, the developed model can provide an effective approach with which to estimate the soil permeability quantitively.
Author Contributions
Funding
Conflicts of Interest
Notation
| CC = coefficient of gradation | Cu = uniformity coefficient |
| D = specific surface area | d = particle diameter |
| de = effective particle size | deff = effective particle size by Sperry (1995) [23] |
| deff’ = effective particle size by Carrier (2003) [24] | dli = larger sieve size |
| dsi = smaller sieve size | dx = particle size for which x% of the soil is finer |
| e = void ratio | Ff = factor of fluid |
| fc = factor of cross-sectional shape | fd = factor of particle size |
| fe = factor of void ratio | fi = fraction of particles between two sieve sizes |
| fk-c = Kozeny–Carman coefficient | fM = factor of pore morphology |
| fs = ratio-to-spherical factor | g = gravity |
| Gs = specific weight | i = hydraulic gradient |
| k = Darcy permeability coefficient | k20 = standard permeability coefficient at 20°C |
| K = intrinsic permeability | Le = average real flow path length |
| L = geometric line length | Le/L = tortuosity |
| nEI = refractive index of EI | nmix = refractive index of mixed oil |
| n15 = refractive index of 15# mineral oil | p = volume fraction of 15# mineral oil |
| R2 = fitting variance | v = mean velocity of seepage |
| v20 = standard mean velocity at 20 °C | η = fluid kinematic viscosity |
| η20 = fluid kinematic viscosity at 20 °C | μ = fluid dynamic viscosity |
| μ20 = fluid dynamic viscosity at 20 °C | ρ = fluid density |
| ρ20 = fluid density at 20 °C | T = temperature |
References
- Terzaghi, K. Soil mechanics. Eng. News-Rec. 1996, 85, 632–637. [Google Scholar]
- Yang, Y.-S.; Yang, T.-T.; Qiu, L.-C.; Han, Y.J.W. Simulating the Overtopping Failure of Homogeneous Embankment by a Double-Point Two-Phase MPM. Water 2019, 11, 1636. [Google Scholar] [CrossRef]
- Mannheimer, R. Slurries you can see through. Technol. Today 1990, 3, 22. [Google Scholar]
- Iskander, M.; Bathurst, R.J.; Omidvar, M. Past, Present, and Future of Transparent Soils. Geotech. Test. J. 2015, 38, 557–573. [Google Scholar] [CrossRef]
- Kong, G.Q.; Cao, Z.H.; Zhou, H.; Sun, X.J. Analysis of Piles Under Oblique Pullout Load Using Transparent-Soil Models. Geotech. Test. J. 2015, 38, 725–738. [Google Scholar] [CrossRef]
- Omidvar, M.; Malioche, J.D.; Chen, Z.; Iskander, M.; Bless, S. Visualizing Kinematics of Dynamic Penetration in Granular Media Using Transparent Soils. Geotech. Test. J. 2015, 38, 656–672. [Google Scholar] [CrossRef]
- Xiang, Y.Z.; Liu, H.L.; Zhang, W.G.; Chu, J.; Zhou, D.; Xiao, Y. Application of transparent soil model test and DEM simulation in study of tunnel failure mechanism. Tunn. Undergr. Space Technol. 2018, 74, 178–184. [Google Scholar] [CrossRef]
- Yin, F.; Xiao, Y.; Liu, H.; Zhou, H.; Chu, J. Experimental Investigation on the Movement of Soil and Piles in Transparent Granular Soils. Geotech. Geol. Eng. 2018, 36, 783–791. [Google Scholar] [CrossRef]
- Fatahi, H.; Hossain, M.M. Fluid flow through porous media using distinct element based numerical method. J. Pet. Explor. Prod. Technol. 2016, 6, 217–242. [Google Scholar] [CrossRef][Green Version]
- Wang, Y.; Ni, X. Hydro-mechanical analysis of piping erosion based on similarity criterion at micro-level by PFC3D. Eur. J. Environ. Civ. Eng. 2013, 17, 187–204. [Google Scholar] [CrossRef]
- Wu, J.-H.; Lin, W.-K.; Hu, H.-T. Post-failure simulations of a large slope failure using 3DEC: The Hsien-du-shan slope. Eng. Geol. 2018, 242, 92–107. [Google Scholar] [CrossRef]
- Liu, J.; Iskander, M.; Tabe, K.; Kosterelos, K. Flow visualization using transparent synthetic soils. In Proceedings of the 16th International Conference on Soil Mechanics and Geotechnical Engineering, Osaka, Japan, 12–16 September 2005; pp. 2411–2414. [Google Scholar]
- Hassan, Y.A.; Dominguez-Ontiveros, E.E. Flow visualization in a pebble bed reactor experiment using PIV and refractive index matching techniques. Nucl. Eng. Des. 2008, 238, 3080–3085. [Google Scholar] [CrossRef]
- Hunter, R.P.; Bowman, E.T. Visualisation of seepage-induced suffusion and suffosion within internally erodible granular media. Geotechnique 2018, 68, 918–930. [Google Scholar] [CrossRef]
- Ezzein, F.M.; Bathurst, R.J. A Transparent Sand for Geotechnical Laboratory Modeling. Geotech. Test. J. 2011, 34, 590–601. [Google Scholar]
- Liu, J.Y.; Iskander, M.G.; Sadek, S. Consolidation and permeability of transparent amorphous silica. Geotech. Test. J. 2003, 26, 390–401. [Google Scholar]
- Guzman, I.; Iskander, M. Geotechnical Properties of Sucrose-Saturated Fused Quartz for Use in Physical Modeling. Geotech. Test. J. 2013, 36, 448–454. [Google Scholar] [CrossRef]
- Carvalho, T.; Suescun-Florez, E.; Omidvar, M.; Iskander, M. A Nonviscous Water-Based Pore Fluid for Modeling With Transparent Soils. Geotech. Test. J. 2015, 38, 805–811. [Google Scholar] [CrossRef]
- Siemens, G.A.; Mumford, K.G.; Kucharczuk, D. Characterization of Transparent Soil for Use in Heat Transport Experiments. Geotech. Test. J. 2015, 38, 620–630. [Google Scholar] [CrossRef]
- Guzman, I.L.; Iskander, M.; Suescun-Florez, E.; Omidvar, M. A transparent aqueous-saturated sand surrogate for use in physical modeling. Acta Geotech. 2014, 9, 187–206. [Google Scholar] [CrossRef]
- Fair, G.M.; Hatch, L.P.; Hudson, H.E., Jr. Fundamental factors governing the streamline flow of water through sand [with discussion]. Am. Water Work. Assoc. 1933, 25, 1551–15653. [Google Scholar] [CrossRef]
- Carman, P.C. Flow of Gases through Porous Media; Butterworths Scientific Publications: London, UK, 1956; p. 182. [Google Scholar]
- Sperry, J.M.; Peirce, J.J. A Model for Estimating the Hydraulic Conductivity of Granular Material Based on Grain Shape, Grain-Size, and Porosity. Ground Water 1995, 33, 892–898. [Google Scholar] [CrossRef]
- Carrier, W.D. Goodbye, Hazen; Hello, Kozeny-Carman. J. Geotech. Geoenviron. 2003, 129, 1054–1056. [Google Scholar] [CrossRef]
- Kozeny, J. Das Wasser im Boden. Grundwasserbewegung. In Hydraulik; Springer: Berlin/Heidelberg, Germany, 1953; pp. 380–445. [Google Scholar]
- Sanvitale, N.; Bowman, E.T. Internal imaging of saturated granular free-surface flows. Int. J. Phys. Model. Geo. 2012, 12, 129–142. [Google Scholar] [CrossRef]
- ISO. ISO 679: 2009: Cement-Test Methods-Determination of Strength; ISO: Geneva, Switzerland, 2009; Available online: https://www.iso.org/standard/45568.html (accessed on 15 October 2019).
- Das, B.M. Advanced Soil Mechanics, 3rd ed.; Taylor & Francis: London, UK; New York, NY, USA, 2008. [Google Scholar]
- Cao, Z.; Liu, J.; Liu, H. Transparent fused silica to model natural sand. In Proceedings of the 2011 Pam-Am CGS Geotechnical Conference, Toronto, ON, Canada, 2–6 October 2011. [Google Scholar]
- Budwig, R. Refractive index matching methods for liquid flow investigations. Exp. Fluids 1994, 17, 350–355. [Google Scholar] [CrossRef]
- Yi, L.D.; Lv, H.B.; Ye, T.; Zhang, Y.P. Quantification of the Transparency of the Transparent Soil in Geotechnical Modeling. Adv. Civ. Eng. 2018, 2018. [Google Scholar] [CrossRef]
- Reis, J.C.R.; Lampreia, I.M.S.; Santos, Â.F.S.; Moita, M.L.C.J.; Douhéret, G. Refractive Index of Liquid Mixtures: Theory and Experiment. CHEMPHYSCHEM 2010, 11, 3722–3733. [Google Scholar] [CrossRef]
- ASTM Standard. Standard Test Method for Permeability of Granular Soils (Constant Head); ASTM International: West Conshohocken, PA, USA, 2006; D2434-68. [Google Scholar]
- Hunter, R.P. Development of Transparent Soil Testing Using Planar Laser Induced Fluorescence in the Study of Internal Erosion of Filters In Embankment Dams. Master’s Thesis, University of Canterbury, Christchurch, Canterbury, New Zealand, 2012. [Google Scholar]
- Bear, J. Dynamics of Fluids in Porous Media; American Elsevier Pub. Co.: New York, NY, USA, 1972. [Google Scholar]
- Hazen, A. Some physical properties of sands and gravels, with special reference to their use in filtration. In Proceedings of the 24th Annual Report; Massachusetts State Board of Health: Springfield, MA, USA, 1892; Volume 34, pp. 539–556. [Google Scholar]
- Krüger, E. Die Grundwasserbewegung. Internationale Mitteilungen für Bodenkunde 1918, 8, 105–122. [Google Scholar]
- Chapuis, R.P. Predicting the saturated hydraulic conductivity of sand and gravel using effective diameter and void ratio. Can. Geotech. J. 2004, 41, 787–795. [Google Scholar] [CrossRef]
- Wang, J.-P.; Zhuang, P.-Z.; Luan, J.-Y.; Liu, T.-H.; Tan, Y.-R.; Zhang, J.J.W. Estimation of Unsaturated Hydraulic Conductivity of Granular Soils from Particle Size Parameters. Water 2019, 11, 1826. [Google Scholar] [CrossRef]
- Barrett, P.J. The Shape of Rock Particles, a Critical-Review. Sedimentology 1980, 27, 291–303. [Google Scholar] [CrossRef]
- Bowman, E.T.; Soga, K.; Drummond, W. Particle shape characterisation using Fourier descriptor analysis. Geotechnique 2001, 51, 545–554. [Google Scholar] [CrossRef]
- Clayton, C.R.I.; Abbireddy, C.O.R.; Schiebel, R. A method of estimating the form of coarse particulates. Geotechnique 2009, 59, 493–501. [Google Scholar] [CrossRef]











| Particle Size Distribution | PSD-A | PSD-B | PSD-C |
|---|---|---|---|
| Solid Material | Fujian Sand | Fused Quartz | Fused Quartz |
| Specific Weight, Gs | 2.67 | 2.21 | 2.21 |
| d10 (mm) | 0.16 | 0.45 | 0.45 |
| d20 (mm) | 0.25 | 0.55 | 0.74 |
| d30 (mm) | 0.41 | 0.62 | 1.04 |
| d60 (mm) | 0.84 | 0.89 | 1.38 |
| Effective Particle Size by Sperry [23], deff (mm) | 0.43 | 0.73 | 0.94 |
| Effective Particle Size by Carrier [24], deff’ (mm) | 0.39 | 0.68 | 0.88 |
| Uniformity Coefficient, Cu | 5.25 | 2.00 | 3.09 |
| The Coefficient of Gradation, CC | 1.49 | 0.97 | 1.76 |
| Group | Run #* | Solid Phase | Particle Size Distribution | Fluid Phase | Void Ratio |
|---|---|---|---|---|---|
| FW | FAW-1 | Fujian Sand | PSD-A | Water | 0.58 |
| FAW-2 | Fujian Sand | PSD-A | Water | 0.64 | |
| FAW-3 | Fujian Sand | PSD-A | Water | 0.62 | |
| FAW-4 | Fujian Sand | PSD-A | Water | 0.62 | |
| FAW-5 | Fujian Sand | PSD-A | Water | 0.54 | |
| FAW-6 | Fujian Sand | PSD-A | Water | 0.54 | |
| QO | QBO-1 | Fused Quartz Sand | PSD-B | Mixed Oil | 0.68 |
| QBO-2 | Fused Quartz Sand | PSD-B | Mixed Oil | 0.69 | |
| QBO-3 | Fused Quartz Sand | PSD-B | Mixed Oil | 0.66 | |
| QBO-4 | Fused Quartz Sand | PSD-B | Mixed Oil | 0.63 | |
| QCO-1 | Fused Quartz Sand | PSD-C | Mixed Oil | 0.69 | |
| QCO-2 | Fused Quartz Sand | PSD-C | Mixed Oil | 0.67 | |
| QCO-3 | Fused Quartz Sand | PSD-C | Mixed Oil | 0.55 | |
| QCO-4 | Fused Quartz Sand | PSD-C | Mixed Oil | 0.57 | |
| QCO-5 | Fused Quartz Sand | PSD-C | Mixed Oil | 0.66 | |
| QCO-6 | Fused Quartz Sand | PSD-C | Mixed Oil | 0.64 |
© 2019 by the authors. Licensee MDPI, Basel, Switzerland. This article is an open access article distributed under the terms and conditions of the Creative Commons Attribution (CC BY) license (http://creativecommons.org/licenses/by/4.0/).
Share and Cite
Huang, B.; Guo, C.; Tang, Y.; Guo, J.; Cao, L. Experimental Study on the Permeability Characteristic of Fused Quartz Sand and Mixed Oil as a Transparent Soil. Water 2019, 11, 2514. https://doi.org/10.3390/w11122514
Huang B, Guo C, Tang Y, Guo J, Cao L. Experimental Study on the Permeability Characteristic of Fused Quartz Sand and Mixed Oil as a Transparent Soil. Water. 2019; 11(12):2514. https://doi.org/10.3390/w11122514
Chicago/Turabian StyleHuang, Bo, Chang Guo, Yao Tang, Jiachen Guo, and Linfeng Cao. 2019. "Experimental Study on the Permeability Characteristic of Fused Quartz Sand and Mixed Oil as a Transparent Soil" Water 11, no. 12: 2514. https://doi.org/10.3390/w11122514
APA StyleHuang, B., Guo, C., Tang, Y., Guo, J., & Cao, L. (2019). Experimental Study on the Permeability Characteristic of Fused Quartz Sand and Mixed Oil as a Transparent Soil. Water, 11(12), 2514. https://doi.org/10.3390/w11122514

