Numerical Simulation of Wave Propagation, Breaking, and Setup on Steep Fringing Reefs
Abstract
1. Introduction
2. Governing Equations
2.1. Boussinesq-Type Equations for Rapidly Varying Topography
2.2. Conservation Form of Governing Equations
3. Numerical Simulation Method
3.1. Spatial Discretization
3.2. Calculation of Numerical Flux and Source Terms
3.3. Time Integration
3.4. Wave-Breaking Treatment
3.5. Nested Model
3.6. Boundary Conditions
4. Model Verification
4.1. Monochromatic Wave Transformation over Idealized Fringing Reefs
4.2. Random Wave Transformation Over Steep Fringing Reefs
4.2.1. Model Setup
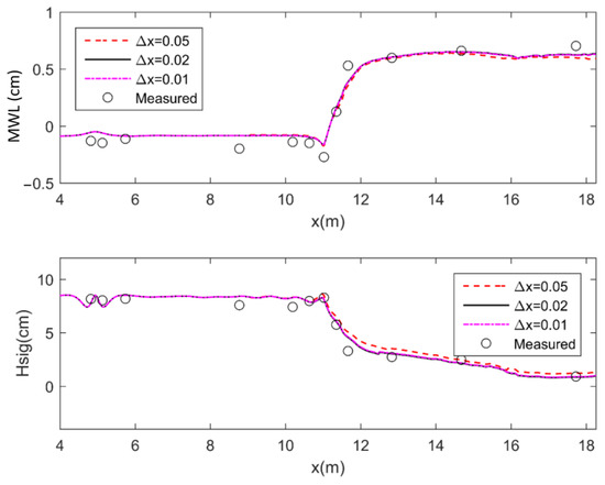
4.2.2. Discussion of the Nested Model
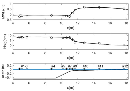
4.2.3. Model Results and Discussion
5. Conclusions
- To better suit the steep terrain of coral reefs, the KLS09 Boussinesq-type equations is employed to establish a numerical wave model, as it is capable of describing rapidly varying bathymetry. A hybrid scheme of finite volume and finite difference is used to discretize equations to enhance stability and computational accuracy on complex terrains such as fringing reefs. When employing the finite volume method in the construction of interface flux, the Minmod–van-Leer mixed limiter is selected as most fitting for complex terrains.
- The nested model is established in accordance with the topographic characteristics of reefs as well as the requirements imposed by the hybrid limiter on meshing. In gentle slope areas, a finite volume method with coarse meshing and lower precision scheme is employed. In steep reef slope areas, as well as on reef flats, a finite volume method is employed with a far more refined meshing to improve both accuracy and time efficiency. This model can capture high-order harmonics with peak accuracy, also confirming the necessity of a nested model.
- An eddy viscosity method, modified to better suit steep terrains, is employed to simulate energy dissipation due to wave breaking. The breaker type is identified before the determination of wave-breaking parameters and piecewise uniform coefficients are used to process space-varying bottom friction.
- The verification of the model is conducted though laboratory experiments involving 1:5 and 1:2.5 reef slopes. Numerical results show that the employment of the nested model does not only save computing time but also retains high computational accuracy. The model can accurately simulate significant wave height and wave setup, especially on reef flats. As the reef slope increases, the simulation precision of mean water level slightly decreases, but remains a relatively high simulation accuracy of wave setup on the reef flat. In addition, the model can accurately simulate the energy transformation from a high-frequency to low-frequency wave during wave breaking with high accuracy. This result suggests the model is capable of predicting the generation of infragravity waves in the wave-breaking process. The numerical model established in this study can be applied in the design and construction of artificial islands to predict the change of wave height and wave setup on fringing reefs with steep slopes.
Author Contributions
Funding
Acknowledgments
Conflicts of Interest
References
- Yao, Y.; Huang, Z.; Monismith, S.G.; Lo, E.Y.M. 1dh boussinesq modeling of wave transformation over fringing reefs. Ocean Eng. 2012, 47, 30–42. [Google Scholar] [CrossRef]
- Roeber, V.; Cheung, K.F. Boussinesq-type model for energetic breaking waves in fringing reef environments. Coast. Eng. 2012, 70, 1–20. [Google Scholar] [CrossRef]
- Metallinos, A.S.; Repousis, E.G.; Memos, C.D. Wave propagation over a submerged porous breakwater with steep slopes. Ocean Eng. 2016, 111, 424–438. [Google Scholar] [CrossRef]
- Gourlay, M. Wave set-up on coral reefs. 2. Set-up on reefs with various profiles. Coast. Eng. 1996, 28, 17–55. [Google Scholar] [CrossRef]
- FDINE. Code of Hydrology for Sea Harbour (jtj 213-98); FDINE: Tianjin, China, 1999. [Google Scholar]
- Kazolea, M.; Filippini, A.G.; Ricchiuto, M.; Abadie, S.; Medina, M.M.; Morichon, D.; Journeau, C.; Marcer, R.; Pons, K.; Le Roy, S. Wave Propagation Breaking, and Overtoping on a 2d Reef: A Comparative Evaluation of Numerical Codes for Tsunami Modelling; Research Report RR-9005; INRIA: Le Chesnay, France, 2016. [Google Scholar]
- Chella, M.A.; Bihs, H.; Myrhaug, D. Characteristics and profile asymmetry properties of waves breaking over an impermeable submerged reef. Coast. Eng. 2015, 100, 26–36. [Google Scholar] [CrossRef]
- Kamath, A.; Chella, M.A.; Bihs, H.; Arntsen, Ø.A. Energy transfer due to shoaling and decomposition of breaking and non-breaking waves over a submerged bar. Eng. Appl. Comput. Fluid Mech. 2017, 11, 450–466. [Google Scholar] [CrossRef]
- Tissier, M.; Bonneton, P.; Marche, F.; Chazel, F.; Lannes, D. A new approach to handle wave breaking in fully non-linear boussinesq models. Coast. Eng. 2012, 67, 54–66. [Google Scholar] [CrossRef]
- Tonelli, M.; Petti, M. Shock-capturing boussinesq model for irregular wave propagation. Coast. Eng. 2012, 61, 8–19. [Google Scholar] [CrossRef]
- Shi, F.; Kirby, J.T.; Harris, J.C.; Geiman, J.D.; Grilli, S.T. A high-order adaptive time-stepping tvd solver for boussinesq modeling of breaking waves and coastal inundation. Ocean Model. 2012, 43–44, 36–51. [Google Scholar] [CrossRef]
- Fang, K.; Zou, Z.; Dong, P.; Liu, Z.; Gui, Q.; Yin, J. An efficient shock capturing algorithm to the extended boussinesq wave equations. Appl. Ocean Res. 2013, 43, 11–20. [Google Scholar] [CrossRef]
- Roeber, V.; Cheung, K.F.; Kobayashi, M.H. Shock-capturing boussinesq-type model for nearshore wave processes. Coast. Eng. 2010, 57, 407–423. [Google Scholar] [CrossRef]
- Kirby, J.T. Boussinesq models and their application to coastal processes across a wide range of scales. J. Waterw. Port Coast. Ocean Eng. 2016, 142, 03116005. [Google Scholar] [CrossRef]
- Brocchini, M. A reasoned overview on boussinesq-type models: The interplay between physics, mathematics and numerics. Proc. Math. Phys. Eng. Sci. 2013, 469, 20130496. [Google Scholar] [CrossRef] [PubMed]
- Erduran, K.S.; Ilic, S.; Kutija, V. Hybrid finite-volume finite-difference scheme for the solution of boussinesq equations. Int. J. Numer. Methods Fluids 2010, 49, 1213–1232. [Google Scholar] [CrossRef]
- Nwogu, O.; Demirbilek, Z. Infragravity wave motions and runup over shallow fringing reefs. J. Waterw. Port Coast. Ocean Eng. 2010, 136, 295–305. [Google Scholar] [CrossRef]
- Su, S.-F.; Ma, G.; Hsu, T.-W. Boussinesq modeling of spatial variability of infragravity waves on fringing reefs. Ocean Eng. 2015, 101, 78–92. [Google Scholar] [CrossRef]
- Fang, K.-Z.; Yin, J.-W.; Liu, Z.-B.; Sun, J.-W.; Zou, Z.-L. Revisiting study on boussinesq modeling of wave transformation over various reef profiles. Water Sci. Eng. 2014, 7, 306–318. [Google Scholar]
- Ding, J.; Tian, C.; Wang, Z.; Ling, H.; Li, Z. Experimental research on wave deformation near the typical island. Chin. J. Hydrodyn. 2015, 30, 194–200. [Google Scholar]
- Kim, G.; Lee, C.; Suh, K.-D. Extended boussinesq equations for rapidly varying topography. Ocean Eng. 2009, 36, 842–851. [Google Scholar] [CrossRef]
- Madsen, P.A.; Sørensen, O.R. A new form of the boussinesq equations with improved linear dispersion characteristics. Part 2. A slowly-varying bathymetry. Coast. Eng. 1992, 18, 183–204. [Google Scholar] [CrossRef]
- Nwogu, O. Alternative form of boussinesq equations for nearshore wave propagation. J. Waterw. Port Coast. Ocean Eng. 1993, 119, 618–638. [Google Scholar] [CrossRef]
- Madsen, P.A.; Fuhrman, D.R.; Wang, B. A boussinesq-type method for fully nonlinear waves interacting with a rapidly varying bathymetry. Coast. Eng. 2006, 53, 487–504. [Google Scholar] [CrossRef]
- Booij, N. A note on the accuracy of the mild-slope equation. Coast. Eng. 1983, 7, 191–203. [Google Scholar] [CrossRef]
- Li, Y.-S.; Zhan, J.-M.; Su, W. Chebyshev finite spectral method for 2-d extended boussinesq equations. J. Hydrodyn. Ser. B 2011, 23, 1–11. [Google Scholar] [CrossRef]
- Kazolea, M.; Delis, A.I. A Well-Balanced Shock-Capturing Hybrid Finite Volume-Finite Difference Numerical Scheme for Extended 1d Boussinesq Models; Elsevier Science Publishers B. V.: London, UK, 2013; pp. 167–186. [Google Scholar]
- Darvishi, E.; Fenton, J.D.; Kouchakzadeh, S. Boussinesq equations for flows over steep slopes and structures. J. Hydraul. Res. 2016, 55, 324–337. [Google Scholar] [CrossRef]
- Calabrese, M.; Buccino, M.; Pasanisi, F. Wave breaking macrofeatures on a submerged rubble mound breakwater. J. Hydro-Environ. Res. 2008, 1, 216–225. [Google Scholar] [CrossRef]
- Zhou, J.G.; Causon, D.M.; Mingham, C.G.; Ingram, D.M. The surface gradient method for the treatment of source terms in the shallow-water equations. J. Comput. Phys. 2001, 168, 1–25. [Google Scholar] [CrossRef]
- Choi, Y.-K.; Seo, S.-N. Wave transformation using modified funwave-tvd numerical model. J. Korean Soc. Coast. Ocean Eng. 2015, 27, 406–418. [Google Scholar] [CrossRef]
- Kennedy, B.; Chen, Q.; Kirby, J.T.; Dalrymple, R.A. Boussinesq modeling of wave transformation, breaking, and runup i: 1d. J. Waterw. Port Coast. Ocean Eng. 2000, 126, 39–47. [Google Scholar] [CrossRef]
- Schäffer, H.A.; Madsen, P.A.; Deigaard, R. A boussinesq model for waves breaking in shallow water. Coast. Eng. 1993, 20, 185–202. [Google Scholar] [CrossRef]
- Bruno, D.; De Serio, F.; Mossa, M. The FUNWAVE model application and its validation using laboratory data. Coastal Eng. 2009, 56, 773–787. [Google Scholar] [CrossRef]
- Tonelli, M.; Petti, M. Hybrid finite volume—Finite difference scheme for 2dh improved boussinesq equations. Coast. Eng. 2009, 56, 609–620. [Google Scholar] [CrossRef]
- Kazolea, M.; Ricchiuto, M. On wave breaking for boussinesq-type models. Ocean Model. 2018, 123, 16–39. [Google Scholar] [CrossRef]
- Chen, Q.; Kirby, J.T.; Dalrymple, R.A.; Kennedy, A.B.; Chawla, A. Boussinesq modeling of wave transformation, breaking, and runup. Ii: 2d. J. Waterw. Port Coast. Ocean Eng. 2000, 126, 48–56. [Google Scholar] [CrossRef]
- Chondros, M.K.; Koutsourelakis, I.G.; Memos, C.D. A boussinesq-type model incorporating random wave-breaking. J. Hydraul. Res. 2011, 49, 529–538. [Google Scholar] [CrossRef]
- Kirby, J.T.; Wei, G.; Chen, Q.; Kennedy, A.B.; Dalrymple, R.A. Funwave 1.0. Fully Nonlinear Boussinesq Wave Model. Documentation and User’s Manual; University of Delaware: Newark, DE, USA, 1998. [Google Scholar]
- Israeli, M.; Orszag, S.A. Approximation of radiation boundary conditions. J. Comput. Phys. 1981, 41, 115–135. [Google Scholar] [CrossRef]
- Wei, G.; Kirby, J.T.; Sinha, A. Generation of waves in boussinesq models using a source function method. Coast. Eng. 1999, 36, 271–299. [Google Scholar] [CrossRef]
- Francesca, D.S.; Michele, M. Experimental study on the hydrodynamics of regular breaking waves. Coastal Eng. 2006, 53, 99–113. [Google Scholar] [CrossRef]
- De Serio, F.; Mossa, M. Numerical simulation of infragravity waves in fringing reefs using a shock-capturing non-hydrostatic model. Ocean Eng. 2014, 85, 54–64. [Google Scholar] [CrossRef]
- De Serio, F.; Mossa, M. A laboratory study of irregular shoaling waves. Exp. Fluids 2013, 54, 1536. [Google Scholar] [CrossRef]
- Smith, E.R.; Hesser, T.J.; Smith, M.K. Two- and Three-Dimensional Laboratory Studies of Wave Breaking, Dissipation, Setup, and Runup on Reefs. ERDC/CHLTR-12-21; U.S. Army Engineer Research and Development Center: Vicksburg, MS, USA, 2012. [Google Scholar]
- Gallagher, E.L.; Steve, E.; Guza, R.T. Observations of sand bar evolution on a natural beach. J. Geophys. Res. Oceans 1998, 103, 3203–3215. [Google Scholar] [CrossRef]












| Case No. | CPU Time (s) | |||
|---|---|---|---|---|
| Fine Grid | Nested Model | Saved Time | Saving Ratio | |
| 278 | 5299.0 | 3033.0 (1896.5 + 1136.5) 1 | 2266.0 | 42.8% |
| 182 | 5060.3 | 2949.7 (1842.6 + 1107.1) | 2110.6 | 41.7% |
| Case No. | Significant Wave Height (Hsig) | Mean Water Level MWL | Reef-Flat Wave Setup | |
|---|---|---|---|---|
| 278 | 0.907 | 0.845 | 0.911 | 0.964 |
| 182 | 0.910 | 0.798 | 0.867 | 0.925 |
© 2018 by the authors. Licensee MDPI, Basel, Switzerland. This article is an open access article distributed under the terms and conditions of the Creative Commons Attribution (CC BY) license (http://creativecommons.org/licenses/by/4.0/).
Share and Cite
Zhang, S.; Zhu, L.; Li, J. Numerical Simulation of Wave Propagation, Breaking, and Setup on Steep Fringing Reefs. Water 2018, 10, 1147. https://doi.org/10.3390/w10091147
Zhang S, Zhu L, Li J. Numerical Simulation of Wave Propagation, Breaking, and Setup on Steep Fringing Reefs. Water. 2018; 10(9):1147. https://doi.org/10.3390/w10091147
Chicago/Turabian StyleZhang, Shanju, Liangsheng Zhu, and Jianhua Li. 2018. "Numerical Simulation of Wave Propagation, Breaking, and Setup on Steep Fringing Reefs" Water 10, no. 9: 1147. https://doi.org/10.3390/w10091147
APA StyleZhang, S., Zhu, L., & Li, J. (2018). Numerical Simulation of Wave Propagation, Breaking, and Setup on Steep Fringing Reefs. Water, 10(9), 1147. https://doi.org/10.3390/w10091147
