Influence of Irrigation Frequency on Radicchio (Cichorium Intybus L.) Yield
Abstract
1. Introduction
2. Materials and Methods
2.1. Experimental Site
2.2. Agronomic and Irrigation Management
2.3. Harvest, Data Collection, and Analysis
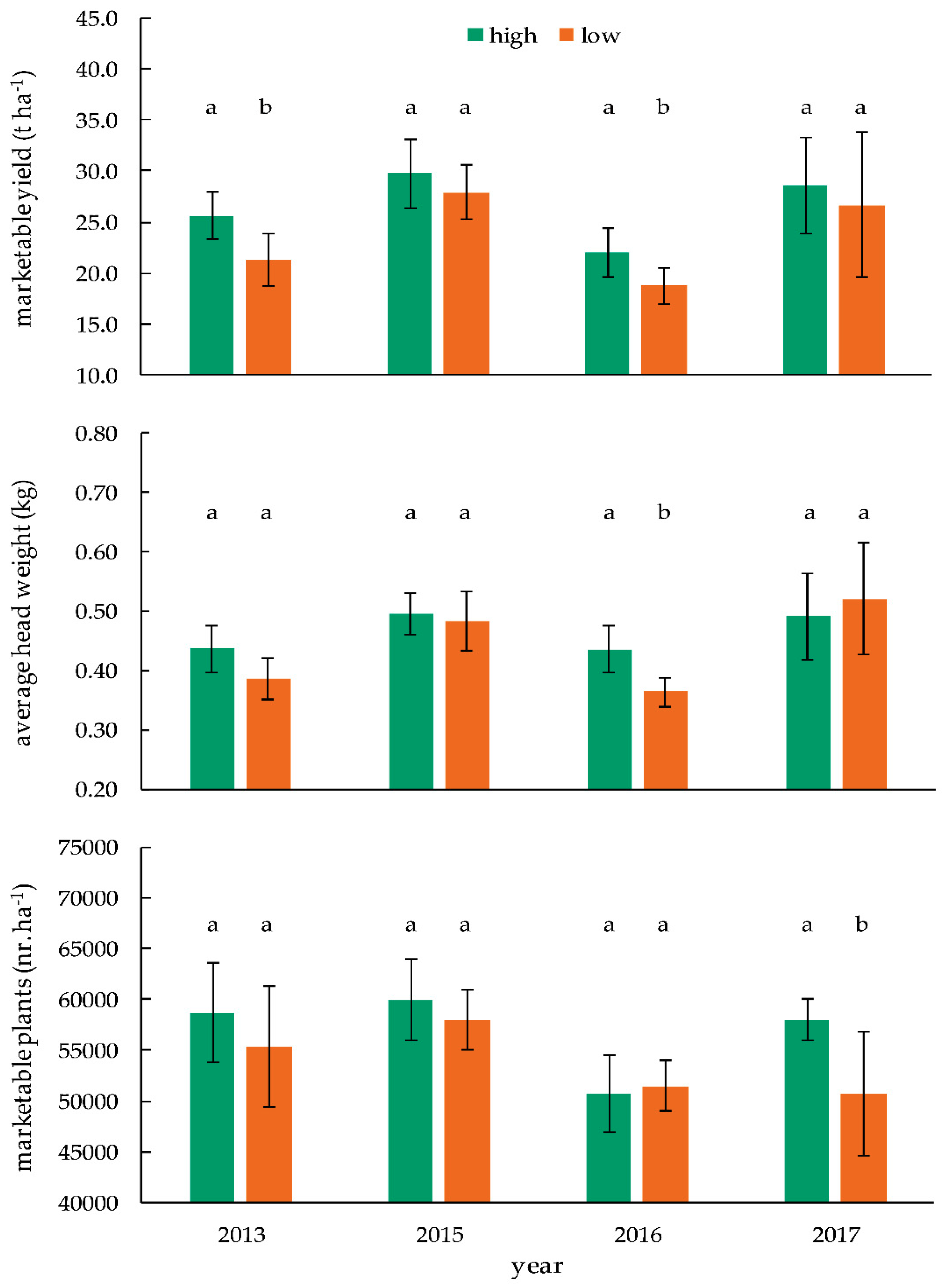
3. Result
3.1. Annual Radicchio Production, Weather, and Irrigation Frequency
3.2. Plant Quality: Underweight, Pre-Flowering, Rotten, and Missing Plants
3.3. Irrigation Water Productivity
4. Conclusions
Author Contributions
Funding
Acknowledgments
Conflicts of Interest
References
- Chubey, B.B.; Dorrell, D.G. Total reducing sugar, fructose and glucose concentrations and root yield of two chicory cultivars as affected by irrigation, fertilizer and harvest dates. Can. J. Plant. Sci. 1978, 58, 789–793. [Google Scholar] [CrossRef]
- Moosavi, S.G.R. Effects of irrigation and nitrogen (N) fertilization levels on yield, morphological traits and water use efficiency of chicory (Cichorium intybus L.). J. Med. Plants Res. 2012, 6, 4647–4652. [Google Scholar]
- ISTAT (Italian National Institute of Statistics). Available online: http://dati.istat.it/Index.aspx?lang=en&SubSessionId=978a3f3ce0ac-4efd-b344-e8a8bdde7994 (accessed on 16 October 2019).
- Nicoletto, C.; Maucieri, C.; Sambo, P. Effects on water management and quality characteristics of ozone application in chicory forcing process: A pilot system. Agron. J. 2017, 7, 29. [Google Scholar] [CrossRef]
- Innocenti, M.; Gallori, S.; Giaccherini, C.; Ieri, F.; Vincieri, F.F.; Mulinacci, N. Evaluation of the phenolic content in the aerial parts of different varieties of Cichorium intybus L. J. Agron. Food Chem. 2005, 53, 6497–6502. [Google Scholar] [CrossRef] [PubMed]
- Nicoletto, C.; Pimpini, F. Influence of the forcing process on some qualitative aspects in radicchio “Rosso di Treviso tardivo” (Cichorium intybus L., group rubifolium). 1. Nitrate, nitrite and organic nitrogen. Ital. J. Agron. 2009, 4, 137–146. [Google Scholar] [CrossRef]
- Nicoletto, C.; Pimpini, F. Influence of the forcing process on some qualitative aspects in radicchio “Rosso di Treviso Tardivo” (Cichorium intybus L., group rubifolium). 2. Antioxidant capacity, phenols and ascorbic acid. Ital. J. Agron. 2010, 5, 43–52. [Google Scholar] [CrossRef]
- Carrasco, G.; Carmona, C.; Sandoval, C.; Urrestarazu, M. Plant density on yield of red chicory heads-radicchio rosso—(Cichorium intybus L. var. foliosum hegi) grown in south central Chile. In Proceedings of the 3rd International Symposium on Diversification of Vegetable Crops, Beijing, China, 24–27 September 1996; pp. 269–276. [Google Scholar]
- Pertuzé, R.; Bravo, R.; Silva, P. Radicchio (Cichorium intybus L.) variety selection for the Chilean central area. Sci. Hortic. 2016, 198, 197–206. [Google Scholar] [CrossRef]
- Martinez, L.; Filippini, M.F.; Cavagnaro, J.B. Influence of sowing dates on growth, bolting and yield of chicory cv. Rosso di Chioggia (Cichorium intybus L.). Adv. Hortic. Sci. 1995, 9, 79–82. [Google Scholar]
- Sambo, P.; Nutter, F.W.; Guan, J.; Friedrich, H. Organic Cultivation of Radicchio rosso di Chioggia (Chicorium intybus var. silvestre) in Iowa. Hortic. Sci. 2004, 39, 876C–876. [Google Scholar] [CrossRef]
- Filippini, M.F.; Cavagnaro, J.B.; Nicoletto, C.; Pimpini, F.; Sambo, P. Influence of fertilization on the growth of radicchio “Rosso di Chioggia” cultivated in two different environments. Rev. Facultad Ciencias Agrarias 2011, 43, 111–131. [Google Scholar]
- Monti, A.; Amaducci, M.T.; Pritoni, G.; Venturi, G. Growth, fructan yield, and quality of chicory (Cichorium intybus L.) as related to photosynthetic capacity, harvest time, and water regime. J. Exp. Bot. 2005, 56, 1389–1395. [Google Scholar] [CrossRef] [PubMed]
- Fernandes, R.D.M.; Frizzone, J.A.; José, J.V. Chicory (‘Cichorium intybus’ L.) yield under water stress and estimation of leaf area using allometric relations. Aust. J. Crop. Sci. 2017, 11, 1547–1552. [Google Scholar] [CrossRef]
- Bortolini, L.; Nicoletto, C.; Sambo, P.; Evans, M.R. Radicchio cultivation under different sprinkler irrigation systems. Contemp. Eng. Sci. 2016, 9, 345–355. [Google Scholar] [CrossRef][Green Version]
- Babik, J.; Kaniszewski, S.; Dyśko, J. Effect of cultivation methods and drip irrigation on the yield of roots and the quality of chicons of witloof chicory. Veget. Crops Res. Bull. 2009, 70, 183–191. [Google Scholar] [CrossRef]
- Di Paolo, E.; Mammarella, A. Esigenze idriche del radicchio coltivato nella Piana del Fucino (Water requirements of Radicchio cultivated in Piana del Fucino). In Proceedings of the Agrometeorologia, risorse naturali e sistemi di gestione del territorio AIAM, Vasto, Italy, 3–5 May 2005; pp. 48–49. [Google Scholar]
- Bortolini, L.; Bietresato, M. Effect of seed-beds on the cultivation of Radicchio (Cichorium intybus L., Rubifolium group). Contemp. Eng. Sci. 2016, 9, 997–1014. [Google Scholar] [CrossRef]
- Patel, J.R.; Patel, J.B.; Upadhyay, P.N.; Usadadia, V.P. The effect of various agronomic practices on the yield of chicory (Cichorium intybus). J. Agric. Sci. 2000, 135, 271–278. [Google Scholar] [CrossRef]
- Fader, M.; Shi, S.; von Bloh, W.; Bondeau, A.; Cramer, W. Mediterranean irrigation under climate change: More efficient irrigation needed to compensate for increases in irrigation water requirements. Hydrol. Earth Syst. Sci. 2016, 20, 953–973. [Google Scholar] [CrossRef]
- European Community. Commission Regulation (EC) No 1263/96 of 1 July 1996 supplementing the Annex to Regulation (EC) No 1107/96 on the registration of geographical indications and designations of origin under the procedure laid down in Article 17 of Regulation (EEC) No 2081/92. Off. J. Eur. Union L 1996, 163, 19–21. [Google Scholar]
- Site of Italian Government, Ministry of Agricultural, Food and Forestry Policies. Available online: https://www.politicheagricole.it/flex/cm/pages/ServeBLOB.php/L/IT/IDPagina/3343 (accessed on 20 November 2019).
- 45°30′34.5″ N and 12°06′09.0″ E. Google Earth Pro. Available online: https://www.google.com/maps/place/30035+Mirano+VE (accessed on 20 November 2019).
- Berti, A.; Tardivo, G.; Chiaudani, A.; Rech, F.; Borin, M. Assessing reference evapotranspiration by the Hargreaves method in north-eastern Italy. Agric. Water Manag. 2014, 140, 20–25. [Google Scholar] [CrossRef]
- Agresti, A. Foundations of Linear and Generalized Linear Models; John Wiley & Sons: New York, NY, USA, 2015. [Google Scholar]
- Brooks, M.E.; Kristensen, K.; van Benthem, K.J.; Magnusson, A.; Berg, C.W.; Nielsen, A.; Skaug, H.J.; Maechler, M.; Bolker, B.M. glmmTMB Balances Speed and Flexibility Among Packages for Zero-inflated Generalized Linear Mixed Modeling. The R J. 2017, 9, 378–400. [Google Scholar] [CrossRef]
- R Core Team. R: A Language and Environment for Statistical Computing; R Foundation for Statistical Computing: Vienna, Austria, 2018; Available online: https://www.R-project.org/ (accessed on 6 March 2019).
- Hartig, F. DHARMa: Residual Diagnostics for Hierarchical (Multi-Level/Mixed) Regression Models. R Package Version 0.2.4. 2019. Available online: https://CRAN.R-project.org/package=DHARMa (accessed on 6 March 2019).







| Parameter | Unit | Value |
|---|---|---|
| Clay, sand, silt Organic matter | % % | 19.0, 24.0, 57.0 1.8 |
| Available water capacity | mm m−1 | 220 |
| Saturated hydraulic conductivity | mm h−1 | 11.5 |
| Year | Planting Date | Harvest Date | Rainfall (mm) | ETc (mm) | High-Frequency Irrigation Volume (mm) | Low-Frequency Irrigation Volume (mm) |
|---|---|---|---|---|---|---|
| 2013 | 6 Aug. 2013 | 15 Oct. 2013 | 152 | 130 | 85 | 86 |
| 2015 | 4 Aug. 2015 | 14 Nov. 2015 | 183 | 163 | 125 | 126 |
| 2016 | 2 Aug. 2016 | 3 Nov. 2016 | 214 | 178 | 151 | 175 |
| 2017 | 6 Aug. 2017 | 10 Nov. 2017 | 218 | 166 | 153 | 170 |
| Counts | Irrigation Frequency p-Values |
|---|---|
| Underweight plants | 0.376 |
| Pre-flowering plants | 0.576 |
| Rotten plants | 0.883 |
| Missing plants | 0.077 |
| Year | IWP (kg m−3) | WP (kg m−3) | ||
|---|---|---|---|---|
| High-Frequency Schedule | Low-Frequency Schedule | High-Frequency Schedule | Low-Frequency Schedule | |
| 2013 | 30.1 ± 2.7 a | 24.7 ± 3.0 b | 10.8 ± 1.0 a | 8.9 ± 1.1 b |
| 2015 | 23.8 ± 2.8 a | 22.2 ± 2.1 a | 9.7 ± 1.1 a | 9 ± 0.8 a |
| 2016 | 14.6 ± 1.6 a | 10.7 ± 1.0 a | 6 ± 0.7 a | 4.8 ± 0.5 a |
| 2017 | 18.7 ± 3.1 a | 15.7 ± 4.2 a | 7.7 ± 1.3 a | 6.9 ± 1.8 a |
© 2019 by the authors. Licensee MDPI, Basel, Switzerland. This article is an open access article distributed under the terms and conditions of the Creative Commons Attribution (CC BY) license (http://creativecommons.org/licenses/by/4.0/).
Share and Cite
Bortolini, L.; Tolomio, M. Influence of Irrigation Frequency on Radicchio (Cichorium Intybus L.) Yield. Water 2019, 11, 2473. https://doi.org/10.3390/w11122473
Bortolini L, Tolomio M. Influence of Irrigation Frequency on Radicchio (Cichorium Intybus L.) Yield. Water. 2019; 11(12):2473. https://doi.org/10.3390/w11122473
Chicago/Turabian StyleBortolini, Lucia, and Massimo Tolomio. 2019. "Influence of Irrigation Frequency on Radicchio (Cichorium Intybus L.) Yield" Water 11, no. 12: 2473. https://doi.org/10.3390/w11122473
APA StyleBortolini, L., & Tolomio, M. (2019). Influence of Irrigation Frequency on Radicchio (Cichorium Intybus L.) Yield. Water, 11(12), 2473. https://doi.org/10.3390/w11122473
