Response of the Downstream Braided Channel to Zhikong Reservoir on Lhasa River
Abstract
1. Introduction
2. Study Area and Methods
2.1. Study Area
2.2. Data Source and Processing
2.3. Data Analysis
3. Results and Analysis
3.1. Changes of Annual and Monthly Discharges at the Lhasa Station
3.2. Morphological Changes of the Downstream Braided Channel
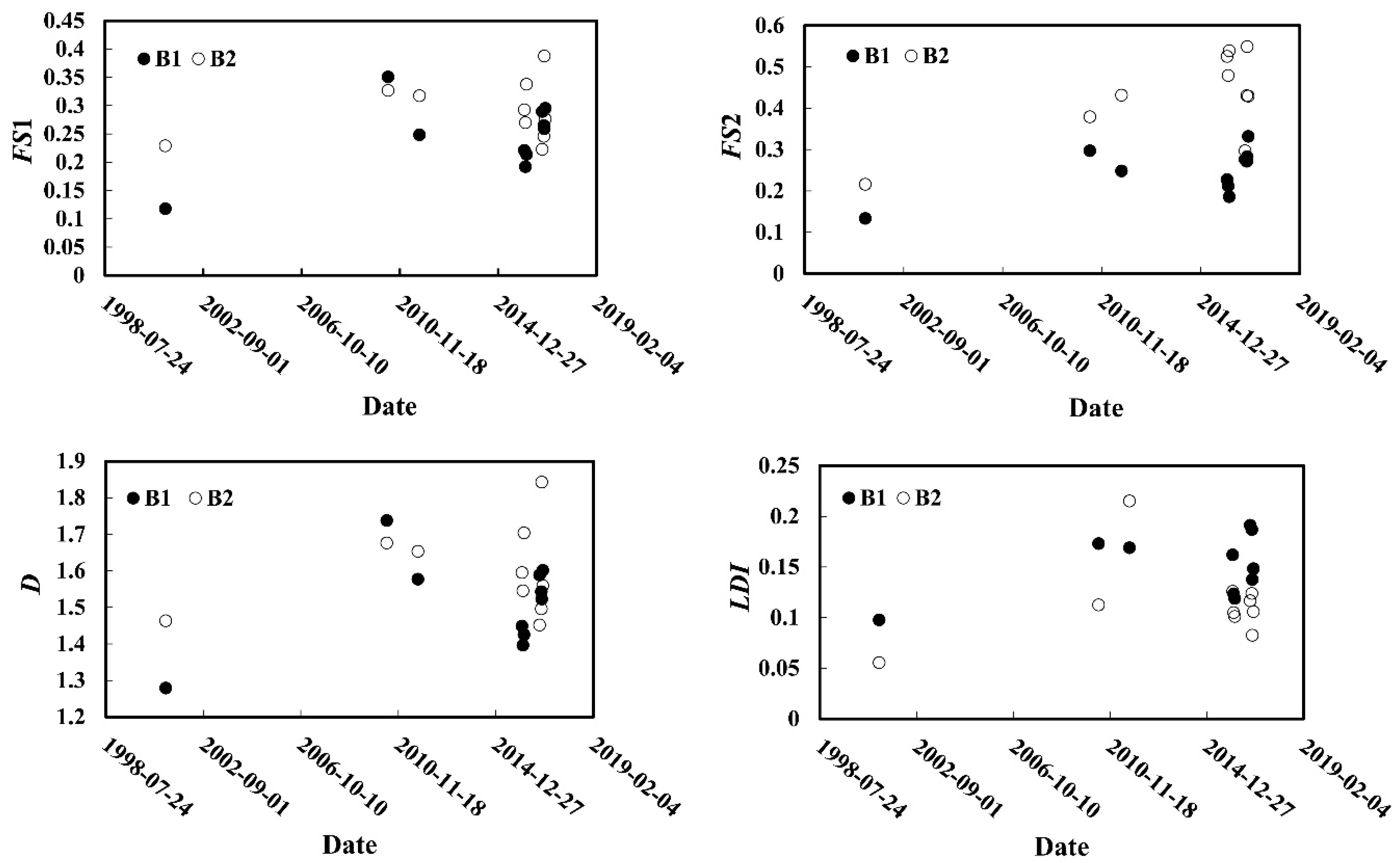
3.3. Braiding Intensity Indices in Response to the Reservoir Impoundment
3.4. Inter- and Intra-Annual Changes of Local Braided Channel
4. Discussion
4.1. Reliability and Uncertainty of Downstream Braided Channel Adjustment
4.2. Comparison of Lhasa River with Other Dammed Rivers
4.3. Management Implication of the Downstream Morphological Adjustment
5. Conclusions
Author Contributions
Funding
Acknowledgments
Conflicts of Interest
References
- Jiang, T.; Fischer, T.; Lu, X.X.; He, H. Larger Asian rivers: Impacts from human activities and climate change. Quat. Int. 2015, 380–381, 1–4. [Google Scholar] [CrossRef]
- Yu, G.A.; Brierley, G.; Huang, H.Q.; Wang, Z.; Blue, B.; Ma, Y. An environmental gradient of vegetative controls upon channel planform in the source region of the Yangtze and Yellow Rivers. Catena 2014, 119, 143–153. [Google Scholar] [CrossRef]
- Gran, K.B.; Tal, M.; Wartman, E.D. Co-evolution of riparian vegetation and channel dynamics in an aggrading braided river system, Mount Pinatubo, Philippines. Earth Surf. Process. Landf. 2015, 40, 1101–1115. [Google Scholar] [CrossRef]
- Ligon, F.K.; William, E.D.; William, J.T. Downstream ecological effects of dams. Bioscience 1995, 45, 183–192. [Google Scholar] [CrossRef]
- Nilsson, C.; Jansson, R.; Zinko, U. Long-term responses of river-margin vegetation to water-level regulation. Science 1997, 276, 798–800. [Google Scholar] [CrossRef] [PubMed]
- Zhang, Y.; Wang, G.; Wang, Y. Changes in alpine wetland ecosystems of the Qinghai-Tibetan plateau from 1967–2004. Environ. Monit. Assess. 2011, 180, 189–199. [Google Scholar] [CrossRef] [PubMed]
- Blue, B.; Brierley, G.; Yu, G.A. Geodiversity in the Yellow River source zone. J. Geogr. Sci. 2013, 23, 775–792. [Google Scholar] [CrossRef]
- Wang, Z.; Li, Z.; Xu, M.; Yu, G. River Morphodynamics and Stream Ecology of the Qinghai-Tibet Plateau; CRC Press, Taylor & Francis Ltd.: Abingdon, UK, 2016. [Google Scholar]
- Zhang, Y.L.; Wang, C.L.; Bai, W.Q.; Wang, Z.F.; Tu, Y.L.; Yangjaen, D.G. Alpine wetlands in the Lhasa River Basin, China. J. Geogr. Sci. 2010, 20, 375–388. [Google Scholar] [CrossRef]
- Asaeda, T.; Siong, K.; Kawashima, T.; Sakamoto, K. Growth of Phragmites Japonica on a sandbar of regulated river: Morphological adaptation of the plant to low water and nutrient availability in the substrate. River Res. Appl. 2009, 25, 874–891. [Google Scholar] [CrossRef]
- Kellogg, C.H.; Zhou, X.B. Impacts of the construction of a large dam on riparian vegetation cover at different elevation zones as observed from remotely sensed data. Int. J. Appl. Earth Obs. Geoinf. 2004, 32, 19–34. [Google Scholar] [CrossRef]
- Li, X.; Xu, L. Feature of riparian soil elements induced by hydropower development in Lhasa River. Environ. Sci. Technol. 2015, 38, 148–156. [Google Scholar]
- Pan, B.; Wang, H.; Li, Z.; Ban, X.; Liang, X. Macroinvertebrate assemblages in relation to environments in the Dongting Lake, with implications for ecological management of river-connected lakes affected by dam construction. Environ. Prog. Sustain. Energy 2017, 36, 914–920. [Google Scholar] [CrossRef]
- Shi, W.; Chen, Q.; Yi, Q.; Yu, J.; Ji, Y.; Hu, L.; Chen, Y. Carbon emission from cascade reservoirs: Spatial heterogeneity and mechanisms. Environ. Sci. Technol. 2017, 51, 12175–12181. [Google Scholar] [CrossRef] [PubMed]
- Dai, H.; Zheng, T.; Liu, D. Effects of reservoir impounding on key ecological factors in the Three Gorges Region. Procedia Environ. Sci. 2010, 2, 15–24. [Google Scholar] [CrossRef]
- Guo, W.; Wang, H.; Xu, J.; Xia, Z. Ecological operation for Three Gorges Reservoir. Water Sci. Eng. 2011, 4, 143–156. [Google Scholar]
- Lian, J.; Yao, Y.; Ma, C.; Guo, Q. Reservoir operation rules for controlling algal blooms in a tributary to the impoundment of Three Gorges Dam. Water 2014, 6, 3200–3223. [Google Scholar] [CrossRef]
- Shi, R. Ecological environment oroblems of the Three Gorges Reservoir area and countermeasures. Procedia Environ. Sci. 2011, 10, 1431–1434. [Google Scholar] [CrossRef]
- Surian, N.; Rinaldi, M. Morphological response to river engineering and management in alluvial channels in Italy. Geomorphology 2003, 50, 307–326. [Google Scholar] [CrossRef]
- Casado, A.; Peiry, J.L.; Campo, A.M. Geomorphic and vegetation changes in a meandering dryland river regulated by a large dam, Sauce Grande River, Argentina. Geomorphology 2016, 268, 21–34. [Google Scholar] [CrossRef]
- Csiki, S.J.C.; Rhoads, B.L. Influence of four run-of-river dams on channel morphology and sediment characteristics in Illinois, USA. Geomorphology 2014, 206, 215–229. [Google Scholar] [CrossRef]
- Draut, A.E.; Logan, J.B.; Mastin, M.C. Channel evolution on the dammed Elwha River, Washington, USA. Geomorphology 2011, 127, 71–87. [Google Scholar] [CrossRef]
- Graf, W.L. Downstream hydrologic and geomorphic effects of large dams on American rivers. Geomorphology 2006, 79, 336–360. [Google Scholar] [CrossRef]
- Ma, Y.; Huang, H.Q.; Nanson, G.C.; Li, Y.; Yao, W. Channel adjustments in response to the operation of large dams: The upper reach of the lower Yellow River. Geomorphology 2012, 147–148, 35–48. [Google Scholar] [CrossRef]
- Phillips, J.D.; Slattery, M.C.; Musselman, Z.A. Channel adjustments of the lower Trinity River, Texas, downstream of Livingston Dam. Earth Surf. Process. Landf. 2005, 30, 1419–1439. [Google Scholar] [CrossRef]
- Raslan, Y.; Salama, R. Development of Nile River islands between old Aswan dam and new Esna barrages. Water Sci. 2015, 29, 77–92. [Google Scholar] [CrossRef]
- Smith, V.B.; Mohrig, D. Geomorphic signature of a dammed Sandy River: The lower Trinity River downstream of Livingston Dam in Texas, USA. Geomorphology 2017, 297, 122–136. [Google Scholar] [CrossRef]
- Wang, Z.Y.; Wu, B.; Wang, G. Fluvial processes and morphological response in the Yellow and Weihe Rivers to closure and operation of Sanmenxia Dam. Geomorphology 2007, 91, 65–79. [Google Scholar] [CrossRef]
- Xia, J.; Deng, S.; Zhou, M.; Lu, J.; Xu, Q. Geomorphic response of the Jingjiang Reach to the Three Gorges Project operation. Earth Surf. Process. Landf. 2017, 42, 866–876. [Google Scholar] [CrossRef]
- Xu, J. Evolution of mid-channel bars in a braided river and complex response to reservoir construction: An example from the middle Hanjiang River, China. Earth Surf. Process. Landf. 1997, 22, 953–965. [Google Scholar]
- Yang, S.L.; Milliman, J.D.; Xu, K.H.; Deng, B.; Zhang, X.Y.; Luo, X.X. Downstream sedimentary and geomorphic impacts of the Three Gorges Dam on the Yangtze River. Earth-Sci. Rev. 2014, 138, 469–486. [Google Scholar] [CrossRef]
- Baker, C.; Lawrence, R.L.; Montagne, C.; Patten, D. Change detection of wetland ecosystems using Landsat imagery and change vector analysis. Wetlands 2007, 27, 610–619. [Google Scholar] [CrossRef]
- Ji, D.; Wells, S.A.; Yang, Z.; Liu, D.; Huang, Y.; Ma, J.; Berger, C.J. Impacts of water level rise on algal bloom prevention in the tributary of Three Gorges Reservoir, China. Ecol. Eng. 2017, 98, 70–81. [Google Scholar] [CrossRef]
- Petts, G. Impounded Rivers: Perspectives for Ecological Management; Wiley: Chichebster, UK; New York, NY, USA, 1984. [Google Scholar]
- Petts, G.E.; Gurnell, A.M. Dams and geomorphology: Research progress and future directions. Geomorphology 2005, 71, 22–47. [Google Scholar] [CrossRef]
- Nelson, N.C.; Erwin, S.O.; Schmidt, J.C. Spatial and temporal patterns in channel change on the Snake River downstream from Jackson Lake dam, Wyoming. Geomorphology 2013, 200, 132–142. [Google Scholar] [CrossRef]
- Surian, N. Channel changes due to river regulation: The case of the Piave River, Italy. Earth Surf. Process. Landf. 1999, 24, 1135–1151. [Google Scholar] [CrossRef]
- Zhao, Q.; Liu, S.; Deng, L.; Dong, S.; Wang, C. Soil degradation associated with water-level fluctuations in the Manwan Reservoir, Lancang River Basin. Catena 2014, 113, 226–235. [Google Scholar] [CrossRef]
- Xiao, C.; Wang, J.; Zhao, J. Analysis and measures of ecological elements in Lhasha River basin. China Water Resour. 2009, 21, 29–31. (In Chinese) [Google Scholar]
- Lin, X.; Zhang, Y.; Yao, Z.; Gong, T.; Wang, H.; Chu, D.; Liu, L.; Zhang, F. The trend on runoff variations in the Lhasa River Basin. J. Geogr. Sci. 2008, 18, 95–106. [Google Scholar] [CrossRef]
- Egozi, R.; Ashmore, P. Defining and measuring braiding intensity. Earth Surf. Process. Landf. 2008, 33, 2121–2138. [Google Scholar] [CrossRef]
- Bai, J.; Hua, O.; Cui, B.; Wang, Q.; Chen, H. Changes in landscape pattern of alpine wetlands on the Zoige Plateau in the past four decades. Acta Ecol. Sin. 2008, 28, 2245–2252. [Google Scholar]
- Jaeger, J.A.G. Landscape division, splitting index, and effective mesh size new measures of landscape fragmentation. Landsc. Ecol. 2000, 15, 115–130. [Google Scholar] [CrossRef]
- Liu, H.Y.; Lv, X.G.; Zhang, S.K.; Yang, Q. Fragmentation process of wetland landscape in water sheds of Sanjiang Plain, China. Chin. J. Appl. Ecol. 2005, 16, 289–295. [Google Scholar]
- You, C.; Zhou, Y.B.; Yu, L.F. An introduction of quantitative methods in landscape pattern framentation. Chin. Agric. Sci. Bull. 2006, 22, 146–151. [Google Scholar]
- Bowen, G.W. A Quantitative Analysis of Forest Island Pattern in Selected Ohio Landscapes; University of Tennessee: Knoxville, TN, USA, 1981. [Google Scholar]
- Finch, J.W. Monitoring small dams in semi-arid regions using remote sensing and GIS. J. Hydrol. 1997, 195, 335–351. [Google Scholar] [CrossRef]
- Frazier, P.S.; Page, K.J. Water body detection and delineation with Landsat TM data. Photogramm. Eng. Remote Sens. 2000, 66, 1461–1467. [Google Scholar]
- Frazier, P.; Page, K.; Louis, J.; Briggs, S.; Robertson, A.I. Relating wetland inundation to river flow using Landsat TM data. Int. J. Remote Sens. 2003, 24, 3755–3770. [Google Scholar] [CrossRef]
- Nones, M.; Ronco, P.; Di Silvio, G. Modelling the impact of large impoundments on the Lower Zambezi River. Int. J. River Basin Manag. 2013, 11, 221–236. [Google Scholar] [CrossRef]
- Ritchie, J.C.; Schiebe, F.R.; Cooper, C.M. Remote sensing of off-Site downstream effects of erosion in freshwater lakes and reservoirs. Lake Reserv. Manag. 1989, 5, 95–100. [Google Scholar] [CrossRef]
- Sanford, J.P. Dam Regulation Effects on Sand Bar Migration on the Missouri River: Southeastern South Dakota. Master’s Thesis, University of Montana, Montana, MT, USA, 2007. [Google Scholar]
- Smith, L.C. Satellite remote sensing of river inundation area, stage, and discharge: A review. Hydrol. Process. 1997, 11, 1427–1439. [Google Scholar] [CrossRef]
- Boruah, S.; Gilvear, D.; Hunter, P.; Sharma, N. Quantifying channel planform and physical habitat dynamics on a large braided river using satellite data—The Brahmaputra, India. River Res. Appl. 2008, 24, 650–660. [Google Scholar] [CrossRef]
- Chien, N. Changs in river regime after the construction of upstream reservoirs. Earth Surf. Process. Landf. 1985, 10, 143–159. [Google Scholar] [CrossRef]
- Lane, S.N.; Westaway, R.M.; Murray Hicks, D. Estimation of erosion and deposition volumes in a large, gravel-bed, braided river using synoptic remote sensing. Earth Surf. Process. Landf. 2003, 28, 249–271. [Google Scholar] [CrossRef]
- Takagi, T.; Oguchi, T.; Matsumoto, J.; Grossman, M.J.; Sarker, M.H.; Matin, M.A. Channel braiding and stability of the Brahmaputra River, Bangladesh, since 1967: GIS and remote sensing analyses. Geomorphology 2007, 85, 294–305. [Google Scholar] [CrossRef]
- Xu, J. Wandering braided river channel pattern developed under quasi-equilibrium: An example from the Hanjiang River, China. J. Hydrol. 1996, 181, 85–103. [Google Scholar] [CrossRef]
- Pan, Q.; Zeng, J.; Ouyang, L. Fluvial process downstram of Danjiangkou Reservoir and its effect on the navigation channel. J. Hydraul. Eng. 1982, 8, 54–63. (In Chinese) [Google Scholar]
- Kotti, F.; Dezileau, L.; Mahe, G.; Habaieb, H.; Benabdallah, S. Impact of dams and climate on the evolution of the sediment loads to the sea by the Mejerda River (Golf of Tunis) using a paleo-hydrological approach. J. Afr. Earth Sci. 2018, 142, 226–233. [Google Scholar] [CrossRef]
- Piqué, G.; Batalla, R.J.; López, R.; Sabater, S. The fluvial sediment budget of a dammed river (upper Muga, southern Pyrenees). Geomorphology 2017, 293, 211–226. [Google Scholar] [CrossRef]











| Section No. | Channel Length (km) | Average Valley Width (km) | Channel Slope (%) | Channel Braiding |
|---|---|---|---|---|
| RS1 | 22.5 | 2.0 | 0.26 | single-thread and multithread reach |
| RS2 | 30.4 | 3.0 | 0.25 | multithread reach |
| RS3 | 54.3 | 1.5 | 0.17 | single-thread and multithread reach |
| RS4 | 43.3 | 1.8 | 0.10 | multithread reach |
| RS1_B1 | 5.3 | 1.8 | 0.26 | multithread reach |
| RS2_B2 | 6.6 | 3.0 | 0.25 | multithread reach |
| Segment | RS1 | RS4 | ||||
|---|---|---|---|---|---|---|
| 2001 | 2011 | 2016 | 2001 | 2011 | 2016 | |
| DS1 | 1.502 | / | / | 5.358 | 5.877 | 6.049 |
| DS2 | 1.405 | 1.850 | 2.094 | 3.216 | 2.592 | 4.341 |
| DS3 | 1.658 | 3.681 | 2.025 | 3.589 | 4.290 | 4.175 |
| Date | RS1_B1 | RS2_B2 | ||
|---|---|---|---|---|
| Patch Number | Patch Density (Number/km²) | Patch Number | Patch Density (Number/km²) | |
| 29 January 2001 | 3 | 0.60 | 6 | 0.30 |
| 22 May 2010 | 7 | 1.40 | 12 | 0.61 |
| 14 September 2011 | 10 | 2.40 | 40 | 2.03 |
| 31 January 2016 | 11 | 2.20 | 16 | 0.81 |
| 16 February 2016 | 6 | 1.20 | 10 | 0.51 |
| 3 March 2016 | 6 | 1.20 | 7 | 0.35 |
| 29 January 2016 | 10 | 2.00 | 22 | 1.12 |
| 24 November 2016 | 13 | 2.60 | 16 | 0.81 |
| 30 November 2016 | 6 | 1.20 | 5 | 0.25 |
| 16 December 2016 | 7 | 1.40 | 12 | 0.61 |
© 2018 by the authors. Licensee MDPI, Basel, Switzerland. This article is an open access article distributed under the terms and conditions of the Creative Commons Attribution (CC BY) license (http://creativecommons.org/licenses/by/4.0/).
Share and Cite
Wu, X.; Li, Z.; Gao, P.; Huang, C.; Hu, T. Response of the Downstream Braided Channel to Zhikong Reservoir on Lhasa River. Water 2018, 10, 1144. https://doi.org/10.3390/w10091144
Wu X, Li Z, Gao P, Huang C, Hu T. Response of the Downstream Braided Channel to Zhikong Reservoir on Lhasa River. Water. 2018; 10(9):1144. https://doi.org/10.3390/w10091144
Chicago/Turabian StyleWu, Xinyu, Zhiwei Li, Peng Gao, Cao Huang, and Tiesong Hu. 2018. "Response of the Downstream Braided Channel to Zhikong Reservoir on Lhasa River" Water 10, no. 9: 1144. https://doi.org/10.3390/w10091144
APA StyleWu, X., Li, Z., Gao, P., Huang, C., & Hu, T. (2018). Response of the Downstream Braided Channel to Zhikong Reservoir on Lhasa River. Water, 10(9), 1144. https://doi.org/10.3390/w10091144

