Water Conserving Irrigation Practices, Plant Growth, Seasonal Crop Coefficients, and Nutrition of Container-Grown Woody Ornamentals
Abstract
:1. Introduction
2. Materials and Methods
2.1. Site
2.2. Irrigation System
2.3. Plant Material
2.4. Experimental Design
2.5. Daily Water Use and Irrigation Scheduling, 2009
2.6. Daily Water Use and Irrigation Scheduling, 2010
2.7. Plant Response
2.8. Statistical Analysis
3. Results
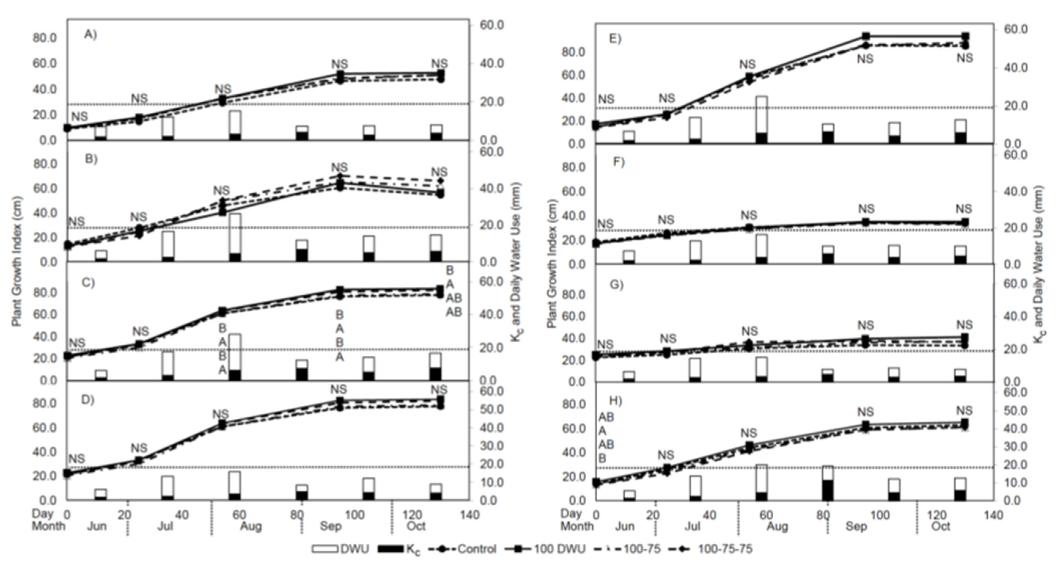
3.1. Irrigation Volume, Daily Water Use, and Plant Growth
3.2. Crop Coefficients
3.3. Leachate Electrical Conductivity and pH
3.4. Foliar Analysis
4. Discussion
5. Conclusions
Author Contributions
Funding
Acknowledgments
Conflicts of Interest
References
- Paudel, K.P.; Pandit, M.; Hinson, R. Irrigation water sources and irrigation application methods used by U.S. plant nursery producers. Water Resour. Res. 2016, 52, 698–712. [Google Scholar] [CrossRef]
- Weatherspoon, D.M.; Harrell, C.C. Evaluation of drip irrigation for container production of woody landscape plants. HortScience 1980, 15, 488–489. [Google Scholar]
- Belayneh, B.E.; Lea-Cox, J.D.; Lichtenberg, E. Costs and benefits of implementing sensor-controlled irrigaoin in a commercial pot-in-pot container nursery. HortTechnology 2013, 23, 760–769. [Google Scholar] [CrossRef]
- Lichtenberg, E.; Majsztrik, J.; Saavoss, M. Profitability of sensor-based irrigation in greenhouse and nursery crops. HortTechnology 2013, 23, 770–774. [Google Scholar] [CrossRef]
- Majsztrik, J.C.; Fernandez, R.T.; Fisher, P.R.; Hitchcock, D.R.; Lea-Cox, J.D.; Owen, J.S.; Oki, L.R.; White, S.A. Water use and treatment in containerized specialty crop production: A review. Water Air Soil Pollut. 2017, 228, 151. [Google Scholar] [CrossRef]
- Pershey, N.A.; Cregg, B.M.; Andresen, J.A.; Fernandez, R.T. Irrigating based on daily water use reduces nursery runoff volume and nutrient load without reducing growth of four conifers. HortScience 2015, 50, 1553–1561. [Google Scholar] [CrossRef]
- Warsaw, A.L.; Fernandez, R.T.; Cregg, B.M.; Andresen, J.A. Container-grown ornamental plant growth and water runoff nutrient content and volume under four irrigation treatments. HortScience 2009, 44, 1573–1580. [Google Scholar]
- Beeson, R.C., Jr.; Arnold, M.A.; Bilderback, T.E.; Bolusky, B.; Chandler, S.; Gramling, H.M.; Lea-Cox, J.D.; Harris, J.R.; Klinger, P.J.; Mathers, H.M.; et al. Strategic vision of container nursery irrigation in the next ten years. J. Environ. Hortic. 2004, 22, 113–115. [Google Scholar]
- Knox, J.W.; Kay, M.G.; Weatherhead, E.K. Water regulation, crop production and agricultural water management: Understanding farmer perspectives on irrigation efficiency. Agr. Water Manag. 2012, 108, 3–8. [Google Scholar] [CrossRef]
- O’Neill, M.P.; Dobrowolski, J.P. Water and agriculture in a changing climate. HortScience 2011, 46, 155–157. [Google Scholar] [CrossRef]
- Million, J.; Yeager, T.H.; Albano, J. Consequences of excessive overhead irrigation on runoff during container production of sweet viburnum. J. Environ. Hortic. 2007, 25, 117–125. [Google Scholar] [CrossRef]
- Tyler, H.H.; Warren, S.L.; Bilderback, T.E. Reduced leaching fractions improve irrigation use efficiency and nutrient efficacy. J. Environ. Hortic. 1996, 14, 199–204. [Google Scholar]
- Warsaw, A.L.; Fernandez, R.T.; Cregg, B.M.; Andresen, J.A. Water conservation, growth, and water use efficiency of container-grown woody ornamentals irrigated based on daily water use. HortScience 2009, 44, 1308–1318. [Google Scholar] [CrossRef]
- Nemali, K.S.; van Iersel, M.W. An automated system for controlling drought stress and irrigation in potted plants. Sci. Hortic. 2006, 110, 292–297. [Google Scholar] [CrossRef]
- Allen, R.G.; Pereira, L.S.; Raes, D.; Smith, M. Crop Evapotranspiration: Guidelines for Computing Crop Water Requirements; Irrigation and Drainage Paper No. 56; FAO: Rome, Italy, 1998. [Google Scholar]
- Niu, G.; Rodriguez, D.S.; Cabrera, R.; McKenney, C.; Mackay, W. Determining water use and crop coefficients of five woody landscape plants. J. Environ. Hortic. 2006, 24, 160–165. [Google Scholar]
- Schuch, U.K.; Burger, D.W. Water use and crop coefficients of woody ornamentals in containers. J. Am. Soc. Hortic. Sci. 1997, 122, 727–734. [Google Scholar] [CrossRef]
- Yeager, T.H. Implementation Guide for Container-Grown Plant Interim Measure; EDIS Document ENH-895; Institute of Food and Agricultural Sciences, University of Florida: Gainesville, FL, USA, 2003. [Google Scholar]
- Michigan State University. Enviro-Weather; Michigan State University: East Lansing, MI, USA, 2011. [Google Scholar]
- Dudek, T.A.; Fernandez, R.T. Conducting a Water Application Uniformity Evaluation for an Overhead Sprinkler Irrigation System in the Nursery; MSUE Factsheet 6–4; Michigan State University: East Lansing, MI, USA, 2012. [Google Scholar]
- Wright, R.D. The pour-through nutrient extraction procedure. HortScience 1986, 21, 227–229. [Google Scholar]
- Horwitz, W. Official Methods of Analysis of AOAC International, 18th ed.; AOAC: Gaithersburg, MD, USA, 2005. [Google Scholar]
- Plank, C.O. Plant Analysis Handbook of Georgia. The University of Georgia. College of Agricultural and Environmental Sciences. Cooperative Extension Service. Available online: http://aesl.ces.uga.edu/publications/plant/contable.asp#floral (accessed on 2 July 2019).
- Burger, D.W.; Hartin, J.S.; Hodel, D.R.; Lukaszewski, T.A.; Tjosvold, S.A.; Wagner, S.A. Water use in California’s ornamental nurseries. Calif. Agric. 1987, 41, 7–8. [Google Scholar]
- Grant, O.M.; Davies, M.J.; Longbottom, H.; Harrison-Murray, R. Evapotranspiration of container ornamental shrubs; modeling crop-specific factors for a diverse range of crops. Irrig. Sci. 2012, 30, 1–12. [Google Scholar] [CrossRef]
- Irmak, S. Crop evapotranspiration and crop coefficients of Viburnum odoratissimum (Ker.-Gawl). App. Eng. Agric. 2005, 21, 371–381. [Google Scholar] [CrossRef]
- Jarrell, W.M.; Whaley, S.J.; Miraftabi, B. Slow-release fertilizer and water management with container-grown Ligustrum texanum. Sci. Hortic. 1983, 19, 177–190. [Google Scholar] [CrossRef]
- Chappell, M.; Dove, S.K.; van Iersel, M.W.; Thomas, P.A.; Ruter, J. Implementation of wireless sensor networks for irrigation control in three container nurseries. HortTechnology 2013, 23, 747–753. [Google Scholar] [CrossRef]
- Majsztrik, J.; Lichtenberg, E.; Saavoss, M. Ornamental grower perceptions of wireless irrigation sensor networks: Results from a national survey. HortTechnology 2013, 23, 775–782. [Google Scholar] [CrossRef]
- Lea-Cox, J.D.; Ristvey, A.G.; Arguedas Rodriguez, F.; Ross, D.S.; Anhalt, J.; Kantor, G. A low-cost multihop wireless sensor network, enabling real-time management of environmental data for the greenhouse and nursery industry. Acta Hortic. 2008, 801, 523–530. [Google Scholar] [CrossRef]
- Lea-Cox, J.D.; Bauerle, W.L.; van Iersel, M.W.; Kantor, G.F.; Bauerle, T.L.; Lichtenberg, E.; King, D.M.; Crawford, L. Advancing wireless sensor networks for irrigation management of ornamental crops: An overview. HortTechnology 2013, 23, 717–724. [Google Scholar] [CrossRef]




| Taxa | Control | 100DWU | 100-75DWU | 100-75-75DWU |
|---|---|---|---|---|
| 2009 | ||||
| Aronia arbutifolia ‘Brilliantissima’ | 134.1 A z | 78.2 B | 68.6 C | 65.4 C |
| Cornus sericea ‘Farrow’ | 134.1 A | 100.5 B | 88.3 C | 84.3 C |
| Hydrangea paniculata ‘Limelight’ | 134.1 A | 124.7 B | 108.8 C | 103.3 C |
| Itea virginica ‘Morton’ | 134.1 A | 69.1 B | 60.5 C | 57.6 C |
| Physocarpus opulifolius ‘Seward’ | 134.1 A | 100.7 B | 88.1 C | 84.1 C |
| Spiraea media ‘Darsnorm’ | 134.1 A | 78.8 B | 69.3 C | 66.1 C |
| Thuja plicata ‘Grovepli’ | 134.1 A | 76.9 B | 67.3 C | 64.1 C |
| Weigela florida ‘Alexandra’ | 134.1 A | 113.5 B | 99.3 B | 94.8 BC |
| 2010 | ||||
| All taxa | 140.1 C | 167.3 B | 209.8 A | 115 D |
| 2009 | Control | 100DWU | 100-75DWU | 100-75-75DWU |
| Average water application (mm.d−1) | 19.0 A z | 9.8 B | 8.6 C | 8.2 C |
| Taxa | Daily Water Use | |||
| Aronia arbutifolia ‘Brilliantissima’ | 10.7 Aa | 8.8 Ac | 9.4 Ac | 10.5 Ac |
| Cornus sericea ‘Farrow’ | 14.9 Aa | 10.0 Bbc | 13.2 ABab | 13.4 ABbc |
| Hydrangea paniculata ‘Limelight’ | 14.0 Aa | 17.3 Aa | 15.9 Aa | 17.1 Aa |
| Itea virginica ‘Morton’ | 12.9 Aa | 9.6 Bbc | 10.6 ABbc | 10.6 ABc |
| Physocarpus opulifolius ‘Seward’ | 13.1 Aa | 13.2 Ab | 13.0 Aab | 14.6 Aab |
| Spiraea media ‘Darsnorm’ | 10.7 Aa | 9.7 Abc | 12.4 Abc | 11.5 Abc |
| Thuja plicata ‘Grovepli’ | 11.0 Aa | 9.0 Ac | 9.0 Ac | 11.7 Abc |
| Weigela florida ‘Alexandra’ | 14.9 Aa | 11.9 Abc | 13.5 Cab | 13.9 Aabc |
| 2010 | ||||
| Average water application (mm.d−1) | 19.1 C | 22.8 B | 28.6 A | 15.4 D |
| Taxa | Daily Water Use | |||
| Hydrangea arborescens ‘Abetwo’ | 12.1 Bab | 8.9 Cbc | 20.5 Aa | 5.0 Db |
| Hydrangea paniculata ‘Limelight’ | 14.1 Ca | 17.4 Ba | 22.0 Aa | 8.8 Da |
| Rhus aromatica ‘Gro-Low’ | 12.4 ABab | 10.9 Bb | 13.7 Ab | 5.6 Cb |
| Spiraea fritschiana ‘Wilma’ | 8.1 Bc | 10.6 Ab | 7.4 Bc | 4.9 Cb |
| Syringa meyeri ‘Palibin’ | 3.6 BCd | 7.0 Acd | 4.8 Bd | 2.7 Ccd |
| Syringa xhyacinthiflora ‘Evangeline’ | 10.3 Abc | 2.2 Cf | 3.4 Bd | 2.1 Cd |
| Viburnum dentatum ‘Ralph Senior’ | 4.4 Bd | 6.6 Ade | 4.1 Bd | 4.5 Bbc |
| Weigela florida ‘Alexandra’ | 9.4 Ac | 4.8 Be | 5.3 Bd | 8.4 Aa |
| Month | Control | 100DWU | 100-75DWU | 100-75-75DWU |
|---|---|---|---|---|
| Aronia arbutifolia ‘Brilliantissima’ | ||||
| June | 2.40 Ab z | 2.80 Aab | 3.14 Aa | 2.16 Ab |
| July | 2.42 Ab | 2.23 Ab | 2.02 Aa | 2.32 Ab |
| August | 4.17 Aa | 4.05 Aa | 3.76 Aa | 3.56 Ab |
| September | 3.78 Aab | 3.09 Aab | 3.39 Aa | 2.76 Ab |
| October | 5.22 Aa | 3.74 Aab | 3.50 Aa | 5.13 Aa |
| Season | 3.60 A | 3.35 A | 3.22 A | 3.18 A |
| Cornus sericea ‘Farrow’ | ||||
| June | 2.58 Ab | 2.32 Abc | 2.34 Ac | 2.12 Ac |
| July | 2.84 Ab | 1.96 Bc | 2.52 ABc | 2.60 ABc |
| August | 5.88 Aa | 4.82 Aa | 6.52 Aa | 4.56 Ab |
| September | 5.28 Aab | 4.64 Aa | 3.95 Abc | 5.71 Aab |
| October | 7.35 Aa | 4.19 Aab | 5.87 Aab | 6.62 Aa |
| Season | 4.80 A | 3.71 A | 4.09 A | 4.12 A |
| Hydrangea paniculata ‘Limelight’ | ||||
| June | 2.12 Ac | 2.02 Ac | 2.42 Ac | 2.11 Ac |
| July | 3.55 Abc | 3.48 Ac | 2.53 Bb | 3.11 ABc |
| August | 5.72 Bab | 8.03 Aa | 7.24 ABa | 6.08 Bb |
| September | 5.92 Aa | 5.83 Ab | 5.84 Aa | 5.78 Ab |
| October | 6.75 Aa | 8.35 Aa | 7.25 Aa | 8.96 Aa |
| Season | 4.92 B | 6.07 A | 5.35 AB | 5.31 AB |
| Itea virginica ‘Morton’ | ||||
| June | 2.00 ABb | 1.42 Bc | 3.05 Aab | 2.69 ABa |
| July | 2.57 Ab | 2.40 Abc | 2.21 Ab | 2.52 Aa |
| August | 4.42 Aab | 4.93 Aa | 3.56 Aab | 3.47 Aa |
| September | 2.61 Ab | 3.65 Aab | 4.23 Aa | 3.15 Aa |
| October | 6.02 Aa | 3.05 Babc | 4.22 ABa | 4.13 ABa |
| Season | 3.71 A | 3.55 A | 3.45 A | 3.21 A |
| Physocarpus opulifolius ‘Seward’ | ||||
| June | 2.43 Ac | 2.79 Ab | 2.25 Ab | 2.24 Ab |
| July | 2.95 Abc | 2.44 Ab | 2.33 Ab | 2.34 Ab |
| August | 5.87 Aa | 6.59 Aa | 5.82 Aa | 5.53 Aa |
| September | 4.59 Aab | 5.20 Aa | 4.44 Aa | 6.35 Aa |
| October | 5.74 Aa | 6.25 Aa | 5.75 Aa | 7.13 Aa |
| Season | 4.56 A | 5.06 A | 4.29 A | 4.77 A |
| Spiraea media ‘Darsnorm’ | ||||
| June | 2.14 Ab | 2.10 Ab | 3.01 Abc | 2.88 Abc |
| July | 2.85 Ab | 2.19 ABb | 2.30 ABc | 1.97 Bc |
| August | 5.05 Aa | 4.39 Aa | 4.89 Aab | 3.49 Abc |
| September | 2.88 Ab | 4.12 Aa | 3.31 Abc | 4.03 Ab |
| October | 5.92 Aa | 3.67 Aab | 5.47 Aa | 6.45 Aa |
| Season | 3.94 A | 3.51 A | 3.92 A | 3.78 A |
| Thuja plicata ‘Grovepli’ | ||||
| June | 2.33 ABb | 2.14 Ba | 2.68 ABab | 3.74 Ab |
| July | 2.72 Aab | 2.59 Aa | 2.25 Ab | 2.79 Ab |
| August | 4.42 Aab | 4.06 Aa | 3.30 Aab | 3.26 Ab |
| September | 5.16 Aa | 4.08 Aa | 2.74 Aab | 3.22 Ab |
| October | 4.99 Aa | 3.25 Aa | 3.87 Aa | 5.62 Aa |
| Season | 3.97 A | 3.39 AB | 3.00 B | 3.97 A |
| Weigela florida ‘Alexandra’ | ||||
| June | 2.40 ABc | 1.64 Bb | 2.27 ABb | 2.88 Acd |
| July | 2.91 Abc | 2.44 ABb | 2.18 Bb | 2.65 ABd |
| August | 4.43 Aab | 4.89 Aa | 3.97 Aab | 4.37 Abc |
| September | 3.48 Babc | 5.24 ABa | 4.37 ABa | 5.38 Ab |
| October | 4.73 Ba | 5.92 ABa | 5.31 ABa | 7.48 Aa |
| Season | 3.69 B | 4.30 AB | 3.65 B | 4.70 A |
| Month | Control | 100DWU | 100-75DWU | 100-75-75DWU |
|---|---|---|---|---|
| Hydrangea arborescens ‘Abetwo’ | ||||
| June | 1.56 ABb z | 1.55 ABb | 1.96 Ac | 0.79 Bb |
| July | 3.69 Aa | 2.26 Bb | 4.73 Ab | 1.92 Bab |
| August | 5.07 Ba | 3.83 BCa | 7.83 Aa | 2.92 Ca |
| September | 4.82 Ba | 4.00 BCa | 6.90 Aa | 2.94 Ca |
| October | 4.09 Ba | 4.25 Ba | 6.24 Aab | 2.39 Cab |
| Season | 4.24 B | 3.51 C | 6.09 A | 2.51 D |
| Hydrangea paniculata ‘Limelight’ | ||||
| June | 1.91 ABb | 2.08 ABb | 2.70 Ab | 1.27 Bb |
| July | 3.94 Ba | 5.13 ABa | 6.67 Aa | 3.81 Ba |
| August | 4.79 Ba | 6.82 Aa | 7.92 Aa | 5.03 Ba |
| September | 4.99 ABa | 6.14 ABa | 6.89 Aa | 4.58 Ba |
| October | 4.71 ABa 82 AB | 4.90 ABa | 6.21 Aa | 3.51 Bab |
| Season | 4.41 C | 5.46 B | 6.64 A | 4.04 C |
| Rhus aromatica ‘Grow-low’ | ||||
| June | 2.26 Ac | 1.96 ABb | 1.99 ABc | 0.95 Bb |
| July | 4.67 Aab | 3.66 ABa | 4.90 Aab | 2.38 Bab |
| August | 5.67 Aa | 4.67 ABa | 5.66 Aa | 3.76 Ba |
| September | 4.50 ABab | 4.43 ABa | 4.85 Aab | 3.24 Ba |
| October | 2.27 ABc | 3.69 Aa | 3.82 Ab | 2.49 Bab |
| Season | 4.21 A | 3.98 A | 4.63 A | 2.87 B |
| Spiraea fritschiana ‘Wilma’ | ||||
| June | 1.94 Ab | 1.84 Ac | 1.42 ABb | 0.58 Bc |
| July | 3.83 Aa | 3.92 Aab | 3.19 Aa | 1.82 Bab |
| August | 2.45 Bab | 4.87 Aa | 3.58 Ba | 2.38 Ba |
| September | 3.00 Bab | 4.46 Aa | 2.44 Bab | 1.80 Bab |
| October | 2.24 Ab | 2.44 Abc | 1.85 ABb | 1.21 Bbc |
| Season | 2.76 B | 3.74 A | 2.70 B | 1.71 C |
| Syringa meyeri ‘Palibin’ | ||||
| June | 1.11 Aab | 1.60 Ac | 0.89 Ab | 1.06 Aa |
| July | 1.77 Aa | 1.72 Abc | 0.98 Bb | 1.39 ABa |
| August | 0.58 Cb | 3.02 Aab | 1.05 BCb | 1.65 Ba |
| September | 1.95 Aa | 3.15 Aa | 1.97 Aa | 2.08 Aa |
| October | 1.69 Bab | 3.02 Aab | 1.54 Bab | 2.34 ABa |
| Season | 1.45 BC | 2.67 A | 1.31 C | 1.83 B |
| Syringa xhyacinthiflora ‘Evangeline’ | ||||
| June | 2.02 Ab | 0.81 Ba | 1.06 Ba | 1.01 Ba |
| July | 3.43 Aab | 0.82 Ba | 1.25 Ba | 1.20 Ba |
| August | 3.53 Aab | 0.86 Ba | 1.24 Ba | 0.92 Ba |
| September | 3.91 Aab | 0.92 Ba | 1.39 Ba | 0.82 Ba |
| October | 4.50 Aa | 1.07 Ba | 1.49 Ba | 1.19 Ba |
| Season | 3.76 A | 0.92 B | 1.33 B | 1.03 B |
| Viburnum dentatum ‘Ralph Senior’ | ||||
| June | 0.98 Ab | 1.43 Ab | 0.74 Ac | 1.56 Aa |
| July | 1.41 Bb | 1.74 Bb | 1.24 Bbc | 2.39 Aa |
| August | 2.20 Aa | 2.23 Aab | 1.73 Aab | 2.00 Aa |
| September | 2.10 Aa | 2.72 Aab | 2.16 Aa | 2.40 Aa |
| October | 2.23 Ba | 3.52 Aa | 1.87 Bab | 2.44 Ba |
| Season | 1.96 BC | 2.50 A | 1.69 C | 2.26 AB |
| Weigela florida ‘Alexandra’ | ||||
| June | 1.45 Ac | 0.83 Ac | 1.09 Ab | 1.47 Ab |
| July | 2.75 Abc | 1.33 Bbc | 1.78 Bab | 2.78 Aab |
| August | 4.53 Aa | 2.33 Bab | 2.18 Ba | 4.62 Aa |
| September | 4.14 Aab | 2.72 BCa | 2.35 Ca | 3.90 ABa |
| October | 3.93 Aab | 1.91 Babc | 2.21 Ba | 3.38 Aab |
| Season | 3.69 A | 1.99 B | 2.08 B | 3.57 A |
| Foliar Analysis | ||||
|---|---|---|---|---|
| Controlz | 100DWU | 100-75DWU | 100-75-75DWU | |
| Hydrangea paniculata ‘Limelight’ | ||||
| Day 58 | ||||
| N (%) | 2.87 A y | 2.88 A | 2.99 A | 2.96 A |
| P (%) | 0.24 A | 0.29 A | 0.30 A | 0.29 A |
| K (%) | 1.65 A | 2.23 A | 2.07 A | 2.07 A |
| Day 85 | ||||
| N (%) | 2.24 A | 2.35 A | 2.38 A | 2.31 A |
| P (%) | 0.14 B | 0.17 AB | 0.18 A | 0.17 AB |
| K (%) | 0.41 B | 0.65 A | 0.61 AB | 0.67 A |
| Itea virginica ‘Morton’ | ||||
| Day 58 | ||||
| N (%) | 2.50 A | 2.69 A | 2.46 A | 2.65 A |
| P (%) | 0.22 A | 0.22 A | 0.22 A | 0.24 A |
| K (%) | 0.65 A | 0.55 A | 0.58 A | 0.66 A |
| Day 85 | ||||
| N (%) | 2.37 A | 2.74 A | 2.59 A | 2.55 A |
| P (%) | 0.16 B | 0.20 AB | 0.20 AB | 0.21 A |
| K (%) | 0.48 A | 0.53 A | 0.54 A | 0.55 A |
| Physocarpus opulifolius ‘Seward’ | ||||
| Day 58 | ||||
| N (%) | 3.19 A | 3.19 A | 3.19 A | 3.33 A |
| P (%) | 0.31 B | 0.37 A | 0.37 A | 0.39 A |
| K (%) | 1.09 B | 1.46 A | 1.59 A | 1.66 A |
| Day 85 | ||||
| N (%) | 2.15 A | 2.20 A | 2.28 A | 2.28 A |
| P (%) | 0.21 B | 0.23 AB | 0.25 A | 0.24 A |
| K (%) | 0.38 B | 0.41 A | 0.45 A | 0.42 A |
| Spiraea media ‘Darsnorm’ | ||||
| Day 58 | ||||
| N (%) | 2.27 A | 2.38 A | 2.23 A | 2.42 A |
| P (%) | 0.63 A | 0.67 A | 0.66 A | 0.66 A |
| K (%) | 1.26 A | 1.63 A | 1.66 A | 1.64 A |
| Day 85 | ||||
| N (%) | 2.50 A | 2.70 A | 2.63 A | 2.74 A |
| P (%) | 0.72 B | 0.81 AB | 0.87 A | 0.81 AB |
| K (%) | 1.14 B | 1.39 AB | 1.52 A | 1.32 AB |
| Weigela florida ‘Alexandra’ | ||||
| Day 58 | ||||
| N (%) | 2.05 A | 2.12 A | 2.20 A | 2.21 A |
| P (%) | 0.34 A | 0.37 A | 0.38 A | 0.39 A |
| K (%) | 1.91 B | 2.38 A | 2.31 AB | 2.55 A |
| Day 85 | ||||
| N (%) | 2.18 A | 2.02 A | 2.06 A | 2.05 A |
| P (%) | 0.30 A | 0.35 A | 0.38 A | 0.40 A |
| K (%) | 0.98 A | 1.18 A | 1.11 A | 1.21 A |
| Foliar Analysis | ||||
|---|---|---|---|---|
| Controlz | 100DWU | 100-75DWU | 100-75-75DWU | |
| Hydrangea arborescens ‘Abetwo’ | ||||
| Day 36 | ||||
| N (%) | 2.69 Ay | 2.73 A | 2.72 A | 2.60 A |
| P (%) | 0.26 A | 0.32 A | 0.32 A | 0.32 A |
| K (%) | 1.09 A | 1.47 A | 1.46 A | 1.44 A |
| Day 64 | ||||
| N (%) | 1.72 A | 1.58 A | 1.59 A | 1.33 A |
| P (%) | 0.18 A | 0.21 A | 0.20 A | 0.23 A |
| K (%) | 1.09 A | 1.47 A | 1.46 A | 1.44 A |
| Hydrangea paniculata ‘Limelight’ | ||||
| Day 36 | ||||
| N (%) | 2.60 AB | 2.79 A | 2.40 B | 2.52 AB |
| P (%) | 0.25 A | 0.27 A | 0.26 A | 0.29 A |
| K (%) | 1.56 A | 1.68 A | 1.57 A | 1.81 A |
| Day 64 | ||||
| N (%) | 1.72 A | 1.58 A | 1.59 A | 1.33 A |
| P (%) | 0.17 A | 0.16 A | 0.15 A | 0.18 A |
| K (%) | 0.88 A | 0.92 A | 0.74 A | 0.95 A |
| Rhus aromatica ‘Gro-low’ | ||||
| Day 36 | ||||
| N (%) | 1.95 A | 2.02 A | 2.05 A | 1.84 A |
| P (%) | 0.29 A | 0.30 A | 0.30 A | 0.29 A |
| K (%) | 1.84 A | 2.02 A | 2.05 A | 1.84 A |
| Day 64 | ||||
| N (%) | 1.76 A | 1.65 A | 1.79 A | 1.55 A |
| P (%) | 0.20 A | 0.20 A | 0.20 A | 0.19 A |
| K (%) | 0.52 A | 0.72 A | 0.60 A | 0.54 A |
| Spiraea fritschiana ‘Wilma’ | ||||
| Day 36 | ||||
| N (%) | 3.17 A | 3.17 A | 3.00 A | 3.08 A |
| P (%) | 0.47 A | 0.41 A | 0.51 A | 0.43 A |
| K (%) | 1.26 A | 1.12 A | 1.09 A | 1.23 A |
| Day 64 | ||||
| N (%) | 2.81 A | 2.66 A | 2.61 A | 2.51 A |
| P (%) | 0.34 A | 0.33 A | 0.34 A | 0.34 A |
| K (%) | 1.04 A | 1.01 A | 0.88 A | 1.09 A |
| Viburnum dentatum ‘Ralph Senior’ | ||||
| Day 36 | ||||
| N (%) | 2.18 A | 2.23 A | 2.13 A | 2.11 A |
| P (%) | 0.31 A | 0.31 A | 0.32 A | 0.31 A |
| K (%) | 1.61 A | 1.85 A | 1.81 A | 1.93 A |
| Day 64 | ||||
| N (%) | 2.37 A | 2.32 A | 1.80 B | 2.31 A |
| P (%) | 0.31 A | 0.26 A | 0.25 A | 0.29 A |
| K (%) | 1.58 A | 1.45 A | 1.39 A | 1.34 A |
| Weigela florida ‘Alexandra’ | ||||
| Day 36 | ||||
| N (%) | 2.12 A | 1.98 A | 1.82 A | 1.94 A |
| P (%) | 0.37 A | 0.38 A | 0.33 A | 0.39 A |
| K (%) | 1.71 A | 1.91 A | 1.67 A | 1.81 A |
| Day 64 | ||||
| N (%) | 1.89 A | 1.70 A | 1.70 A | 1.69 A |
| P (%) | 0.29 A | 0.29 A | 0.26 A | 0.29 A |
| K (%) | 1.13 A | 1.37 A | 1.19 A | 1.26 A |
© 2019 by the authors. Licensee MDPI, Basel, Switzerland. This article is an open access article distributed under the terms and conditions of the Creative Commons Attribution (CC BY) license (http://creativecommons.org/licenses/by/4.0/).
Share and Cite
Fernandez, R.T.; Pershey, N.A.; Andresen, J.A.; Cregg, B.M. Water Conserving Irrigation Practices, Plant Growth, Seasonal Crop Coefficients, and Nutrition of Container-Grown Woody Ornamentals. Water 2019, 11, 2070. https://doi.org/10.3390/w11102070
Fernandez RT, Pershey NA, Andresen JA, Cregg BM. Water Conserving Irrigation Practices, Plant Growth, Seasonal Crop Coefficients, and Nutrition of Container-Grown Woody Ornamentals. Water. 2019; 11(10):2070. https://doi.org/10.3390/w11102070
Chicago/Turabian StyleFernandez, R. Thomas, Nicholas A. Pershey, Jeffrey A. Andresen, and Bert M. Cregg. 2019. "Water Conserving Irrigation Practices, Plant Growth, Seasonal Crop Coefficients, and Nutrition of Container-Grown Woody Ornamentals" Water 11, no. 10: 2070. https://doi.org/10.3390/w11102070
APA StyleFernandez, R. T., Pershey, N. A., Andresen, J. A., & Cregg, B. M. (2019). Water Conserving Irrigation Practices, Plant Growth, Seasonal Crop Coefficients, and Nutrition of Container-Grown Woody Ornamentals. Water, 11(10), 2070. https://doi.org/10.3390/w11102070

