A Method for Detecting Abrupt Change of Sediment Discharge in the Loess Plateau, China
Abstract
1. Introduction
2. Materials and Methods
2.1. Moving Average Difference Method Combined with Wavelet Analysis
2.2. Other Methods Adopted in the Study
2.2.1. The Ordered Clustering Analysis (OC)
2.2.2. Mann–Kendall Test
2.2.3. Pettitt
2.2.4. Bernaola-Galvan Segmentation Method
2.3. Study Area and Data Set
2.3.1. Synthetic Series
Single Mutation Point Series without Errors
Multi-Mutation Points Series without Errors
Multi-Mutation Points Series with Errors
2.3.2. Real Cases
3. Results
3.1. Synthetic Case
3.1.1. Synthetic Case 1
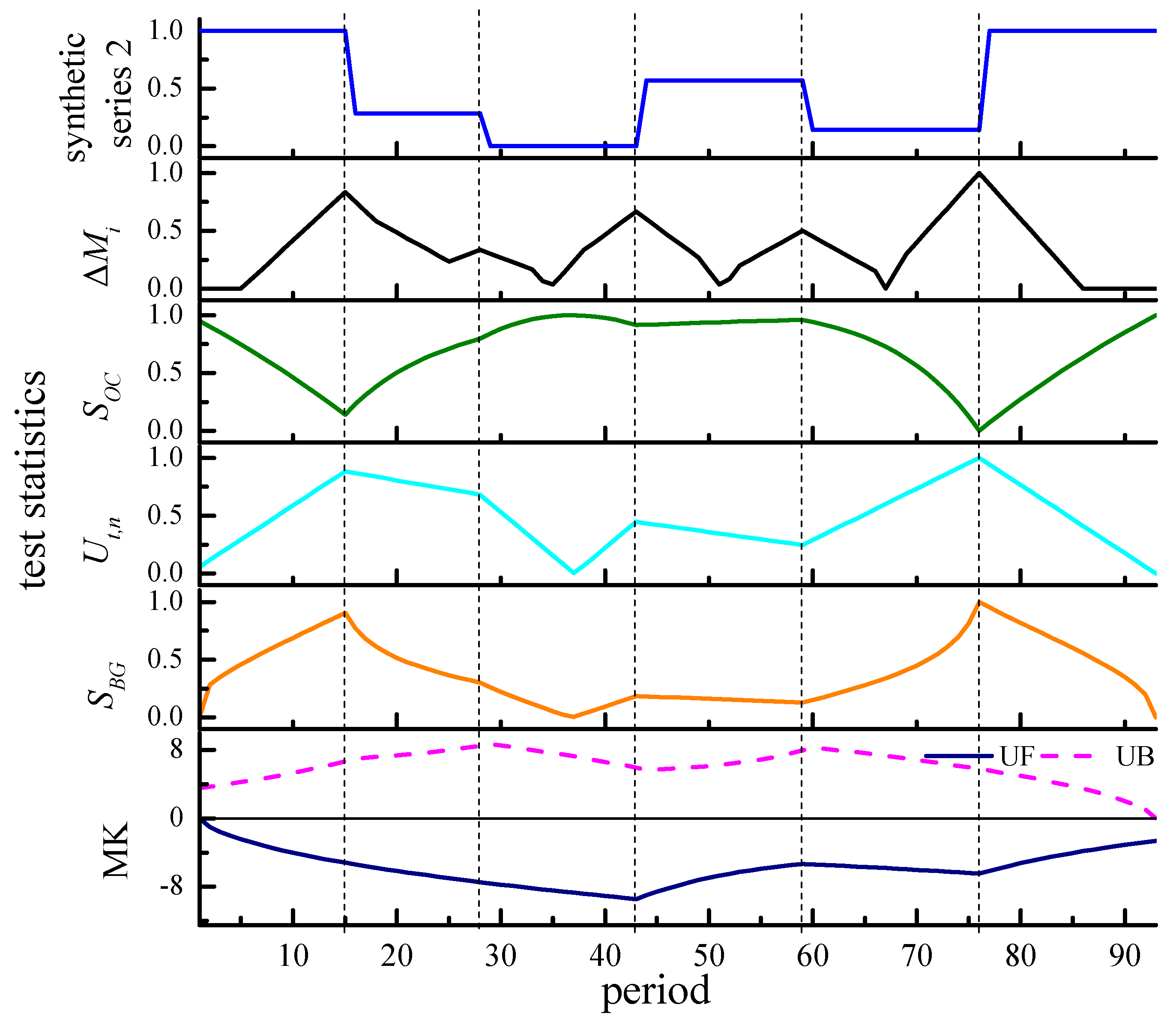
3.1.2. Synthetic Case 2
3.1.3. Synthetic Case 3
3.2. Real Case
4. Discussion
5. Conclusions
Author Contributions
Funding
Conflicts of Interest
References
- Goossens, C.; Berger, A. How to Recognize an Abrupt Climatic Change? Springer: Amsterdam, The Netherlands, 1987. [Google Scholar]
- Peng, G.; Zhang, X.C.; Mu, X.M.; Fei, W.; Rui, L.; Zhang, X.P. Trend and change-point analyses of streamflow and sediment discharge in the Yellow River during 1950–2005. Int. Assoc. Sci. Hydrol. Bull. 2010, 55, 275–285. [Google Scholar]
- Gocic, M.; Trajkovic, S. Analysis of changes in meteorological variables using Mann-Kendall and Sen’s slope estimator statistical tests in Serbia. Glob. Planet. Chang. 2013, 100, 172–182. [Google Scholar] [CrossRef]
- Zhang, X.P.; Zhang, L.; Mcvicar, T.R.; Niel, T.G.V.; Li, L.T.; Li, R.; Yang, Q.K.; Wei, L. Modelling the impact of afforestation on average annual streamflow in the Loess Plateau, China. Hydrol. Process. 2008, 22, 1996–2004. [Google Scholar] [CrossRef]
- Gain, A.K.; Mondal, M.S.; Rahman, R. From Flood Control to Water Management: A Journey of Bangladesh towards Integrated Water Resources Management. Water 2017, 9, 55. [Google Scholar] [CrossRef]
- Xu, F.; Jia, Y.; Niu, C.; Liu, J.; Hao, C. Changes in Annual, Seasonal and Monthly Climate and Its Impacts on Runoff in the Hutuo River Basin, China. Water 2018, 10, 278. [Google Scholar] [CrossRef]
- Bian, H.; Lü, H.; Sadeghi, A.M.; Zhu, Y.; Yu, Z.; Ouyang, F.; Su, J.; Chen, R. Assessment on the Effect of Climate Change on Streamflow in the Source Region of the Yangtze River, China. Water 2017, 9, 70. [Google Scholar] [CrossRef]
- Liu, Q.Q.; He, W.P.; Gu, B. Application of nonlinear dynamical methods in abrupt climate change detection. Acta Phys. Sin. 2015, 64, 179201. [Google Scholar] [CrossRef]
- Rustomji, P.; Zhang, X.P.; Hairsine, P.B.; Zhang, L.; Zhao, J. River sediment load and concentration responses to changes in hydrology and catchment management in the Loess Plateau region of China. Water Resour. Res. 2008, 44, 148–152. [Google Scholar] [CrossRef]
- Mann, H.B. Nonparametric test against trend. Econometrica 1945, 13, 245–259. [Google Scholar] [CrossRef]
- Gerstengarbe, F.; Werner, P. Estimation of the beginning and end of recurrent events within a climate regime. Clim. Res. 1999, 11, 97–107. [Google Scholar] [CrossRef]
- Pettitt, A.N. A Non-Parametric Approach to the Change-Point Problem. J. R. Stat. Soc. Ser. C (Appl. Stat.) 1979, 28, 126–135. [Google Scholar] [CrossRef]
- Wang, S.; Yan, Y.; Li, Y. Spatial and temporal variations of suspended sediment deposition in the alluvial reach of the upper Yellow River from 1952 to 2007. CATENA 2012, 92, 30–37. [Google Scholar] [CrossRef]
- Bernaola-Galvan, P.; Ivanov, P.C.; Amaral, L.A.N.; Stanley, H.E. Scale invariance in the nonstationarity of human heart rate. Phys. Rev. Lett. 2001, 87, 168105. [Google Scholar] [CrossRef] [PubMed]
- GuoLing, F.; ZhiQiang, G.; WenJie, D.; Jianpin, L. Abrupt climate change detection based on heuristic segmentation algorithm. Acta Phys. Sin. 2005, 54, 5494–5499. [Google Scholar]
- Hamed, K.H.; Rao, A.R. A modified Mann-Kendall trend test for autocorrelated data. J. Hydrol. 1998, 204, 182–196. [Google Scholar] [CrossRef]
- Li, L.J.; Zhang, L.; Wang, H.; Wang, J.; Yang, J.W.; Jiang, D.J.; Li, J.Y.; Qin, D.Y. Assessing the impact of climate variability and human activities on streamflow from the Wuding River basin in China. Hydrol. Process. 2007, 21, 3485–3491. [Google Scholar] [CrossRef]
- Jiao, J.Y.; Wang, Z.J.; Zhao, G.J.; Wang, W.Z.; Mu, X.M. Changes in sediment discharge in a sediment-rich region of the Yellow River from 1955 to 2010: Implications for further soil erosion control. J. Arid Land 2014, 6, 540–549. [Google Scholar] [CrossRef]
- Zhai, R.; Tao, F. Contributions of climate change and human activities to runoff change in seven typical catchments across China. Sci. Total. Environ. 2017, 605, 219–229. [Google Scholar] [CrossRef] [PubMed]
- Guo, S.L.; Sun, D.P.; Jiang, E.H.; Li, P. Equilibrium sediment transport in lower Yellow River during later sediment-retaining period of Xiaolangdi Reservoir. Water Sci. Eng. 2015, 8, 78–84. [Google Scholar] [CrossRef]
- Li, J. Effects of urban grass coverage on rainfall-induced runoff in Xi’an loess region in China. Water Sci. Eng. 2017, 10, 320–325. [Google Scholar] [CrossRef]
- Khosravinia, P.; Malekpour, A.; Hosseinzadehdalir, A.; Farsadizadeh, D. Effect of trapezoidal collars as a scour countermeasure around wing-wall abutments. Water Sci. Eng. 2018, 11, 53–60. [Google Scholar] [CrossRef]
- Yang, H.B.; Li, E.C.; Zhao, Y.; Liang, Q.H. Effect of water-sediment regulation and its impact on coastline and suspended sediment concentration in Yellow River Estuary. Water Sci. Eng. 2017, 10, 311–319. [Google Scholar] [CrossRef]
- Xu, Z.X.; Li, L.; Zhao, J. A distributed eco-hydrological model and its application. Water Sci. Eng. 2017, 10, 257–264. [Google Scholar] [CrossRef]
- Li, N.; Wang, L.; Zeng, C.; Wang, D.; Liu, D.; Wu, X. Variations of Runoff and Sediment Load in the Middle and Lower Reaches of the Yangtze River, China (1950–2013). PLoS ONE 2016, 11, e0160154. [Google Scholar] [CrossRef] [PubMed]
- Tian, P.; Mu, X.; Liu, J.; Hu, J.; Gu, C. Impacts of Climate Variability and Human Activities on the Changes of Runoff and Sediment Load in a Catchment of the Loess Plateau, China. Adv. Meteorol. 2016, 2016, 4724067. [Google Scholar] [CrossRef]
- Piao, S.; Ciais, P.; Huang, Y.; Shen, Z.; Peng, S.; Li, J.; Zhou, L.; Liu, H.; Ma, Y.; Ding, Y. The impacts of climate change on water resources and agriculture in China. Nature 2010, 467, 43–51. [Google Scholar] [CrossRef] [PubMed]
- Gao, P.; Mu, X.M.; Wang, F.; Li, R. Changes in streamflow and sediment discharge and the response to human activities in the middle reaches of the Yellow River. Hydrol. Earth Syst. Sci. Discuss. 2010, 7, 347–350. [Google Scholar] [CrossRef]
- Horowitz, A.J. A quarter century of declining suspended sediment fluxes in the Mississippi River and the effect of the 1993 flood. Hydrol. Process. 2010, 24, 13–34. [Google Scholar] [CrossRef]
- Huang, M.; Zhang, L. Hydrological responses to conservation practices in a catchment of the Loess Plateau, China. Hydrol. Process. 2004, 18, 1885–1898. [Google Scholar] [CrossRef]
- Miao, C.; Ni, J.; Borthwick, A.G.L.; Yang, L. A preliminary estimate of human and natural contributions to the changes in water discharge and sediment load in the Yellow River. Glob. Planet. Chang. 2011, 76, 196–205. [Google Scholar] [CrossRef]
- Wang, H.J.; Bi, N.S.; Saito, Y.; Yan, W.; Sun, X.X.; Jia, Z.; Yang, Z.S. Recent changes in sediment delivery by the Huanghe (Yellow River) to the sea: Causes and environmental implications in its estuary. J. Hydrol. 2010, 391, 302–313. [Google Scholar] [CrossRef]
- Wang, S.; Yan, M.; Yan, Y.; Shi, C.; Li, H. Contributions of climate change and human activities to the changes in runoff increment in different sections of the Yellow River. Quat. Int. 2012, 282, 66–77. [Google Scholar] [CrossRef]
- Wang, S.; Fu, B.; Piao, S.; Lü, Y.; Ciais, P.; Feng, X.; Wang, Y. Reduced sediment transport in the Yellow River due to anthropogenic changes. Nat. Geosci. 2015, 9, 38–41. [Google Scholar] [CrossRef]
- Zhang, X.; Li, P.; Li, D. Spatiotemporal Variations of Precipitation in the Southern Part of the Heihe River Basin (China), 1984–2014. Water 2018, 10, 410. [Google Scholar] [CrossRef]
- Fletcher, P.; Sangwine, S.J. The development of the quaternion wavelet transform. Signal Process. 2017, 136, 2–15. [Google Scholar] [CrossRef]
- He, B.; Miao, C.; Wen, S. Trend, abrupt change, and periodicity of streamflow in the mainstream of Yellow River. Environ. Monit. Assess. 2013, 185, 6187–6199. [Google Scholar] [CrossRef] [PubMed]
- Zheng, M.; Yang, J.; Qi, D.; Sun, L.; Cai, Q. Flow–sediment relationship as functions of spatial and temporal scales in hilly areas of the Chinese Loess Plateau. CATENA 2012, 98, 29–40. [Google Scholar] [CrossRef]
- Zuo, D.; Xu, Z.; Yao, W.; Jin, S.; Xiao, P.; Ran, D. Assessing the effects of changes in land use and climate on runoff and sediment yields from a watershed in the Loess Plateau of China. Sci. Total. Environ. 2016, 544, 238–250. [Google Scholar] [CrossRef] [PubMed]
- Yeniguen, K.; Guemues, V.; Bulut, H. Trends in streamflow of the Euphrates basin, Turkey. Proc. Inst. Civ. Eng. Water Manag. 2008, 161, 189–198. [Google Scholar] [CrossRef]
- Banasik, K.; Hejduk, L. Long-term Changes in Runoff from a Small Agricultural Catchment. Soil Water Res. 2012, 7, 64–72. [Google Scholar] [CrossRef]
- Walling, D.E. Human impact on land-ocean sediment transfer by the world’s rivers. Geomorphology 2006, 79, 192–216. [Google Scholar] [CrossRef]










| Stations | Drainage | Longitude (E) | Latitude (N) | Controlled Area (km2) | Length of Data |
|---|---|---|---|---|---|
| Toudaoguai | mainstream of the Yellow River | 111°04′ | 40°15′ | 367,898 | 1964–2015 |
| Wenjiachuan | Kuye River | 110°45′ | 38°29′ | 8515 | 1960–2015 |
| Longmen | mainstream of the Yellow River | 110°35′ | 35°40′ | 497,552 | 1964–2015 |
| Hejin | Fenhe River | 110°48′ | 35°34′ | 39,728 | 1964–2015 |
| Huaxian | Weihe River | 109°46′ | 34°35′ | 106,498 | 1962–2015 |
| Tongguan | mainstream of the Yellow River | 110°18′ | 34°37′ | 682,166 | 1950–2015 |
| Methods | Tested Series | MAD | BG | OC | Pettitt | Mann–Kendall |
|---|---|---|---|---|---|---|
| Change points | 25 | 25 | 25 | 25 | 25 | No |
| Statistic value | 10 | 10 | 1.64 × 109 | 5.55 × 10−13 | 625 | / |
| Methods | Test Series | MAD | BG | OC | Pettitt | Mann–Kendall |
|---|---|---|---|---|---|---|
| Change point 1 | 15 | 15 | 15 | 15 | 15 | No |
| Statistic value 1 | 5 | 5 | 54.6 | 503.2 | 915 | / |
| Change point 2 | 28 | 28 | no | no | no | No |
| Statistic value 2 | 2 | 2 | / | / | / | / |
| Change point 3 | 43 | 43 | no | no | no | No |
| Statistic value 3 | 4 | 4 | / | / | / | / |
| Change point 4 | 59 | 59 | no | no | no | No |
| Statistic value 4 | 3 | 3 | / | / | / | / |
| Change point 5 | 76 | 76 | 76 | 76 | 76 | No |
| Statistic value 5 | 6 | 6 | 60.3 | 468.6 | 1037 | / |
| Methods | Tested Series | MAD | BG | OC | Pettitt | Mann–Kendall |
|---|---|---|---|---|---|---|
| Change point 1 | 15–16 | 15–16 | 15–16 | 15–16 | 17–18 | no |
| Statistic value 1 | 5 | 4.97 | 45 | 663 | 938 | / |
| Change point 2 | 28–29 | 28–29 | no | no | no | no |
| Statistic value 2 | 2 | 1.83 | / | / | / | / |
| Change point 3 | 43–44 | 45–46 | no | no | no | no |
| Statistic value 3 | 4 | 3.2 | / | / | / | / |
| Change point 4 | 59–60 | 59–60 | no | no | no | no |
| Statistic value 4 | 3 | 2.9 | / | / | / | / |
| Change point 5 | 76–77 | 76–77 | 76–77 | 76–77 | 76–77 | 85–86 |
| Statistic value 5 | 6 | 6.3 | 49.2 | 600 | 1006 | / |
| Stations | Abrupt Change | MAD | OC | Pettitt | BG | Mann–Kendall |
|---|---|---|---|---|---|---|
| Toudaoguai | Change point | 1986 | 1985 | 1986 | 1985 | 1985 |
| Statistic value | 0.76 | 13.77 | 561 | 29.44 | / | |
| Longmen | Change point 1 | 1979 | 1979 | 1979 | 1979 | No |
| Statistic value | 5.76 | 711.68 | 468 | 27.44 | / | |
| Change point 2 | 1996 | 1996 | 1996 | 1996 | No | |
| Statistic value | 4.31 | 840.43 | 591 | 29.05 | / | |
| Wenjiachuan | Change point 1 | 1979 | 1979 | 1979 | 1979 | No |
| Statistic value | 0.66 | 27.86 | 460 | 21.94 | / | |
| Change point 2 | 1996 | 1996 | 1996 | 1996 | No | |
| Statistic value | 0.69 | 26.76 | 663 | 29.83 | / | |
| Hejin | Change point 1 | 1979 | 1979 | No | 1979 | No |
| Statistic value | 0.24 | 0.77 | / | 26.08 | / | |
| Change point 2 | 1996 | No | 1996 | No | No | |
| Statistic value | 0.044 | / | 585 | / | / | |
| Huaxian | Change point 1 | 1979 | 1979 | No | No | No |
| Statistic value | 1.75 | 204.85 | / | / | / | |
| Change point 2 | 1996 | 1996 | 1996 | 1996 | No | |
| Statistic value | 1.48 | 204.34 | 503 | 23.96 | / | |
| Change point 3 | 2003 | No | No | 2003 | No | |
| Statistic value | 1.87 | / | / | 24.14 | / |
© 2018 by the authors. Licensee MDPI, Basel, Switzerland. This article is an open access article distributed under the terms and conditions of the Creative Commons Attribution (CC BY) license (http://creativecommons.org/licenses/by/4.0/).
Share and Cite
Shen, D.; Bao, W.; Ni, P. A Method for Detecting Abrupt Change of Sediment Discharge in the Loess Plateau, China. Water 2018, 10, 1183. https://doi.org/10.3390/w10091183
Shen D, Bao W, Ni P. A Method for Detecting Abrupt Change of Sediment Discharge in the Loess Plateau, China. Water. 2018; 10(9):1183. https://doi.org/10.3390/w10091183
Chicago/Turabian StyleShen, Dandan, Weimin Bao, and Peng Ni. 2018. "A Method for Detecting Abrupt Change of Sediment Discharge in the Loess Plateau, China" Water 10, no. 9: 1183. https://doi.org/10.3390/w10091183
APA StyleShen, D., Bao, W., & Ni, P. (2018). A Method for Detecting Abrupt Change of Sediment Discharge in the Loess Plateau, China. Water, 10(9), 1183. https://doi.org/10.3390/w10091183

