Combined Exceedance Probability Assessment of Water Quality Indicators Based on Multivariate Joint Probability Distribution in Urban Rivers
Abstract
:1. Introduction
2. Methods and Materials
2.1. Methodology
2.1.1. Establishment of Copula Function
2.1.2. Test of Joint Change-Point
2.1.3. Exceedance Probability of Water Quality
2.2. Study Area and Data
3. Results and Discussion
3.1. Marginal Distributions and Correlation Coefficient of Q, NH4+ and CODMn
3.2. Establishment of Joint Probability Distribution
3.2.1. Establishment of Multivariate Joint Probability Distribution of Q, NH4+, and CODMn with the Data from 1980–2016
3.2.2. Test of Joint Change-Point of Q, NH4+, and CODMn
3.2.3. Establishment of Multivariate Joint Probability Distribution after the Joint Change-Point
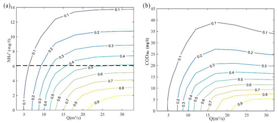
3.3. Analysis of Multivariate Joint Probability Distribution of Q, NH4+ and CODMn after the Joint Change-Point
3.4. Discussion
4. Conclusions
- (1)
- The Gaussian copula is more suitable for describing the multivariate joint probability distribution of discharge and water quality. As the relationship between the discharge and water quality indicators is not always positive, the Gaussian copula is more suitable than the Archimedean copulas in the simulation of trivariate or the above joint distribution.
- (2)
- Based on the copula, the joint change-point can be identified. For urban rivers, the dependence of water quantity and quality is often affected by human activities, which leads to the emergence of change-point. Therefore, it is necessary to identify the mutation points.
- (3)
- The trivariate joint probability distribution of the combination of (Q, NH4+, CODMn) is more suitable for estimating the various exceedance probability of the water quality effectively under different discharge conditions. Thus, when the combination events (NH4+, CODMn) exceed their given values in the specific discharge situation, the exceedance probability can be calculated.
Author Contributions
Funding
Conflicts of Interest
References
- Jang, C.S.; Chen, S.K.; Kuo, Y.M. Establishing an irrigation management plan of sustainable groundwater based on spatial variability of water quality and quantity. J. Hydrol. 2012, 414, 201–210. [Google Scholar] [CrossRef]
- Qian, L.; Liu, Y.; Chao, J.Y. The current situation and development trend of China joint regulating of water quality and water quantity. Environ. Sci. Technol. 2013, 36, 484–487. [Google Scholar] [CrossRef]
- Shokri, A.; Haddad, O.B.; Mariño, M.A. Multi-objective quantity-quality reservoir operation in sudden pollution. Water Resour. Manag. 2014, 28, 567–586. [Google Scholar] [CrossRef]
- Zhang, M.N.; Dolatshah, A.; Zhu, W.L.; Yu, G.L. Case Study on Water Quality Improvement in Xihu Lake through Diversion and Water Distribution. Water 2018, 10, 333. [Google Scholar] [CrossRef]
- Zhang, X.; Ran, Q.X.; Xia, J.; Song, X.Y. Jointed distribution function of water quality and water quantity based on Copula. J. Hydraul. Eng. 2011, 42, 483–489. [Google Scholar] [CrossRef]
- Cox, B.A. A review of currently available in-stream water-quality models and their applicability for simulating dissolved oxygen in lowland rivers. Sci. Total. Environ. 2003, 314–316, 335–377. [Google Scholar] [CrossRef]
- Wang, S.W.; Qi, S.Q.; Yu, D.D.; Zhang, Y.W.; Wan, L.H. Forecast and evaluation of water environment quality based on WASP model: A case study on Harbin section of Songhua River. J. Nat. Disast. 2015, 24, 39–45. [Google Scholar] [CrossRef]
- Yu, S.; He, L.; Lu, H.W. An environmental fairness based optimisation model for the decision-support of joint control over the water quantity and quality of a river basin. J. Hydrol. 2016, 535, 366–376. [Google Scholar] [CrossRef]
- Phan, T.D.; Smart, J.C.R.; Capon, S.J.; Hadwen, W.L.; Sahin, O. Applications of Bayesian belief networks in water resource management. Environ. Model. Softw. 2016, 85, 98–111. [Google Scholar] [CrossRef]
- Yang, B.; Lai, C.G.; Chen, X.H.; Wu, X.Q.; He, Y.H. Surface water quality evaluation based on a Game Theory-Based Cloud model. Water 2018, 10, 510. [Google Scholar] [CrossRef]
- Jia, H.; Xu, T.; Liang, S.; Zhao, P.; Xu, C. Bayesian framework of parameter sensitivity, uncertainty, and identifiability analysis in complex water quality models. Environ. Model. Softw. 2018, 104, 13–26. [Google Scholar] [CrossRef]
- Sun, Z.B.; Wang, B.L.; Ji, H.F.; Huang, Z.Y.; Li, H.Q. Water quality prediction based on probability-combination. China Environ. Sci. 2011, 31, 1657–1662. [Google Scholar]
- Junyi, N.; Hu, H.; Na, C. Combined risk prediction in the water environment based on an MS-AR model and copula theory. WST 2013, 67, 1967. [Google Scholar] [CrossRef] [PubMed]
- Parmar, K.S.; Bhardwaj, R. River water prediction modeling using neural networks, fuzzy and wavelet coupled model. Water Resour. Manag. 2015, 29, 17–33. [Google Scholar] [CrossRef]
- Zhao, F.; Li, C.H.; Chen, L.B.; Zhang, Y. An integrated method for accounting for water environmental capacity of the River–Reservoir combination system. Water 2018, 10, 483. [Google Scholar] [CrossRef]
- Wang, G.; Wang, S.; Kang, Q.; Duan, H.; Wang, X. An integrated model for simulating and diagnosing the water quality based on the system dynamics and Bayesian network. WST 2016, 74, 2639. [Google Scholar] [CrossRef] [PubMed]
- Barzegar, R.; Adamowski, J.; Moghaddam, A.A. Application of wavelet-artificial intelligence hybrid models for water quality prediction: A case study in Aji-Chay River, Iran. Stoch. Environ. Res. Risk A 2016, 30, 1–23. [Google Scholar] [CrossRef]
- Chowdhary, H.; Escobar, L.A.; Singh, V.P. Identification of suitable copulas for bivariate frequency analysis of flood peak and flood volume data. Hydrol. Res. 2011, 42, 193–216. [Google Scholar] [CrossRef]
- Bezak, N.; Mikoš, M.; Šraj, M. Trivariate frequency analyses of peak discharge, hydrograph volume and suspended sediment concentration data using copulas. Water Resour. Manag. 2014, 28, 2195–2212. [Google Scholar] [CrossRef]
- Fontanazza, C.M.; Freni, G.; La, L.G.; Notaro, V. Uncertainty evaluation of design rainfall for urban flood risk analysis. WST 2011, 63, 2641–2650. [Google Scholar] [CrossRef]
- Luca, D.L.D.; Biondi, D. Bivariate return period for design hyetograph and relationship with T-Year design flood peak. Water 2018, 9, 673. [Google Scholar] [CrossRef]
- Guo, S.L.; Muhammad, R.; Liu, Z.J.; Xiong, F.; Yin, J.B. Design flood estimation methods for Cascade Reservoirs based on Copulas. Water 2018, 10, 560. [Google Scholar] [CrossRef]
- Bazrafshan, J.; Nadi, M.; Ghorbani, K. Comparison of empirical copula-based joint deficit index (JDI) and multivariate standardized precipitation index (MSPI) for drought monitoring in Iran. Water Resour. Manag. 2015, 29, 2027–2044. [Google Scholar] [CrossRef]
- Salvadori, G.; Michele, C.D. Multivariate real-time assessment of droughts via copula-based multisite Hazard Trajectories and Fans. J. Hydrol. 2015, 526, 101–115. [Google Scholar] [CrossRef]
- Katipoğlu, O.M.; Can, İ. Determining the lengths of dry periods in annual and monthly stream flows using runs analysis at Karasu River, in Turkey. WST 2017, 18. [Google Scholar] [CrossRef]
- Li, Y.; Chen, C.; Sun, C. Drought severity and change in Xinjiang, China, over 1961–2013. Hydrol. Res. 2017, 48, 1343–1362. [Google Scholar] [CrossRef]
- Muhammad, A.; Maeng, S.J.; San Kim, H.; Murtazaev, A. Copula-Based stochastic simulation for regional drought risk assessment in South Korea. Water 2018, 10, 359. [Google Scholar] [CrossRef]
- Jaewon, K.; Kim, S.; Kim, G.; Singh, V.P.; Park, J.; Kim, H.S. Bivariate drought analysis using streamflow reconstruction with Tree Ring Indices in the Sacramento Basin, California, USA. Water 2016, 8, 122. [Google Scholar] [CrossRef]
- Sklar, A. Fonctions de rèpartition à n dimensions et leurs marges. Publ. Inst. Stat. Univ. Paris 1959, 8, 229–231. [Google Scholar]
- Wang, Y.; Li, C.Z.; Liu, J.; Yu, F.L.; Qiu, Q.T.; Tian, J.Y.; Zhang, M.J. Multivariate Analysis of Joint Probability of Different Rainfall Frequencies Based on Copulas. Water 2017, 9, 198. [Google Scholar] [CrossRef]
- Genest, C.; Favre, A.C.; Béliveau, J.; Jacques, C. Metaelliptical copulas and their use in frequency analysis of multivariate hydrological data. Water Resour. Res. 2007, 43, 223–236. [Google Scholar] [CrossRef]
- Guo, A.; Qiang, H.; Wang, Y.; Li, Y.; Chang, J.; Mo, S. Detection of variations in precipitation-runoff relationship based on archimedean copula. J. Hydroelectr. Eng. 2015, 34, 7–13. [Google Scholar]
- Fan, Y.R.; Huang, W.W.; Huang, G.H.; Li, Y.P.; Huang, K.; Li, Z. Hydrologic risk analysis in the Yangtze River basin through coupling Gaussian mixtures into copulas. Adv. Water Resour. 2016, 88, 170–185. [Google Scholar] [CrossRef]
- Song, S.B.; Nie, R. Asymmetric Archimedean Copulas for multivariate hydrological drought frequency analysis. J. Hydroelectr. Eng. 2011, 30, 20–29. [Google Scholar]
- Dias, A.D.C. Copula Inference for Finance and Insurance. Ph.D. Thesis, Swiss Federal Institute of Technology Zurich, Zurich, Swiss, 2004. [Google Scholar]








| NH4+ (mg/L) | CODMn (mg/L) | Discharge (m3/s) | Water Temperature (°C) | pH | |
|---|---|---|---|---|---|
| Minimum | 0.43 | 2.60 | 3.99 | 3 | 5.50 |
| Maximum | 18.50 | 48.10 | 36.10 | 31 | 11.60 |
| Mean | 7.23 | 16.86 | 12.43 | 18.94 | 7.51 |
| Trend | ↓ | ↓ + | ↑ + | ↑ − | ↑ |
| Lognormal | Gamma | Pearson III | |||||||
|---|---|---|---|---|---|---|---|---|---|
| ) | KS | RMSE | ) | KS | RMSE | ) | KS | RMSE | |
| Q | 2.398, 0.494 | 0.057 | 0.028 | 4.255, 2.921 | 0.051 | 0.021 | 0.553, 23.406, −0.508 | 0.431 | 0.228 |
| NH4+ | 1.738, 0.751 | 0.152 | 0.026 | 2.238, 3.230 | 0.063 | 0.022 | 2.367, 3.149, −0.222 | 0.066 | 0.028 |
| CODMn | 2.588, 0.690 | 0.072 | 0.053 | 2.266, 7.440 | 0.121 | 0.067 | 1.470, 10.291, 1.737 | 0.097 | 0.055 |
| Pair | Q, NH4+ | Q, CODMn | NH4+, CODMn |
|---|---|---|---|
| −0.2712 | −0.3992 | 0.1933 |
| Pairs | Parameters | K–S | RMSE | |
|---|---|---|---|---|
| Frank | Q, NH4+ | 0.1032 | 0.0541 | |
| Q, CODMn | 0.0867 | 0.0353 | ||
| Q, NH4+, CODMn | 0.1078 | 0.0331 | ||
| GH | Q, NH4+ | 0.0842 | 0.0251 | |
| Q, CODMn | 0.0892 | 0.0337 | ||
| Q, NH4+, CODMn | 0.1003 | 0.0343 | ||
| Gaussian | Q, NH4+ | 0.0812 | 0.0251 | |
| Q, CODMn | 0.0752 | 0.0323 | ||
| Q, NH4+, CODMn | 0.0906 | 0.0222 |
| Pairs | Parameters | K–S | RMSE | |
|---|---|---|---|---|
| Frank | Q, NH4+ | 0.1667 | 0.0654 | |
| Q, CODMn | 0.1546 | 0.0621 | ||
| Q, NH4+, CODMn | 0.1816 | 0.0651 | ||
| GH | Q, NH4+ | 0.2136 | 0.0711 | |
| Q, CODMn | 0.2095 | 0.0604 | ||
| Q, NH4+, CODMn | 0.1791 | 0.0743 | ||
| Gaussian | Q, NH4+ | 0.1431 | 0.0462 | |
| Q, CODMn | 0.1315 | 0.0493 | ||
| Q, NH4+, CODMn | 0.1163 | 0.0524 |
| Cluster Center | Boundary Values | ||||||||
|---|---|---|---|---|---|---|---|---|---|
| Center 1 | Center 2 | Center 3 | Center 4 | Class 1 | Class 2 | Class 3 | Class 4 | Class 5 | |
| NH4+ | 4.2 | 6.3 | 8.5 | 11.2 | <4.2 | 4.2~6.3 | 6.3~8.5 | 8.5~11.2 | >11.2 |
| CODMn | 8.0 | 12.0 | 24.0 | 35.0 | <8.0 | 8.0~12.0 | 12.0~24.0 | 24.0~35.0 | >35.0 |
| NH4+ | Q(m3/s) | ||||
|---|---|---|---|---|---|
| (mg/L) | 3 | 6 | 12 | 24 | 36 |
| 4.2 | 0.0133 | 0.0653 | 0.2589 | 0.4079 | 0.4177 |
| 6.3 | 0.0120 | 0.0552 | 0.1985 | 0.2916 | 0.2964 |
| 8.5 | --- | 0.0426 | 0.1379 | 0.1900 | 0.1921 |
| 11.2 | --- | 0.0287 | 0.0827 | 0.1070 | 0.1078 |
| CODMn | Q(m3/s) | ||||
|---|---|---|---|---|---|
| (mg/L) | 3 | 6 | 12 | 24 | 36 |
| 8.0 | 0.0135 | 0.0645 | 0.2638 | 0.4147 | 0.4231 |
| 12.0 | 0.0134 | 0.0587 | 0.2135 | 0.3043 | 0.3077 |
| 24.0 | --- | 0.0341 | 0.0896 | 0.1077 | 0.1080 |
| 35.0 | --- | 0.0184 | 0.0395 | 0.0443 | 0.0443 |
| NH4+ | CODMn | Q(m3/s) | ||||
|---|---|---|---|---|---|---|
| (mg/L) | (mg/L) | 3 | 6 | 12 | 24 | 36 |
| 4.2 | 8 | 0.0138 | 0.1056 | 0.3897 | 0.5596 | 0.5658 |
| 12 | 0.0128 | 0.0964 | 0.3194 | 0.4244 | 0.4270 | |
| 24 | 0.0096 | 0.0566 | 0.1387 | 0.1607 | 0.1609 | |
| 35 | 0.0064 | 0.0308 | 0.0625 | 0.0685 | 0.0685 | |
| 6.3 | 8 | 0.0120 | 0.0894 | 0.3011 | 0.4094 | 0.4125 |
| 12 | 0.0116 | 0.0819 | 0.2493 | 0.3173 | 0.3187 | |
| 24 | 0.0088 | 0.0487 | 0.1116 | 0.1263 | 0.1264 | |
| 35 | 0.0059 | 0.0268 | 0.0514 | 0.0554 | 0.0554 | |
| 8.5 | 8 | 0.0101 | 0.0691 | 0.2108 | 0.2725 | 0.2740 |
| 12 | 0.0098 | 0.0635 | 0.1766 | 0.2159 | 0.2165 | |
| 24 | --- | 0.0384 | 0.0818 | 0.0905 | 0.0906 | |
| 35 | --- | 0.0214 | 0.0386 | 0.0411 | 0.0411 | |
| 11.2 | 8 | --- | 0.0467 | 0.1275 | 0.1569 | 0.1575 |
| 12 | --- | 0.0432 | 0.1082 | 0.1272 | 0.1274 | |
| 24 | --- | --- | 0.0522 | 0.0565 | 0.0566 | |
| 35 | --- | --- | 0.0254 | 0.0266 | 0.0266 |
© 2018 by the authors. Licensee MDPI, Basel, Switzerland. This article is an open access article distributed under the terms and conditions of the Creative Commons Attribution (CC BY) license (http://creativecommons.org/licenses/by/4.0/).
Share and Cite
Liu, Y.; Cheng, Y.; Zhang, X.; Li, X.; Cao, S. Combined Exceedance Probability Assessment of Water Quality Indicators Based on Multivariate Joint Probability Distribution in Urban Rivers. Water 2018, 10, 971. https://doi.org/10.3390/w10080971
Liu Y, Cheng Y, Zhang X, Li X, Cao S. Combined Exceedance Probability Assessment of Water Quality Indicators Based on Multivariate Joint Probability Distribution in Urban Rivers. Water. 2018; 10(8):971. https://doi.org/10.3390/w10080971
Chicago/Turabian StyleLiu, Yang, Yufei Cheng, Xi Zhang, Xitong Li, and Shengle Cao. 2018. "Combined Exceedance Probability Assessment of Water Quality Indicators Based on Multivariate Joint Probability Distribution in Urban Rivers" Water 10, no. 8: 971. https://doi.org/10.3390/w10080971
APA StyleLiu, Y., Cheng, Y., Zhang, X., Li, X., & Cao, S. (2018). Combined Exceedance Probability Assessment of Water Quality Indicators Based on Multivariate Joint Probability Distribution in Urban Rivers. Water, 10(8), 971. https://doi.org/10.3390/w10080971
