A Low-Cost Water Quality Monitoring System for the Ayeyarwady River in Myanmar Using a Participatory Approach
Abstract
:1. Introduction
2. Methodology
2.1. The Monitoring Network and the Organisation of Volunteers
2.2. Volunteers Recruitment
2.3. Water Quality Parameters
- Water discharge/level;
- Total suspended solids/turbidity;
- Temperature and pH;
- Electrical conductivity (EC);
- Dissolved oxygen;
- Nitrate, ammonia, and ortho-phosphate; periodically: total N and P.
2.4. Equipment for In Situ Water Quality Measurements and Monthly Lab Measurements
2.5. Water Quality Measurements Using a Mobile Phone Application
2.6. Criteria to Assess the Quality of the Data Collected by the Volunteer
- Completeness is a measure of the actual collected data compared to the originally expected data in the plan of the monitoring network [36]. In our study we define both completeness of volunteer data collections (how often measurements were done) and completeness of gathered data (quantifying the (mal)functioning of the used equipment).
- Accuracy is the degree of agreement between the volunteer measured result and the true or expected result [36].
- Consistency is the data quality dimension in terms of the practices used in collecting the data. It is critical that the data are collected according to the same procedure every time, so that comparisons can be made with the data collected at different times and places or by different people [35]. In our volunteer network, the volunteers were trained by the same person to follow the same procedure of sampling and measurement and to perform the measurement at the same time in order to reach consistency.
3. Results and Analysis of Water Quality Data Collected by Volunteers
3.1. Overall Description of Results
3.2. Analysis of Water Quality Network
3.2.1. Completeness
3.2.2. Accuracy
Quality Control of Automatic App Reading of Field Data
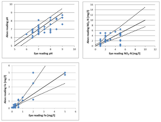
Accuracy of Volunteers’ Results Compared to In Situ Measurements by Lab Technicians
Accuracy of EC and Transparency Measurement of Monthly Grab Samples
3.2.3. Consistency
3.3. Seasonal Water Quality Trends
4. Discussion on Water Quality Data Collected by Volunteers
5. Summary and Conclusions
Supplementary Materials
Author Contributions
Funding
Acknowledgments
Conflicts of Interest
References
- Cooper, C.B.; Dickinson, J.; Phillips, T.; Bonney, R. Citizen Science as a Tool for Conservation in Residential Ecosystems. Ecol. Soc. 2007, 12, 11. [Google Scholar] [CrossRef]
- Tsai, C.C.; Lee, G.; Raab, F.; Norman, G.J.; Sohn, T.; Griswold, W.G.; Patrick, K. Usability and Feasibility of PmEB: A Mobile Phone Application for Monitoring Real Time Caloric Balance. Mob. Netw. Appl. 2007, 12, 173–184. [Google Scholar] [CrossRef]
- Minkman, E.; Rutten, M.M.; Van Der Sanden, M.C.A. Acceptance of Mobile Technology for Citizen Science in Water Resource Management. J. Irrig. Drain. Eng. 2016. [Google Scholar] [CrossRef]
- Davids, J.C.; Rutten, M.M.; Pandey, A.; Devkota, N.; Van Oyen, W.D.; Prajapati, R.; van de Giesen, N. Citizen Science Flow: An Assessment of Simple Streamflow Measurement Methods. Hydrol. Earth Syst. Sci. 2019, 23, 1045–1065. [Google Scholar] [CrossRef]
- Storer, J.J.; Chao, J.T.; Torelli, A.T.; Ostrowski, A.D. KnoWare: A System for Citizen-Based Environmental Monitoring. Inf. Sci. Int. J. Emerg. Transdiscipl. 2016, 19, 125–139. [Google Scholar]
- Zheng, H.; Yang, H.; Long, D.; Jing, H. Monitoring Surface Water Quality Using Social Media in the Context of Citizen Science. Hydrol. Earth Syst. Sci. 2017, 21, 949–961. [Google Scholar] [CrossRef]
- Nicolas, M.; Stevens, M.; Niessen, M.E.; Steels, L. Noise Tube: Measuring and Mapping Noise Pollution with Mobile Phones. In Information Technologies in Environmental Engineering; Athanasiadis, I.N., Rizzoli, A.E., Mitkas, P.A., Gomez, J.M., Eds.; Springer: Berlin/Heidelberg, Germany, 2009; pp. 215–228. [Google Scholar]
- Kotovirta, V.; Toivanen, T.; Tergujeff, R.; Hame, T.; Molinier, M. Citizen Science for Earth Observation: Applications in Environmental Monitoring and Disaster Response. Int. Arch. Photogramm. Remote Sens. Spat. Inf. Sci. 2015, 40, 1221. [Google Scholar] [CrossRef]
- Davids, J.C.; Devkota, N.; Pandey, A.; Prajapati, R.; Ertis, B.A.; Rutten, M.M.; Lyon, S.W.; Bogaard, T.A.; van de Giesen, N. Soda Bottle Science: Citizen Science Monsoon Precipitation Monitoring in Nepal. Front. Earth Sci. 2019. [Google Scholar] [CrossRef]
- Jonoski, A.; Almoradie, A.; Khan, K.; Popescu, I.; Andel, S.J. Google Android Mobile Phone Applications for Water Quality Information Management. J. Hydroinform. 2013, 15, 1137–1149. [Google Scholar] [CrossRef]
- Tauro, F.; Selker, J.; van de Giesen, N.; Abrate, T.; Uijlenhoet, R.; Porfiri, M.; Manfreda, S.; Caylor, K.; Moramarco, T.; Beneveniste, J.; et al. Measurements and Observations in the XXI Century (MOXXI): Innovation and multi-disciplinarity to sense the hydrological cycle. Hydrol. Sci. J. 2017, 63, 169–196. [Google Scholar] [CrossRef]
- Taft, L.; Evers, M. A Review of current and possible future human-water dynamics in Myanmar’s river basins. Hydrol. Earth Syst. Sci. 2016, 20, 4913–4928. [Google Scholar] [CrossRef]
- Grill, G.; Lehner, B.; Thieme, M.; Geenen, B.; Tickner, D.; Antonelli, F.; Babu, S.; Borrelli, P.; Cheng, L.; Crochetiere, H.; et al. Mapping the world’s free-flowing rivers. Nature 2019, 569, 215–221. [Google Scholar] [CrossRef] [PubMed]
- Van der Velden, J. Understanding River Dynamics of the Ayeyarwady River, Myanmar. Master’s Thesis, Faculty of Geosciences, Utrecht University, Utrecht, The Netherlands, 2015. [Google Scholar]
- Drury, L. Hydrogeology of the Dry Zone—Central Myanmar; Australian Water Partnership: Canberra, Australia, 2017. [Google Scholar]
- Hedley, P.J.; Bird, M.I.; Robinson, R.A.J. Evolution of the Irrawaddy delta region since 1850. Geogr. J. 2010, 176, 138–149. [Google Scholar] [CrossRef]
- Piman, T.; Krittasudthacheewa, C.; Apirumanekul, C.; Vasconcelos, V.; Bouckaert, F.; Maung, W.; Aung, M.T.; Ohnmar Htwe, K. Impacts of Changing Landscapes on Water Quality in Chindwin River. In Proceedings of the 3rd International Conference on the Status and Future of the World’s Large Rivers, New Delhi, India, 18–21 April 2017. [Google Scholar]
- SOBA. Ayeyarwady State of the Basin Assessment: Water Pollution Survey. Available online: https://airbm.org/downloads/SOBA%201.3_water_pollution_2017_F.pdf (accessed on 26 August 2019).
- Damania, R.; Desbureaux, S.; Rodella, A.-S.; Russ, J.; Zaveri, E. Quality Unknown, the Invisible Water Crisis; World Bank: Washington, DC, USA, 2019. [Google Scholar]
- Bartram, J.; Balance, R. Water Quality Monitoring a Practical Guide to the Design and Implementation of Freshwater Quality Studies and Monitoring Programmes; E & FN Spon. United Nations Environment Programme, and World Health Organization: London, UK; New York, NY, USA, 1996. [Google Scholar]
- World Meteorological Organization (WMO). Planning of Water Quality Monitoring Systems. In Technical Report Series No.3; WHO: Geneva, Switzerland, 2013. [Google Scholar]
- Chapman, D.V. Water Quality Assessments: A Guide to the Use of Biota, Sediments, and Water in Environmental Monitoring; UNESCO, World Health Organization, and United Nations Environment Programme. E & FN Spon.: London, UK; New York, NY, USA, 1996. [Google Scholar]
- Clary, B.B. Volunteer Management in Community Currency Systems. In Challenges in Volunteer Management; Liao-Troth, M., Ed.; Information Age Publishing, Inc.: Charlotte, NC, USA, 2008; pp. 91–120. [Google Scholar]
- Deutsch, W.G.; Ruiz-Cordova, S.S. Trends, Challenges, and Responses of a 20-Year, Volunteer Water Monitoring Program in Alabama. Ecol. Soc. 2015, 20. [Google Scholar] [CrossRef]
- Wales Council for Voluntary Action (WCVA). Available online: https://www.wcva.org.uk/ (accessed on 26 August 2019).
- Morrison, G.; Fatoki, O.S.; Persson, L.; Ekberg, A. Assessment of the Impact of Point Source Pollusion from the Keiskammahoek Sewage Treatment Plant on the Keiskamma river pH, Electrical Conductivity, Oxygen-Demanding Substance (COD) and Nutrients. Water SA 2001, 27, 475–480. [Google Scholar] [CrossRef]
- Carvalho, F.P.; Villeneuve, J.P.; Cattini, C.; Tolosa, I.; Thuan, D.D.; Nhan, D.D. Agrochemical and Polychlorobyphenyl (PCB) Residues in the Mekong River Delta, Vietnam. Mar. Pollut. Bull. 2008, 56, 1476–1485. [Google Scholar] [CrossRef] [PubMed]
- Cailfornia Waterboards. Technical memorandum. pH Requirements of Freshwater Aquatic Life. 2004. Available online: https://www.waterboards.ca.gov/centralvalley/water_issues/basin_plans/ph_turbidity/ph_turbidity_04phreq.pdf (accessed on 22 September 2019).
- Ekstrom, S.M.; Regnell, O.; Reader, H.E.; Nilsson, P.A.; Lofgren, S.; Kritzberg, E.S. Increasing Concentrations of Iron in Surface Waters as a Consequence of Reducing Conditions in the Catchment Area. J. Geophys. Res. Biogeosci. 2016, 121, 479–493. [Google Scholar] [CrossRef]
- Stockholm Environment Institute (SEI) Asia Centre: Water Quality Monitoring in the Chindwin River Basin. Policy Brief; Bangkok, Thailand. 2007. Available online: https://www.myanmarwaterportal.com/storage/eb/articles/913/WaterQMPB_small_font_15Sep2017.pdf (accessed on 22 September 2019).
- Thazin, L. Assessment of Water Quality from Some Selected Regions of the Ayeyarwady River. Ph.D. Thesis, Department of Chemistry, University of Yangon, Yangon, Myanmar, 1998. [Google Scholar]
- Environmental Protection Agency (EPA) United Stated: Citizen Science: Quality Assurance and Documentation. Available online: https://www.epa.gov/sites/production/files/2019-03/documents/508_csqapphandbook_3_5_19_mmedits.pdf (accessed on 22 September 2019).
- Loperfido, J.V.; Beyer, P.; Just, C.L.; Schnoor, J.L. Uses and Biases of Volunteer Water Quality Data. Environ. Sci. Technol. 2010, 44, 7193–7199. [Google Scholar] [CrossRef]
- Wang, R.Y.; Strong, D.M. Beyond Accuracy: What Data Quality Means to Data Consumers. J. Manag. Inf. Syst. 1996, 12, 5–33. [Google Scholar] [CrossRef]
- Sheppard, A.S.; Terveen, L. Quality is a Verb: The Operationalization of Data Quality in a Citizen Science Community. In Proceedings of the 7th International Symposium on Wikis and Open Collaboration, Mountain View, CA, USA, 3–5 October 2011; pp. 29–38. [Google Scholar]
- Minnesota Pollution Control Agency (MPCA): Volunteer Surface Water Monitoring Guide. 2003. Available online: https://www.pca.state.mn.us/water/resources-volunteers (accessed on 26 August 2019).
- Breuer, L.; Hiery, N.; Kraft, P.; Bach, M.; Aubert, A.H.; Frede, H.G. HydroCrowd: A citizen science snapshot to assess the spatial control of nitrogen solutes in surface waters. Sci. Rep. 2015, 5, 16503. [Google Scholar] [CrossRef]
- Buytaert, W.; Zulkafli, Z.; Grainger, S.; Acosta, L.; Alemie, T.C.; Bastiaensen, J.; DeBièvre, B.; Bhusal, J.; Clark, J.; Dewulf, A.; et al. Citizen science in hydrology and water resources: Opportunities for knowledge generation, ecosystem service management, and sustainable development. Front. Earth Sci. 2014, 2, 26. [Google Scholar] [CrossRef]
- Van Hamel, A. Participatory Monitoring Myanmar: A Research on the Motivation of People in Myanmar to Participate in ‘Participatory Monitoring’ by Making Use of Q Methodology. Bachelor’s Thesis, Delft University of Technology, Delft, The Netherlands, January 2018. [Google Scholar]
- Ko, N.T.; Rutten, M.; Conallin, J. Remote Sensing Analysis of Temperature and Suspended Sediment Concentration in the Ayeyarwady in Myanmar. Glob. J. Eng. Technol. Rev. 2017, 2, 30–47. [Google Scholar]
- Sliwka-Kaszynska, M.; Kot-Wasik, A.; Namiesnik, J. Preservation and Storage of Water Samples. Crit. Rev. Environ. Sci. Technol. 2003, 33, 31–34. [Google Scholar] [CrossRef]
- Zhao, Y.W.; Zhou, L.Q.; Dong, B.Q.; Dai, C. Health assessment for urban rivers based on the pressure, state and response framework—A case study of the Shiwuli River. Ecol. Indic. 2019, 324–331. [Google Scholar] [CrossRef]
- Rutten, M.; Minkman, E.; Van der Sanden, M. How to get and keep citizens in mobile crowd sensing for water management? A review of key success factors and motivational aspects. Wiley Interdiscip. Rev. Water 2017, 4, e1218. [Google Scholar] [CrossRef]









| General Water Quality | Dissolved Salt | Nutrients | Organic Matter |
|---|---|---|---|
| Water discharge/level | Calcium | Nitrate plus Nitrite | Chlorophyll a |
| Total suspended solids | Magnesium | Ammonia | |
| Temperature | Sodium | Total phosphorus, dissolved | |
| pH | Potassium | Total phosphorus, particulate | |
| Electrical conductivity | Chloride | Total phosphorus, unfiltered | |
| Dissolved oxygen | Sulphate | ||
| Alkalinity |
| Weekly (Volunteers) Mobile Phone App | Monthly (in Lab) | Yearly In-situ (Low Water Season) Photometer | 6 hourly by Eureka Sensor (only at Station 2) |
|---|---|---|---|
| Electrical conductivity | Electrical conductivity | Electrical conductivity | Electrical conductivity |
| pH | pH | pH | |
| Nitrate Nitrogen and Nitrite Nitrogen | Nitrate Nitrogen | ||
| Alkalinity | Temperature | ||
| Iron | Iron | ||
| Transparency | Transparency | Transparency | Turbidity |
| Dissolved Oxygen | Dissolved oxygen (%) | ||
| Ammonia | |||
| Fluoride |
© 2019 by the authors. Licensee MDPI, Basel, Switzerland. This article is an open access article distributed under the terms and conditions of the Creative Commons Attribution (CC BY) license (http://creativecommons.org/licenses/by/4.0/).
Share and Cite
Thatoe Nwe Win, T.; Bogaard, T.; van de Giesen, N. A Low-Cost Water Quality Monitoring System for the Ayeyarwady River in Myanmar Using a Participatory Approach. Water 2019, 11, 1984. https://doi.org/10.3390/w11101984
Thatoe Nwe Win T, Bogaard T, van de Giesen N. A Low-Cost Water Quality Monitoring System for the Ayeyarwady River in Myanmar Using a Participatory Approach. Water. 2019; 11(10):1984. https://doi.org/10.3390/w11101984
Chicago/Turabian StyleThatoe Nwe Win, Thanda, Thom Bogaard, and Nick van de Giesen. 2019. "A Low-Cost Water Quality Monitoring System for the Ayeyarwady River in Myanmar Using a Participatory Approach" Water 11, no. 10: 1984. https://doi.org/10.3390/w11101984
APA StyleThatoe Nwe Win, T., Bogaard, T., & van de Giesen, N. (2019). A Low-Cost Water Quality Monitoring System for the Ayeyarwady River in Myanmar Using a Participatory Approach. Water, 11(10), 1984. https://doi.org/10.3390/w11101984

