Soil Moisture, Grass Production and Mesquite Resprout Architecture Following Mesquite Above-Ground Mortality
Abstract
1. Introduction
2. Materials and Methods
2.1. Site Description
2.2. Treatment Description
2.3. Data Collection
2.4. Statistical Analysis
3. Results
3.1. Precipitation
3.2. Soil Moisture
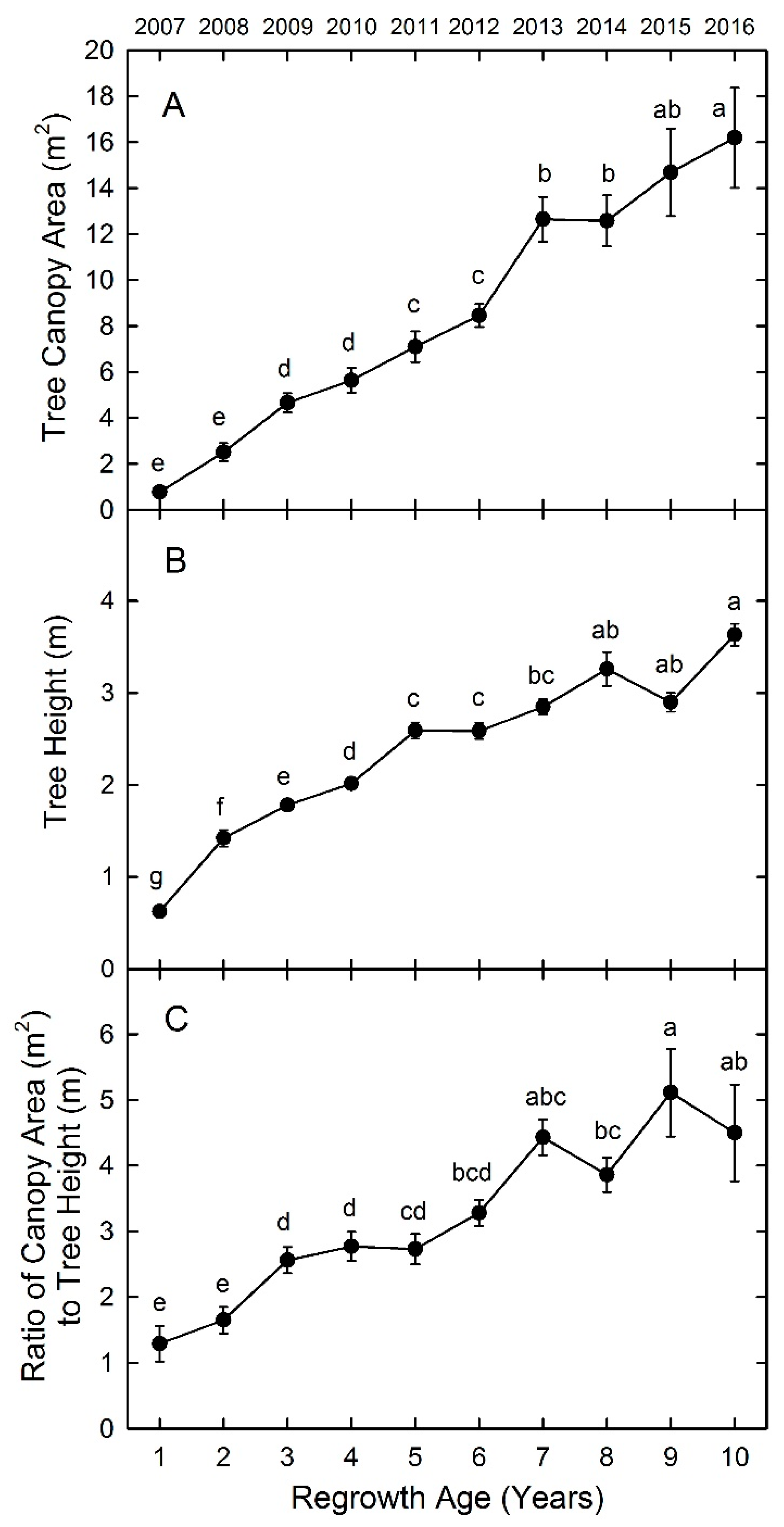
3.3. Mesquite Responses
3.4. Grass Production
4. Discussion
4.1. Soil Moisture
4.2. Relation of Mesquite Regrowth to Precipitation
4.3. Mesquite Regrowth Architecture and Biomass
4.4. Grass Production
5. Conclusions
Author Contributions
Funding
Acknowledgments
Conflicts of Interest
References
- Higgins, S.I.; Bond, W.J.; Trollope, W.S.W. Fire, resprouting and variability: A recipe for grass-tree coexistence in savanna. J. Ecol. 2000, 88, 213–229. [Google Scholar] [CrossRef]
- Bond, W.J.; Midgley, J.J. Ecology of sprouting in woody plants: The persistence niche. Trends Ecol. Evol. 2001, 16, 45–51. [Google Scholar] [CrossRef]
- Sage, R.F. Tansley review: The evolution of C4 photosynthesis. New Phytol. 2004, 161, 341–370. [Google Scholar] [CrossRef]
- Edwards, E.J.; Osborne, C.P.; Stromberg, A.A.E.; Smith, S.A. The origin of C4 grasslands: Integrating evolutionary and ecosystem science. Science 2010, 328, 587–591. [Google Scholar] [CrossRef] [PubMed]
- Bellingham, P.J. Resprouting as a life history strategy in woody plant communities. Oikos 2000, 89, 409–416. [Google Scholar] [CrossRef]
- Van Auken, O.W. Shrub invasions of North American semiarid grasslands. Ann. Rev. Ecol. Syst. 2000, 31, 197–215. [Google Scholar] [CrossRef]
- Mirik, M.; Ansley, R.J. Utility of satellite and aerial images for quantification of canopy cover and infilling rates of the invasive woody species honey mesquite on Rangel. Remote Sens. 2012, 4, 1947–1962. [Google Scholar] [CrossRef]
- Ansley, R.J.; Mirik, M.; Wu, X.B.; Heaton, C.B. Woody cover and grass production in a mesquite savanna: Geospatial relationships and precipitation. Rangel. Ecol. Manag. 2013, 66, 621–633. [Google Scholar] [CrossRef]
- Ansley, R.J.; Pinchak, W.E.; Owens, M.K. Mesquite pod removal by cattle, feral hogs and native herbivores. Rangel. Ecol. Manag. 2017, 70, 469–476. [Google Scholar] [CrossRef]
- Ansley, R.J.; Pinchak, W.E.; Jones, D.L. Mesquite, tobosagrass, and common broomweed responses to summer and winter season fires. Rangel. Ecol. Manag. 2008, 61, 588–597. [Google Scholar] [CrossRef]
- Ansley, R.J.; Kramp, B.A.; Jones, D.L. Honey mesquite (Prosopis glandulosa) seedling responses to seasonal timing of fire and fireline intensity. Rangel. Ecol. Manag. 2015, 68, 194–203. [Google Scholar] [CrossRef]
- McDaniel, K.C.; Brock, J.H.; Haas, R.H. Changes in vegetation and grazing capacity following honey mesquite control. J. Range Manag. 1982, 35, 551–557. [Google Scholar] [CrossRef]
- Bedunah, D.J.; Sosebee, R.E. Forage response of a mesquite-buffalograss community following range rehabilitation. J. Range Manag. 1984, 37, 483–487. [Google Scholar] [CrossRef]
- Ansley, R.J.; Castellano, M.J. Strategies for savanna restoration in the southern Great Plains: Effects of fire and herbicides. Restor. Ecol. 2006, 14, 420–427. [Google Scholar] [CrossRef]
- Ansley, R.J.; Boutton, T.W.; Mirik, M.; Castellano, M.J.; Kramp, B.A. Restoration of C4 grasses with seasonal fires in a C3/C4 grassland invaded by Prosopis glandulosa, a fire-resistant shrub. Appl. Veg. Sci. 2010, 13, 520–530. [Google Scholar] [CrossRef]
- Ansley, R.J.; Teague, W.R.; Pinchak, W.E.; Kramp, B.A.; Barnett, K. Integrated grazing and prescribed fire restoration strategies in a mesquite savanna: II. Fire behavior and mesquite landscape cover responses. Rangel. Ecol. Manag. 2010, 63, 286–297. [Google Scholar] [CrossRef]
- Ansley, R.J.; Mirik, M.; Castellano, M.J. Structural biomass partitioning in regrowth and undisturbed mesquite (Prosopis glandulosa): Implications for bioenergy uses. Glob. Change Biol. Bioenergy 2010, 2, 26–36. [Google Scholar] [CrossRef]
- Miller, D.; Archer, S.R.; Zitzer, S.F.; Longnecker, M.T. Annual rainfall, topoedaphic heterogeneity and growth of an arid land tree (Prosopis glandulosa). J. Arid Environ. 2001, 48, 23–33. [Google Scholar] [CrossRef]
- National Oceanic and Atmospheric Administration—National Climatic Data Center. Climatological Data Annual Summary—Texas; NOAA-NCDC: Ashville, NC, USA, 1997.
- United States Department of Agriculture—Natural Resource Conservation Service (USDA-NRCS). Web Soil Survey. 2014. Available online: http://websoilsurvey.nrcs.usda.gov/app (accessed on 6 March 2014).
- United States Department of Agriculture—Natural Resource Conservation Service (USDA-NRCS). Plants Database. 2014. Available online: http://plants.usda.gov (accessed on 6 March 2014).
- Stanford, R.L.; Ansley, R.J.; Ransom, D. Common broomweed growth characteristics in cleared and woody landscapes. Rangel. Ecol. Manag. 2008, 61, 561–565. [Google Scholar] [CrossRef]
- National Oceanic and Atmospheric Administration—National Climatic Data Center. Annual Climate Normals—Texas; NOAA-NCDC: Asheville, NC, USA, 2006.
- Hoffman, W.A.; Franco, A.C. Comparative growth analysis of tropical forest and savanna woody plants using phylogenetically independent contrasts. J. Ecol. 2003, 91, 475–484. [Google Scholar] [CrossRef]
- Lentner, M.; Bishop, T. Experimental Design and Analysis; Valley Book Company: Blacksburg, VA, USA, 1993; p. 585. [Google Scholar]
- SAS. Statistical Analysis Software Version 9.4 (Computer Program); SAS Institute: Cary, NC, USA, 2009. [Google Scholar]
- Ansley, R.J.; Boutton, T.W.; Jacoby, P.W. Root biomass and distribution patterns in a semi-arid mesquite savanna: Responses to long-term rainfall manipulation. Rangel. Ecol. Manag. 2014, 67, 206–218. [Google Scholar] [CrossRef]
- Molina, A.J.; Latron, J.; Rubio, C.M.; Gallart, F.; Llorens, P. Spatio-temporal variability of soil water content on the local scale in a Mediterranean mountain area (Vallcebre, North Eastern Spain). How different spatio-temporal scales reflect mean soil water content. J. Hydrol. 2014, 516, 182–192. [Google Scholar] [CrossRef]
- Schafer, J.L.; Breslow, B.P.; Hollingsworth, S.N.; Hohmann, M.G.; Hoffmann, W.A. Size-dependent enhancement of water relations during post-fire resprouting. Tree Physiol. 2014, 34, 404–414. [Google Scholar] [CrossRef] [PubMed]
- Cooper, C.E.; Aparecido, L.M.T.; Muir, J.P.; Morgan, C.L.S.; Heilman, J.L.; Moore, G.W. Transpiration in recovering mixed loblolly pine and oak stands following wildfire in the Lost Pines region of Texas. Ecohydrology 2018, in press. [Google Scholar]
- Ansley, R.J.; Dugas, W.A.; Heuer, M.L.; Kramp, B.A. Bowen ratio/energy balance and scaled leaf measurements of CO2 flux over burned Prosopis savanna. Ecol. Appl. 2002, 12, 948–961. [Google Scholar]
- Felker, P.; Clarke, P.R.; Osborn, J.F.; Cannell, G.H. Prosopis pod production—Comparison of North American, South American, Hawaiian, and African germplasm in young plantations. Econ. Bot. 1984, 38, 36–51. [Google Scholar] [CrossRef]
- Lee, S.G.; Felker, P. Influence of water/heat stress on flowering and fruiting of mesquite (Prosopis glandulosa var. glandulosa). J. Arid Environ. 1992, 23, 309–319. [Google Scholar]
- Waring, R.H.; Pitman, G.B. Modifying lodgepole pine stands to change susceptibility to mountain pine beetle attack. Ecology 1985, 66, 889–897. [Google Scholar] [CrossRef]
- Northup, B.K.; Zitzer, S.F.; Archer, S.; McMurtry, C.R.; Boutton, T.W. Above-ground biomass and carbon and nitrogen content of woody species in a subtropical thornscrub parkland. J. Arid Environ. 2005, 62, 23–43. [Google Scholar] [CrossRef]
- Meneaut, J.C.; Cesar, J. Structure and primary productivity of Lamto savannas, Ivory Coast. Ecology 1979, 60, 1197–1210. [Google Scholar] [CrossRef]
- Werner, P.A.; Murphy, P.G. Size-specific biomass allocation and water content of above- and belowground components of three Eucalyptus species in a northern Australian savanna. Aust. J. Bot. 2001, 49, 155–167. [Google Scholar] [CrossRef]
- Singh, G.; Mutha, S.; Bala, N. Effect of tree density on productivity of a Prosopis cineraria agroforestry system in northwestern India. J. Arid Environ. 2007, 70, 152–163. [Google Scholar] [CrossRef]
- McCarron, J.K.; Knapp, A.K. C3 shrub expansion in a C4 grassland: Positive post-fire responses in resources and shoot growth. Amer. J. Bot. 2003, 90, 1496–1501. [Google Scholar] [CrossRef] [PubMed]
- Whittaker, R.H.; Woodwell, G.M. Dimension and production relations of trees and shrubs in the Brookhaven Forest, New York. J. Ecol. 1968, 56, 1–24. [Google Scholar] [CrossRef]
- Whisenant, S.G.; Burzlaff, D.F. Predicting green weight of mesquite (Prosopis glandulosa Torr.). J. Range Manag. 1978, 31, 396–397. [Google Scholar] [CrossRef]
- Felker, P.; Cannell, G.H.; Clark, P.R.; Osborn, J.F.; Nash, P. Biomass production of Prosopis species (mesquite), Leucaena, and other leguminous trees grown under heat/drought stress. For. Sci. 1983, 29, 592–606. [Google Scholar]
- Laxson, J.D.; Schacht, W.H.; Owens, M.K. Above-ground biomass yields at different densities of honey mesquite. J. Range Manag. 1997, 50, 550–554. [Google Scholar] [CrossRef]
- Ansley, R.J.; Pinchak, W.E.; Teague, W.R.; Kramp, B.A.; Jones, D.L.; Jacoby, P.W. Long-term grass yields following chemical control of honey mesquite. J. Range Manag. 2004, 57, 49–57. [Google Scholar] [CrossRef]








| Mesquite Variable | Pre-cleared Woodland 2006 | Cleared Regrowth 2016 | Untreated Woodland 2006 | Untreated Woodland 2016 |
|---|---|---|---|---|
| Canopy cover (%) | 71.1 (10.3) | No data | 66.1 (7.3) | 68.8 (6.6) |
| Density (trees·ha−1) | 578 (97) | 598 1 | 622 (124) | 644 (146) |
| Tree height (m) | 4.33 (0.15) | 3.63 (0.12) 2 | 3.98 (0.12) | 4.48 (0.22) |
| Basal Stems (#·tree−1) | 4.55 (1.29) | 13.11 (1.73) | 4.17 (1.04) | 3.42 (0.76) |
| Wood weight (kg·tree−1) | 37.61 (7.92) | 33.62 (4.17) | 40.65 (6.36) | 64.10 (10.24) |
| Leaf weight as a % of total tree weight | 5 * | 8.93 (0.20) 3 | 5 * | 4 * |
| Leaf weight (kg·tree−1) | 1.98 * | 3.28 (0.35) 3 | 2.14 * | 2.67 * |
| Tree weight (kg·tree−1) | 39.59 * | 36.89 (4.51) 3 | 42.79 * | 66.76 * |
| Growth rate (kg·tree−1·year−1) | 0 | 3.69 (0.45) | 0 | 2.40 |
| Stand leaf weight (mg·ha−1) | 1.14 * | 1.96 * | 1.33 * | 1.72 * |
| Stand biomass (mg·ha−1) | 22.87 * | 22.06 * | 26.62 * | 43.03 * |
| Mesquite Variable | Cleared Regrowth 2011 | Untreated Woodland 2011 * |
|---|---|---|
| Density (trees·ha−1) | 578 * | 622 * |
| Wood weight (kg·tree−1) | 9.60 (1.14) | 52.37 * |
| Leaf weight as a % of total tree weight | 16.95 (0.70) 1 | 4 * |
| Leaf weight (kg·tree−1) | 1.92 (0.21) 1 | 2.19 * |
| Tree weight (kg·tree−1) | 11.51 (1.34) 1 | 54.79 *,2 |
| Stand leaf weight (mg·ha−1) | 1.11 * | 1.36 * |
| Stand biomass (mg·ha−1) | 6.65 * | 34.08 * |
© 2018 by the authors. Licensee MDPI, Basel, Switzerland. This article is an open access article distributed under the terms and conditions of the Creative Commons Attribution (CC BY) license (http://creativecommons.org/licenses/by/4.0/).
Share and Cite
Ansley, R.J.; Zhang, T.; Cooper, C. Soil Moisture, Grass Production and Mesquite Resprout Architecture Following Mesquite Above-Ground Mortality. Water 2018, 10, 1243. https://doi.org/10.3390/w10091243
Ansley RJ, Zhang T, Cooper C. Soil Moisture, Grass Production and Mesquite Resprout Architecture Following Mesquite Above-Ground Mortality. Water. 2018; 10(9):1243. https://doi.org/10.3390/w10091243
Chicago/Turabian StyleAnsley, R. James, Tian Zhang, and Caitlyn Cooper. 2018. "Soil Moisture, Grass Production and Mesquite Resprout Architecture Following Mesquite Above-Ground Mortality" Water 10, no. 9: 1243. https://doi.org/10.3390/w10091243
APA StyleAnsley, R. J., Zhang, T., & Cooper, C. (2018). Soil Moisture, Grass Production and Mesquite Resprout Architecture Following Mesquite Above-Ground Mortality. Water, 10(9), 1243. https://doi.org/10.3390/w10091243
