Abstract
The aim of this 15-month study was to evaluate and compare two partially saturated (PS) vertical flow (VF) wetlands for total nitrogen (TN) removal. The PS VF wetlands, evaluated in duplicate, were added with corncob (CC) in two different heights of the free-drainage zone (FDZ). The FDZ had a height of 40 cm and the saturated zone (SZ) had a height of 30 cm. The configuration of the system I (SI) was a 20 cm-corncob bed above the SZ followed by a 20 cm-tezontle bed; in system II (SII) the order of the beds were inverted. The SZ was added with tezontle with a size of 1−2 cm. Weekly measurements of water quality parameters including oxygen demand (BOD5), chemical oxygen demand (COD), color, total suspended solids (TSS), organic nitrogen (Org-N), ammonium (NH4+), nitrate (NO3−) and nitrite (NO2−), were taken in the influent and effluents, and interfaces (nitrate and nitrite). Measurements of pH, dissolved oxygen (DO) and oxidation-reduction potential (ORP) were taken in the SZ. The addition of CC in the FDZ did not interfere with the capacity of the PS VF wetlands for BOD5, COD, TSS and true color removal, reaching mass removal efficiencies of 91.9% and 92.2%, 66.6% and 75%, 89.8% and 92%, 63.3% and 66.0%, for SI and SII, respectively; without significant difference between the systems (p > 0.05). The CC in the FDZ neither interfered with the PS VF wetlands nitrification capacity. The removal of TN was similar in SI and SII (p > 0.05), attaining average mass removal efficiencies of 68.2% and 66.0%, respectively. These efficiencies were not sufficiently high due to the limited denitrification process in the SZ as a result of the absence of biodegradable carbon, generated and consumed in the FDZ.
1. Introduction
Nitrogen compounds are responsible for the deterioration of surface waters, resulting in eutrophication, toxicity for aquatic creatures and risks to human health [1,2]. Nitrification-denitrification is considered as the most effective pathways to remove total nitrogen (TN) from wastewater with different wastewater treatment technologies such as treatment wetlands (TWs) [3]. Nitrification is a two-step process by which autotrophic ammonia-oxidizing bacteria (AOB) and archaea (AOA) oxidize NH4+ to NO2− through the ammonia monooxygenase (AMO) enzyme [4], followed by nitrite-oxidizing bacteria (NOB) that oxidize NO2− to NO3− via the nitrite oxidoreductase (NXR) enzyme [5], under aerobic conditions [6,7]. Although, recently it was discovered that some bacteria, members of the genus Nitrospira, are capable to perform a complete nitrification; this kind of bacteria are currently called COMAMMOX (complete ammonia oxidizer) [8,9]. Additionally, heterotrophic nitrification has been reported by a number of bacteria (Thiosphaera pantotropha, Bacillus sp., Pseudomonas sp., Rhodococcus sp., Agrobacterium sp., Acinetobacter sp., Zobellella taiwanensis DN, Klebsiella pneumoniae CF-S9, etc., [10,11]. On the other hand, denitrification is the reduction of NO3− until nitrous oxide (N2O) or molecular nitrogen (N2) under anoxic/anaerobic conditions by heterotrophic bacteria; for denitrification, organic carbon becomes a limiting factor when the wastewater has a low C/N ratio [12,13]. However, denitrification is also performed by AOB and AOA due to the fact that N2O is generated as by-product of ammonia oxidation [14]. Moreover, autotrophic denitrification takes place by those groups of bacteria capable of heterotrophic nitrification [11]. Anaerobic ammonium oxidation (ANAMMOX) is another TN removal mechanism where NH4+ is oxidized to N2 using NO2− as an electron acceptor without the presence of organic carbon and oxygen. However, ANAMMOX biomass has slow growth in comparison to heterotrophic denitrifiers; additionally, denitrificant communities can inhibit the growth of ANAMMOX bacteria [15,16].
The biochemical processes related to nitrogen compound transformations in the TWs depend mainly on their design and mode of operation. Subsurface vertical flow (VF) wetlands are intermittent feeding systems with high oxygen transfer, supporting nitrification but not denitrification; while subsurface horizontal flow (HF) wetlands are flooded systems with anoxic and anaerobic conditions, which make them more adequate for denitrification but less efficient for nitrification [17]. Thus, an alternative TW to reach high TN removal is a partially saturated (PS) VF wetland [18,19] which is an innovative and efficient option due to its combination of a free-drainage zone (FDZ) on the upper part and a saturated zone (SZ) in the bottom part; thus, the nitrification-denitrification process can take place in one single stage [17,20,21,22,23]. Nevertheless, if biodegradable carbon content in the influent is low, it is consumed along the FDZ through aerobic respiration [24,25], resulting in a poor denitrification in the SZ. Then, the addition of an external carbon source could provide the carbon requirements for heterotrophic denitrification [24] such external sources have generally been added along the FDZ and SZ in different studies [19,21]. The use of a solid carbon source (SCS) appears more advantageous when compared to the expensive-soluble carbon sources like ethanol, methanol, glucose, etc., [26]. SCSs come from renewable resources and are generated as wastes in huge quantities, mainly in developing countries such as Mexico.
In a previous study we evaluated the use of corncob (CC), an abundant agricultural lignocellulosic residue in Mexico which was placed in the SZ of PS VF wetlands for the removal of TN and obtained an average efficiency of 73.0% for seven months (after a stabilization period of three months) that decreased in 11% for the next seven months [26]. In addition, a high release of biochemical oxygen demand (BOD5) and chemical oxygen demand (COD) was registered in the effluents during the first months of operation coinciding with a higher removal of TN. Apparently, one solution to these performances is the placement of CC in the FDZ that could result in a slower degradation; however, due to the higher capacity of CC for water retention than the filter medium, this could affect the aeration capacity of the PS VF wetlands. On the other hand, besides the possible slower degradation, another advantage of placing CC in the FDZ is an easier replacement after its exhaustion. Therefore, the aim of this study was to evaluate and compare TN removal in PS VF wetlands with CC as a SCS placed in two different heights of the FDZ, as well as to evaluate the impact of the presence of corncob in the removal of other pollutants.
2. Materials and Methods
2.1. Systems and Experiment Description
Two different PS VF wetlands (SI and SII) were evaluated in duplicate for TN removal, in the TW pilot-plant located in the University of Guadalajara at the campus of Centro Universitario de la Cienega in Ocotlan, Jalisco, Mexico, under a subtropical climate. Their dimensions were 48 cm length, 48 cm width and70 cm height and were in operation from March 2017 to June 2018 receiving a portion of the wastewater generated in the campus. Both systems had a FDZ of 40 cm and a SZ of 30 cm (Figure 1). The SZ of both systems were filled with tezontle, an abundant volcanic rock in Mexico and currently in use as filter medium in TWs in this country [27]. The particle size of tezontle was between 1–2 cm, with a porosity of 0.53. With respect to the FDZ, its configuration was different in the two PS VF wetlands. In SI a 20 cm-bed of corncob was placed immediately above the SZ and then, a 20-cm bed of ground tezontle was added. In SII, these two 20-cm beds were placed in the opposite position with respect to SI. On the surface of each PS VF wetlands, thicker tezontle was used for the distribution of influent and one plant of Iris sibirica was planted. Both systems were fed with 4.2 L/3 h (volume flow rate, 34.4 L/d) of the pretreated wastewater with programmed 18-W pumps. The hydraulic retention time was ~1.1 d.
Figure 1.
Two pilot-scale partially saturated (PS) vertical flow (VF) wetlands for nitrogen removal.
2.2. Water Quality Parameters and Sampling Methods
The systems were fed with the pretreated wastewater since the beginning of March 2017. After three months of stabilization, water samples were taken weekly for both influent and effluents of the PS VF wetlands for 48 weeks. Physicochemical parameters for water quality were analyzed immediately in the Environmental Quality Laboratory of the University campus according to the Standard Methods for the Examination of Water and Wastewater [28]. These parameters included Org-N, NH4+, NO3−, NO2−, BOD5, COD, total suspended solids (TSS), pH, electric conductivity (EC), color, and alkalinity. Measurements of evapotranspiration were also taken in order to calculate pollutant mass removal efficiencies. In addition, NO2− and NO3− were determined at the interfaces to confirm the nitrification process. BOD5 and COD were also measured at the interfaces during the last 23 weeks of the study, in order to evaluate the impact of the presence of corncob in the wastewater characteristics after passing through the FDZ. Furthermore, alkalinity was also analyzed at the interface during the last 18 weeks of the study. Moreover, in order to know the internal conditions of the PS VF wetlands, oxidation-reduction potential (ORP), dissolved oxygen (DO), pH and EC were measured weekly at the interface and bottom of the SZs, as well as in the influent and effluents of the systems. This was possible through a perforated PVC column installed along the entire height of the systems. The parameters were measured with an HQ40d series portable Hach meter with the respective Intellical sensor for each analysis.
2.3. Statistical Analysis
A randomized block design was used to analyze the data of all the sampling campaigns in the study. Analysis of variance (ANOVA) was applied to determine the significant differences among the treatments (influent, SI and SII) with the use of the Statgraphics Centurion XV.II software for windows (StatPoint Technologies, Warrenton, VA, USA). A significance level of p = 0.05 was used for all statistical tests, and the values reported were the mean values (average ± standard error of the mean). When a significant difference was observed between treatments in the ANOVA procedure, multiple comparisons were made using the least significant difference (LSD) test for differences between means.
3. Results and Discussion
The mean physicochemical characteristics of the wastewater along the period of monitoring are shown in Table 1, with an average hydraulic load (HL) of 145.8 mm/d. Additionally, the organic loading rates were 9.1 g BOD5/m2.d and 20.4 g COD/m2.d, while the ammonium loading rate was 10.4 g NH4+-N/m2.d. According to [29], the wastewater fed to the PS VF wetlands could be classified as a weak domestic wastewater due to its BDO5 and COD concentrations although the ammonium concentration was higher of that commonly found in domestic wastewater.
Table 1.
Wastewater characteristics along the period of study (average ± standard deviation, n = 48).
3.1. Performance of the PS VF Wetlands for the Removal of Pollutants Affected Directly by the Presence of Corncob
3.1.1. BOD5
Despite the addition of corncob and the increase in the concentration of BOD5 in the influent during the dry season (November–March), the concentrations in the effluents of the PS VF wetlands were permanently low and significantly reduced (Figure 2A) (p < 0.05), reaching average concentrations throughout the study of 4.9 mg/L and 4.7 mg/L in SI and SII, respectively. Additionally, based on the measurements of BOD5 during the last 23 weeks of the study in the influent, interface and effluents (Figure 3), it was found that the concentration of BOD5 was reduced mainly in the FDZ and only tended to lower values when the wastewater drained through the SZ. Interestingly, these results demonstrated that the placement of corncob in the FDZ prevented that high increase in BOD5 concentrations in the effluent observed in a previous similar study with the same wastewater during the initial four months of operation, with corncob in the SZ of PS VF wetlands [26]. Consequently, BOD5 removals were very high, without statistical difference between the PS VF wetlands (p > 0.05), with 91.9% and 92.2% for SI and SII, respectively. Such efficiencies are similar to those reported by [30] (higher than 90%) in a comparative study of PS VF wetlands with four different heights (5, 30, 45 and 60 cm) of the SZ fed with digested wastewater (resulting in a low BOD5/TN) and four corresponding different heights of FDZ (75, 50, 35 and 20 cm), without the addition of a SCS and using oyster shell as filter medium. However, in that study, the BOD5 concentration in the influent was much higher (230.59 ± 92.57) mg/L than the value in this research, so future research could be conducted to assess the behavior of our systems with higher concentration of BOD5. Meanwhile, the results obtained indicate that the presence of corncob did not interfere with the aeration capacity of the FDZ and that the release or biodegradable carbon occurred at a slow rate. Moreover, the removal efficiencies of BOD5 were in the range reported in unsaturated subsurface VF wetlands with inorganic filter media; for example [31] report and average removal efficiency of 88.1% for an average concentration of 166 mg/L of BOD5 in 37 subsurface VF wetlands around the world.
Figure 2.
Behavior of BOD5 (A), COD (B) and TSS (C) in the two PS VF wetlands along the study.
Figure 3.
Comparison of BOD5 concentrations at the three points of the PS VF wetlands during the last 23 weeks of the study.
3.1.2. COD
This parameter showed an unstable behavior during the first months of the study, showing higher concentrations of COD in the effluents with respect to the influent for some sampling campaigns, mainly in SI (where corncob was directly above the SZ). Nevertheless, after some months, the COD concentrations registered more stabilized values (Figure 2B), reaching a significant decrease in both systems (p < 0.05) along the study, without significant differences between them, with efficiencies of 66.6% and 75% in SI and SII, respectively. It is important to note that the aforementioned slight increase in the COD concentrations was much lower in comparison to the increments observed by [26] in the effluents of PS VF wetlands with corncob added in the SZ during the first months of experimentation, treating the same wastewater evaluated in this study. Furthermore, similar to the BOD5, according to the measurements in the influent, interface and effluents during the last 23 weeks of the study, no significant reduction of COD was found after the SZ (Figure 4). On the other hand, in twoVF wetlands added with wheat straw and newspaper (each one) as carbon sources, [19] reported a similar behavior of COD concentration in the effluents treating synthetic wastewater. This variation could be attributed to the release of organic compounds (measured as COD) by carbon sources, which are mainly recalcitrant aromatic polymers with high resistance to biodegradation due to their lignocellulitic nature [26,32].
Figure 4.
Behavior of COD at three points of the systems during the last 23 weeks of the study.
3.1.3. TSS
Since the beginning of the study, TSS concentrations were reduced in the effluents despite the low concentrations in the influent (Figure 2C) due to the presence of precipitations these months. Then, along the study, the TSS were significantly removed (p < 0.05) in the effluent of the systems achieving removal efficiencies of 89.8% and 92% in SI and SII, respectively. Such efficiencies were much higher than the average 62% obtained by [26] in similar PS VF wetlands with the corncob in the SZ; and also higher than the 67% obtained by [22] in a PS VF wetlands with a saturation height of 35 cm planted with Phragmites australis and treating urban wastewater without the addition of an external source of carbon. In addition, [5] reported a lower TSS efficiency (74.3%) in comparison to that obtained in this study, in a pilot-scale PS VF wetland with a similar height of the SZ (35 cm) and without the addition of a solid carbon source. These findings demonstrate that the aerobic conditions in the FDZ diminished the release of suspended solids from the corncob, preventing an increase in the concentrations of TSS in the effluents.
3.1.4. True Color
The behavior of color concentration was similar in the two systems showing higher values in the effluents at the beginning of the study due to the recent addition of the corncob (Figure 5). However, even in these initial months, the color concentration was lower or similar to the concentrations in the influent. Thus, this parameter was significantly decreased (p < 0.05) in the two PS VF wetlands, with average efficiencies of 63.3% in SI and 66.0% in SII throughout the study. These efficiencies were higher than the 34.7% achieved in a subsurface VF wetland packed with recycled bricks and the 14% in another subsurface VF wetland packed with sugarcane bagasse [33]. These results indicate that, the addition of corncob in the FDZ of the PS VF wetlands did not affect the color of the effluents, which is a concern when using solid carbon sources to promote denitrification.
Figure 5.
Behavior of the true color concentration along the study with PS VF wetlands.
3.2. Internal Conditions of the PS VF Wetlands
3.2.1. Parameter Measured in Situ
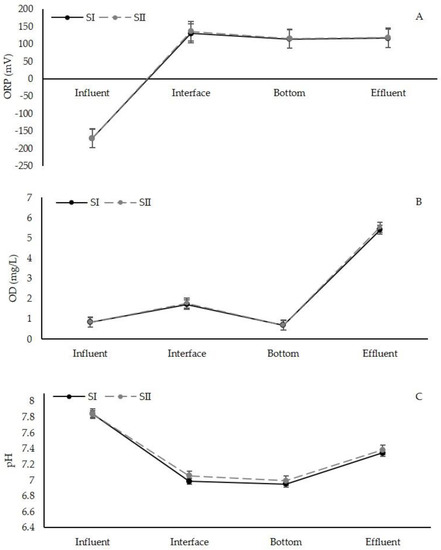
The internal conditions that prevailed in the two PS VF wetlands were very similar along the study (Figure 6). As expected, the ORP presented a significant increase (p < 0.05) once the influent drained through the FDZ, but from here, the ORP no longer changed statistically in any of the systems (Figure 6A). The values measured in the SZ were higher than those reported by [26] who used corncob in the SZ instead of the FDZ, but adequate for denitrification process [33]. On the other hand, similar to the ORP, the DO concentrations in the wastewater presented a significant increase (p < 0.05) after passing through the FDZ (Figure 6B), then, the concentrations were reduced due to the consumption in the SZ and finally, as expected, the concentrations increased in the effluents when being exposed to the atmosphere. The concentrations of DO in the saturated bottom of the PS VF wetlands were in the range of optimal values for facultative denitrificants [34]. With regard to the pH, this parameter exhibited a significant decrease (p < 0.05) from the inlet to the interface of the two systems (Figure 6C) without difference between them, mainly due to the nitrification process that took place in the FDZ; such values increased in the effluents after leaving the systems. The values of pH in the saturated zone of both systems were in the range of those ideals to accomplish denitrification process [33]. Finally, the EC presented a significant decrease (p < 0.05) from the influent to the interface of the two systems (Figure 6D), and then stayed around similar values in the effluents. This significant reduction in EC when the wastewater drained through the FDZ was expected due to the plant uptake of different dissolved salts and the adsorption by the filter media [35,36].

Figure 6.
Internal conditions of the PS VF wetlands during the study: Oxidation-reduction potential (ORP) (A), OD (B), pH (C), electric conductivity (EC) (D).
3.2.2. Alkalinity
Alkalinity was significantly reduced in both PS VF wetlands (p < 0.05) after the wastewater drained through the FDZ (Figure 7) and the consumptions were 65.7% and 75.77% in SI and SII, respectively. The reduction in alkalinity concentration indicates that the presence of corncob did not inhibit the nitrification process and it took place efficiently by means of autotrophic bacteria, which obtain their carbon requirement from inorganic carbon compounds in the form of carbonates and bicarbonates. Alkalinity was consumed at 7.14 g/g N oxidized during nitrification and generated at 3.57 g/g N reduced during denitrification [37]. Alkalinity consumption was already evaluated in an unsaturated VF wetland by [38] who found a reduction of 82.4%.
Figure 7.
Alkalinity measurements in the two PS VF wetlands.
3.3. Nitrogen Removal
3.3.1. Organic Nitrogen
Around the three first months of operation, in comparison to the following months, a higher concentration of organic nitrogen was observed in the effluents (Figure 8A), probably due to the release of the latter from the corncob recently added. Nitrogen content in corncob was close to 0.43% in dry weight basis [39]. Apparently, the release of Org-N in these months was higher in SI in which the corncob was added above the SZ. However, when analyzing the whole period of study, the two PS VF wetlands registered similar reductions of Org-N with respect to the influent (Figure 8B) (p < 0.05), reaching mass removal efficiencies of 70.0% and 77.7% in SI and SII, respectively. These efficiencies were low, in comparison to the 84.7% obtained by [26] in two PS VF wetlands with corncob in the ZS and treating similar wastewater but with a higher average concentration of Org-N (14.2 mg/L vs. 4.6 mg/L in this study).
Figure 8.
Organic nitrogen concentrations in the study with PS VF wetlands, (A) values along the sampling campaigns, (B) mean concentrations (± standard error) throughout the period of study.
3.3.2. Ammonium
The performance of the two systems for NH4+ removal, presumably through nitrification, was effective since the beginning of the study (Figure 9A). Hence, the global mass removal efficiencies were 82.5% and 83.3% for SI and SII respectively, without difference between the systems (Figure 9B) (p > 0.05). These percentages could be considered higher than the mean 79% found by [26] when evaluating the PS VF wetlands without corncob in the FDZ but in the SZ, for the treatment of the same influent. Therefore, these results indicate that the addition of corncob in both inferior and superior section of the FDZ did not affect the capacity of the PS VF wetlands for nitrification, that was the concern of the study due to a higher capacity of corncob for water retention than the filter medium, that might have decreased the aeration capacity of the PS VF wetlands. Another pathway for NH4+ reduction was ANAMMOX, whose occurrence was already demonstrated in the semi-saturated layer directly above the SZ in PS VF wetlands without a SCS [26,40]. In this case, the slow release of biodegradable carbon from corncob prevented the inhibition of ANAMMOX bacteria whose growth can be inhibited with the presence of oxygen and/or high concentration of organic carbon [41].
Figure 9.
Ammonium concentrations in the study with PS VF wetlands, (A) values along the sampling campaigns, (B) mean concentrations (± standard error) throughout the period of study.
3.3.3. Nitrite
In general, throughout the study, NO2− concentrations were very low in the influent, interfaces and effluents. The average concentrations are shown in Figure 10, where it can be seen that there was not an increase in the concentration at the interfaces (p > 0.05), suggesting the complete transformation of NH4+ to NO3− or the consumption of NO2− by means of ANAMMOX which is responsible for NH4+ oxidation to N2 by NO2− under anoxic/anaerobic conditions. In addition, another pathway that could explain the almost null concentrations of nitrite at the interfaces and effluents of the PS VF wetlands is the presence of COMAMMOX [8] that are ubiquitous and have been found in a diversity of environments, including soil, water and sediments, similar to the distribution of conventional ammonia-oxidizing bacteria [9].
Figure 10.
Nitrite average concentrations at three points of the two systems.
3.3.4. Nitrate
With regard to NO3−, the performance of the two PS VF wetlands was alike, similar to what was observed with respect to the other nitrogen compounds. As expected, a significant increase was observed in the concentrations after the wastewater drained through the FDZ (p < 0.05) and then stayed around similar values in the effluents (Figure 11). However, in SII, the average concentration of nitrate in the interface was significantly higher than that in SI (p < 0.05) (Figure 12). These results suggest that the placement of tezontle under the corncob favored an additional nitrification before the influent reached the SZ; in contrast to what happened in SI where the placement of corncob under the tezontle facilitated denitrification/ANAMMOX rather than favoring nitrification. An additional proof of a higher nitrification rate in SII was the trend to a higher alkalinity consumption (~10%) when compared to SI (Figure 7).
Figure 11.
Measurements of nitrate at three points in system I (SI) (A) and system II (SII) (B) during the study.
Figure 12.
Average concentrations of nitrate in three points of SI (A) and SII (B) (mean ± standard error).
On the other hand, the limited reduction of NO3− concentration in the SZ indicates a poor denitrification owed to the absence of biodegradable organics [21]. This, despite the fact that corncob was added in the FDZ of the PS VF wetlands. In addition, when analyzing the hypothetical route of nitrate generation in the systems (Figure 13) by means of the complete nitrification of Org-N (firstly transformed to ammonium) and ammonium (plus nitrate concentration in the influent), it was found that the measured concentrations of nitrate at the interfaces were much lower (Figure 13) than the estimated concentrations. Such results demonstrate, firstly, that the main transformations of nitrogen took place in the FDZ and secondly, that both nitrification and denitrification occurred as simultaneous processes. Similar results have been already found by other authors [17,26,40]. It is possible that AOB played a very important role in the process of denitrification due to the release of N2O as by-product in the ammonium oxidation via hydroxylamine (NH2OH) in an aerobic environment; AOA also produce N2O by pathways that are apparently similar [42]. ANAMMOX could be another pathway that lead to the low measured concentration of nitrate at the interfaces. It is likely that both anoxic denitrification and ANAMMOX occurred mainly in the lower semi-saturated zone of the FDZ. It is interesting to note that, apparently, the main function of the SZ is to allow the existence of this semi-saturated zone. Additionally, due to the vegetable nature of the corncob, moisture retention can promote more anaerobic zones for the growth of anaerobic and facultative microorganisms [43]. Furthermore, the removal of nitrate is also possible by means of aerobic denitrification in the FDZ of PS VF wetlands. Aerobic denitrifiers can reduce NO3− or NO2− to N2 under aerobic environment [44]. The authors of [20] already demonstrated the presence of pseudomonas in PS VF wetlands, (species that belong to γ-proteobacteria and are heterotrophic nitrifiers/aerobic denitrifiers).
Figure 13.
Theoretical generation of nitrate: Difference between expected concentrations through full nitrification and measured concentrations.
3.3.5. Total Nitrogen Removal
TN mass removal efficiencies were 68.2% and 66.0% for SI and SII, which correspond to 8.69 g TN/m2.d and 8.41 g TN/m2.d, respectively, without significant difference between the two systems (p > 0.05). Such results are high taking into account that the BOD5/N ratio in the influent was 0.7. Moreover, they are close to the 72% found by [26] in a first seven month-period of study with the same influent and corncob in the SZ, but higher than the 62% obtained in the second seven month -period of study when the biodegradable organic matter provided by the corncob diminished. Thus, these findings corroborate that the release of biodegradable carbon from the corncob placed in the FDZ occurred at a more moderate rate, allowing a more constant supply for the nitrification process. Additionally, it is important to mention that the results obtained in this study were higher than the 3.8 g TN/m2.d reported by [45] in a two-stage VF wetland with an influent concentration of 77.9 mg TN/L and very similar to the removal of 8.25 g TKN/m2.d (influent concentration, 63 mg TKN/L) in a single-stage French VF wetland with 25 cm of saturation when treating raw domestic for a year [46]. In addition, the removal of TN in the PS VF wetlands were higher than 7.78 g TN/m2.d obtained in a HF + HF + VF system with a removal of 58.7%, reported by [47] in a survey about nitrogen elimination rates of different constructed wetland designs; these authors found that in the vast majority of the systems with a variety of configurations, TN removal was very low. Furthermore, the obtained mass removal efficiencies were definitively higher that those reported in PS VF wetlands without an internal source of carbon, e.g., 58% found by [17] with 0.2 of SZ and 0.5 of FDZ; 52% reported by [22] with 0.35 m of SZ and 0.45 m of FDZ; 45.8% obtained by [30] with 0.3 m of SZ and 0.4 m of FDZ.
4. Conclusions
The findings in this study corroborate the high capacity of PS VF wetlands, with a lignocellulosic residue as an internal carbon source, for TN removal. According to the results, the removal of nitrogen took place mainly in the FDZ, which suggests a simultaneous nitrification-denitrification process in this zone. Some mechanisms that could explain these results are denitrification by AOB and AOA, as well as anoxic denitrification and ANAMMOX. Apparently the main function of the SZ was to create a semi-saturated zone in the lower part of the FDZ that probably enabled the occurrence of denitrification and ANAMMOX; although, the vegetable nature of CC could provoke more water retention and consequently, allowed the creation of micro zones with low-oxygen environment facilitating the growth of anoxic denitrifiers and ANAMMOX microorganisms in other parts of the FDZ. On the other hand, the placement of corncob in both the lower and superior part of the FDZ did not affect the efficiencies of the systems for the removal of organic matter and the nitrification process. However, a more efficient nitrification was registered in SII in which corncob was placed in the upper part of the FDZ. On the other hand, although the internal conditions of the systems were adequate for the denitrification process in the SZ, this process took place at a very limited rate due to the absence of biodegradable organics which were generated and removed in the FDZ. Therefore, future research should be conducted in order to increase the removal of TN by improving denitrification in the SZ. Additionally, due to the crucial role of microorganisms in the performance of PS VF wetlands, future works might assess the influence of different factors on the microbiology of the process for TN, such as organic and nitrogen loading as well as the impact of the presence/absence of plants.
Author Contributions
F.Z. conceived and designed the experiments; A.D.T. performed the experiments, analyzed the data and wrote the paper under the supervision of F.Z.; A.T. contributed with improvements during the review process of the manuscript.
Funding
This research received no external funding.
Acknowledgments
A graduate scholarship for Aarón Del Toro was provided by the National Council for Science and Technology of México. Thanks to the many undergraduate students of the Centro Universitario de la Ciénega for supervising the proper operation of the systems.
Conflicts of Interest
The authors declare no conflicts of interest.
References
- Zhou, X.; Wang, X.; Zhang, H.; Wu, H. Enhanced nitrogen removal of low C/N domestic wastewater using a biochar-amended aerated vertical flow constructed wetland. Bioresour. Technol. 2017, 241, 269–275. [Google Scholar] [CrossRef] [PubMed]
- Luo, Z.; Li, S.; Zhu, X.; Ji, G. Carbon source effects on nitrogen transformation processes and the quantitative molecular mechanism in long-term flooded constructed wetlands. Ecol. Eng. 2018, 123, 19–29. [Google Scholar] [CrossRef]
- Saeed, T.; Sun, G. A comparative study on the removal of nutrients and organic matter in wetland reactors employing organic media. Chem. Eng. J. 2011, 171, 439–447. [Google Scholar] [CrossRef]
- Stieglmeier, M.; Klingl, A.; Alves, R.J.E.; Rittmann, S.K.M.R.; Melcher, M.; Leisch, N.; Schleper, C. Nitrososphaera viennensis gen. nov., sp. nov., an aerobic and mesophilic, ammonia-oxidizing archaeon from soil and a member of the archaeal phylum Thaumarchaeota. Int. J. Syst. Evol. Microbiol. 2014, 64, 2738–2752. [Google Scholar] [CrossRef] [PubMed]
- Pelissari, C.; Guivernau, M.; Vinas, M.; Garcia, J.; Velasco-Galilea, M.; Souza, S.S.; Sezerino, P.H.; Avila, C. Effects of partially saturated conditions on the metabolically active microbiome and on nitrogen removal in vertical subsurface flow constructed wetlands. Water Res. 2018, 141, 185–195. [Google Scholar] [CrossRef] [PubMed]
- Wang, W.; Ding, Y.; Wang, Y.; Song, X.; Ambrose, R.F.; Ullman, J.L. Intensified nitrogen removal in immobilized nitrifier enhanced constructed wetlands with external carbon addition. Bioresour. Technol. 2016, 218, 1261–1265. [Google Scholar] [CrossRef]
- Zhou, X.; Liang, C.; Jia, L.; Feng, L.; Wang, R.; Wu, H. An innovative biochar-amended substrate vertical flow constructed wetland for low C/N wastewater treatment: Impact of influent strengths. Bioresour. Technol. 2018, 247, 844–850. [Google Scholar] [CrossRef]
- Daims, H.; Lebedeva, E.V.; Pjevac, P.; Han, P.; Herbold, C.; Albertsen, M.; Jehmlich, N.; Palatinszky, M.; Vierheilig, J.; Bulaev, A.; et al. Complete nitrification by Nitrospira bacteria. Nature 2015, 528, 504–509. [Google Scholar] [CrossRef]
- Xia, F.; Wang, J.-G.; Zhu, T.; Zou, B.; Rhee, S.-K.; Quan, Z.-X. Ubiquity and Diversity of Complete Ammonia Oxidizers (Comammox). Appl. Environ. Microbiol. 2018, 84, e01390-18. [Google Scholar] [CrossRef]
- Lei, Y.; Wang, Y.; Liu, H.; Xi, C.; Song, L. A novel heterotrophic nitrifying and aerobic denitrifying bacterium, Zobellella taiwanensis DN-7, can remove high-strength ammonium. Appl. Microbiol. Biotechnol. 2016, 100, 4219–4229. [Google Scholar] [CrossRef]
- Sun, Z.; Lv, Y.; Liu, Y.; Ren, R. Removal of nitrogen by heterotrophic nitrification-aerobic denitrification of a novel metal resistant bacterium Cupriavidus sp. S1. Bioresour. Technol. 2016, 220, 142–150. [Google Scholar] [CrossRef] [PubMed]
- Yang, Z.; Yang, L.; Wei, C.; Wu, W.; Zhao, X.; Lu, T. Enhanced nitrogen removal using solid carbon source in constructed wetland with limited aeration. Bioresour. Technol. 2018, 248, 98–103. [Google Scholar] [CrossRef] [PubMed]
- Sun, H.; Yang, Z.; Wei, C.; Wu, W. Nitrogen removal performance and functional genes distribution patterns in solid-phase denitrification sub-surface constructed wetland with micro aeration. Bioresour. Technol. 2018, 263, 223–231. [Google Scholar] [CrossRef] [PubMed]
- Kozlowski, J.A.; Price, J.; Stein, L.Y. Revision of N2O-producing pathways in the ammonia-oxidizing bacterium Nitrosomonas europaea ATCC 19718. Appl. Environ. Microbiol. 2014, 80, 4930–4935. [Google Scholar] [CrossRef] [PubMed]
- Qin, Y.; Cao, Y.; Ren, J.; Wang, T.; Han, B. Effect of glucose on nitrogen removal and microbial community in anammox-denitrification system. Bioresour. Technol. 2017, 244, 33–39. [Google Scholar] [CrossRef] [PubMed]
- Qiao, S.; Yin, X.; Zhou, J.; Wei, L.; Zhong, J. Integrating anammox with the autotrophic denitrification process via electrochemistry technology. Chemosphere 2018, 195, 817–824. [Google Scholar] [CrossRef]
- Pelissari, C.; Avila, C.; Trein, C.M.; Garcia, J.; de Armas, R.D.; Sezerino, P.H. Nitrogen transforming bacteria within a full-scale partially saturated vertical subsurface flow constructed wetland treating urban wastewater. Sci. Total Environ. 2017, 574, 390–399. [Google Scholar] [CrossRef]
- Dotro, G.; Langergraber, G.; Molle, P.; Nivala, J.; Puigagut, J.; Stein, O.; von Sperling, M. Treatment Wetlands; IWA Publishing: London, UK, 2017. [Google Scholar]
- Si, Z.; Song, X.; Wang, Y.; Cao, X.; Zhao, Y.; Wang, B.; Chen, Y.; Arefe, A. Intensified heterotrophic denitrification in constructed wetlands using four solid carbon sources: Denitrification efficiency and bacterial community structure. Bioresour. Technol. 2018, 267, 416–425. [Google Scholar] [CrossRef]
- Al-Saedi, R.; Smettem, K.; Siddique, K.H.M. Nitrogen removal efficiencies and pathways from unsaturated and saturated zones in a laboratory-scale vertical flow constructed wetland. J. Environ. Manag. 2018, 228, 466–474. [Google Scholar] [CrossRef]
- Saeed, T.; Sun, G. Pollutant removals employing unsaturated and partially saturated vertical flow wetlands: A comparative study. Chem. Eng. J. 2017, 325, 332–341. [Google Scholar] [CrossRef]
- Sgroi, M.; Pelissari, C.; Roccaro, P.; Sezerino, P.H.; García, J.; Vagliasindi, F.G.A.; Ávila, C. Removal of organic carbon, nitrogen, emerging contaminants and fluorescing organic matter in different constructed wetland configurations. Chem. Eng. J. 2018, 332, 619–627. [Google Scholar] [CrossRef]
- Wang, S.; Lin, X.; Yu, H.; Wang, Z.; Xia, H.; An, J.; Fan, G. Nitrogen removal from urban stormwater runoff by stepped bioretention systems. Ecol. Eng. 2017, 106, 340–348. [Google Scholar] [CrossRef]
- Li, H.; Chi, Z.; Yan, B.; Cheng, L.; Li, J. An innovative wood-chip-framework substrate used as slow-release carbon source to treat high-strength nitrogen wastewater. J. Environ. Sci. 2017, 51, 275–283. [Google Scholar] [CrossRef]
- Shen, Z.; Zhou, Y.; Liu, J.; Xiao, Y.; Cao, R.; Wu, F. Enhanced removal of nitrate using starch/PCL blends as solid carbon source in a constructed wetland. Bioresour. Technol. 2015, 175, 239–244. [Google Scholar] [CrossRef] [PubMed]
- Martínez, N.B.; Tejeda, A.; Del Toro, A.; Sánchez, M.P.; Zurita, F. Nitrogen removal in pilot-scale partially saturated vertical wetlands with and without an internal source of carbon. Sci. Total Environ. 2018, 645, 524–532. [Google Scholar] [CrossRef]
- Tejeda, A.; Barrera, A.; Zurita, F. Adsorption Capacity of a Volcanic Rock—Used in ConstructedWetlands—For Carbamazepine Removal, and Its Modification with Biofilm Growth. Water 2017, 9, 721. [Google Scholar] [CrossRef]
- Federation, W.E.; Association, A.P.H. Standard Methods for the Examination of Water and Wastewater; American Public Health Association: Washington, DC, USA, 2005. [Google Scholar]
- Metacalf, E.; Eddy, H. Wastewater Engineering-Treatment, Disposal, Reuse; McGraw Hill: New York, NY, USA, 1991. [Google Scholar]
- Huang, M.; Wang, Z.; Qi, R. Enhancement of the complete autotrophic nitrogen removal over nitrite process in a modified single-stage subsurface vertical flow constructed wetland: Effect of saturated zone depth. Bioresour. Technol. 2017, 233, 191–199. [Google Scholar] [CrossRef]
- Vymazal, J.; Kröpfelová, L. Wastewater Treatment in Constructed Wetlands with Horizontal Sub-Surface Flow; Springer Netherlands: Dordrecht, The Netherlands, 2008; Volume 14. [Google Scholar]
- Pellera, F.-M.; Gidarakos, E. Chemical pretreatment of lignocellulosic agroindustrial waste for methane production. Waste Manag. 2018, 71, 689–703. [Google Scholar] [CrossRef]
- Kadlec, R.H.; Wallace, S. Treatment Wetlands; CRC Press: Boca Raton, FL, USA, 2008. [Google Scholar]
- Li, F.; Lu, L.; Zheng, X.; Ngo, H.H.; Liang, S.; Guo, W.; Zhang, X. Enhanced nitrogen removal in constructed wetlands: Effects of dissolved oxygen and step-feeding. Bioresour. Technol. 2014, 169, 395–402. [Google Scholar] [CrossRef]
- Herouvim, E.; Akratos, C.S.; Tekerlekopoulou, A.; Vayenas, D.V. Treatment of olive mill wastewater in pilot-scale vertical flow constructed wetlands. Ecol. Eng. 2011, 37, 931–939. [Google Scholar] [CrossRef]
- Zurita, F.; Del Toro-Sánchez, C.L.; Gutierrez-Lomelí, M.; Rodriguez-Sahagún, A.; Castellanos-Hernandez, O.A.; Ramírez-Martínez, G.; White, J.R. Preliminary study on the potential of arsenic removal by subsurface flow constructed mesocosms. Ecol. Eng. 2012, 47, 101–104. [Google Scholar] [CrossRef]
- Li, B.; Irvin, S. The comparison of alkalinity and ORP as indicators for nitrification and denitrification in a sequencing batch reactor (SBR). Biochem. Eng. J. 2007, 34, 248–255. [Google Scholar] [CrossRef]
- Murphy, C.; Rajabzadeh, A.R.; Weber, K.P.; Nivala, J.; Wallace, S.D.; Cooper, D.J. Nitrification cessation and recovery in an aerated saturated vertical subsurface flow treatment wetland: Field studies and microscale biofilm modeling. Bioresour. Technol. 2016, 209, 125–132. [Google Scholar] [CrossRef] [PubMed]
- Anukam, A.I.; Goso, B.P.; Okoh, O.O.; Mamphweli, S.N. Studies on Characterization of Corn Cob for Application in a Gasification Process for Energy Production. J. Chem. 2017. [Google Scholar] [CrossRef]
- Hu, Y.; He, F.; Ma, L.; Zhang, Y.; Wu, Z. Microbial nitrogen removal pathways in integrated vertical-flow constructed wetland systems. Bioresour. Technol. 2016, 207, 339–345. [Google Scholar] [CrossRef]
- Kumar, M.; Lin, J.G. Co-existence of anammox and denitrification for simultaneous nitrogen and carbon removal--Strategies and issues. J. Hazard. Mater. 2010, 178, 1–9. [Google Scholar] [CrossRef]
- Ji, Q.; Babbin, A.R.; Jayakumar, A.; Oleynik, S.; Ward, B.B. Nitrous oxide production by nitrification and denitrification in the Eastern Tropical South Pacific oxygen minimum zone. Geophys. Res. Lett. 2015, 42, 10755–710764. [Google Scholar] [CrossRef]
- Fu, G.; Huangshen, L.; Guo, Z.; Zhou, Q.; Wu, Z. Effect of plant-based carbon sources on denitrifying microorganisms in a vertical flow constructed wetland. Bioresour. Technol. 2017, 224, 214–221. [Google Scholar] [CrossRef]
- Qiu, S.; Hu, Y.; Liu, R.; Sheng, X.; Chen, L.; Wu, G.; Hu, H.; Zhan, X. Start up of partial nitritation-anammox process using intermittently aerated sequencing batch reactor: Performance and microbial community dynamics. Sci. Total Environ. 2019, 647, 1188–1198. [Google Scholar] [CrossRef]
- Langergraber, G.; Pressl, A.; Leroch, K.; Rohrhofer, R.; Haberl, R. Long-term behaviour of a two-stage CW system regarding nitrogen removal. Water Sci. Technol. 2011, 64, 1137–1141. [Google Scholar] [CrossRef][Green Version]
- Silveira, D.D.; Belli Filho, P.; Philippi, L.S.; Kim, B.; Molle, P. Influence of partial saturation on total nitrogen removal in a single-stage French constructed wetland treating raw domestic wastewater. Ecol. Eng. 2015, 77, 257–264. [Google Scholar] [CrossRef]
- Canga, E.; Dal Santo, S.; Pressl, A.; Borin, M.; Langergraber, G. Comparison of nitrogen elimination rates of different constructed wetland designs. Water Sci. Technol. 2011, 64, 1122–1129. [Google Scholar] [CrossRef] [PubMed]
© 2019 by the authors. Licensee MDPI, Basel, Switzerland. This article is an open access article distributed under the terms and conditions of the Creative Commons Attribution (CC BY) license (http://creativecommons.org/licenses/by/4.0/).