Water Sources of Upland Swamps in Eastern Australia: Implications for System Integrity with Aquifer Interference and a Changing Climate
Abstract
1. Introduction
- (1)
- investigate the structural attributes that may play a role in determining the hydraulic connectivity of THPSS swamp water to local bedrock aquifers (henceforth called groundwater);
- (2)
- identify the extent to which the swamp aquifer (henceforth called swamp water) contributes to downstream surface waters; and
- (3)
- discuss implications of how groundwater interference and climate change disturbances will impact on the water storage capacity of these systems with knock-on effects to other functions such as carbon storage.
2. Regional Setting
2.1. Blue Mountains Study Area and Hydrogeology
2.2. Southern Highlands Study Area and Hydrogeology
3. Materials and Methods
3.1. Swamp Morphometry
3.2. Water Sample Collection
3.2.1. Isotopes
3.2.2. Radon (222Rn)
3.3. Calculating Water Sources
4. Results
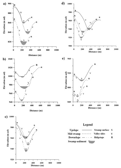
4.1. Regional Differences in Swamp Morphometry
4.2. Swamp Water Sources
4.3. Swamp Water Contributions to Downstream Surface Waters
5. Discussion
5.1. Structural Controls on Water Sources of THPSS
5.2. Sensitivity of THPSS to Groundwater Interference
5.3. Sensitivity of THPSS to a Changing Climate
6. Conclusions
Supplementary Materials
Author Contributions
Funding
Acknowledgments
Conflicts of Interest
References
- Bonn, A.; Allott, T.; Evans, M.; Joosten, H.; Stoneman, R. Peatland Restoration and Ecosystem Services: Science, Policy and Practice; Cambridge University Press: Cambridge, UK, 2016. [Google Scholar]
- Evans, M.G.; Warburton, J. Geomorphology of Upland Peat; Blackwell Publishing: Oxford, UK, 2007. [Google Scholar]
- Cowley, K.L.; Fryirs, K.A.; Hose, G.C. Identifying key sedimentary indicators of geomorphic structure and function of upland swamps in the Blue Mountains for use in condition assessment and monitoring. Catena 2016, 147, 564–577. [Google Scholar] [CrossRef]
- Fryirs, K.; Hose, G. The Spatial Distribution and Physical Characteristics of Temperate Highland Peat Swamps on Sandstone (THPSS). Ecological Management and Restoration. 20 April 2016. Available online: https://site.emrprojectsummaries.org/2016/04/20/the-spatial-distribution-and-physical-characteristics-of-temperate-highland-peat-swamps-on-sandstone-thpss/ (accessed on 18 October 2018).
- Cowley, K.; Looman, A.; Maher, D.T.; Fryirs, K. Geomorphic controls on fluvial carbon exports and emissions from upland swamps in eastern Australia. Sci. Total Environ. 2018, 618, 765–776. [Google Scholar] [CrossRef] [PubMed]
- Belyea, L.R.; Malmer, N. Carbon sequestration in peatland: Patterns and mechanisms of response to climate change. Glob. Chang. Biol. 2004, 10, 1043–1052. [Google Scholar] [CrossRef]
- Charman, D.J.; Beilman, D.W.; Blaauw, M.; Booth, R.K.; Brewer, S.; Chambers, F.M.; Christen, J.A.; Gallego-Sala, A.; Harrison, S.P.; Hughes, P.D.M.; et al. Climate-related changes in peatland carbon accumulation during the last millennium. Biogeosciences 2013, 10, 929–944. [Google Scholar] [CrossRef]
- Cohen, T.J.; Nanson, G.C. Mind the gap: An absence of valley-fill deposits identifying the Holocene hypsithermal period of enhanced flow regime in southeastern Australia. Holocene 2007, 17, 411–418. [Google Scholar] [CrossRef]
- Fryirs, K.; Gough, J.; Hose, G.C. The geomorphic character and hydrological function of an upland swamp, Budderoo plateau, southern highlands, NSW, Australia. Phys. Geogr. 2014, 35, 313–334. [Google Scholar] [CrossRef]
- Pemberton, M. Australian peatlands: A brief consideration of their origin, distribution, natural values and threats. J. R. Soc. West. Aust. 2005, 88, 81–89. [Google Scholar]
- Hope, G.S.; Nanson, R.; Flett, I. The Peat-Forming Mires of the Australian Capital Territory; Territory and Municipal Services; Australian Capital Territory: Canberra, Australia, 2009.
- Bragg, O.M. Hydrology of peat-forming wetlands in Scotland. Sci. Total Environ. 2002, 294, 111–129. [Google Scholar] [CrossRef]
- Bispo, D.F.A.; Silva, A.C.; Christofaro, C.; Silva, M.L.N.; Barbosa, M.S.; Silva, B.P.C.; Barral, U.M.; Fabris, J.D. Hydrology and carbon dynamics of tropical peatlands from Southeast Brazil. Catena 2016, 143, 18–25. [Google Scholar] [CrossRef]
- Hose, G.C.; Bailey, J.; Stumpp, C.; Fryirs, K. Groundwater depth and topography correlate with vegetation structure of an upland peat swamp, Budderoo Plateau, NSW, Australia. Ecohydrology 2014, 7, 1392–1402. [Google Scholar] [CrossRef]
- Cowley, K.L.; Fryirs, K.A.; Hose, G.C. The hydrological function of upland swamps in eastern Australia: The role of geomorphic condition in regulating water storage and discharge. Geomorphology 2018, 310, 29–44. [Google Scholar] [CrossRef]
- Shepherd, J.; Keyzer, V. Ecology of Eucalyptus aquatica (Myrtaceae): A restricted eucalypt confined to montane swamp (fen) habitat in south-eastern Australia. Cunninghamia 2014, 14, 63–76. [Google Scholar] [CrossRef]
- European Commission. Water Framework Directive (2000/60/EC), Technical Report No. 6 Groundwater Dependent Terrestrial Ecosystems 6; European Commission: Brussels, Belgium, 2011.
- Ballard, C.E.; McIntyre, N.; Wheater, H.S.; Holden, J.; Wallage, Z.E. Hydrological modelling of drained blanket peatland. J. Hydrol. 2011, 407, 81–93. [Google Scholar] [CrossRef]
- Wheeler, B.; Shaw, S.; Routh, C. Restoration of Damaged Peatlands; HMSO: London, UK, 1995; Volume 4, pp. 31–33.
- Department of Environment. Temperate Highland Peat Swamps on Sandstone. Available online: http://www.environment.gov.au/node/14561 (accessed on 25 April 2016).
- Holden, J.; Wallage, Z.E.; Lane, S.N.; McDonald, A.T. Water table dynamics in undisturbed, drained and restored blanket peat. J. Hydrol. 2011, 402, 103–114. [Google Scholar] [CrossRef]
- Holden, J.; Evans, M.G.; Burt, T.P.; Horton, M. Impact of land drainage on peatland hydrology. J. Environ. Qual. 2006, 35, 1764–1778. [Google Scholar] [CrossRef]
- Parry, L.E.; Holden, J.; Chapman, P.J. Restoration of blanket peatlands. J. Environ. Manag. 2014, 133, 193–205. [Google Scholar] [CrossRef] [PubMed]
- Fryirs, K.A.; Cowley, K.; Hose, G.C. Intrinsic and extrinsic controls on the geomorphic condition of upland swamps in Eastern NSW. Catena 2016, 137, 100–112. [Google Scholar] [CrossRef]
- Krogh, M. Management of longwall coal mining impacts in Sydney’s southern drinking water catchments. Australas. J. Environ. Manag. 2007, 14, 155–165. [Google Scholar] [CrossRef]
- Jankowski, J. Surface Water-Groundwater Interaction in the Fractured Sandstone Aquifer Impacted by Mining-Induced Subsidence: 2. Hydrogeochemistry. Biul. Pañstw. Inst. Geol. 2010, 441, 43–54. [Google Scholar]
- McLean, W.; Divine, C.; Reece, E.; Jankowski, J.; Ross, J. The Investigation of Groundwater-Surface Water Linkages in the Sandstone Aquifers of the Upper Nepean Catchment. In H2009: 32nd Hydrology and Water Resources Symposium, Newcastle: Adapting to Change; Engineers Australia: Barton, Australia, 2009; pp. 298–309. [Google Scholar]
- Kværner, J.; Snilsberg, P. Groundwater hydrology of boreal peatlands above a bedrock tunnel—Drainage impacts and surface water groundwater interactions. J. Hydrol. 2011, 403, 278–291. [Google Scholar] [CrossRef]
- Rassam, D.W.; Werner, A. Review of Groundwater-Surfacewater Interaction Modelling Approaches and Their Suitability for Australian Conditions; eWater Cooperative Research Centre: Canberra, Australia, 2008. [Google Scholar]
- Walton, R.; Chapman, R.S.; Davis, J.E. Development and application of the wetlands Dynamic Water Budget Model. Wetlands 1996, 16, 347–357. [Google Scholar] [CrossRef]
- Stein, E.D.; Mattson, M.; Fetscher, A.E.; Halama, K.J. Influence of geologic setting on slope wetland hydrodynamics. Wetlands 2004, 24, 244–260. [Google Scholar] [CrossRef]
- Yeh, H.-F.; Lee, C.-H.; Hsu, K.-C.; Chang, P.-H. GIS for the assessment of the groundwater recharge potential zone. Environ. Geol. 2009, 58, 185–195. [Google Scholar] [CrossRef]
- Almendinger, J.E.; Leete, J.H. Regional and local hydrogeology of calcareous fens in the Minnesota River Basin, USA. Wetlands 1998, 18, 184–202. [Google Scholar] [CrossRef]
- Winter, T.C. Relation of streams, lakes, and wetlands to groundwater flow systems. Hydrogeol. J. 1999, 7, 28–45. [Google Scholar] [CrossRef]
- Sevruk, B. Regional dependency of precipitation-altitude relationship in the Swiss Alps. In Climatic Change at High Elevation Sites; Springer: New York, NY, USA, 1997; pp. 123–137. [Google Scholar]
- Fowler, D.; Cape, J.N.; Leith, I.D.; Choularton, T.W.; Gay, M.J.; Jones, A. The influence of altitude on rainfall composition at great dun fell. Atmos. Environ. 1988, 22, 1355–1362. [Google Scholar] [CrossRef]
- Brunsdon, C.; McClatchey, J.; Unwin, D.J. Spatial variations in the average rainfall-altitude relationship in Great Britain: An approach using geographically weighted regression. Int. J. Climatol. 2001, 21, 455–466. [Google Scholar] [CrossRef]
- Wassen, M.J.; Barendregt, A.; Palczynski, A.; de Smidt, J.T.; de Mars, H. The Relationship Between Fen Vegetation Gradients, Groundwater Flow and Flooding in an Undrained Valley Mire at Biebrza, Poland. J. Ecol. 1990, 78, 1106–1122. [Google Scholar] [CrossRef]
- Charman, D. Peatlands and Environmental Change; John Wiley & Sons Ltd.: Chichester, UK, 2002. [Google Scholar]
- Taylor, J.A. Peatlands of Great Britain and Ireland. In Ecosystem of the World; Elsevier: Amsterdam, The Netherlands, 1983; pp. 1–46. [Google Scholar]
- Pickett, J. Layers of time: The Blue Mountains and their geology. In Blue Mountains and Their Geology; Alder, J.D., Geological Survey of New South Wales, Eds.; Geological Survey of New South Wales: Sydney, Australia, 1997. [Google Scholar]
- van der Beek, P.; Pulford, A. Cenozoic Landscape Development in the Blue Mountains (SE Australia): Lithological and Tectonic. J. Geol. 2001, 109, 35–56. [Google Scholar] [CrossRef]
- Bureau of Meteorology Climate Data. Available online: http://www.bom.gov.au/jsp/ncc/cdio/weatherData/av?p_nccObsCode=139&p_display_type=dataFile&p_startYear=&p_c=&p_stn_num=063039 (accessed on 7 August 2016).
- Bureau of Meteorology. Monthly Weather Review—Australia July 2015; Bureau of Meteorology: Melbourne, Australia, 2015.
- Van Putten, R.; McQueen, L.B. Blue mountains sewage transfer scheme: A review of tunnelling. Tunn. Undergr. Space Technol. 1994, 9, 215–224. [Google Scholar] [CrossRef]
- Holland, W.N.; Benson, D.H.; McRae, R.H.D. Spatial and temporal variation in a perched headwater valley in the Blue Mountains: Geology, geomorphology, vegetation, soils and hydrology. Proc. Linn. Soc. N. S. W. 1992, 113, 271–295. [Google Scholar]
- Freidman, B.L.; Fryirs, K.A. Rehabilitating Upland Swamps Using Environmental Histories: A Case Study of the Blue Mountains Peat Swamps, Eastern Australia. Geogr. Ann. Ser. A Phys. Geogr. 2015, 97, 337–353. [Google Scholar] [CrossRef]
- Fryirs, K.; Freidman, B.; Williams, R.; Jacobsen, G. Peatlands in eastern Australia? Sedimentology and age structure of Temperate Highland Peat Swamps on Sandstone (THPSS) in the Southern Highlands and Blue Mountains of NSW, Australia. Holocene 2014, 24, 1527–1538. [Google Scholar] [CrossRef]
- Eiland, F.; Klamer, M.; Lind, A.-M.; Leth, M.; Bååth, E. Influence of initial C/N ratio on chemical and microbial composition during long term composting of straw. Microb. Ecol. 2001, 41, 272–280. [Google Scholar] [CrossRef] [PubMed]
- Fryirs, K.A.; Farebrother, W.; Hose, G.C. Understanding the spatial distribution and physical attributes of upland swamps in the Sydney Basin: Building a region-specific geomorphological model as a basis for conservation and management. Aust. Geogr. 2018. [Google Scholar] [CrossRef]
- Gorissen, S.; Mallinson, J.; Greenlees, M.; Shine, R. The impact of fire regimes on populations of an endangered lizard in montane south-eastern Australia. Austral Ecol. 2015, 40, 170–177. [Google Scholar] [CrossRef]
- Burrough, P.A.; Brown, L.; Morris, E.C. Variations in vegetation and soil pattern across the Hawkesbury Sandstone plateau from Barren Grounds to Fitzroy Falls, New South Wales. Aust. J. Ecol. 1977, 2, 137–159. [Google Scholar] [CrossRef]
- Taylor, G.; Eggleton, R.A. Bauxites of the NSW Southern Highlands. Aust. J. Earth Sci. 2015, 62, 341–363. [Google Scholar]
- Sydney Catchment Authority. Priority Groundwater Investigations for Contingency Drought Relief Area 2: Upper Nepean Catchment; Sydney Catchment Authority: Sydney, Australia, July 2005.
- Prosser, I.P.; Melville, M.D. Vegetation communities and the empty pore space of soils as indicators of catchment hydrology. CATENA 1988, 15, 393–405. [Google Scholar] [CrossRef]
- Chambers, T. Stage 2 Drilling and Pilot Testing Program, Upper Nepean—Monitoring Well Installation; 5065RP04; Sydney Catchment Authority: Sydney, Australia, 2006.
- Parsons Brinckerhoff. Hydrochemical and Environmental Isotope Sampling Program—Upper Nepean Groundwater Investigation Sites; Sydney Catchment Authority: Sydney, Australia, April 2006.
- Coplen, T.B.; Herczeg, A.L.; Barnes, C. Isotope Engineering—Using stable isotopes of the water molecule to solve practical problems. In Environmental Tracers in Subsurface Hydrology; Cook, P.G., Herczeg, A.L., Eds.; Kluwer Academic Publishers: Norwell, MA, USA, 2000; pp. 79–110. [Google Scholar]
- Hose, G.C.; Fryirs, K.A.; Bailey, J.; Ashby, N.; White, T.; Stumpp, C. Different depths, different fauna: Habitat influences on the distribution of groundwater invertebrates. (Primary Research Paper). Hydrobiologia 2017, 797, 145–157. [Google Scholar] [CrossRef]
- Kerstel, E.; Gianfrani, L. Advances in laser-based isotope ratio measurements: Selected applications. Appl. Phys. B Lasers Opt. 2008, 92, 439–449. [Google Scholar] [CrossRef]
- Lis, G.; Wassenaar, L.I.; Hendry, M.J. High-Precision Laser Spectroscopy D/H and 18O/16O Measurements of Microliter Natural Water Samples. Anal. Chem. 2008, 80, 287–293. [Google Scholar] [CrossRef]
- Genereux, D.P.; Hemond, H.F.; Mulholland, P.J. Use of radon-222 and calcium as tracers in a three-end-member mixing model for streamflow generation on the West Fork of Walker Branch Watershed. J. Hydrol. 1993, 142, 167–211. [Google Scholar] [CrossRef]
- Bertin, C.; Bourg, A.C.M. Radon-222 and Chloride as Natural Tracers of the Infiltration of River Water into an Alluvial Aquifer in Which There Is Significant River/Groundwater Mixing. Environ. Sci. Technol. 1994, 28, 794–798. [Google Scholar] [CrossRef] [PubMed]
- Cook, P.G.; Wood, C.; White, T.; Simmons, C.T.; Fass, T.; Brunner, P. Groundwater inflow to a shallow, poorly-mixed wetland estimated from a mass balance of radon. J. Hydrol. 2008, 354, 213–226. [Google Scholar] [CrossRef]
- Hoehn, E.; Von Gunten, H.R.; Stauffer, F.; Dracos, T. Radon-222 as a groundwater tracer. A laboratory study. Environ. Sci. Technol. 1992, 26, 734–738. [Google Scholar] [CrossRef]
- Leaney, F.W.; Herczeg, A.L. A rapid field extraction method for determination of radon-222 in natural waters by liquid scintillation counting. Limnol. Oceanogr. Methods 2006, 4, 254–259. [Google Scholar] [CrossRef]
- Santos, I.R.; Eyre, B.D. Radon tracing of groundwater discharge into an Australian estuary surrounded by coastal acid sulphate soils. J. Hydrol. 2011, 396, 246–257. [Google Scholar] [CrossRef]
- Burnett, W.C.; Peterson, R.N.; Santos, I.R.; Hicks, R.W. Use of automated radon measurements for rapid assessment of groundwater flow into Florida streams. J. Hydrol. 2010, 380, 298–304. [Google Scholar] [CrossRef]
- Taylor, J. Introduction to Error Analysis, the Study of Uncertainties in Physical Measurements; University Science Books: New York, NY, USA, 1997. [Google Scholar]
- Carrera, J.; Vázquez-Suñé, E.; Castillo, O.; Sánchez-Vila, X. A methodology to compute mixing ratios with uncertain end-members. Water Resour. Res. 2004, 40, W12101. [Google Scholar] [CrossRef]
- Winter, T.C.; Rosenberry, D.O.; Buso, D.C.; Merk, D.A. Water source to four U.S. wetlands: Implications for wetland management. Wetlands 2001, 21, 462–473. [Google Scholar] [CrossRef]
- Devito, K.J.; Hill, A.; Roulet, N. Groundwater-surface water interactions in headwater forested wetlands of the Canadian Shield. J. Hydrol. 1996, 181, 127–147. [Google Scholar] [CrossRef]
- Cardenas, M.B. Surface water-groundwater interface geomorphology leads to scaling of residence times. Geophys. Res. Lett. 2008, 35, L08402. [Google Scholar] [CrossRef]
- Poole, G.C.; Stanford, J.A.; Running, S.W.; Frissell, C.A. Multiscale geomorphic drivers of groundwater flow paths: Subsurface hydrologic dynamics and hyporheic habitat diversity. J. N. Am. Benthol. Soc. 2006, 25, 288–303. [Google Scholar] [CrossRef]
- Sear, D.; Armitage, P.; Dawson, F. Groundwater dominated rivers. Hydrol. Process. 1999, 13, 255–276. [Google Scholar] [CrossRef]
- Balek, J.; Perry, J.E. Hydrology of seasonally inundated African headwater swamps. J. Hydrol. 1973, 19, 227–249. [Google Scholar] [CrossRef]
- Van Seters, T.E.; Price, J.S. Towards a conceptual model of hydrological change on an abandoned cutover bog, Quebec. Hydrol. Process. 2002, 16, 1965–1981. [Google Scholar] [CrossRef]
- Proulx-McInnis, S.; St-Hilaire, A.; Rousseau, A.N.; Jutras, S.; Carrer, G.; Levrel, G. Seasonal and monthly hydrological budgets of a fen-dominated forested watershed, James Bay region, Quebec. Hydrol. Process. 2013, 27, 1365–1378. [Google Scholar] [CrossRef]
- Parry, L.E.; Charman, D.J. Modelling soil organic carbon distribution in blanket peatlands at a landscape scale. Geoderma 2013, 211–212, 75–84. [Google Scholar] [CrossRef]
- Leifeld, J.; Steffens, M.; Galego-Sala, A. Sensitivity of peatland carbon loss to organic matter quality. Geophys. Res. Lett. 2012, 39, L14704. [Google Scholar] [CrossRef]
- Straková, P.; Penttilä, T.; Laine, J.; Laiho, R. Disentangling direct and indirect effects of water table drawdown on above- and belowground plant litter decomposition: Consequences for accumulation of organic matter in boreal peatlands. Glob. Chang. Biol. 2012, 18, 322–335. [Google Scholar] [CrossRef]
- Danevčič, T.; Mandic-Mulec, I.; Stres, B.; Stopar, D.; Hacin, J. Emissions of CO2, CH4 and N2O from Southern European peatlands. Soil Biol. Biochem. 2010, 42, 1437–1446. [Google Scholar] [CrossRef]
- Ramchunder, S.J.; Brown, L.E.; Holden, J. Catchment-scale peatland restoration benefits stream ecosystem biodiversity. J. Appl. Ecol. 2012, 49, 182–191. [Google Scholar] [CrossRef]
- Murray, B.B.R.; Zeppel, M.J.; Hose, G.C.; Eamus, D. Groundwater-dependent ecosystems in Australia: It’s more than just water for rivers. Ecol. Manag. Restor. 2003, 4, 110–113. [Google Scholar] [CrossRef]
- State of New South Wales. Impacts of Underground Coal Mining on Natural Features in the Southern Coalfield: Strategic Review; NSW Department of Planning: Sydney, Australia, 2008.
- Yang, J.; Liu, J.; Hu, X.; Li, X.; Wang, Y.; Li, H. Effect of water table level on CO2, CH4 and N2O emissions in a freshwater marsh of Northeast China. Soil Biol. Biochem. 2013, 61, 52–60. [Google Scholar] [CrossRef]
- Rooney, R.C.; Bayley, S.E.; Schindler, D.W. Oil sands mining and reclamation cause massive loss of peatland and stored carbon. Proc. Natl. Acad. Sci. USA 2012, 109, 4933–4937. [Google Scholar] [CrossRef] [PubMed]
- Morris, P.J.; Waddington, J.M. Groundwater residence time distributions in peatlands: Implications for peat decomposition and accumulation. Water Resour. Res. 2011, 47, 2511. [Google Scholar] [CrossRef]
- Hare, D.K.; Boutt, D.F.; Clement, W.P.; Hatch, C.E.; Davenport, G.; Hackman, A. Hydrogeological controls on spatial patterns of groundwater discharge in peatlands. Hydrol. Earth Syst. Sci. 2017, 21, 6031–6048. [Google Scholar] [CrossRef]
- Gong, J.; Wang, K.; Kellomäki, S.; Zhang, C.; Martikainen, P.J.; Shurpali, N. Modeling water table changes in boreal peatlands of Finland under changing climate conditions. Ecol. Model. 2012, 244, 65–78. [Google Scholar] [CrossRef]
- Boatman, D.J.; Tomlinson, R.W. The Silver Flowe: I. Some Structural and Hydrological Features of Brishie Bog and Their Bearing on Pool Formation. J. Ecol. 1973, 61, 653–666. [Google Scholar] [CrossRef]
- Campbell, D.I.; Williamson, J.L. Evaporation from a raised peat bog. J. Hydrol. 1997, 193, 142–160. [Google Scholar] [CrossRef]
- Thompson, M.A.; Campbell, D.I.; Spronken-Smith, R.A. Evaporation from natural and modified raised peat bogs in New Zealand. Agric. For. Meteorol. 1999, 95, 85–98. [Google Scholar] [CrossRef]
- Helfer, F.; Lemckert, C.; Zhang, H. Impacts of climate change on temperature and evaporation from a large reservoir in Australia. J. Hydrol. 2012, 475, 365–378. [Google Scholar] [CrossRef]
- IPCC. Climate Change 2007: Synthesis Report. Contribution of Working Groups I, II and III to the Fourth Assessment Report of the Intergovernmental Panel on Climate Change; IPCC: Geneva, Switzerland, 2007; p. 104. [Google Scholar]
- Freeman, C.; Evans, C.D.; Monteith, D.T.; Reynolds, B.; Fenner, N. Export of organic carbon from peat soils. Nature 2001, 412, 785. [Google Scholar] [CrossRef] [PubMed]
- Grover, S.P.P.; Baldock, J.A. Carbon chemistry and mineralization of peat soils from the Australian Alps. Eur. J. Soil Sci. 2012, 63, 129–140. [Google Scholar] [CrossRef]
- Nichols, J.E.; Peteet, D.M.; Moy, C.M.; Castañeda, I.S.; McGeachy, A.; Perez, M. Impacts of climate and vegetation change on carbon accumulation in a south-central Alaskan peatland assessed with novel organic geochemical techniques. Holocene 2014, 24, 1146–1155. [Google Scholar] [CrossRef]
- Jassey, V.E.J.; Chiapusio, G.; Binet, P.; Buttler, A.; Laggoun-Défarge, F.; Delarue, F.; Bernard, N.; Mitchell, E.A.D.; Toussaint, M.-L.; Francez, A.-J.; et al. Above- and belowground linkages in Sphagnum peatland: Climate warming affects plant-microbial interactions. Glob. Chang. Biol. 2013, 19, 811–823. [Google Scholar] [CrossRef]
- NSW Government. State Environmental Planning Policy. (Sydney Drinking Water Catchment); NSW Government: Sydney, Australia, 2011.
- Water NSW; Office of Environment and Heritage. Special Areas Strategic Plan of Management 2015; Water NSW; Office of Environment and Heritage: Sydney, Australia, August 2015.











| Geomorphic Attribute of Swamp | Region | Min | Max | Mean (±SD) | ANOVA p-Value |
|---|---|---|---|---|---|
| Swamp area (m2) | Blue Mountains | 69,468 | 146,179 | 98,792 (±31,946) | 0.3 |
| Southern Highlands | 12,913 | 1,794,440 | 275,337 (±504,070) | ||
| Swamp length (m) | Blue Mountains | 652 | 1,086.6 | 845 (±171) | 0.7 |
| Southern Highlands | 259 | 3373 | 987 (±938) | ||
| Minimum swamp slope (°) | Blue Mountains | 0 | 1.3 | 0.3 (±0.6) | 0 * |
| Southern Highlands | 0.2 | 3.1 | 1.2 (±0.73) | ||
| Mean swamp slope (°) | Blue Mountains | 28 | 45 | 36 (±7) | 0 * |
| Southern Highlands | 2.2 | 7 | 4.5 (±1.5) | ||
| Swamp elongation ratio | Blue Mountains | 0.3 | 0.4 | 0.4 (±0.08) | 0.2 |
| Southern Highlands | 0.3 | 0.6 | 0.4 (±0.1) | ||
| Aspect (°) | Blue Mountains | 114 | 234 | 176 (±51) | 0.3 |
| Southern Highlands | 103 | 292 | 212 (±62) | ||
| Catchment area (m2) | Blue Mountains | 404,568 | 707,840 | 580,168 (±131,493) | 0.4 |
| Southern Highlands | 159,345 | 4,557,040 | 925,632 (±1,332,324) | ||
| Catchment length (m) | Blue Mountains | 1000 | 1393 | 1217 (±171) | 0.7 |
| Southern Highlands | 515 | 3854 | 1410 (±984) | ||
| Min catchment slope (°) | Blue Mountains | 0 | 1.2 | 0.5 (±0.5) | 0.1 |
| Southern Highlands | 0 | 0.4 | 0.06 (±0.13) | ||
| Max catchment slope (°) | Blue Mountains | 18.4 | 33.4 | 25 (±6.2) | 0 * |
| Southern Highlands | 7.4 | 30 | 14 (±6.5) | ||
| Mean catchment slope (°) | Blue Mountains | 5.3 | 10 | 8 (±2) | 0 * |
| Southern Highlands | 1.9 | 6.5 | 4 ± 1.2 | ||
| Catchment slope range | Blue Mountains | 18.4 | 33 | 25 ± 6.3 | 0 * |
| Southern Highlands | 7.1 | 30 | 14 ± 6.6 | ||
| Catchment elongation ratio | Blue Mountains | 0.6 | 0.7 | 0.7 ± 0.05 | 0.6 |
| Southern Highlands | 0.5 | 0.8 | 0.6 ± 0.1 | ||
| Min elevation (m asl) | Blue Mountains | 823 | 946 | 906 ± 52 | 0 * |
| Southern Highlands | 565 | 639 | 594 ± 27 | ||
| Max elevation (m asl) | Blue Mountains | 911 | 1038 | 984 ± 50 | 0 * |
| Southern Highlands | 607 | 789 | 663 ± 60 | ||
| Mean elevation (m asl) | Blue Mountains | 876 | 1,002 | 953 ± 51 | 0 * |
| Southern Highlands | 587 | 671 | 619 ± 27 | ||
| Elevation range (m asl) | Blue Mountains | 64 | 94 | 78 ± 13 | 0.7 |
| Southern Highlands | 19 | 210 | 64 ± 59 |
| Water Source and Storage | Region | Min | Max | Mean (±SD) | ANOVA p-Value |
|---|---|---|---|---|---|
| Groundwater contribution to swamp water (%) | Blue Mountains | 28 | 82 | 51 (±22) | 0 * |
| Southern Highlands | 7 | 14 | 10 (±3) | ||
| Swamp water contribution to downstream surface water (%) | Blue Mountains | 0.6 | 51 | 21 (±20) | 0.2 |
| Southern Highlands | 10 | 92 | 44 (±35) |
| Response | Continuous Predictor | p-Value | R2 | Random Residual |
|---|---|---|---|---|
| Groundwater contribution to swamp water (%) (222Rn mixing model) | Swamp area | 0.3 | 0.1 | |
| Swamp length | 0.3 | 0.1 | ||
| Minimum swamp slope | 0.1 | 0.2 | ||
| Mean swamp slope | 0 * | 0.6 | Yes | |
| Swamp elongation ratio | 1 | 0 | ||
| Aspect | 0 * | 0.5 | Yes | |
| Catchment area | 0.2 | 0.2 | ||
| Catchment length | 0.2 | 0.2 | ||
| Minimum catchment slope | 0 * | 0.5 | No | |
| Maximum catchment slope | 0 * | 0.6 | Yes | |
| Mean catchment slope | 0 * | 0.8 | Yes | |
| Catchment slope range | 0 * | 0.6 | Yes | |
| Catchment elongation | 0 * | 0.8 | Yes | |
| Minimum elevation | 0 * | 0.5 | No | |
| Maximum elevation | 0 * | 0.5 | No | |
| Mean elevation | 0 * | 0.5 | No | |
| Elevation range | 0 * | 0.7 | Yes |
© 2019 by the authors. Licensee MDPI, Basel, Switzerland. This article is an open access article distributed under the terms and conditions of the Creative Commons Attribution (CC BY) license (http://creativecommons.org/licenses/by/4.0/).
Share and Cite
Cowley, K.L.; Fryirs, K.A.; Chisari, R.; Hose, G.C. Water Sources of Upland Swamps in Eastern Australia: Implications for System Integrity with Aquifer Interference and a Changing Climate. Water 2019, 11, 102. https://doi.org/10.3390/w11010102
Cowley KL, Fryirs KA, Chisari R, Hose GC. Water Sources of Upland Swamps in Eastern Australia: Implications for System Integrity with Aquifer Interference and a Changing Climate. Water. 2019; 11(1):102. https://doi.org/10.3390/w11010102
Chicago/Turabian StyleCowley, Kirsten L., Kirstie A. Fryirs, Robert Chisari, and Grant C. Hose. 2019. "Water Sources of Upland Swamps in Eastern Australia: Implications for System Integrity with Aquifer Interference and a Changing Climate" Water 11, no. 1: 102. https://doi.org/10.3390/w11010102
APA StyleCowley, K. L., Fryirs, K. A., Chisari, R., & Hose, G. C. (2019). Water Sources of Upland Swamps in Eastern Australia: Implications for System Integrity with Aquifer Interference and a Changing Climate. Water, 11(1), 102. https://doi.org/10.3390/w11010102

